Carbon Sequestration Dynamics in Peri-Urban Forests: Comparing Secondary Succession and Mature Stands under Varied Forest Management Practices
Abstract
1. Introduction
2. Materials and Methods
2.1. Study Area
2.2. Experimental Layout
2.3. Trees Inventory Sampling and Carbon Estimation
2.4. Dendrochronological Analysis to Capture Tree Growth
2.5. Soil Sampling Design and Specific Lab Analysis
2.6. Statistical Analysis and Modelling Framework
3. Results
3.1. Structural Characteristics
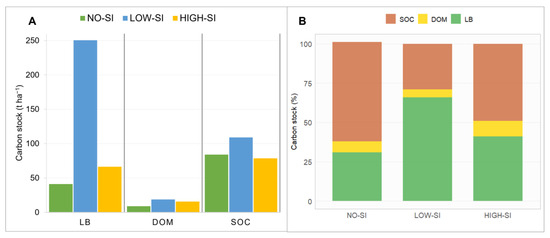
3.2. Carbon Stock in Each Pool
3.3. Annual Carbon Stock Change in Living Biomass
3.4. Historical Scenarios of Carbon Balance
4. Discussion
5. Conclusions
Supplementary Materials
Author Contributions
Funding
Data Availability Statement
Acknowledgments
Conflicts of Interest
References
- Intergovernmental Panel on Climate Change (IPCC). Climate Change 2021—The Physical Science Basis: Working Group I Contribution to the Sixth Assessment Report of the Intergovernmental Panel on Climate Change; Cambridge University Press: Cambridge, UK, 2023. [Google Scholar]
- Charnley, S.; Diaz, D.; Gosnell, H. Mitigating Climate Change Through Small-Scale Forestry in the USA: Opportunities and Challenges. Small-Scale For. 2010, 9, 445–462. [Google Scholar] [CrossRef]
- McAfee, K. Green Economy and Carbon Markets for Conservation and Development: A Critical View. Int. Environ. Agreem. 2016, 16, 333–353. [Google Scholar] [CrossRef]
- Christidisa, N.; Stotta, P.A. Human Influence on Seasonal Precipitation in Europe. J. Clim. 2022, 35, 5215–5231. [Google Scholar] [CrossRef]
- Cacho, O.; Hean, R.; Karanja, F. Accounting for Carbon Sequestration and Its Implications for Land-Use Change and Forestry Projects. CABI Rev. 2009, 3, 1–17. [Google Scholar] [CrossRef]
- Köhl, M.; Linser, S.; Prins, K.; Talarczyk, A. The EU Climate Package “Fit for 55”—A Double-Edged Sword for Europeans and Their Forests and Timber Industry. For. Policy Econ. 2021, 132, 102596. [Google Scholar] [CrossRef]
- Nonini, L.; Fiala, M. Assessment of Forest Wood and Carbon Stock at the Stand Level: First Results of a Modeling Approach for an Italian Case Study Area of the Central Alps. Sustainability 2022, 14, 3898. [Google Scholar] [CrossRef]
- Nunes, L.J.R.; Meireles, C.I.R.; Pinto Gomes, C.J.; Almeida Ribeiro, N.M.C. Forest Management and Climate Change Mitigation: A Review on Carbon Cycle Flow Models for the Sustainability of Resources. Sustainability 2019, 11, 5276. [Google Scholar] [CrossRef]
- Mayer, M.; Prescott, C.E.; Abaker, W.E.A.; Augusto, L.; Cécillon, L.; Ferreira, G.W.D.; James, J.; Jandl, R.; Katzensteiner, K.; Laclau, J.-P.; et al. Tamm Review: Influence of Forest Management Activities on Soil Organic Carbon Stocks: A Knowledge Synthesis. For. Ecol. Manag. 2020, 466, 118127. [Google Scholar] [CrossRef]
- Ameray, A.; Bergeron, Y.; Valeria, O.; Montoro Girona, M.; Cavard, X. Forest Carbon Management: A Review of Silvicultural Practices and Management Strategies Across Boreal, Temperate and Tropical Forests. Curr. For. Rep. 2021, 7, 245–266. [Google Scholar] [CrossRef]
