Abstract
As a crucial form of public transportation, subways are becoming essential infrastructure that cities in China increasingly prioritize for development. However, there is a lack of effective risk assessment methods for subway station and line siting. To address this gap, this paper uses the subway system in Kunming, China, as a case study, establishing a subway site risk evaluation framework (SIRE-BAF) that integrates three dimensions: balance (B), attractiveness (A), and financing mode (F). An extended NP-RV model is proposed to assess the balance (or imbalance) characteristics of subway stations based on sub-dimensions of traffic supply, land use, and urban vitality. Findings indicate that (1) the balance (or imbalance) of subway stations is distinctly distributed along the line and simultaneously exhibits a spatial pattern radiating from the urban core to the periphery. (2) Stations with high urban vitality and minimal imbalance are highly attractive and tend to face “undersupply” during operation, whereas stations with lower attractiveness are more prone to “oversupply”. A higher level of BAF coupling coordination suggests a more suitable subway site selection and lower investment risk, while lower coupling coordination indicates increased risk. (3) Excessive reliance on the “subway + real estate” model, without considering urban vitality, may lead to high vacancy rates and reduced efficiency in subway service. This paper further assesses the site selection risks for the proposed Kunming subway. This study contributes to risk assessments of existing subway operations and maintenance in Chinese cities, enhances planning rationality and site selection for proposed subways, and holds potential applicability for other cities.
1. Introduction
Amid rapid urbanization, rail transit systems play a pivotal role in China’s urban, economic, and social development [1]. As a sustainable transportation mode, subways have gradually become the preferred option for rail construction in many cities [2], offering significant environmental benefits [3,4] and guiding urban development toward energy savings, coordination, and efficiency [5,6]. Subway stations are critical transport nodes that serve a large number of urban commuters [7], with a significance that extends beyond their role as urban transport hubs [8]. They stimulate development in surrounding areas by attracting commercial activity, crowd density, and real estate investment, creating coupling effects that promote economic growth and employment opportunities [9]. However, the development around subway stations is often uneven, presenting challenges for subway construction and operation while impacting subway system efficiency [10]. The rationality of subway station site selection contributes significantly to a city’s economic growth, reduction in commuting times, and tourism development, making it a central focus for urban planners [11,12].
Currently, research on subway site selection primarily focuses on land use, transportation supply, subway system attributes, and accessibility [13]. The predominant approach in this field is based on the node–place (NP) model introduced by Bertolini (1996) [14], an analytical framework for assessing the balance between transportation and land use. Here, “balance” refers to a state of relative equilibrium where the functions and development of each dimension align with actual local traffic demand. In recent years, numerous studies have expanded the NP model by incorporating additional indicators or introducing a third dimension beyond node and place. For example, Caset et al. [15] integrated trip endpoints into the NP model to analyze factors influencing railway passenger flows. Zhejing Cao et al. [16] incorporated accessibility and network centrality into the node values, and Yang et al. [17] developed a three-dimensional NP model by considering the compactness of subway station areas and their interaction with the urban structure. Additionally, Jia et al. [18] proposed an extended N-P-E model integrating three dimensions: node characteristics (e.g., accessibility), place characteristics (e.g., land use), and user experience (e.g., comfort, convenience). Regarding research on evaluating land use suitability around subway stations, numerous studies have focused on how rail transit reshapes land development density [19] or on how subway station accessibility influences real estate prices [20,21], confirming a positive correlation between subway proximity and real estate development [22,23]. Many cities, including Hong Kong and Shenzhen, have widely adopted the “subway + real estate model” (also called the “subway and real estate comprehensive development model”), which integrates subway construction and operation with real estate development along subway lines or around stations. This approach helps alleviate funding pressures for subway projects through comprehensive development, while simultaneously optimizing land use to achieve a win–win outcome and support sustainable urban development. However, subway network expansion often has specific objectives, such as enhancing access between urban cores and peripheral areas [24] and meeting residents’ transportation needs [25]. In some cities, subway development is not explicitly coordinated with land use planning [26], but studies indicate a significant correlation between subway stations, urban vitality [27,28], and land use [29].
As a key public transport facility, subway site selection must consider a multi-dimensional balance of traffic supply, land use, and urban vitality [30] to provide urban planners with accurate assessments of current conditions and help them develop targeted improvement plans and strategies for future development based on local needs [31]. Uncoordinated land use development around subway stations can directly impact passenger attraction, as well as the profitability and operational efficiency of subway systems [32,33]. Additionally, urban subway construction requires substantial initial investment and ongoing operation and maintenance costs [34]; therefore, selecting an appropriate financing model is essential to ensure capital stability for both subway construction and long-term operation. Various studies highlight that subway systems significantly influence urban development, promote spatial changes in land use, and generate broader economic benefits through integration with other urban functions [35]. However, a review of existing research reveals that few scholars have examined how excessive real estate development exacerbates land use imbalance around subway stations or verified the potential risks in applying the “subway + real estate model” in practice. Additionally, there is a lack of an effective subway site selection risk assessment framework that integrates land use balance around stations, station attractiveness, and financing models. In this paper, subway site selection risk primarily refers to the risk of wasting transportation resources due to oversupply from poor site selection, as well as the related risks of low passenger flow and reduced ticket revenue.
To address the above gaps, this paper proposes a three-dimensional subway site selection risk assessment framework—SIRE-BAF—that integrates the balance between station traffic supply and demand, the attractiveness of stations to potential passenger flows, and the financing model selected for subway construction. Using Kunming Subway as a case study, this paper establishes a node (N)–place (P)–real estate (R)–vitality (V) model based on traffic availability, land use (including life service type and real estate development type), and urban vitality to evaluate the balance of transportation supply and demand at subway stations and to assess site selection risk under varying intensities of real estate development. Additionally, the gravitational model is used to measure each subway station’s potential to attract passengers. By incorporating the influence of the financing model, the coordination of coupling among balance, attractiveness, and the financing model is used to represent subway site selection risk: a higher degree of coupling coordination indicates lower risk, whereas a lower degree suggests higher risk. Since automatic fare collection (AFC) data directly reflect subway passenger flow and ticketing revenue, thereby indicating potential risks related to subway transportation resource waste and liabilities, this paper uses AFC data to validate the effectiveness of the SIRE-BAF risk assessment framework.
2. Study Area and Data Sources
2.1. Overview of the Study Area
Kunming is a major economic, cultural, and transportation hub in Southwest China. In recent years, the city has developed rapidly, and to address increasing traffic pressures from urbanization, the Kunming Subway has constructed multiple lines since 2011 (Figure 1), covering key areas and transport hubs across the city. Since Kunming Subway Lines 1 and 2 operate as a single line, this paper refers to them collectively as “Line 12”. As of November 2022, the Kunming Subway network includes six operational lines, spanning 165.85 km, with 103 stations (including 10 interchange stations) and a total of 1.31 billion passenger trips. Line 7 is among the next of the subway lines planned for development in Kunming. Kunming serves as an emerging example of rapid subway development, having started construction later than other cities but expanded quickly. While numerous studies have focused on subway construction and urban development in first-tier cities, research on Kunming, a developing city, remains limited, presenting a valuable area for exploration. Therefore, this paper examines the Kunming Subway system, analyzing site selection risks for both existing and planned subway lines.
Figure 1.
Schematic map of the study area and subway line distribution.
2.2. Data Sources and Pre-Processing
(1) Data source: The research data for this study came from multiple sources. The POI dataset was obtained from AutoNavi Map API (https://bs.amap.com/ (accessed on 16 July 2024)). Population density data were derived from Worldpop’s 100 m-resolution spatial population dataset for 2020 (https://www.worldpop.org (accessed on 7 July 2024)). Nighttime light data were sourced from Harvard Dataverse (https://dataverse.harvard.edu/dataset.xhtml?persistentId=doi:10.7910/DVN/YGIVCD (accessed on 16 July 2024)). AFC data, bus station data, administrative planning data for the current Kunming Subway system, and site planning data for proposed subway lines were provided by Kunming Planning and Design Research Institute Co., Ltd. (Kunming, China). Indicators for calculating degree centrality and betweenness centrality were derived from the Metro Line Timetable (https://dt.8684.cn/km_list_time (accessed on 16 July 2024)), and subway frequency data were sourced from Travel China Guide (https://www.travelchinaguide.com/ (accessed on 16 July 2024)).
