Assessing Neighbourhood Preference: An Evaluation of Environmental Features within Small-Scale Open Spaces
Abstract
1. Background
2. Literature Review
2.1. Comprehensive Analysis of Multiple Outdoor Influencing Factors
2.2. Investigations within Small-Scale Open Spaces
3. Study Area and Article Structure
3.1. Aims of This Study
- To establish a relatively comprehensive evaluation index of constituent factors affecting neighbourhood space usage, compare the weight of objective features and select indicators with significant effects;
- To analyse the decision-making mechanism of space users based on the evaluation index and assess the importance of each indicator and figure out their advantage value intervals.
3.2. Selection of Analytical Methods
3.3. Article’s Structure
- The initial stage of the investigation focuses on establishing a relatively comprehensive index for the evaluation of the spatial features affecting neighbourhood space usage. Four types of influencing factors, including sixteen environmental features, were sorted and calculated based on expert inquiry. The importance of each type of feature was then re-ordered and, based on the results, outstanding features were selected to form the evaluation index.Expert inquiry and AHP analysis were applied to select outstanding indicators and establish an evaluation index for spatial features affecting space usage.
- Then, based on the evaluation index established in the first stage, environmental feature preferences were further studied according to a spatial assessment and on-site measurements. Using the environmental preferences as the evaluation standard, the importance of each feature and the associated advantage value interval were further determined.Specifically, public open spaces in a neighbourhood were measured, including on-site structured interviews. Decision tree analysis was carried out to assess the importance of indicators and define the advantage ranges of indicators.
4. Methods
4.1. Selection of Key Influencing Indicators and Form the Evaluation Index System
4.1.1. AHP Analysis
4.1.2. Expert Inquiry
4.2. Elucidation of the Decision-Making Processes of Residents Regarding Their Outdoor Activities
4.2.1. Space Measurement
- 1.
- Site size. The scale of a venue is directly related to activities that can be carried out and the number of people that the space can accommodate. Areas that could practically be used were measured (square metre); notably, walkways, flower terraces, and fitness equipment were excluded during measurement (as shown in Figure 5).
- 2.
- Internal pedestrian flow. This indicator is a quantitative measure of the number of people passing through the site. The more people that pass through a space, the more likely it is to attract the attention of residents; however, this also means that activities within the venue are more easily disturbed by pedestrians. The data of internal pedestrian flow were obtained through counting and grading the number of pedestrians passing through the space during non-commuting hours (9:00–11:00 a.m. and 14:30–17:00 p.m. on weekdays) within ten minutes. The grade of pedestrian flow was divided into 11 levels where, each time the number of pedestrians increased by 3, the grade increased by 1 level: when the number of pedestrians is 0–3, the grade is 0; when the number of pedestrians is 4–6, the grade is 1; when the number of pedestrians is 7–9, the grade is 2; and so on. When the number of pedestrians exceeds 30, the grade is 10.
- 3.
- Green-vision rate. The green-vision rate refers to the proportion of green vegetation within a person’s field of vision. This indicator starts from the embodied scale of environmental perception and is a direct response to the greening situation of the site. For this study, the green-vision rate was calculated based on a 360-degree panoramic photo taken in the geometric centre of the space at a visual height of 1.5 m using a lens with focal length of 1.0 times (as shown in Figure 5). As the green-vision rate is an inherent indicator and the greenness of a site may differ due to seasonal changes, the green-vision rate was calculated based on photos taken in the transition season.
- 4.
- Sky view factor. This indicator refers to the proportion of the sky area to the total area when observed from the site. This indicator is related to the buildings, plants, and structures around the site. Sky view factors were captured and calculated using a fish-eye lens in the geometric centre of the field. As for the green-vision rate, this photo was also taken at a visual height of 1.5 m during the transition season (see Figure 5).
- 5.
- Seat–circumference ratio. This indicator is based on the calculation results detailed in Section 5.1.2 and is a concentrated expression of the number and distance of seats. It is calculated as the seat length divided by the total perimeter of the space, as shown in Figure 5.
4.2.2. On-Site Structured Interview
4.2.3. Decision Tree Analysis
5. Results
5.1. Influential Indicators and Environmental Evaluation Index
5.1.1. Expert Indicator Evaluation
- 1.
- The contribution to overall environmental indicators Wi was assigned a value of 1, with the Wi for the four factors of facilities, pedestrian flow, greenery, and general composition being 0.2596, 0.1202, 0.1707, and 0.4495, respectively. The general composition was considered to be the most influential factor, followed by facilities, greenery, and pedestrian flow.
- 2.
- As a subordinate of facilities (Wi = 1.0000), seats (Wi = 0.8750) presented an overwhelming advantage when compared with fitness facilities (Wi = 0.1250). In terms of their contribution to pedestrian flow (Wi = 1.0000), internal (Wi = 0.8571) and external pedestrian flow (Wi = 0.1429) were included, and internal pedestrian flow was considered to be more influential. In the greenery category (Wi = 1.0000), the impact of the green-vision rate (Wi = 0.6714) was far above those of the greening rate (Wi = 0.1998), decoration and aesthetics (Wi = 0.0634), and plant species and richness (Wi = 0.0654). Considering the environmental general composition (Wi = 1.0000), the impact of the underlying surface (Wi = 0.8333) was higher than that of sky (Wi = 0.1667).