- Pilli, R.; Grassi, G.; Kurz, W.A.; Viñas, R.A.; Guerrero, N.H. Modelling Forest Carbon Stock Changes as Affected by Harvest and Natural Disturbances. I. Comparison with Countries’ Estimates for Forest Management. Carbon Balance Manag. 2016, 11, 5. [Google Scholar] [CrossRef]
- Nabuurs, G.-J.; Delacote, P.; Ellison, D.; Hanewinkel, M.; Hetemäki, L.; Lindner, M. By 2050 the Mitigation Effects of EU Forests Could Nearly Double through Climate Smart Forestry. Forests 2017, 8, 484. [Google Scholar] [CrossRef]
- Houghton, R.A.; House, J.I.; Pongratz, J.; Van Der Werf, G.R.; DeFries, R.S.; Hansen, M.C.; Le Quéré, C.; Ramankutty, N. Carbon Emissions from Land Use and Land-Cover Change. Biogeosciences 2012, 9, 5125–5142. [Google Scholar] [CrossRef]
- Didion, M.; Blujdea, V.; Grassi, G.; Hernández, L.; Jandl, R.; Kriiska, K.; Lehtonen, A.; Saint-André, L. Models for Reporting Forest Litter and Soil C Pools in National Greenhouse Gas Inventories: Methodological Considerations and Requirements. Carbon Manag. 2016, 7, 79–92. [Google Scholar] [CrossRef]
- Blujdea, V.N.; Viskari, T.; Kulmala, L.; Gârbacea, G.; Dutcă, I.; Miclăuș, M.; Marin, G.; Liski, J. Silvicultural Interventions Drive the Changes in Soil Organic Carbon in Romanian Forests According to Two Model Simulations. Forests 2021, 12, 795. [Google Scholar] [CrossRef]
- Birdsey, R.; Pan, Y. Trends in Management of the World’s Forests and Impacts on Carbon Stocks. For. Ecol. Manag. 2015, 355, 83–90. [Google Scholar] [CrossRef]
- Pilli, R.; Alkama, R.; Cescatti, A.; Kurz, W.A.; Grassi, G. The European Forest Carbon Budget under Future Climate Conditions and Current Management Practices. Biogeosciences 2022, 19, 3263–3284. [Google Scholar] [CrossRef]
- Haya, B.K.; Evans, S.; Brown, L.; Bukoski, J.; Butsic, V.; Cabiyo, B.; Jacobson, R.; Kerr, A.; Potts, M.; Sanchez, D.L. Comprehensive Review of Carbon Quantification by Improved Forest Management Offset Protocols. Front. For. Glob. Chang. 2023, 6, 958879. [Google Scholar] [CrossRef]
- Powers, M.; Kolka, R.; Palik, B.; McDonald, R.; Jurgensen, M. Long-Term Management Impacts on Carbon Storage in Lake States Forests. For. Ecol. Manag. 2011, 262, 424–431. [Google Scholar] [CrossRef]
- Ganatsas, P.; Tsakaldimi, M.; Karydopoulos, T.; Petaloudi, L.-M.; Papaemmanouil, A.; Papadopoulos, S.; Gerochristou, S. Carbon Pools in a 77 Year-Old Oak Forest under Conversion from Coppice to High Forest. Sustainability 2022, 14, 13764. [Google Scholar] [CrossRef]
- Calfapietra, C.; Barbati, A.; Perugini, L.; Ferrari, B.; Guidolotti, G.; Quatrini, A.; Corona, P. Carbon Mitigation Potential of Different Forest Ecosystems under Climate Change and Various Managements in Italy. Ecosyst. Health Sustain. 2015, 1, 1–9. [Google Scholar] [CrossRef]
- Liski, J.; Perruchoud, D.; Karjalainen, T. Increasing Carbon Stocks in the Forest Soils of Western Europe. For. Ecol. Manag. 2002, 169, 159–175. [Google Scholar] [CrossRef]
- Röhling, S.; Dunger, K.; Kändler, G.; Klatt, S.; Riedel, T.; Stümer, W.; Brötz, J. Comparison of Calculation Methods for Estimating Annual Carbon Stock Change in German Forests under Forest Management in the German Greenhouse Gas Inventory. Carbon Balance Manag. 2016, 11, 12. [Google Scholar] [CrossRef]