(2) Data preprocessing: ArcGIS 10.8.1 was used to calibrate the coordinate system of the population density and nighttime light data, apply noise smoothing, and extract population and light indices. The preprocessing of various statistical and POI data primarily involved initial data cleaning and categorical statistics. Finally, all data from different sources were preprocessed, including normalization.
3. Methods and Models
This paper establishes a three-dimensional subway site risk assessment framework (SIRE-BAF) to evaluate the rationality of subway station (or line) site selection by integrating the factors of balance, attractiveness, and financing model. The technical process of this framework is illustrated in Figure 2.
Figure 2.
Technical process framework.
3.1. Balance of Subway Station Site Selection
3.1.1. Selection of Balance Indicators
The balance indicators listed in Table 1 were selected based on a combination of previous studies, the specific conditions of the study area, and data availability. The node (N) dimension represents the transport function and accessibility of the subway network, closely associated with subway frequency [36], bus stops [37], and subway entrances and exits [38], which collectively indicate travel convenience on the subway. Additionally, degree centrality and betweenness centrality capture the connectivity characteristics of the subway network [39].
Table 1.
Balance dimension indicator system.
The place (P) dimension primarily reflects the diversity of land use related to life services around subway stations, focusing on resident needs and service levels. It includes indicators of service and public facilities, to evaluate the region’s service level, quality of life, and public service capacity, directly tied to residents’ daily life, cultural education, and access to public services. These indicators influence pedestrian flow based on life needs, thereby affecting subway passenger flow and playing an essential role in determining the convenience and functional design of subway station site selection. POI data has been widely used to measure the characteristics of the P dimension [40], and this paper selects POI types related to life services (P1–P6).
A primary goal of subway site selection and construction is to serve residents along the route, particularly in ordinary residential gathering areas where the permanent population density is concentrated. However, to create a win–win model that both enhances land value and addresses funding challenges for subway construction, many cities in China, such as Shenzhen and Hong Kong, have adopted the “subway + real estate” model, integrating subway development with surrounding real estate projects. To verify the effectiveness of this model, this paper incorporates a real estate (R) dimension to compare subway site selection risks across varying levels of real estate development intensity. Although both R and P categories pertain to buildings, the R index in China typically reflects factors associated with land use, commercial development, property management, and the real estate market [41], differing from the P index, which focuses on residents’ needs and service levels. The R index is divided into residential real estate [42], commercial real estate [43], and industrial real estate [44]. According to national standards, residential buildings are categorized as either ordinary residences, primarily for self-occupation, or commercial apartments driven by market demand and return on investment. In this paper, residential real estate primarily refers to the latter category of business-oriented residences and apartments, which differ from ordinary residential housing and fall under commercial property. Commercial real estate includes assets such as retail spaces, hotels, and office buildings intended for commercial use. Industrial real estate comprises properties used for industrial production, manufacturing, and warehousing. Accordingly, this paper classifies the R index into business residential buildings and apartments (representing commercial residential buildings and business apartments in residential real estate), companies and enterprises (reflecting the distribution of commercial office buildings in commercial real estate), hotels (representing hotel properties in commercial real estate), industrial parks, and factories (both representing industrial real estate).
Regarding the vitality (V) dimension, scholars have examined urban vitality in terms of the intensity of human activities and interactions as a direct indicator of subway transport demand. Common indicators in related studies include mobile phone data [45], social media check-in data [46], nighttime light data [47], and demographic data [48]. Concerning data accessibility, the first two involve private mobile data relating to residents’ activities, which are challenging to obtain for this study area. Therefore, this paper selects population density data (reflecting the concentration of residents around subway stations, which influences local subway demand) and nighttime light data (representing nighttime activity intensity, which, combined with population density, reflects potential subway traffic flow) as indicators of urban vitality.
The Chinese official guidelines recommend a subway station buffer zone radius of 500–800 m (Ministry of Housing and Urban–Rural Development of the People’s Republic of China, 2015). Considering the scale of Kunming, this study adopted an 800 m Euclidean radius as the buffer zone around each subway station and calculated the value of each indicator within this area. The balanced comprehensive indicator system is presented in Table 1.
3.1.2. Calculation of Balance Index Weights
In the station balance analysis, this paper uses the criteria importance through intercriteria correlation (CRITIC) method to calculate indicator weights. This method comprehensively assesses the objective weight of each indicator by considering both the variability of each indicator and the correlation between them [49], based on the comparative strength and conflict among subway station balance evaluation indicators [50]. The calculation process was as follows:
- ➢
- Indicator normalization
To eliminate the impact of differing units, the min–max scaling method was applied to normalize positive indicators (Equation (1)) and negative indicators (Equation (2)) before calculating their weights:
where X represents the normalized index of balance indicator x, min(x) is the minimum value of indicator x, and max(x) is the maximum value of indicator x.
- ➢
- Indicator variability (expressed as standard deviation)
- ➢
- Indicator conflicts
The correlation coefficient (r) expresses the degree of conflict between a balanced indicator and others; a stronger correlation indicates less conflict with other indicators, warranting a lower assigned weight:
where , , , and represent different indicators and their respective means after normalization.
- ➢
- Amount of information
A larger information value C indicates greater importance of the indicator in the balance evaluation, warranting a higher assigned weight.
- ➢
- Final weights
3.1.3. Balance Evaluation of Subway Stations Based on the NP-RV Model
The NP model highlights mismatches between local transport supply or city accessibility (node values) and the intensity and diversity of urban development (place values) [51]. The original NP model is illustrated in Figure 3a. “Well-balanced” areas represent subway stations with sustainable development, where node and place values are in balance. “Stress” areas indicate that further development of these stations could lead to conflicts between limited transport supply and high urban vitality [52]. In contrast, “Dependency” areas suggest a need for further development, as both node and place values are low. Additionally, the “Unbalanced Node” scenario reflects a relatively more developed transport system in relation to urban activity around the station, opposite to the “Unbalanced Place” scenario [53].
Figure 3.
Schematic of the NP model and improved NP model: (a) Schematic of the original NP model, (b) Schematic of the improved NP-RV model’s NP dimension, with other dimensions being similar.
By extending the original NP model, this paper establishes an NP-RV model to analyze the equilibrium of subway stations across four dimensions: “node”, “place”, “real estate”, and “vitality”. In evaluating balance around subway stations, it is essential to identify imbalances within specific dimensions. Following the approach of Chen-Xiao et al. [54], the three categories of “Stress”, “Well-balanced”, and “Dependency” are combined into a state of “relative balance”. Taking the NP dimension as an example, a schematic diagram is shown in Figure 3b; the same applies to the NR, NV, PR, PV, and RV dimensions.
3.2. Attractiveness of Subway Site Selection (A)
Inspired by Newton’s law of gravity, the gravity model was first proposed by Zipf [55]. It assumes that the drivng force for human interaction between two locations arises from their mutual attraction, while friction in this interaction is caused by the spatial distance between them. In this paper, we calculate the attractiveness of subway stations based on the original gravity model, using the N, P, and V values derived from the balance dimension calculation (Equation (6)). Here, the N value represents the attraction of the site’s transport supply to the crowd, the p value represents the appeal of nearby life service buildings to the crowd, and the V value represents the station’s attractiveness to the potential passenger flow in the surrounding area. The calculation formula is as follows:
where represents attractiveness between stations, , and denote the node, place, and vitality values of stations i and j, respectively, is the distance between stations i and j, and is the gravitational constant in the original gravity model, set to 1 in this paper.