- 3.
- Among all seat characteristics (Wi = 1.0000), the impacts of the number of seats (Wi = 0.5621) and distance (Wi = 0.3748) were more significant than the impact of material and form (Wi = 0.0632). Regarding the aspect of fitness facilities (Wi = 1.0000), distance (Wi = 0.6551) was more important than the type (Wi = 0.2114) or number of facilities (Wi = 0.1335). In addition, contributing to the underlying surface (Wi = 1.0000), the site size indicator (Wi = 0.9000) was more influential than the paving material (Wi = 0.1000). Finally, the sky view factor (Wi = 0.8750) presented an overwhelming advantage when compared with the range of sky (Wi = 0.1250).
5.1.2. Weight Calculation and Environmental Indicator Selection
5.2. Subjective Preference Based on Environmental Evaluation Index System
5.2.1. Distribution of Environmental Features
- 1.
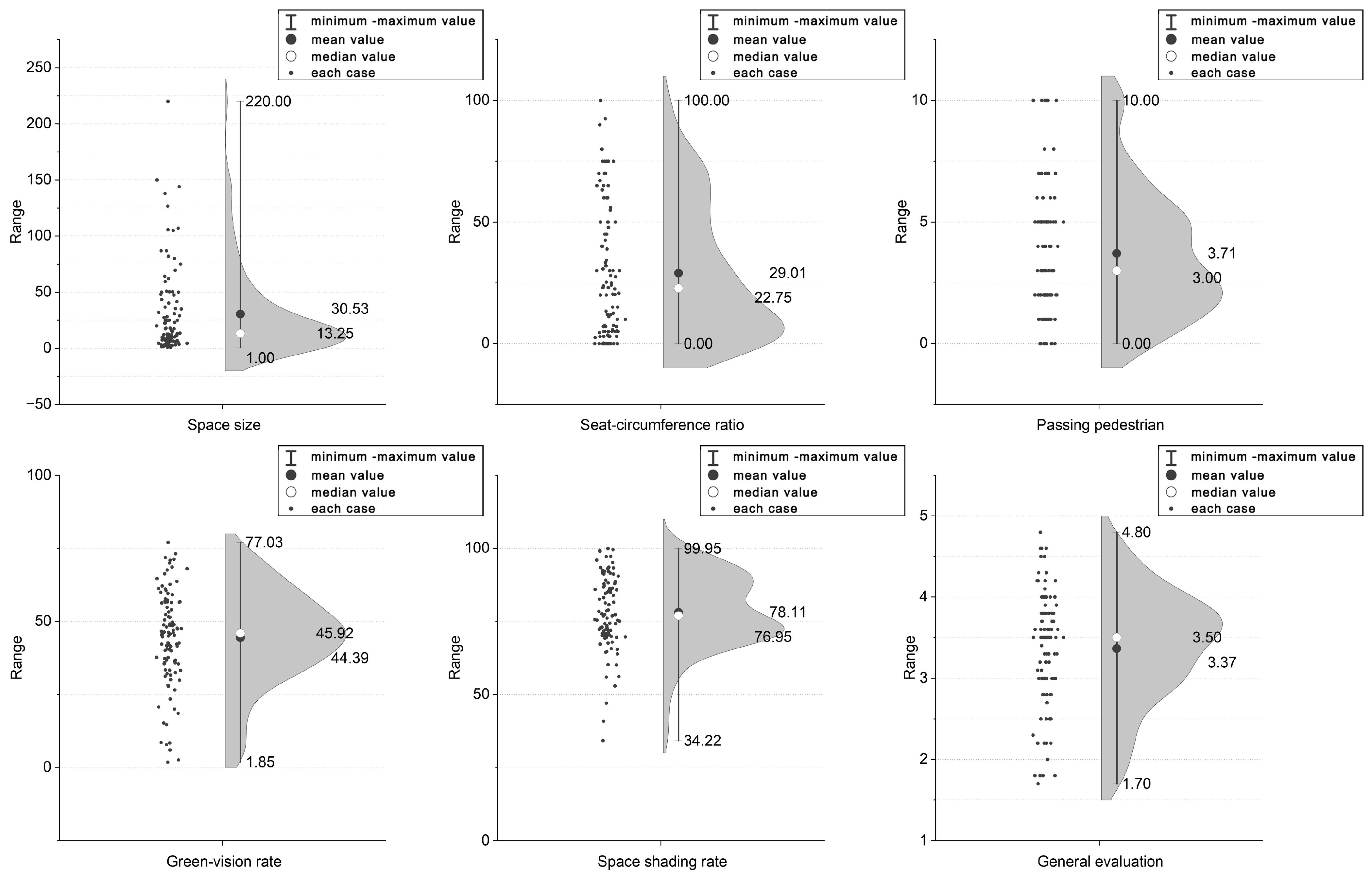
- Site size. Regarding the aspect of space size, ranging from 1 to 220 square meters, a large difference was observed among the 104 data collection points. The size of most spaces was concentrated between 0 and 25 square meters, a few spaces were in the range of 25–50 square meters, and the number of spaces larger than 50 square meters was relatively small. The mean value of size for all spaces was 30.53, while the median value was only 13.25; this is mainly due to the existence of a few large spaces in the residential areas.