- Kim, H.; Kim, Y.-H.; Kim, R.; Park, H. Reviews of Forest Carbon Dynamics Models That Use Empirical Yield Curves: CBM-CFS3, CO2FIX, CASMOFOR, EFISCEN. For. Sci. Technol. 2015, 11, 212–222. [Google Scholar] [CrossRef]
- Sil, Â.; Fonseca, F.; Gonçalves, J.; Honrado, J.; Marta-Pedroso, C.; Alonso, J.; Ramos, M.; Azevedo, J.C. Analysing Carbon Sequestration and Storage Dynamics in a Changing Mountain Landscape in Portugal: Insights for Management and Planning. Int. J. Biodivers. Sci. Ecosyst. Serv. Manag. 2017, 13, 82–104. [Google Scholar] [CrossRef]
- Vesterdal, L.; Christensen, M. The Carbon Pools in a Danish Semi-Natural Forest. Ecol. Bull. 2007, 52, 113–121. [Google Scholar]
- Nave, L.E.; Vance, E.D.; Swanston, C.W.; Curtis, P.S. Harvest Impacts on Soil Carbon Storage in Temperate Forests. For. Ecol. Manag. 2010, 259, 857–866. [Google Scholar] [CrossRef]
- Blujdea, V.N.B.; Sikkema, R.; Dutca, I.; Nabuurs, G.-J. Two Large-Scale Forest Scenario Modelling Approaches for Reporting CO2 Removal: A Comparison for the Romanian Forests. Carbon Balance Manag. 2021, 16, 25. [Google Scholar] [CrossRef]
- Yang, B.; Zhang, W.; Lu, Y.; Zhang, W.; Wang, Y. Carbon Storage Dynamics of Secondary Forest Succession in the Central Loess Plateau of China. Forests 2019, 10, 342. [Google Scholar] [CrossRef]
- Badalamenti, E.; Battipaglia, G.; Gristina, L.; Novara, A.; Rühl, J.; Sala, G.; Sapienza, L.; Valentini, R.; Mantia, T.L. Carbon Stock Increases up to Old Growth Forest along a Secondary Succession in Mediterranean Island Ecosystems. PLoS ONE 2019, 14, e0220194. [Google Scholar] [CrossRef]
- Pérez-Hernández, J.; Gavilán, R.G. Impacts of Land-Use Changes on Vegetation and Ecosystem Functioning: Old-Field Secondary Succession. Plants 2021, 10, 990. [Google Scholar] [CrossRef]
- Blujdea, V.; Marin, G. Commitments and contribution of the forestry sector to the achievement of reduction targets of Romania’s GHG. B. Bucov. For. 2018, 18, 23–34. [Google Scholar] [CrossRef][Green Version]
- Romanian National Forest Inventory (NFI). Available online: www.roifn.ro/site (accessed on 24 July 2023).
- Leca, Ș.; Popa, I.; Chivulescu, Ș.; Popa, A.; Pitar, D.; Dobre, A.C.; Pascu, I.S.; Apostol, B.; Badea, O. Structure and Diversity in a Periurban Forest of Bucharest, Romania. Ann. For. Res. 2023, 66, 139–153. [Google Scholar] [CrossRef]
- Chivulescu, S.; Cadar, N.; Hapa, M.; Capalb, F.; Radu, R.G.; Badea, O. The Necessity of Maintaining the Resilience of Peri-Urban Forests to Secure Environmental and Ecological Balance: A Case Study of Forest Stands Located on the Romanian Sector of the Pannonian Plain. Diversity 2023, 15, 380. [Google Scholar] [CrossRef]
- Geacu, S.; Grigorescu, I. Historical Changes in Urban and Peri-Urban Forests: Evidence from the Galați Area, Romania. Land 2022, 11, 2043. [Google Scholar] [CrossRef]
- National Inventory Report (NIR)-Romania. Available online: www.unfccc.int/documents/274077 (accessed on 24 July 2023).