3.3. Financing Models for Subway Site Selection (F)
Economic factors have a statistically significant relationship with the level of subway development [56], and the financing model impacts the investment risk associated with subway construction and station site selection. This study selected common urban subway financing models and their combinations, using the expert discussion scoring method and analytic hierarchy process (AHP) to assess the risk levels of 11 financing models (Table 2) that could lead to construction shutdowns (due to capital shortfalls) or operational suspensions (due to severe debt). The three experts involved have over 15 years of experience in urban planning, municipal administration, and transportation, and all have participated in Kunming subway planning and construction, holding the title of senior engineer or above. Explanations and descriptions of each financing model are provided in Appendix A. Scoring was based on a five-point scale, with higher scores indicating greater financial stability and lower risk.
Table 2.
The selected financing model and the results of the expert scoring.
3.4. SIRE-BAF Framework for Risk Evaluation of Subway Site Selection
Coupling refers to the interaction between multiple systems, with the degree of coupling C (Equation (8)) reflecting the strength of this interaction. Combined with the degree of coordination T (Equation (9)), the coupling coordination model D (Equation (10)) represents conditions of harmony and compatibility [57]. Effective subway site selection should consider station balance, crowd attractiveness, and an appropriate financing model. Since the three BAF dimensions do not independently affect site selection, their degree of interaction and coordination must also be considered.
This study used the coupling coordination degree model to evaluate the investment risk of subway site selection across the three dimensions of BAF. Station attraction was derived from balance results, so only the attractiveness and financing dimensions required calculation in the coupling coordination model. The relationship between risk and coupling coordination is defined as follows: the higher the coupling coordination degree, the more optimal the subway site selection, with lower risk of resource waste and debt; conversely, greater imbalance indicates higher risk. To integrate the contributions of BAF into the three-dimensional subway site selection process, this paper defines the above process as the SIRE-BAF risk assessment framework for urban subway site selection.
where and represent the coupling degree, coordination degree, and coupling coordination between two sites, respectively. In Equation (8), and indicate the contributions of attractiveness and financing mode. When neither factor is deemed more important, both parameters are set to 0.5 [58].
4. Results and Discussion
4.1. Balance of Subway Stations
4.1.1. Overall Performance Analysis of Balance
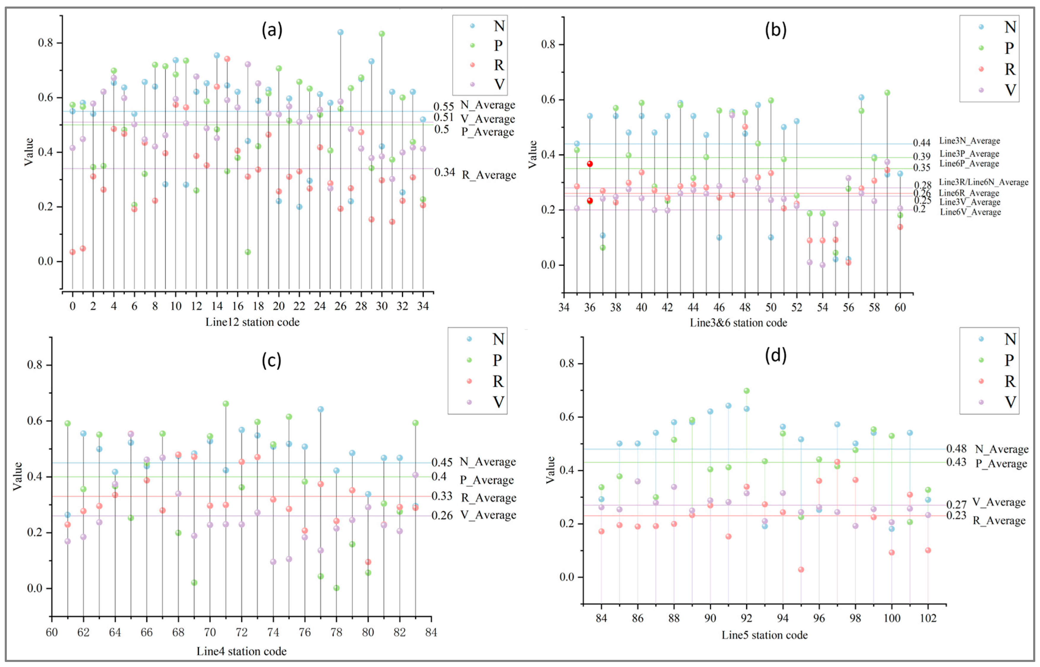
This study calculated the scores of each sub-dimension of balance using indicator weights and plots scatter diagrams, as shown in Figure 4. Due to the smaller number of stations on Lines 3 and 6, they are combined in Figure 4b. In this figure, “X_Average” represents the average score of the corresponding dimension for each subway line, with the correspondence between code and station provided in Appendix B. Figure 4 shows that within the comparison of the same dimension, the average scores of the sub-stations on Line 12 are higher than those on other lines.
Figure 4.
Scattered point graph of each subway line obtained by integrating various dimensions of balance: (a) Line 12, (b) Line 3&6, (c) Line 4, (d) Line 5.
Figure 5 illustrates the spatial variation in composite scores across different balance dimensions among the stations. Due to substantial differences in the score distributions of each dimension, this study applied the natural breaks method in ArcGIS 10.8.1 to identify “natural” division points by minimizing variance within categories and maximizing variance between them. This method divides each dimension’s scores into five levels: low, relatively low, medium, relatively high, and high. The figure shows that balance results across dimensions exhibited two spatial patterns: core–periphery and axis distribution. These patterns are reflected in the following ways: within the Second Ring Road in Kunming’s main urban area, displays a clear clustering of “medium and high score” stations across different dimensions. Outside the Second Ring Road, station scores across dimensions tend to align along the transit line, forming a continuous distribution of high or medium-low scores along the axis, with notable differences in scores by line. This spatial distribution pattern suggests that management should adjust train frequency and schedules based on passenger flow characteristics in core and peripheral areas as well as on different subway lines. Additionally, coordination of surrounding land use and traffic layout is essential to foster balanced development between core and peripheral areas.
Figure 5.
Spatial distribution of scores for different dimensions of balance at each station.
4.1.2. Balance Results Based on the NP-RV Model
Higher scores in the four dimensions (N, P, R, and V) do not necessarily indicate a more favorable condition, nor does a lower score imply functional imbalance in a station’s dimensions. The balance analysis in the NP-RV model emphasizes identifying stations with relatively matched and balanced development across dimensions, as well as those where a specific dimension is imbalanced. Relatively balanced stations indicate a state of sustainable development that is worth pursuing. The NP-RV model results are shown in Figure 6, with unbalanced stations marked by their codes (the correspondence between codes, stations, and lines is provided in Appendix B). The primary types of imbalance in Kunming Subway are as follows.
Figure 6.
Scatterplot of NP-RV model results: (a) NP dimension, (b) NR dimension, (c) NV dimension, (d) PR dimension, (e) PV dimension, (f) VR dimension.
Figure 6a shows the NP dimension imbalance results. Nine stations exhibited an imbalance in nodes, indicating high transportation connectivity but insufficient development of surrounding living services, which may lead to “oversupply” due to low passenger flow. In contrast, nine other sites showed an opposite pattern of imbalance.
Figure 6b shows the NR dimension imbalance results. Nine stations exhibited a node imbalance, indicating that the traffic availability of these stations is much greater than that of real estate development land use, which can appropriately increase real estate leasing and commercial income to promote regional land value.
Figure 6c presents the NV dimension imbalance results. Eleven stations showed a node imbalance, meaning that the areas around these stations lack sufficient vibrancy, leading to a tendency for “oversupply” in subway services. Increasing the areas’ attractiveness could help expand passenger flow and prevent operational losses. Conversely, one station showed a vitality imbalance indicating insufficient traffic availability and a tendency toward congestion during peak times.
Figure 6d shows the imbalance results for the PR dimension. Seven stations exhibited a place imbalance, indicating that life services and activity diversity in these areas are more developed than real estate. However, a real estate imbalance at four other stations suggests that high levels of real estate development, combined with low diversity in life services and activities, may exacerbate the imbalance between transportation demand and supply, particularly in areas with insufficient regional vitality.