- 2.
- Seat–circumference ratio. The distribution of the seat–circumference ratio was relatively scattered. Some spaces did not have seats, while some had many seats all around the space. As the seat–circumference ratio increases, the number of spaces shows a general downward trend. The mean and median values of the seat–circumference ratio are relatively close, being 29.01 and 22.75 square meters, respectively.
- 3.
- Internal pedestrian flow. This was calculated based on the number of people passing through the space within ten minutes, resulting in a value between grade 0 and grade 10. There were significant discrepancies between different spaces, and the mean and median of internal pedestrian flow values were 3.71 and 3.00, respectively.
- 4.
- Green-vision rate. Compared with the other parameters, the distribution of the green-vision rate was relatively concentrated in 104 measured open spaces, being mainly distributed within the range of 25% to 75%. The highest green-vision rate of a space was 77.03%, while the lowest green-vision rate was only 1.85%. The median and average values of this parameter were very close, being 44.39% and 45.92%, respectively.
- 5.
- Sky view factor. Due to the high-density construction in Shanghai, the shading rate of neighbourhood open spaces is at a relatively high level. Based on the 104 open spaces measured, the sky view factor was concentrated between 34.22% and 99.95%, and most spaces had a value in the range of 70–95%.
5.2.2. Distribution of Environmental Subjective Preference
5.2.3. Indicators Affecting Spatial Attendance
- 1.
- Highest quality: Spaces with a green-vision rate between 20.385% and 46.990%, shading rate less than 93.275%, and seat–circumference ratio between 33.815% and 72.500% were the most popular and highly evaluated (predicted score: 4.263).
- 2.
- Good quality: When the shading rate is less than 93.275%, two types of spaces are more preferred: when the seat–circumference ratio of the space is less than 33.815% and the green-vision rate is higher than 41.080%, the predicted evaluation score of the space is 3.630; when seat–circumference ratio of the space is between 33.815% and 72.500% and the green-vision rate is higher than 46.990%, the predicted evaluation score of the space is 3.664.
- 3.
- Unacceptable: When the green-vision rate of the space is less than 20.385% or the shading rate of the space is higher than 93.275%, the space will be considered least worth visiting, with predicted evaluation scores of 2.500 and 2.600, respectively.
- 1.
- Green-vision rate
- 2.
- Sky view factor
- 3.
- Seat–circumference ratio
6. Discussion
6.1. Importance of Environmental Greening Has Been Reconfirmed
6.2. Space Shading: Not Only Linked with Thermal Comfort
6.3. Seats Should Be Provided, and the Quantity Is Important
6.4. Preferred Environmental Features
6.5. More Trees or More Seats, Mutually Exclusive within Small-Scale Open Spaces
6.6. Influence of Space Size and Pedestrians
7. Limitations
7.1. Skew of Space Size
7.2. Subjective Self-Evaluations of Residents
7.3. Research Scope
8. Conclusions
- Five indicators, including the site size, internal pedestrian flow, sky view factor, green-vision rate, and seat–circumference ratio, were indicated to be the primary environmental features affecting outdoor space usage in the objective evaluation index.
- Among these factors, the impacts of the sky view factor, green-vision rate, and seat–circumference ratio significantly outweighed those of the site size and internal pedestrian flow on the environmental preferences of residents.
- The use of a green-vision rate between 20.4% and 47.0%, a shading rate less than 93.3%, and a seat–circumference ratio between 33.8% and 72.5% can yield a better space assessment. Moreover, a severe decline in preference can be anticipated when the green-vision rate falls below 20.4% or the shading rate exceeds 93.3%.
- The interaction between the green-vision rate and seat–circumference ratio affects the environmental preference of residents: spaces with more seats exhibit lower requirements for greenery, while spaces with fewer seats should prioritise trees and greenery.
