An Enhanced Intrinsic Time-Scale Decomposition Method Based on Adaptive Lévy Noise and Its Application in Bearing Fault Diagnosis
Abstract
1. Introduction
2. Related Work
2.1. CEITDAN
2.2. Group Optimization Algorithm Theory
3. Proposed Method
3.1. Improved CEITDAN Based on Lévy Noise
- (1)
- Using ITD to decompose each , followed by averaging the first residual component, the first residual component, , is:
- (2)
- By eliminating from the most primitive signal, the first PR signal is obtained as:
- (3)
- Construct the set residual signal and decompose it to obtain as:
- (4)
- When , analogous to the above calculation, find and then find :
- (5)
- The algorithm terminates when the -pole is less than 3. The final decomposition results in:
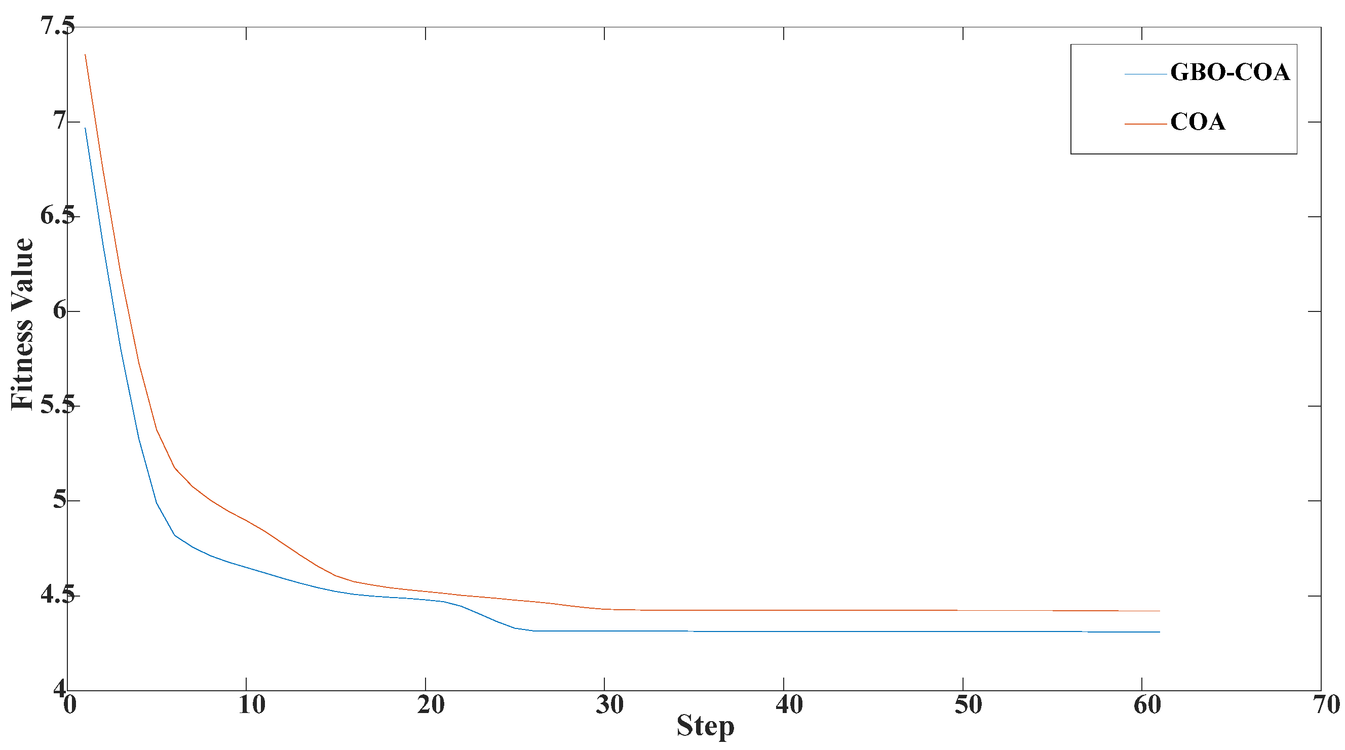
3.2. Improved COA Based on GBO Optimization
| Algorithm 1. Generation of solution | 
| If If Else END END | 
3.3. Proposed Method
4. Results
4.1. Case A: Numerical Simulation Analysis
4.2. Case B: Experiment Analysis
5. Conclusions
Author Contributions
Funding
Institutional Review Board Statement
Informed Consent Statement
Data Availability Statement
Conflicts of Interest
References
- Laha, S.K. Enhancement of fault diagnosis of rolling element bearing using maximum kurtosis fast nonlocal means denoising. Measurement 2017, 100, 157–163. [Google Scholar] [CrossRef]
- Zheng, J.J.; Yuan, Y.; Zou, L.; Deng, W.; Guo, C.; Zhao, H.M. Study on a novel fault diagnosis method based on VMD and BLM. Symmetry 2019, 11, 747. [Google Scholar] [CrossRef]
- Zhou, L.M.; Wang, F.L.; Zhang, C.C.; Zhang, L.; Li, P. Evaluation of rolling bearing performance degradation using wavelet packet energy entropy and RBF neural network. Symmetry 2019, 11, 1064. [Google Scholar] [CrossRef]
- Yuan, R.; Lv, Y.; Song, G. Multi-fault diagnosis of rolling bearings via adaptive projection intrinsically transformed multivariate empirical mode decomposition and high order singular value decomposition. Sensors 2018, 18, 1210. [Google Scholar] [CrossRef] [PubMed]
- Tiwari, R.; Gupta, V.K.; Kankar, P.K. Bearing fault diagnosis based on multi-scale permutation entropy and adaptive neuro fuzzy classifier. J. Vib. Control 2013, 21, 461–467. [Google Scholar] [CrossRef]
- Ge, M.; Wang, J.; Ren, X. Fault Diagnosis of Rolling Bearings Based on EWT and KDEC. Entropy 2017, 19, 633. [Google Scholar] [CrossRef]
- Ge, M.; Wang, J.; Xu, Y.C. Rolling bearing fault diagnosis based on EWT Sub-modal Hypothesis test and ambiguity correlation classification. Symmetry 2018, 10, 730. [Google Scholar] [CrossRef]
- Kankar, P.K.; Sharma, S.C.; Harsha, S.P. Rolling element bearing fault diagnosis using wavelet transform. Neurocomputing 2011, 74, 1638–1645. [Google Scholar] [CrossRef]
- Kumar, A.; Kumar, R. Enhancing Weak Defect Features Using Undecimated and Adaptive Wavelet Transform for Estimation of Roller Defect Size in a Bearing. Tribol. Trans. 2017, 5, 60. [Google Scholar] [CrossRef]