Figure 6e shows the imbalance in the PV dimension. A place imbalance indicates that land use is abundant, but regional vitality is low, which may lead to lower passenger flow at subway stations and impact operating income. Management should carefully analyze and monitor these sites to prevent future imbalances. Conversely, the two stations with a vitality imbalance experience high passenger flow but limited land use diversity, highlighting the need to optimize land use structure and unlock regional potential.
Figure 6f shows the VR dimension imbalance results. Two stations exhibited a real estate imbalance, indicating high real estate development intensity but low regional vitality, which may result in high vacancy rates for the subway and nearby real estate buildings. In contrast, the four stations with a vitality imbalance showed the opposite trend.
4.2. Attractiveness of Subway Stations
Station attractiveness results from a combination of transport provision, surrounding land use, and potential patronage. Figure 7 illustrates differences in attractiveness across stations. The figure shows that the most attractive stations are primarily located in and around the city’s Second Ring Road. Outside the Second Ring Road, the more attractive stations are mostly interchange stations and Line 12 subway stations, followed by Lines 3, 4, and 5, while Line 6 stations are the least attractive.
Figure 7.
Spatial distribution of attractiveness.
4.3. Financing Models
This study applied the AHP method to calculate weights based on the expert scoring results, with the findings presented in Figure 8. The AHP judgment matrix and consistency test are provided in Appendix C. Based on expert scores from this study, the “government investment + bank loan” model presents the lowest investment risk among financing models for subway construction in Kunming, while the TOT model is associated with the highest risk.
Figure 8.
Calculation results of AHP weight for financing mode.
4.4. Siting Risk Evaluation Based on SIRE-BAF
This paper classifies the risk level of subway site selection into five categories based on the coupling coordination level D: high (0 < D ≤ 0.2), relatively high (0.2 < D ≤ 0.4), medium (0.4 < D ≤ 0.6), relatively low (0.6 < D ≤ 0.8), and low (0.8 < D ≤ 1.0). Figure 9 shows the evaluation of the risk of site selection based on the SIRE-BAF framework difference in the spatial distribution of results.
Figure 9.
Results of risk evaluation on the siting of various subway stations.
Figure 9 reveals significant spatial heterogeneity in the risk evaluation results. In terms of proximity to the city center, a higher proportion of low-risk sites can be observed within the Third Ring Road, while high-risk sites are more prevalent outside it. By line distribution, lower risk is primarily associated with stations on Line 12, Line 3, and various interchange stations. Line 4 stations are mostly medium-to-high risk, Line 5 and Line 6 stations within the Second Ring Road are medium-to-low risk, while those outside the Second Ring Road are predominantly medium or high risk.
4.5. Prediction of the Proposed Subway and Risk Analysis of the Subway Line Site Selection
4.5.1. Risk Prediction for Kunming Line 7 Site Selection
Line 7 of Kunming Subway is among the next of the subway lines proposed for construction in Kunming, and this study used the SIRE-BAF framework to analyze the reasonableness of its location. The real estate dimension in this framework primarily assesses the risk associated with the “subway + real estate” model. Since Line 7 is a proposed line and cannot be verified with AFC data, the balance analysis for Line 7 focused on the three dimensions of N, P, and V. Figure 10 presents the balance analysis of Line 7, with Figure 10d showing the station codes. Figure 10a indicates that the traffic supply and life service facilities for each station on Line 7 are relatively balanced. However, stations with unbalanced vitality can be observed in Figure 10b,c, suggesting that these stations are likely to experience high passenger flow once subway Line 7 is operational, potentially causing congestion due to short supply. These sites should be carefully analyzed and evaluated, with measures implemented to prevent future imbalances.
Figure 10.
Balance analysis results of Line 7: (a) NP dimension, (b) NV dimension, (c) PV dimension, (d) The station names represented by numeric codes.
Figure 11 illustrates the spatial distribution of changes in station attractiveness following the addition of Line 7. More attractive stations tend to cluster spatially, primarily within the Third Ring Road and at certain transfer stations. Stations located farther from the city center, such as those in the northeast on Lines 6 and 7, are generally less attractive.
Figure 11.
Attractive spatial distribution of all stations with the addition of Line 7.
According to the Kunming government announcement, Line 7 will adopt the PPP financing model, with a calculated weight of 8.79%, as per Section 4.3. By applying the SIRE-BAF framework, the investment risk of each station on Line 7 can be determined, as shown in Figure 12. High-risk stations are primarily located in the northeast section of Line 7, while low-risk stations are mainly transfer stations and certain stations within the Third Ring Road.
Figure 12.
Distribution map of risk for site selection of Line 7 stations.
4.5.2. Overall Risk Analysis of Subway Lines
The sum of site selection risk indices for each subway station represents the construction risk associated with that subway line. However, because station counts differ among subway lines, this study calculated the proportion of each line’s station count relative to the total station count for Lines 1–7, as well as the proportion of each line’s risk index relative to the combined risk index for Lines 1–7. These proportions were then used as risk index weights for each line based on normalized means. The resulting investment risk distribution map for subway Lines 1–7 is shown in Figure 13. Risk is categorized across six levels, with higher levels indicating greater risk.
Figure 13.
Distribution map of site selection risks for Lines 1–7.
4.6. Validation of the SIRE-BAF Framework
The primary purpose of subway construction is to meet residents’ travel needs, with passenger flow directly reflecting subway service efficiency and ticketing revenue. Consequently, passenger flow indirectly indicates risks related to wasted transportation resources and potential operating liabilities. Accordingly, this paper discusses the risks associated with subway site selection and passenger flow as follows.
Using subway AFC data provided by Kunming Urban Planning and Design Co., Ltd. (Kunming, China), this study compared passenger flow differences in Kunming Subway with the SIRE-BAF site selection risk assessment results (Figure 14). Given the periodicity of human activities, AFC data from 3 November to 10 November 2022 were primarily used, covering a one-week period. As shown in Figure 14, most low-risk stations are associated with high passenger flows, while stations with low passenger flow often present higher risks. Exceptions include special stations such as Airport Central Station (the northeastern terminus of Line 6), where passenger flows are driven by non-residential commuting and intra-city travel. Since passenger flow directly impacts subway revenue, this suggests that low-risk stations are more likely to become profitable sooner, indirectly validating the effectiveness of the SIRE-BAF site selection risk evaluation framework presented in this study.
Figure 14.
Comparison of site selection risk and passenger flow at each site.
Figure 15 presents the normalized total scores of each subway line for the dimensions of passenger flow, revenue, vitality, and real estate. As shown, all subway lines exhibit a decreasing trend across dimensions, except in the real estate (R) dimension, where Line 4 diverges from this trend and has a relative advantage over Lines 3–6. However, according to the NP-RV model, many stations on Line 4 display imbalances across multiple dimensions. Moreover, the SIRE-BAF site selection risk evaluation indicates that Line 4 has a higher risk. Subway AFC data further validates these findings, showing that Line 4 lacks significant advantage in passenger flow and generates relatively low fare revenue. This indicates that the “subway + real estate” model is not universally applicable for all subway lines and may not ensure a long-term, dual benefit of enhancing land value and resolving funding challenges. In areas with low urban vitality, subway construction centered around real estate can indeed supplement funding in the early stages through real estate leasing and other sources. However, over the long term, insufficient urban vitality can lead to mismatches—or even severe imbalances—among transportation supply, residential services, and regional vitality. Limited urban vitality struggles to absorb an oversupply of real estate and underutilizes subway resources, which can result in “supply exceeding demand”, ultimately wasting subway service resources and increasing operational debt.
Figure 15.
Comparison of passenger flow, ticketing revenue, vitality, and real estate dimensions for subway lines.