Author Contributions
Funding
Data Availability Statement
Conflicts of Interest
References
- Sun, P.; Lu, W.; Jin, L. How the natural environment in downtown neighborhood affects physical activity and sentiment: Using social media data and machine learning. Health Place 2023, 79, 102968. [Google Scholar] [CrossRef] [PubMed]
- Liu, H.; Li, F.; Li, J.; Zhang, Y. The relationships between urban parks, residents’ physical activity, and mental health benefits: A case study from Beijing, China. J. Environ. Manag. 2017, 190, 223–230. [Google Scholar] [CrossRef] [PubMed]
- McMorris, O.; Villeneuve, P.J.; Su, J.; Jerrett, M. Urban greenness and physical activity in a national survey of Canadians. Environ. Res. 2015, 137, 94–100. [Google Scholar] [CrossRef] [PubMed]
- Schipperijn, J.; Stigsdotter, U.K.; Randrup, T.B.; Troelsen, J. Influences on the use of urban green space—A case study in Odense, Denmark. Urban For. Urban Green. 2010, 9, 25–32. [Google Scholar] [CrossRef]
- Wang, Z.; Shepley, M.M. Can aging-in-place be promoted by the built environment near home for physical activity: A case study of non-Hispanic White elderly in Texas. J. Hous. Built Environ. 2018, 33, 749–766. [Google Scholar] [CrossRef]
- Han, S.; Ye, Y.; Song, Y.; Yan, S.; Shi, F.; Zhang, Y.; Liu, X.; Du, H.; Song, D. A Systematic Review of Objective Factors Influencing Behavior in Public Open Spaces. Front. Public Health 2022, 10, 898136. [Google Scholar] [CrossRef] [PubMed]
- Turrell, G.; Haynes, M.; Burton, N.W.; Giles-Corti, B.; Oldenburg, B.; Wilson, L.A.; Giskes, K.; Brown, W.J. Neighborhood disadvantage and physical activity: Baseline results from the HABITAT multilevel longitudinal study. Ann. Epidemiol. 2010, 20, 171–181. [Google Scholar] [CrossRef] [PubMed]
- Feng, X.; Toms, R.; Astell-Burt, T. Association between green space, outdoor leisure time and physical activity. Urban For. Urban Green. 2021, 66, 127349. [Google Scholar] [CrossRef]
- Liu, Y.; Guo, Y.; Lu, S.; Chan, O.F.; Chui, C.H.K.; Ho, H.C.; Song, Y.; Cheng, W.; Chiu, R.L.H.; Webster, C.; et al. Understanding the long-term effects of public open space on older adults’ functional ability and mental health. Build. Environ. 2023, 234, 110126. [Google Scholar] [CrossRef]
- Karimi, N.; Sajadzadeh, H.; Aram, F. Investigating the Association between Environmental Quality Characteristics and Mental Well-Being in Public Open Spaces. Urban Sci. 2022, 6, 20. [Google Scholar] [CrossRef]
- Jiang, B.; Chang, C.-Y.; Sullivan, W.C. A dose of nature: Tree cover, stress reduction, and gender differences. Landsc. Urban Plan. 2014, 132, 26–36. [Google Scholar] [CrossRef]
- Minaravesh, B.; Aydin, O. Environmental and demographic factors affecting childhood academic performance in Los Angeles County: A generalized linear elastic net regression model. Remote Sens. Appl. Soc. Environ. 2023, 30, 100942. [Google Scholar] [CrossRef]
- Pietilä, M.; Neuvonen, M.; Borodulin, K.; Korpela, K.; Sievänen, T.; Tyrväinen, L. Relationships between exposure to urban green spaces, physical activity and self-rated health. J. Outdoor Recreat. Tour. 2015, 10, 44–54. [Google Scholar] [CrossRef]
- Coombes, E.; Jones, A.P.; Hillsdon, M. The relationship of physical activity and overweight to objectively measured green space accessibility and use. Soc. Sci. Med. 2010, 70, 816–822. [Google Scholar] [CrossRef] [PubMed]
- Richardson, E.A.; Pearce, J.; Mitchell, R.; Kingham, S. Role of physical activity in the relationship between urban green space and health. Public Health 2013, 127, 318–324. [Google Scholar] [CrossRef] [PubMed]
- Fan, Y.; Das, K.V.; Chen, Q. Neighborhood green, social support, physical activity, and stress: Assessing the cumulative impact. Health Place 2011, 17, 1202–1211. [Google Scholar] [CrossRef] [PubMed]
- Han, S.; Song, D.; Xu, L.; Ye, Y.; Yan, S.; Shi, F.; Zhang, Y.; Liu, X.; Du, H. Behaviour in public open spaces: A systematic review of studies with quantitative research methods. Build. Environ. 2022, 223, 109444. [Google Scholar] [CrossRef]
- Kerishnan, P.B.; Maruthaveeran, S. Factors contributing to the usage of pocket parks―A review of the evidence. Urban For. Urban Green. 2021, 58, 126985. [Google Scholar] [CrossRef]