- Yang, P.; Yang, Q. Empirical Mode Decomposition and Rough Set Attribute Reduction for Ultrasonic Flaw Signal Classification. Int. J. Comput. Intell. Syst. 2014, 7, 481–492. [Google Scholar] [CrossRef]
- Li, Y.; Liang, X.; Yang, Y.; Xu, M.; Huang, W. Early Fault Diagnosis of Rotating Machinery by Combining Differential Rational Spline-Based LMD and K-L Divergence. IEEE Trans. Instrum. Meas. 2017, 66, 3077–3090. [Google Scholar] [CrossRef]
- Frei, M.G.; Osorio, I. Intrinsic time-scale decomposition: Time-frequency-energy analysis and real-time filtering of non-stationary signals. Proc. R. Soc. A 2007, 463, 321–342. [Google Scholar] [CrossRef]
- Bo, L.; Peng, C. Fault diagnosis of rolling bearing using more robust spectral kurtosis and intrinsic time-scale decomposition. J. Vib. Control 2014, 22, 2921–2937. [Google Scholar] [CrossRef]
- Duan, L.; Yao, M.; Wang, J.; Bai, T.; Yue, J. Integrative intrinsic time-scale decomposition and hierarchical temporal memory approach to gearbox diagnosis under variable operating conditions. Adv. Mech. Eng. 2016, 8, 1–14. [Google Scholar] [CrossRef]
- Xing, Z.; Qu, J.; Chai, Y.; Tang, Q.; Zhou, Y. Gear fault diagnosis under variable conditions with intrinsic time-scale decomposition-singular value decomposition and support vector machine. J. Mech. Sci. Technol. 2017, 31, 545–553. [Google Scholar] [CrossRef]
- Zhang, J.H.; Liu, Y. Application of complete ensemble intrinsic time-scale decomposition and least-square SVM optimized using hybrid DE and PSO to fault diagnosis of diesel engines. Front. Inf. Technol. Electron. Eng. 2017, 18, 272–286. [Google Scholar] [CrossRef]
- Hu, A.; Xiang, L.; Gao, N. Fault diagnosis for the gearbox of wind turbine combining ensemble intrinsic time-scale decomposition with Wigner bi-spectrum entropy. J. Vibroeng. 2017, 19, 1759–1770. [Google Scholar] [CrossRef]
- Tong, Q.; Cao, J.; Han, B.; Wang, D.; Lin, Y.; Zhang, W.; Wang, J. A fault diagnosis approach for rolling element bearings based on dual-tree complex wavelet packet transform-improved intrinsic time-scale decomposition. Singular value decomposition, and online sequential extreme learning machine. Adv. Mech. Eng. 2017, 9, 1–12. [Google Scholar] [CrossRef]
- Liu, Y.; Zhang, J.; Qin, K.; Xu, Y. Diesel engine fault diagnosis using intrinsic time-scale decomposition and multistage Adaboost relevance vector machine. Proc. Inst. Mech. Eng. Part C J. Mech. Eng. Sci. 2018, 232, 881–894. [Google Scholar] [CrossRef]
- Bi, F.; Ma, T.; Liu, C.; Tian, C. Knock detection in spark ignition engines based on complementary ensemble improved intrinsic time-scale decomposition (CEIITD) and Bi-spectrum. J. Vibroeng. 2018, 20, 936–953. [Google Scholar] [CrossRef]
- Yu, J.; Liu, H. Sparse coding shrinkage in intrinsic time-scale decomposition for weak fault feature extraction of bearings. IEEE Trans. Instrum. Meas. 2018, 67, 1579–1592. [Google Scholar] [CrossRef]