5. Conclusions
This paper establishes a subway site selection risk evaluation framework (SIRE-BAF) that integrates balance, attractiveness, and financing mode. First, the NP-RV model is proposed, incorporating four sub-dimensions: transport supply, living services, real estate development, and urban vitality, to evaluate and discuss matching supply and demand for subway construction. Since potential passenger flow attraction directly influences subway revenue, and the financing mode determines the economic sources for subway operation and maintenance, both factors, along with site balance, affect investment risk in subway site selection. Therefore, this study used the coupling coordination degree among these three factors to evaluate subway station site selection risk: the higher the coupling coordination degree, the lower the risk. Finally, AFC data were used to validate the SIRE-BAF framework, showing that it has a reasonable level of accuracy and effectiveness.
The study results indicate that subway station balance (or imbalance) follows a core–periphery spatial pattern, radiating outward from the city center and displaying a clear distribution along transit lines. The attractiveness of subway stations is closely linked to their balance. Stations with high urban vitality and minimal imbalance tend to be highly attractive, often resulting in “undersupply”, whereas stations with lower attractiveness are more likely to experience “oversupply”. Additionally, higher BAF coupling coordination at subway stations signifies more optimal site selection and lower site selection risk; such stations generally experience higher passenger flow and are more likely to be profitable. In contrast, high-risk stations typically have lower passenger flow, making them more susceptible to capital chain disruptions and debt accumulation. The discussion section highlights that over-reliance on the “subway + real estate” development model can result in high vacancy rates, reduced efficiency in subway service utilization, resource waste from “oversupply”, and significant operational debt. Since indicators in each dimension can be tailored to the specific conditions of different cities, the research framework and methodology presented in this paper are broadly applicable. They can be used to assess subway site selection risk in other cities, supporting decision making in subway planning and policy development. This study’s findings provide valuable reference points for future subway site selection planning in Kunming and offer insights and recommendations for subway system development in cities across China.
As an effective and sustainable mode of transportation, subway site planning must account for a range of complex factors. This article proposes the following suggestions for future subway planning: (1) Subway site selection planning should comprehensively consider the balance of transportation supply, land use, and urban vitality to evaluate the potential attractiveness of the subway to the population after its construction. (2) Public participation and feedback mechanisms should be strengthened. During the process of selecting and planning subway stations, opinions and suggestions from citizens should be widely collected to ensure that subway stations meet the actual needs of local residents, and transparent feedback channels established to make the planning process more democratic and scientific, thereby improving the utilization and attractiveness of subway stations. (3) The financing model directly affects funding and supply issues relating to subway construction and operation. Therefore, to avoid the risk of debt associated with subway site selection, planning should comprehensively consider the coupling and coordination of station balance, attractiveness, and the three-dimensional degree of subway financing models.
6. Limitations
Methodologically, this paper references common indicators of the NP model used in previous studies; however, limitations in data collection may have introduced biases in some indicators. Additionally, the case study focuses only on two financing models—”government investment + bank loans” and PPP—without comparing other financing options. Expert scoring was mainly conducted by practitioners and experts from Kunming Railway Company, so planners in different cities may have varying perspectives on financing options based on local conditions, introducing a degree of subjectivity.
In future subway site selection research, comprehensive characteristic factor indicators, the latest information data, and more feasible methods should be used to address existing limitations in the field. Key considerations include the following: (1) Developing a multidimensional evaluation system by integrating diverse data sources such as traffic flow, socioeconomic indicators, environmental monitoring, and resident demand data to create a comprehensive, multi-layered evaluation framework. (2) Implementing real-time data monitoring and updates, using the latest data to help ensure timeliness and accuracy, enhancing the responsiveness of site selection decisions to real-world changes. (3) Applying big data and artificial intelligence, using big data technologies to consolidate and analyze extensive datasets on transportation, population, economy, and environment, which can enhance decision-making accuracy. Furthermore, machine learning algorithms can support the development of more accurate passenger flow forecasting and risk assessment models, reinforcing the scientific basis of subway station planning.
Author Contributions
Y.L.: conceptualization, methodology, formal analysis, visualization, writing—original draft; Z.X. (Zhiqiang Xie): conceptualization, funding acquisition, resources, supervision, writing—review and editing; P.W.: resources, supervision, writing—review and editing; C.J.: data curation, writing—original draft. L.Z.: visualization, writing—original draft. Q.W.: writing—review and editing; Z.Z.: conceptualization; Z.X. (Zhuoqian Xiao): validation; B.N.: supervision, investigation; Q.Z.: Methodology; Y.Y.: validation. All authors have read and agreed to the published version of the manuscript.
Funding
This research was funded by the Yunnan Provincial Science and Technology Project at Southwest United Graduate School (Gran No. 202302AO370007); the “Xingdian Talent Support Plan” Project; the National Natural Science Foundation of China (Grant No. 72361035); the Yunnan Fundamental Research Projects (grant No. 202401BF070001-026); the Yunnan Province Industry Education Integration Postgraduate Joint Training Base Project, Science and Technology Plan Project of Yunnan Provincial Department of Housing and Urban-Rural Development (Grant No. K00000135).
Data Availability Statement
Data used in this study from publicly accessible repositories can be accessed at the following URLs: the POI dataset was obtained from the AutoNavi Map API (https://bs.amap.com/ (accessed on 16 July 2024)); population density data were derived from Worldpop’s 100 m-resolution spatial population dataset for 2020 (https://www.worldpop.org (accessed on 7 July 2024)); nighttime light data were sourced from Harvard Dataverse (https://dataverse.harvard.edu/dataset.xhtml?persistentId=doi:10.7910/DVN/YGIVCD (accessed on 16 July 2024)); indicators for calculating degree centrality and betweenness centrality were derived from the Metro Line Timetable (https://dt.8684.cn/km_list_time (accessed on 16 July 2024)); and subway frequency data were sourced from Travel China Guide (https://www.travelchinaguide.com/ (accessed on 16 July 2024)). The AFC data, bus stop data, administrative planning data for Kunming’s existing subway, and site planning data for the proposed subway were provided by the Kunming Planning and Design Research Institute Co., Ltd. (Kunming, China).
Acknowledgments
We would like to express our gratitude to Guangzhou South Surveying and Mapping Instrument Co., Ltd. (SOUTH) and Kunming Engineering Corporation Limited for their support during the writing of this paper.
Conflicts of Interest
Author Ping Wen was employed by the company Kunming Engineering Corporation Limited, author Bojin Ning was employed by the company Kunming Urban Planning & Design Institute Corporation Limited. The remaining authors declare that the research was conducted in the absence of any commercial or financial relationships that could be construed as a potential conflict of interest.
Appendix A. Explanation and Meaning of Various Financing Models
BOT Model (build–operate–transfer): The BOT model is a financing method for infrastructure construction and operation. In this model, a private company (usually a construction or operation company) is granted a concession by the government to build, operate, and maintain the infrastructure for a certain period, after which it transfers the ownership to the government.
TOT Model (transfer–operate–transfer): The TOT model is similar to the BOT model but differs in that the private company holds the operational rights of the infrastructure for a period before transferring it to the government.
PPP Model (public–private partnership): The PPP model involves collaboration between the government and the private sector to finance, construct, operate, and maintain infrastructure projects. This model leverages the resources and expertise of both the government and the private sector to ensure the successful implementation of the project.
ABS Model (asset-backed securities): The ABS model is a financing method that involves converting specific assets into securities. In infrastructure projects, the ABS model may involve converting infrastructure assets into securities to raise funds to support the project.
Financing Lease: A financing lease refers to acquiring the right to use assets through leasing rather than direct purchase. In infrastructure projects, financing leasing can be a method to obtain necessary equipment or infrastructure.
BT Model (build–transfer): The BT model is a financing method for infrastructure construction and transfer. In this model, a private company is responsible for constructing the infrastructure and then transferring it to the government.
PPP + EPC Model: This model combines the PPP model with the EPC model, aiming to achieve collaboration between the government and the private sector while ensuring efficient project construction.
BOT + ABS Model: This model combines the BOT model with the ABS model, potentially implying the use of the BOT model for construction and operation in infrastructure projects while using the ABS model for fund-raising.