- Zhang, Y.; Van den Berg, A.; Van Dijk, T.; Weitkamp, G. Quality over Quantity: Contribution of Urban Green Space to Neighborhood Satisfaction. Int. J. Environ. Res. Public Health 2017, 14, 535. [Google Scholar] [CrossRef]
- Hu, X.; Lima, M.F.; McLean, R.; Sun, Z. Exploring preferences for biodiversity and wild parks in Chinese cities: A conjoint analysis study in Hangzhou. Urban For. Urban Green. 2022, 73, 127595. [Google Scholar] [CrossRef]
- Aspinall, P.A.; Thompson, C.W.; Alves, S.; Sugiyama, T.; Brice, R.; Vickers, A. Preference and relative importance for environmental attributes of neighbourhood open space in older people. Environ. Plan. B Plan. Des. 2010, 37, 1022–1039. [Google Scholar] [CrossRef]
- Rivera, E.; Timperio, A.; Loh, V.H.; Deforche, B.; Veitch, J. Important park features for encouraging park visitation, physical activity and social interaction among adolescents: A conjoint analysis. Health Place 2021, 70, 102617. [Google Scholar] [CrossRef] [PubMed]
- Lima, M.F.; Thompson, C.W.; Aspinall, P.; Bell, S. Communities facing urban depopulation: Exploring people’s environmental preferences. A case study of Lisbon, Portugal. Cities Health 2020, 6, 288–308. [Google Scholar] [CrossRef]
- Lima, M.F.; Thompson, C.W.; Aspinall, P. Friendly Communities and Outdoor Spaces in Contexts of Urban Population Decline. Land 2020, 9, 439. [Google Scholar] [CrossRef]
- Robertson, L.B.; Thompson, C.W.; Aspinall, P.; Millington, C.; McAdam, C.; Mutrie, N. The Influence of the Local Neighbourhood Environment on Walking Levels during the Walking for Wellbeing in the West Pedometer-Based Community Intervention. J. Environ. Public Health 2012, 2012, 974786. [Google Scholar] [CrossRef] [PubMed][Green Version]
- Sugiyama, T.; Thompson, C.W. Associations between characteristics of neighbourhood open space and older people’s walking. Urban For. Urban Green. 2008, 7, 41–51. [Google Scholar] [CrossRef]
- Lai, D.; Zhou, C.; Huang, J.; Jiang, Y.; Long, Z.; Chen, Q. Outdoor space quality: A field study in an urban residential community in central China. Energy Build. 2014, 68, 713–720. [Google Scholar] [CrossRef]
- Chen, Y.; Liu, T.; Liu, W. Increasing the use of large-scale public open spaces: A case study of the North Central Axis Square in Shenzhen, China. Habitat Int. 2016, 53, 66–77. [Google Scholar] [CrossRef]
- Rivera, E.; Timperio, A.; Loh, V.H.Y.; Deforche, B.; Veitch, J. Critical factors influencing adolescents’ active and social park use: A qualitative study using walk-along interviews. Urban For. Urban Green. 2021, 58, 126948. [Google Scholar] [CrossRef]
- Edwards, N.; Hooper, P.; Knuiman, M.; Foster, S.; Giles-Corti, B. Associations between park features and adolescent park use for physical activity. Int. J. Behav. Nutr. Phys. Act. 2015, 12, 21. [Google Scholar] [CrossRef]
- Pasha, S.; Shepley, M.M. Research note: Physical activity in pediatric healing gardens. Landsc. Urban Plan. 2013, 118, 53–58. [Google Scholar] [CrossRef]
- He, H.; Lin, X.; Yang, Y.; Lu, Y. Association of street greenery and physical activity in older adults: A novel study using pedestrian-centered photographs. Urban For. Urban Green. 2020, 55, 126789. [Google Scholar] [CrossRef]
- Yang, Y.; Lu, Y.; Yang, L.; Gou, Z.; Liu, Y. Urban greenery cushions the decrease in leisure-time physical activity during the COVID-19 pandemic: A natural experimental study. Urban For. Urban Green. 2021, 62, 127136. [Google Scholar] [CrossRef] [PubMed]
- Schipperijn, J.; Ekholm, O.; Stigsdotter, U.K.; Toftager, M.; Bentsen, P.; Kamper-Jørgensen, F.; Randrup, T.B. Factors influencing the use of green space: Results from a Danish national representative survey. Landsc. Urban Plan. 2010, 95, 130–137. [Google Scholar] [CrossRef]
- Xue, F.; Gou, Z.; Lau, S.S.Y. Green open space in high-dense Asian cities: Site configurations, microclimates and users’ perceptions. Sustain. Cities Soc. 2017, 34, 114–125. [Google Scholar] [CrossRef]
- de Jong, K.; Albin, M.; Skarback, E.; Grahn, P.; Bjork, J. Perceived green qualities were associated with neighborhood satisfaction, physical activity, and general health: Results from a cross-sectional study in suburban and rural Scania, southern Sweden. Health Place 2012, 18, 1374–1380. [Google Scholar] [CrossRef] [PubMed]
- Adinolfi, C.; Suárez-Cáceres, G.P.; Cariñanos, P. Relation between visitors’ behaviour and characteristics of green spaces in the city of Granada, south-eastern Spain. Urban For. Urban Green. 2014, 13, 534–542. [Google Scholar] [CrossRef]