- Yuan, Z.; Peng, T.; An, D.; Cristea, D.; Pop, M.A. Rolling bearing fault diagnosis based on adaptive smooth ITD and MF-DFA method. J. Low Freq. Noise Vib. Active Control 2019, 39, 968–986. [Google Scholar] [CrossRef]
- Lei, Z.; Zhou, Y.; Sun, B.; Sun, W. An intrinsic timescale decomposition-based kernel extreme learning machine method to detect tool wear conditions in the milling process. Int. J. Adv. Manufac. Technol. 2019, 106, 1203–1212. [Google Scholar] [CrossRef]
- Ma, J.; Zhan, L.; Li, C.; Li, Z. An improved intrinsic time scale decomposition method based on adaptive noise and its application in bearing fault feature extraction. Meas. Sci. Technol. 2020, 32, 025103. [Google Scholar] [CrossRef]
- Ciabattoni, L.; Ferracuti, F.; Freddi, A.; Monteriu, A. Statistical spectral analysis for fault diagnosis of rotating machines. IEEE Trans. Ind. Electr. 2017, 65, 4301–4310. [Google Scholar] [CrossRef]
- Wang, Z.; Xu, Y.; Yang, H. Lévy noise induced stochastic resonance in an FHN model. Sci. China Technol. Sci. 2016, 59, 371–375. [Google Scholar] [CrossRef]
- Pierezan, J.; Coelho, L.S. Coyote optimization algorithm: A new metaheuristic for global optimization problems. In Proceedings of the 2018 IEEE Congress on Evolutionary Computation (CEC), Rio de Janeiro, Brazil, 8–13 July 2018; pp. 2633–2640. [Google Scholar]
- Zhang, G.; Hu, D.; Zhang, T. The analysis of stochastic resonance and bearing fault detection based on linear coupled bistable system under levy noise. Chin. J. Phys. 2018, 56, 2718–2730. [Google Scholar] [CrossRef]
- Ahmadianfar, I.; Bozorg-Haddad, O.; Chu, X. Gradient-based optimizer: A new metaheuristic optimization algorithm. Inf. Sci. 2020, 540, 131–159. [Google Scholar] [CrossRef]
- Bazaraa, M.S.; Sherali, H.D.; Shetty, C.M. Nonlinear Programming: Theory and Algorithms; John Wiley & Sons: Hoboken, NJ, USA, 2013. [Google Scholar]
- Weerakoon, S.; Fernando, T.G. A variant of Newton’s method with accelerated third-order convergence. Appl. Math. Lett. 2000, 13, 87–93. [Google Scholar] [CrossRef]
- Patil, P.; Verma, U. Numerical Computational Methods; Alpha Science International Ltd.: Oxford, UK, 2006. [Google Scholar]
- Yi, J.H.; Wang, J.; Wang, G.G. Improved probabilistic neural networks with self-adaptive strategies for transformer fault diagnosis problem. Adv. Mech. Eng. 2016, 8, 1–13. [Google Scholar] [CrossRef]
- Antoni, J. The spectral kurtosis: A useful tool for characterizing non-stationary signals. Mech. Syst. Signal Process. 2006, 20, 282–307. [Google Scholar] [CrossRef]
- Wang, L.; Shao, Y. Fault feature extraction of rotating machinery using a reweighted complete ensemble empirical mode decomposition with adaptive noise and demodulation analysis. Mech. Syst. Signal Process. 2020, 138, 106545. [Google Scholar] [CrossRef]