TOT + ABS Model: This model combines the TOT model with the ABS model, potentially implying the use of the TOT model for transfer and operation in infrastructure projects while using the ABS model for fund-raising.
PPP + ABS Model: This model combines the PPP model with the ABS model, potentially implying the use of the PPP model for collaboration in infrastructure projects while using the ABS model for fund-raising.
Government Investment + Bank Loans: Government investment refers to the government directly investing funds in infrastructure construction, while bank loans involve the government borrowing funds from banks and other financial institutions for project financing.
Appendix B. Codes for Metro Stations
| Code | Station Name | Code | Station Name |
| 0 | Kunming South Railway Station (Line 12) | 24 | Jiaoshiqiao Station (Line 12) |
| 1 | Bailongtan Station (Line 12) | 25 | Chuanxin Drum Tower Station (Line 12) |
| 2 | Yihelu Station (Line 12) | 26 | North Railway Station (Line 12) |
| 3 | Municipal Administrative Center Qingfeng Station (Line 12) | 27 | Baiyun Road Station (Line 12) |
| 4 | University Town South Station (Line 12) | 28 | Jinxing Station (Line 12) |
| 5 | University Town Station (Line 12) | 29 | Beichen Station (Line 12) |
| 6 | Yikang South Road Station (Line 12) | 30 | Linyu Bridge Station (Line 12) |
| 7 | Lianda Street Station (Line 12) | 31 | Yangchang Village Station (Line 12) |
| 8 | Tuofeng Street Station (Line 12) | 32 | Sijiaying Station (Line 12) |
| 9 | Chunrong Street Station (Line 12) | 33 | Longtou Street Station (Line 12) |
| 10 | Dounan Station (Line 12) | 34 | North Bus Station (Line 12) |
| 11 | South Bus Station (Line 12) | 35 | Xishan Park Station (Line 3) |
| 12 | New Asia Sports City Station (Line 12) | 36 | Chejiabi Station (Line 3) |
| 13 | Xingyao Road Station (Line 12) | 37 | Pupu Village Station (Line 3) |
| 14 | Erji Road Station (Line 12) | 38 | Shizui Station (Line 3) |
| 15 | Xiaodong Village Station (Line 12) | 39 | Dayu Road Station (Line 3) |
| 16 | Changhong West Road Station (Line 12) | 40 | West Bus Station (Line 3) |
| 17 | Wujiaba Station (Line 12) | 41 | Mianshan Station (Line 3) |
| 18 | Rixin Road Station (Line 12) | 42 | Changyuan Middle Road Station (Line 3) |
| 19 | Fude Station (Line 12) | 43 | Xiyuan Station (Line 3) |
| 20 | Kunming Railway Station (Line 12) | 44 | Liangjiahe Station (Line 3) |
| 21 | Huancheng South Road Station (Line 12) | 45 | City Sports Center Station (Line 3) |
| 22 | Tangzixiang Station (Line 12) | 46 | Panjiawan Station (Line 3) |
| 23 | Dongfeng Square Station (Line 12) | 47 | Wuyi Road Station (Line 3) |
| 48 | Tuodong Sports Center Station (Line 3) | 76 | Jingui Street Station (Line 4) |
| 49 | Dashuying Station (Line 3) | 77 | Meizi Village Station (Line 4) |
| 50 | Jinmasi Station (Line 3) | 78 | Gucheng Station (Line 4) |
| 51 | Taiping Village Station (Line 3) | 79 | Kele Village Station (Line 4) |
| 52 | Hongqiao Station (Line 3) | 80 | Xiangfeng Street Station (Line 4) |
| 53 | East Bus Station (Line 3) | 81 | Niutou Mountain Station (Line 4) |
| 54 | Airport Central Station (Line 3) | 82 | Wujiaying Station (Line 4) |
| 55 | Before Airport Station (Line 6) | 83 | Chuanjin Road Station (Line 4) |
| 56 | Dabanqiao Station (Line 6) | 84 | Shizha Station (Line 5) |
| 57 | Juhua Station (Line 6) | 85 | Jinjiahe Station (Line 5) |
| 58 | Dongjiaolu Station (Line 6) | 86 | Zhuangjiatang Interchange Station (Line 5) |
| 59 | Chajie Station (Line 6) | 87 | Yuhu Village Station (Line 5) |
| 60 | Jinchuan Road Station (Line 6) | 88 | Yinghai Road Station (Line 5) |
| 61 | Dahegang Station (Line 4) | 89 | Guangfu West Road Station (Line 5) |
| 62 | Haitun Road Station (Line 4) | 90 | Jinlan Road Station (Line 5) |
| 63 | Xiaotun Station (Line 4) | 91 | Huashan West Road Station (Line 5) |
| 64 | Jinding Mountain North Road Station (Line 4) | 92 | Yuantong Mountain Station (Line 5) |
| 65 | Sujiatang Station (Line 4) | 93 | World Horticultural Exposition Garden Station (Line 5) |
| 66 | Xiaocaiyuan Station (Line 4) | 94 | Mile Temple Station (Line 5) |
| 67 | Bailong Road Station (Line 4) | 95 | Fubao Station (Line 5) |
| 68 | Juhuacun Station (Line 4) | 96 | Bailong Temple Station (Line 5) |
| 69 | Hedianyng Station (Line 4) | 97 | Yanjiadi Station (Line 5) |
| 70 | Niu Street Village Station | 98 | Fuhai Station (Line 5) |
| 71 | Zhujia Village Station (Line 4) | 99 | Daba Station (Line 5) |
| 72 | Yangfutou Station (Line 4) | 100 | Dianchi International Convention Center (Line 5) |
| 73 | Yuyuan Road Station (Line 4) | 101 | Xingti Road Station (Line 5) |
| 74 | Guangwei Station (Line 4) | 102 | Baofeng Village (Line 5) |
| 75 | Tami Station (Line 4) |
Appendix C. AHP Judgment Matrix and Consistency Test
- AHP Judgment Matrix
| Financing Models | 1 | 2 | 3 | 4 | 5 | 6 | 7 | 8 | 9 | 10 | 11 |
| BOT model (1) | 1 | 1.33 | 1 | 0.89 | 1 | 1.143 | 1 | 1 | 1 | 1.14 | 0.57 |
| TOT model (2) | 0.75 | 1 | 0.75 | 0.67 | 0.75 | 0.86 | 0.75 | 0.75 | 0.75 | 0.86 | 0.43 |
| PPP model (3) | 1 | 1.33 | 1 | 0.88 | 1 | 1.14 | 1 | 1 | 1 | 1.14 | 0.57 |
| ABS model (4) | 1.13 | 1.50 | 1.13 | 1 | 1.13 | 1.29 | 1.13 | 1.13 | 1.13 | 1.29 | 0.64 |
| Financial leases (5) | 1 | 1.33 | 1 | 0.89 | 1 | 1.14 | 1 | 1 | 1 | 1.14 | 0.57 |
| BT model (6) | 0.88 | 1.17 | 0.86 | 0.78 | 0.86 | 1 | 0.86 | 0.86 | 0.86 | 1 | 0.50 |
| PPP+EPC model (7) | 1 | 1.33 | 1 | 0.89 | 1 | 1.14 | 1 | 1 | 1 | 1.14 | 0.57 |
| BOT+ABS model (8) | 1 | 1.33 | 1 | 0.89 | 1 | 1.14 | 1 | 1 | 1 | 1.14 | 0.57 |
| TOT+ABS model (9) | 1 | 1.33 | 1 | 0.89 | 1 | 1.143 | 1 | 1 | 1.14 | 0.57 | |
| PPP+ABS model (10) | 0.88 | 1.17 | 0.88 | 0.78 | 0.86 | 1 | 0.88 | 0.88 | 0.88 | 1 | 0.50 |
| Government investment + bank loans (11) | 1.75 | 2.33 | 1.75 | 1.56 | 1.75 | 2.00 | 1.75 | 1.75 | 1.75 | 2.00 | 1 |
- AHP Random Consistency Index (RI)
| 1 | 2 | 3 | 4 | 5 | 6 | 7 | 8 | 9 | 10 | 11 | 12 | 13 | 14 | 15 |
| 0 | 0 | 0.52 | 0.89 | 1.12 | 1.26 | 1.36 | 1.41 | 1.46 | 1.49 | 1.52 | 1.54 | 1.56 | 1.58 | 1.59 |
- Consistency Test Results Summary
| Maximum Eigenvalue | CI Value | RI Value | CR Value | Consistency Test Result |
| 11.000 | 0.000 | 1.520 | 0.000 | Passed |
References
- Cui, J.; Nelson, J.D. Underground transport: An overview. Tunn. Undergr. Space Technol. 2019, 87, 122–126. [Google Scholar] [CrossRef]
- Linchao, L.; Liangjian, Z.; Bin, R.; Bowen, D. Analysis of the relationship between metro ridership and built environment: A machine learning method considering combinational features. Tunn. Undergr. Space Technol. 2024, 144, 105564. [Google Scholar] [CrossRef]