- Zhang, W.; Yang, J.; Ma, L.; Huang, C. Factors affecting the use of urban green spaces for physical activities: Views of young urban residents in Beijing. Urban For. Urban Green. 2015, 14, 851–857. [Google Scholar] [CrossRef]
- Grilli, G.; Mohan, G.; Curtis, J. Public park attributes, park visits, and associated health status. Landsc. Urban Plan. 2020, 199, 103814. [Google Scholar] [CrossRef]
- Wang, M.; Qiu, M.; Chen, M.; Zhang, Y.; Zhang, S.; Wang, L. How does urban green space feature influence physical activity diversity in high-density built environment? An on-site observational study. Urban For. Urban Green. 2021, 62, 127129. [Google Scholar] [CrossRef]
- Nordh, H.; Alalouch, C.; Hartig, T. Assessing restorative components of small urban parks using conjoint methodology. Urban For. Urban Green. 2011, 10, 95–103. [Google Scholar] [CrossRef]
- Li, K.; Zhang, Y.; Zhao, L. Outdoor thermal comfort and activities in the urban residential community in a humid subtropical area of China. Energy Build. 2016, 133, 498–511. [Google Scholar] [CrossRef]
- Lin, T.-P.; Tsai, K.-T.; Liao, C.-C.; Huang, Y.-C. Effects of thermal comfort and adaptation on park attendance regarding different shading levels and activity types. Build. Environ. 2013, 59, 599–611. [Google Scholar] [CrossRef]
- Nikolopoulou, M.; Lykoudis, S. Use of outdoor spaces and microclimate in a Mediterranean urban area. Build. Environ. 2007, 42, 3691–3707. [Google Scholar] [CrossRef]
- Lin, T.-P. Thermal perception, adaptation and attendance in a public square in hot and humid regions. Build. Environ. 2009, 44, 2017–2026. [Google Scholar] [CrossRef]
- Sharifi, E.; Sivam, A.; Boland, J. Spatial and Activity Preferences During Heat Stress Conditions in Adelaide: Towards Increased Adaptation Capacity of the Built Environment. Procedia Eng. 2017, 180, 955–965. [Google Scholar] [CrossRef]
- Cheung, P.K.; Jim, C.Y. Subjective outdoor thermal comfort and urban green space usage in humid-subtropical Hong Kong. Energy Build. 2018, 173, 150–162. [Google Scholar] [CrossRef]
- Huang, K.-T.; Lin, T.-P.; Lien, H.-C. Investigating Thermal Comfort and User Behaviors in Outdoor Spaces: A Seasonal and Spatial Perspective. Adv. Meteorol. 2015, 2015, 423508. [Google Scholar] [CrossRef]
- Huang, J.; Zhou, C.; Zhuo, Y.; Xu, L.; Jiang, Y. Outdoor thermal environments and activities in open space: An experiment study in humid subtropical climates. Build. Environ. 2016, 103, 238–249. [Google Scholar] [CrossRef]
- Peng, S.; Maing, M. Influential factors of age-friendly neighborhood open space under high-density high-rise housing context in hot weather: A case study of public housing in Hong Kong. Cities 2021, 115, 103231. [Google Scholar] [CrossRef]
- Sun, X.; Wang, L.; Wang, F.; Soltani, S. Behaviors of seniors and impact of spatial form in small-scale public spaces in Chinese old city zones. Cities 2020, 107, 102894. [Google Scholar] [CrossRef]
- Chang, P.-J. Effects of the built and social features of urban greenways on the outdoor activity of older adults. Landsc. Urban Plan. 2020, 204, 103929. [Google Scholar] [CrossRef]
- Veitch, J.; Salmon, J.; Abbott, G.; Timperio, A.; Sahlqvist, S. Understanding the impact of the installation of outdoor fitness equipment and a multi-sports court on park visitation and park-based physical activity: A natural experiment. Health Place 2021, 71, 102662. [Google Scholar] [CrossRef] [PubMed]
- Kabisch, N.; Kraemer, R. Physical activity patterns in two differently characterised urban parks under conditions of summer heat. Environ. Sci. Policy 2020, 107, 56–65. [Google Scholar] [CrossRef]
- Flowers, E.P.; Timperio, A.; Hesketh, K.D.; Veitch, J. Comparing the features of parks that children usually visit with those that are closest to home: A brief report. Urban For. Urban Green. 2020, 48, 126560. [Google Scholar] [CrossRef]
- Clevenger, K.A.; Erickson, K.T.; Grady, S.C.; Pfeiffer, K.A. Characterizing preschooler’s outdoor physical activity: The comparability of schoolyard location- and activity type-based approaches. Early Child. Res. Q. 2021, 56, 139–148. [Google Scholar] [CrossRef]
- Cosco, N.G.; Moore, R.C.; Islam, M.Z. Behavior mapping: A method for linking preschool physical activity and outdoor design. Med. Sci. Sports Exerc. 2010, 42, 513–519. [Google Scholar] [CrossRef]