- Huang, D.R. A sufficient condition of monotone cubic splines. Math. Number Sin. 1982, 2, 214–217. [Google Scholar]
- Chen, Q.; Huang, N.; Riemenschneider, S.; Xu, Y. A B-spline approach for empirical mode decompositions. Adv. Comput. Math. 2006, 24, 171–195. [Google Scholar] [CrossRef]
- Zhan, L.W.; Ma, F.; Zhang, J.J.; Li, C.W.; Li, Z.H.; Wang, T.J. Fault feature extraction and diagnosis of rolling bearings based on enhanced complementary empirical mode decomposition with adaptive noise and statistical time-domain features. Sensors 2019, 19, 4047. [Google Scholar] [CrossRef] [PubMed]


























| − | ECI | OI | RMSE | ISNR | Output SNR | 
|---|---|---|---|---|---|
| CEITDAN | 0.5915 | 0.2876 | 0.2870 | −31.4192 | 1.7978 | 
| CEEMDAN | 0.5512 | 0.7666 | 0.3223 | −31.26 | 1.7135 | 
| CEITDALN | 0.8155 | 0.0491 | 0.2539 | −28.4227 | 6.2229 | 
| Ball Number | Pitch Diameter | Roller Diameter | Contact Angle | 
|---|---|---|---|
| 14 | 46 | 7.5 | 0 | 
| − | ECI | OI | RMSE | ISNR | 
|---|---|---|---|---|
| CEITDAN | 0.6563 | 0.4754 | 0.3164 | −27.1110 | 
| CEEMDAN | 0.5964 | 0.8453 | 0.3584 | −27.0868 | 
| CEITDALN | 0.8345 | 0.0698 | 0.2783 | −25.3680 | 
| − | ECI | OI | RMSE | ISNR | 
|---|---|---|---|---|
| CEITDAN | 0.6912 | 0.3716 | 0.3056 | −29.7182 | 
| CEEMDAN | 0.6132 | 0.7985 | 0.3379 | −29.0913 | 
| Wavelet Threshold Method | − | − | 0.3089 | −29.9812 | 
| CEITDALN | 0.8487 | 0.0591 | 0.2694 | −27.3680 | 
| Publisher’s Note: MDPI stays neutral with regard to jurisdictional claims in published maps and institutional affiliations. | 
© 2021 by the authors. Licensee MDPI, Basel, Switzerland. This article is an open access article distributed under the terms and conditions of the Creative Commons Attribution (CC BY) license (https://creativecommons.org/licenses/by/4.0/).
Share and Cite
Ma, J.; Zhuo, S.; Li, C.; Zhan, L.; Zhang, G. An Enhanced Intrinsic Time-Scale Decomposition Method Based on Adaptive Lévy Noise and Its Application in Bearing Fault Diagnosis. Symmetry 2021, 13, 617. https://doi.org/10.3390/sym13040617
Ma J, Zhuo S, Li C, Zhan L, Zhang G. An Enhanced Intrinsic Time-Scale Decomposition Method Based on Adaptive Lévy Noise and Its Application in Bearing Fault Diagnosis. Symmetry. 2021; 13(4):617. https://doi.org/10.3390/sym13040617
Chicago/Turabian StyleMa, Jianpeng, Shi Zhuo, Chengwei Li, Liwei Zhan, and Guangzhu Zhang. 2021. "An Enhanced Intrinsic Time-Scale Decomposition Method Based on Adaptive Lévy Noise and Its Application in Bearing Fault Diagnosis" Symmetry 13, no. 4: 617. https://doi.org/10.3390/sym13040617
APA StyleMa, J., Zhuo, S., Li, C., Zhan, L., & Zhang, G. (2021). An Enhanced Intrinsic Time-Scale Decomposition Method Based on Adaptive Lévy Noise and Its Application in Bearing Fault Diagnosis. Symmetry, 13(4), 617. https://doi.org/10.3390/sym13040617
 
         
                                                

 
       