- Xia, B.; Ziye, G.; Peng, Z.; Xiaozhao, L. Quantitative analysis of low carbon effect of urban underground space in Xinjiekou district of Nanjing city, China. Tunn. Undergr. Space Technol. 2024, 143, 105502. [Google Scholar] [CrossRef]
- Qiao, Y.-K.; Peng, F.-L.; Sabri, S.; Rajabifard, A. Low carbon effects of urban underground space. Sustain. Cities Soc. 2019, 45, 451–459. [Google Scholar] [CrossRef]
- Xiaotong, L.; Haishan, X. Networking and sustainable development of urban spatial planning: Influence of rail transit. Sustain. Cities Soc. 2023, 99, 104865. [Google Scholar] [CrossRef]
- Champagne, M.P.; Dubé, J.; Legros, D. Standing strong? The causal impact of metro stations on service firms’ survival. Transp. Res. Part A 2024, 181, 103994. [Google Scholar] [CrossRef]
- Ma, X.; Zhang, J.; Ding, C.; Wang, Y. A geographically and temporally weighted regression model to explore the spatiotemporal influence of built environment on transit ridership. Comput. Environ. Urban Syst. 2018, 70, 113–124. [Google Scholar] [CrossRef]
- Liu, K.; Qiu, P.; Gao, S.; Lu, F.; Jiang, J.; Yin, L. Investigating urban metro stations as cognitive places in cities using points of interest. Cities 2020, 97, 102561. [Google Scholar] [CrossRef]
- Rodríguez, D.A.; Kang, C.-D. A typology of the built environment around rail stops in the global transit-oriented city of Seoul, Korea. Cities 2020, 100, 102663. [Google Scholar] [CrossRef]
- Lu, K.; Katsunori, F.; Shixian, L. Case comparison of typical transit-oriented-development stations in Tokyo district in the context of sustainability: Spatial visualization analysis based on FAHP and GIS. Sustain. Cities Soc. 2021, 68, 102788. [Google Scholar] [CrossRef]
- Eom, J.K.; Choi, J.; Park, M.S.; Heo, T.-Y. Exploring the catchment area of an urban railway station by using transit card data: Case study in Seoul. Cities 2019, 95, 102364. [Google Scholar] [CrossRef]
- Pan, H.; Li, J.; Shen, Q.; Shi, C. What determines rail transit passenger volume? Implications for transit oriented development planning. Transp. Res. Part D 2017, 57, 52–63. [Google Scholar] [CrossRef]
- Liu, J.; Chau, K.W.; Bao, Z. Multiscale spatial analysis of metro usage and its determinants for sustainable urban development in Shenzhen, China. Tunn. Undergr. Space Technol. 2023, 133, 104912. [Google Scholar] [CrossRef]
- Bertolini, L. Nodes and places: Complexities of railway station redevelopment. Eur. Plan. Stud. 1996, 4, 331–345. [Google Scholar] [CrossRef]
- Caset, F.; Blainey, S.; Derudder, B.; Boussauw, K.; Witlox, F. Integrating node-place and trip end models to explore drivers of rail ridership in Flanders, Belgium. J. Transp. Geogr. 2020, 87, 102796. [Google Scholar] [CrossRef]
- Cao, Z.; Asakura, Y.; Tan, Z. Coordination between node, place, and ridership: Comparing three transit operators in Tokyo. Transp. Res. Part D 2020, 87, 102518. [Google Scholar] [CrossRef]
- Yang, Y.; Zhong, C.; Gao, Q.L. An extended node-place model for comparative studies of transit-oriented development. Transp. Res. Part D 2022, 113, 103514. [Google Scholar] [CrossRef]
- Jia, X.; Wang, J.; Yan, B. Evaluation of existing underground public space supply based on the Node-Place-Experience model. Tunn. Undergr. Space Technol. 2024, 144, 105517. [Google Scholar] [CrossRef]
- Wang, X.; Tong, D.; Gao, J.; Chen, Y. The reshaping of land development density through rail transit: The stories of central areas vs. suburbs in Shenzhen, China. Cities 2019, 89, 35–45. [Google Scholar] [CrossRef]
- Yang, L.; Chau, K.W.; Szeto, W.Y.; Cui, X.; Wang, X. Accessibility to transit, by transit, and property prices: Spatially varying relationships. Transp. Res. Part D 2020, 85, 102387. [Google Scholar] [CrossRef]
- Kwang, L.J. New rail transit projects and land values: The difference in the impact of rail transit investment on different land types, values and locations. Land Use Policy 2022, 112, 105807. [Google Scholar] [CrossRef]
- Jonathan, P.; Kevin, M.-S.; Henry, L.; Simon, R. How does the extension of existing transport infrastructure affect land value? A case study of the Tyne and Wear Light Transit Metro System. Land Use Policy 2022, 112, 105811. [Google Scholar] [CrossRef]
- López-Morales, E.; Sanhueza, C.; Herrera, N.; Espinoza, S.; Mosso, V. Land and housing price increases due to metro effect: An empirical analysis of Santiago, Chile, 2008–2019. Land Use Policy 2023, 132, 106793. [Google Scholar] [CrossRef]
- Lin, D.; Broere, W.; Cui, J. Metro systems and urban development: Impacts and implications. Tunn. Undergr. Space Technol. 2022, 125, 104509. [Google Scholar] [CrossRef]
- Lei, K.; Hou, Q.; Duan, Y.; Xi, Y.; Chen, S.; Miao, Y.; Tong, H.; Hu, Z. The Spatiotemporal Matching Relationship between Metro Networks and Urban Population from an Evolutionary Perspective: Passive Adaptation or Active Guidance? Land 2024, 13, 1200. [Google Scholar] [CrossRef]
- Wang, X.; Zhang, Y.; Yu, D.; Qi, J.; Li, S. Investigating the spatiotemporal pattern of urban vibrancy and its determinants: Spatial big data analyses in Beijing, China. Land Use Policy 2022, 119, 106162. [Google Scholar] [CrossRef]
- Zhao, P.; Yang, H.; Kong, L.; Liu, Y.; Liu, D. Disintegration of metro and land development in transition China: A dynamic analysis in Beijing. Transp. Res. Part A 2018, 116, 290–307. [Google Scholar] [CrossRef]
- Ortuno-Padilla, A.; Espinosa-Flor, A.; Cerdan-Aznar, L. Development strategies at station areas in southwestern China: The case of Mianyang city. Land Use Policy 2017, 68, 660–670. [Google Scholar] [CrossRef]
- Chen, L.; Zhao, L.; Xiao, Y.; Lu, Y. Investigating the spatiotemporal pattern between the built environment and urban vibrancy using big data in Shenzhen, China. Comput. Environ. Urban Syst. 2022, 95, 101827. [Google Scholar] [CrossRef]
- Khosravi, H.; Abrishami, M.; Mehrian, M.R.; Chamberlain, B. The positive impact of transit-oriented-development characteristics on Metro Station usage: A case study of Tehran’s metro stations and TOD index calculation. Cities 2024, 148, 104840. [Google Scholar] [CrossRef]
- Appleyard, B.S.; Frost, A.R.; Allen, C. Are all transit stations equal and equitable? Calculating sustainability, livability, health, & equity performance of smart growth & transit-oriented-development (TOD). J. Transp. Health 2019, 14, 100584. [Google Scholar] [CrossRef]