- Zhai, Y.; Li, D.; Wu, C.; Wu, H. Urban park facility use and intensity of seniors’ physical activity—An examination combining accelerometer and GPS tracking. Landsc. Urban Plan. 2021, 205, 103950. [Google Scholar] [CrossRef]
- Zhang, R.; Wulff, H.; Duan, Y.; Wagner, P. Associations between the physical environment and park-based physical activity: A systematic review. J. Sport Health Sci. 2019, 8, 412–421. [Google Scholar] [CrossRef]
- Saaty, T.L. The Analytic Hierarchy Process: Planning, Priority Setting, Resource Allocation; McGraw-Hill: New York, NY, USA, 1980. [Google Scholar]
- Saaty, T.L.; Vargas, L.G. Decision Making with Dependence and Feedback: The Analytic Network Process; Springer Science+ Business Media, LLC: Berlin/Heidelberg, Germany, 1996; Volume 95, pp. 129–157. [Google Scholar] [CrossRef]
- Tian, G.; Zhang, H.; Feng, Y.; Wang, D.; Peng, Y.; Jia, H. Green decoration materials selection under interior environment characteristics: A grey-correlation based hybrid MCDM method. Renew. Sustain. Energy Rev. 2018, 81, 682–692. [Google Scholar] [CrossRef]
- Ahmad, S.; Tahar, R.M. Selection of renewable energy sources for sustainable development of electricity generation system using analytic hierarchy process: A case of Malaysia. Renew. Energy 2014, 63, 458–466. [Google Scholar] [CrossRef]
- Belhadi, A.; Touriki, F.E.; El Fezazi, S. Prioritizing the solutions of lean implementation in SMEs to overcome its barriers: An integrated Fuzzy AHP-TOPSIS approach. J. Manuf. Technol. Manag. 2017, 28, 1115–1139. [Google Scholar] [CrossRef]
- Mu, E.; Pereyra-Rojas, M. Practical Decision Making Using Super Decisions v3: An Introduction to the Analytic Hierarchy Process; Springer: Dordrecht, The Netherlands, 2018. [Google Scholar] [CrossRef]
- Gupta, B.; Rawat, A.; Jain, A.; Arora, A.; Dhami, N. Analysis of various decision tree algorithms for classification in data mining. Int. J. Comput. Appl. 2017, 163, 15–19. [Google Scholar] [CrossRef]
- Gunduz, M.; Al-Ajji, I. Employment of CHAID and CRT decision tree algorithms to develop bid/no-bid decision-making models for contractors. Eng. Constr. Archit. Manag. 2021, 29, 3712–3736. [Google Scholar] [CrossRef]
- Liu, Y.; Zhang, D.; Lu, G. Region-based image retrieval with high-level semantics using decision tree learning. Pattern Recognit. 2008, 41, 2554–2570. [Google Scholar] [CrossRef]
- Saaty, T.L. Decision Making for Leaders: The Analytical Hierarchy Process for Decisions in a Complex World. Anal. Hierarch Process 1982, 2, 71–74. [Google Scholar]
- Sivrikaya, F.; Küçük, Ö. Modeling forest fire risk based on GIS-based analytical hierarchy process and statistical analysis in Mediterranean region. Ecol. Inform. 2022, 68, 101537. [Google Scholar] [CrossRef]
- Lu, Y.; Sarkar, C.; Xiao, Y. The effect of street-level greenery on walking behavior: Evidence from Hong Kong. Soc. Sci. Med. 2018, 208, 41–49. [Google Scholar] [CrossRef] [PubMed]
- Lin, T.-P.; Tsai, K.-T.; Hwang, R.-L.; Matzarakis, A. Quantification of the effect of thermal indices and sky view factor on park attendance. Landsc. Urban Plan. 2012, 107, 137–146. [Google Scholar] [CrossRef]
- Martinelli, L.; Lin, T.-P.; Matzarakis, A. Assessment of the influence of daily shadings pattern on human thermal comfort and attendance in Rome during summer period. Build. Environ. 2015, 92, 30–38. [Google Scholar] [CrossRef]
- Yeh, T.-L.; Huang, C.-J. A Study on the Forms and User’s Behaviors of the Public Seats in National Taipei University of Technology. Procedia Manuf. 2015, 3, 2288–2294. [Google Scholar] [CrossRef][Green Version]










| Contribute to: Environmental Indicators | Facilities | Pedestrian Flow | Greenery | General Composition | Wi |
|---|---|---|---|---|---|
| Facilities | 1.0000 | 2.0000 | 2.0000 | 0.5000 | 0.2596 |
| Pedestrian flow | 0.5000 | 1.0000 | 0.5000 | 0.3333 | 0.1202 |
| Greenery | 0.5000 | 2.0000 | 1.0000 | 0.3333 | 0.1707 |
| General composition | 2.0000 | 3.0000 | 3.0000 | 1.0000 | 0.4495 |
| Contribute to: Facilities | Seats | Fitness facilities | Wi | ||
| Seats | 1.0000 | 7.0000 | 0.8750 | ||
| Fitness facilities | 0.1429 | 1.0000 | 0.1250 | ||
| Contribute to: Pedestrian flow | Internal pedestrian flow | External pedestrian flow | Wi | ||