- Knowles, R.D.; Ferbrache, F.; Nikitas, A. Transport’s historical, contemporary and future role in shaping urban development: Re-evaluating transit oriented development. Cities 2020, 99, 102607. [Google Scholar] [CrossRef]
- Zhang, H. Metro and urban growth: Evidence from China. J. Transp. Geogr. 2020, 85, 102732. [Google Scholar] [CrossRef]
- Li, S.; Lyu, D.; Liu, X.; Tan, Z.; Gao, F.; Huang, G.; Wu, Z. The varying patterns of rail transit ridership and their relationships with fine-scale built environment factors: Big data analytics from Guangzhou. Cities 2020, 99, 102580. [Google Scholar] [CrossRef]
- Lin, D.; Zhou, Z.; Weng, M.; Broere, W.; Cui, J. Metro systems: Construction, operation and impacts. Tunn. Undergr. Space Technol. 2024, 143, 105373. [Google Scholar] [CrossRef]
- Vale, D.S.; Viana, C.M.; Pereira, M. The extended node-place model at the local scale: Evaluating the integration of land use and transport for Lisbon’s subway network. J. Transp. Geogr. 2018, 69, 282–293. [Google Scholar] [CrossRef]
- Yu, B.; Cui, X.; Li, H.; Luo, P.; Liu, R.; Yang, T. TOD and vibrancy: The spatio-temporal impacts of the built environment on vibrancy. Front. Environ. Sci. 2022, 10, 1009094. [Google Scholar] [CrossRef]
- Dou, M.; Wang, Y.; Dong, S. Integrating Network Centrality and Node-Place Model to Evaluate and Classify Station Areas in Shanghai. Isprs Int. J. Geo-Inf. 2021, 10, 414. [Google Scholar] [CrossRef]
- Zhou, M.; Zhou, J.; Zhou, J.; Lei, S.; Zhao, Z. Introducing social contacts into the node-place model: A case study of Hong Kong. J. Transp. Geogr. 2023, 107, 103532. [Google Scholar] [CrossRef]
- Jin, A.; Li, G.; Wang, J.; Mehmood Muhammad, S.; Yu, Y.; Lin, Z. Location choice and optimization of development of community-oriented new retail stores: A case study of Freshippo stores in Nanjing City. Prog. Geogr. 2020, 39, 2013–2027. [Google Scholar] [CrossRef]
- Schouten, A.; Kawano, Y. COVID-19 and the demand for transit access: Residential real estate prices in the Tokyo metropolitan area. J. Transp. Geogr. 2024, 114, 103742. [Google Scholar] [CrossRef]
- Afandizadeh, S.; Sedighi, F.; Kalantari, N.; Mirzahossein, H. Modeling of the effect of transportation system accessibility on residential real estate prices: The case of Washington metropolitan area, USA. Case Stud. Transp. Policy 2024, 18, 101277. [Google Scholar] [CrossRef]
- Rosenthal, S.S.; Strange, W.C.; Urrego, J.A. JUE insight: Are city centers losing their appeal? Commercial real estate, urban spatial structure, and COVID-19. J. Urban Econ. 2022, 127, 103381. [Google Scholar] [CrossRef]
- Franco, S.F.; Cutter, W.B. The determinants of non-residential real estate values with special reference to environmental local amenities. Ecol. Econ. 2022, 201, 107485. [Google Scholar] [CrossRef]
- Yue, Y.; Zhuang, Y.; Yeh, A.G.O.; Xie, J.-Y.; Ma, C.-L.; Li, Q.-Q. Measurements of POI-based mixed use and their relationships with neighbourhood vibrancy. Int. J. Geogr. Inf. Sci. 2017, 31, 658–675. [Google Scholar] [CrossRef]
- Botta, F.; Gutierrez-Roig, M. Modelling urban vibrancy with mobile phone and OpenStreetMap data. PLoS ONE 2021, 16, e0252015. [Google Scholar] [CrossRef]
- De Nadai, M.; Staiano, J.; Larcher, R.; Sebe, N.; Quercia, D.; Lepri, B. The Death and Life of Great Italian Cities: A Mobile Phone Data Perspective. In Proceedings of the 25th International Conference on World Wide Web (WWW), Montreal, QC, Canada, 11–15 April 2016; pp. 413–423. [Google Scholar]
- Xia, C.; Yeh, A.G.-O.; Zhang, A. Analyzing spatial relationships between urban land use intensity and urban vitality at street block level: A case study of five Chinese megacities. Landsc. Urban Plan. 2020, 193, 103669. [Google Scholar] [CrossRef]
- Ewing, R.; Tian, G.; Park, K.; Sabouri, S.; Stinger, P.; Proffitt, D. Comparative case studies: Trip and parking generation at Orenco Station TOD, Portland Region and Station Park TAD, Salt Lake City Region. Cities 2019, 87, 48–59. [Google Scholar] [CrossRef]
- Wu, H.-W.; Zhen, J.; Zhang, J. Urban rail transit operation safety evaluation based on an improved CRITIC method and cloud model. J. Rail Transp. Plan. Manag. 2020, 16, 100206. [Google Scholar] [CrossRef]
- Bertolini, L. Spatial Development Patterns and Public Transport: The Application of an Analytical Model in the Netherlands. Plan. Pract. Res. 1999, 14, 199–210. [Google Scholar] [CrossRef]
- Chorus, P.; Bertolini, L. An application of the node place model to explore the spatial development dynamics of station areas in Tokyo. J. Transp. Land Use 2011, 4, 45–58. [Google Scholar] [CrossRef]
- Reusser, D.E.; Loukopoulos, P.; Stauffacher, M.; Scholz, R.W. Classifying railway stations for sustainable transitions—Balancing node and place functions. J. Transp. Geogr. 2008, 16, 191–202. [Google Scholar] [CrossRef]
- Ma, C.-X.; Peng, F.-L.; Qiao, Y.-K.; Li, H. Evaluation of spatial performance of metro-led urban underground public space: A case study in Shanghai. Tunn. Undergr. Space Technol. 2022, 124, 104484. [Google Scholar] [CrossRef]
- Zipf, G.K. The P 1 P 2 D Hypothesis: On the Intercity Movement of Persons. Am. Sociol. Rev. 1946, 11, 677. [Google Scholar] [CrossRef]
- Lin, D.; Nelson, J.D.; Cui, J. Exploring influencing factors on metro development in China from urban and economic perspectives. Tunn. Undergr. Space Technol. 2021, 112, 103877. [Google Scholar] [CrossRef]
- Zhang, X.; Jie, X.; Ning, S.; Wang, K.; Li, X. Coupling and coordinated development of urban land use economic efficiency and green manufacturing systems in the Chengdu-Chongqing Economic Circle. Sustain. Cities Soc. 2022, 85, 104012. [Google Scholar] [CrossRef]
- Tomal, M. Evaluation of coupling coordination degree and convergence behaviour of local development: A spatiotemporal analysis of all Polish municipalities over the period 2003–2019. Sustain. Cities Soc. 2021, 71, 102992. [Google Scholar] [CrossRef]
Disclaimer/Publisher’s Note: The statements, opinions and data contained in all publications are solely those of the individual author(s) and contributor(s) and not of MDPI and/or the editor(s). MDPI and/or the editor(s) disclaim responsibility for any injury to people or property resulting from any ideas, methods, instructions or products referred to in the content. |
© 2024 by the authors. Licensee MDPI, Basel, Switzerland. This article is an open access article distributed under the terms and conditions of the Creative Commons Attribution (CC BY) license (https://creativecommons.org/licenses/by/4.0/).