| Internal pedestrian flow | 1.0000 | 6.0000 | 0.8571 | ||
| External pedestrian flow | 0.1667 | 1.0000 | 0.1429 | ||
| Contribute to: Greenery | Green-vision rate | Greening rate | Decoration and aesthetics | Plant species and richness | Wi |
| Green-vision rate | 1.0000 | 6.0000 | 8.0000 | 9.0000 | 0.6714 |
| Greening rate | 0.1667 | 1.0000 | 5.0000 | 3.0000 | 0.1998 |
| Decoration and aesthetics | 0.1250 | 0.2000 | 1.0000 | 1.0000 | 0.0634 |
| Plant species and richness | 0.1111 | 0.3333 | 1.0000 | 1.0000 | 0.0654 |
| Contribute to: General composition | Underlying surface | Sky | Wi | ||
| Underlying surface | 1.0000 | 5.0000 | 0.8333 | ||
| Sky | 0.2000 | 1.0000 | 0.1667 | ||
| Contribute to: Seats | Number of seats | Distance of seats | Material and form of seats | Wi | |
| Number of seats | 1.0000 | 2.0000 | 7.0000 | 0.5621 | |
| Distance of seats | 0.5000 | 1.0000 | 8.0000 | 0.3748 | |
| Material and form of seats | 0.1429 | 0.1250 | 1.0000 | 0.0632 | |
| Contribute to: Fitness facilities | Number of fitness facilities | Distance of fitness facilities | Species of fitness facilities | Wi | |
| Number of fitness facilities | 1.0000 | 0.2500 | 0.5000 | 0.1335 | |
| Distance of fitness facilities | 4.0000 | 1.0000 | 4.0000 | 0.6551 | |
| Species of fitness facilities | 2.0000 | 0.2500 | 1.0000 | 0.2114 | |
| Contribute to: Underlying surface | Site size | Paving material | Wi | ||
| Site size | 1.0000 | 9.0000 | 0.9000 | ||
| Paving material | 0.1111 | 1.0000 | 0.1000 | ||
| Contribute to: Sky | Sky view factor | Sky range | Wi | ||
| Sky view factor | 1.0000 | 7.0000 | 0.8750 | ||
| Sky range | 0.1429 | 1.0000 | 0.1250 |
| Criteria | CR | Weight | Sub-Criteria | CR | Weight | Alternatives | Weight | Rank |
|---|---|---|---|---|---|---|---|---|
| General composition | 0.0268 | 0.4495 | Underling surface | 0.0000 | 0.3746 | Site size | 0.3371 | 1 |
| Paving material | 0.0375 | 7 | ||||||
| Sky | 0.0000 | 0.0749 | Sky view factor | 0.0656 | 6 | |||
| Sky range | 0.0094 | 14 | ||||||
| Pedestrian flow | 0.0000 | 0.1202 | Internal pedestrian flow | 0.1030 | 4 | |||
| External pedestrian flow | 0.0172 | 10 | ||||||
| Greenery | 0.0618 | 0.1707 | Green-vision rate | 0.1146 | 3 | |||
| Greening rate | 0.0341 | 8 | ||||||
| Decoration and aesthetics | 0.0108 | 13 | ||||||
| Plant species and richness | 0.0112 | 12 | ||||||
| Facilities | 0.0000 | 0.2596 | Seats | 0.0741 | 0.2272 | Number of seats | 0.1277 | 2 |
| Distance of seats | 0.0851 | 5 | ||||||
| Material and form of seats | 0.0143 | 11 | ||||||
| Fitness facilities | 0.0520 | 0.0325 | Number fitness facilities | 0.0043 | 16 | |||
| Distance fitness facilities | 0.0213 | 9 | ||||||
| Species of fitness facilities | 0.0069 | 15 |
Disclaimer/Publisher’s Note: The statements, opinions and data contained in all publications are solely those of the individual author(s) and contributor(s) and not of MDPI and/or the editor(s). MDPI and/or the editor(s) disclaim responsibility for any injury to people or property resulting from any ideas, methods, instructions or products referred to in the content. |
© 2024 by the authors. Licensee MDPI, Basel, Switzerland. This article is an open access article distributed under the terms and conditions of the Creative Commons Attribution (CC BY) license (https://creativecommons.org/licenses/by/4.0/).
Share and Cite
Han, S.; Song, D.; Shi, F.; Du, H.; Zhang, Y.; Yang, M. Assessing Neighbourhood Preference: An Evaluation of Environmental Features within Small-Scale Open Spaces. Land 2024, 13, 531. https://doi.org/10.3390/land13040531
Han S, Song D, Shi F, Du H, Zhang Y, Yang M. Assessing Neighbourhood Preference: An Evaluation of Environmental Features within Small-Scale Open Spaces. Land. 2024; 13(4):531. https://doi.org/10.3390/land13040531
Chicago/Turabian StyleHan, Shuyan, Dexuan Song, Feng Shi, Hu Du, Yuhao Zhang, and Mingjun Yang. 2024. "Assessing Neighbourhood Preference: An Evaluation of Environmental Features within Small-Scale Open Spaces" Land 13, no. 4: 531. https://doi.org/10.3390/land13040531
APA StyleHan, S., Song, D., Shi, F., Du, H., Zhang, Y., & Yang, M. (2024). Assessing Neighbourhood Preference: An Evaluation of Environmental Features within Small-Scale Open Spaces. Land, 13(4), 531. https://doi.org/10.3390/land13040531