- Somogyi, Z. Projected Effects of Climate Change on the Carbon Stocks of European Beech (Fagus sylvatica L.) Forests in Zala County, Hungary. For. J. 2016, 62, 3–14. [Google Scholar] [CrossRef]
- Harris, I.; Osborn, T.J.; Jones, P.; Lister, D. Version 4 of the CRU TS Monthly High-Resolution Gridded Multivariate Climate Dataset. Sci. Data 2020, 7, 109. [Google Scholar] [CrossRef] [PubMed]
- Țărău, D.; Rogobete, G.; Dicu, D.; Niţǎ, L. Romanian Soil Taxonomy System SRTS-2012. Res. J. Agric. Sci. 2012, 44, 140–148. [Google Scholar]
- U.S. Geological Survey (USGS) EROS Center (EDC). CORONA Satellite Photographs. Available online: http://earthexplorer.usgs.gov (accessed on 12 February 2024).
- Giurgiu, V.; Decei, I.; Drăghiciu, D. Metode Şi Tabele Dendrometrice [Methods and Yield Tables]; Editura Ceres: Bucuresti, Romania, 2004; pp. 27–575. [Google Scholar]
- Braga, C.I.; Crisan, V.E.; Petritan, I.C.; Scarlatescu, V.; Vasile, D.; Lazar, G.; Petritan, A.M. Short-Term Effects of Anthropogenic Disturbances on Stand Structure, Soil Properties, and Vegetation Diversity in a Former Virgin Mixed Forest. Forests 2023, 14, 742. [Google Scholar] [CrossRef]
- Blujdea, V.N.B.; Pilli, R.; Dutca, I.; Ciuvat, L.; Abrudan, I.V. Allometric Biomass Equations for Young Broadleaved Trees in Plantations in Romania. For. Ecol. Manag. 2012, 264, 172–184. [Google Scholar] [CrossRef]
- Dutcă, I.; Zianis, D.; Petrițan, I.C.; Bragă, C.I.; Ștefan, G.; Yuste, J.C.; Petrițan, A.M. Allometric Biomass Models for European Beech and Silver Fir: Testing Approaches to Minimize the Demand for Site-Specific Biomass Observations. Forests 2020, 11, 1136. [Google Scholar] [CrossRef]
- Přívětivý, T.; Baldrian, P.; Šamonil, P.; Vrška, T. Deadwood Density and Moisture Variation in a Natural Temperate Spruce-Fir-Beech Forest 2017. [CrossRef]
- Eggleston, H.S.; Buendia, L.; Miwa, K.; Ngara, T.; Tanabe, K. (Eds.) IPCC Guidelines for National Greenhouse Gas Inventories, Prepared by the National Greenhouse Gas Inventories Programme; IGES: Hayama, Japan, 2006. [Google Scholar]
- Popa, A.; Popa, I.; Roibu, C.-C.; Badea, O.N. Do Different Tree-Ring Proxies Contain Different Temperature Signals? A Case Study of Norway Spruce (Picea abies (L.) Karst) in the Eastern Carpathians. Plants 2022, 11, 2428. [Google Scholar] [CrossRef] [PubMed]
- Maxwell, R.S.; Larsson, L.-A. Measuring Tree-Ring Widths Using the CooRecorder Software Application. Dendrochronologia 2021, 67, 125841. [Google Scholar] [CrossRef]
- Grissino-Mayer, H.D. Evaluating Crossdating Accuracy: A Manual and Tutorial for the Computer Program COFECHA. Tree-Ring Res. 2001, 57, 205–221. [Google Scholar]
- Cools, N.; De Vos, B. Part X: Sampling and Analysis of Soil. Version 2020-1. In UNECE ICP Forests Programme Co-Ordinating Centre (Ed.): Manual on Methods and Criteria for Harmonized Sampling, Assessment, Monitoring and Analysis of the Effects of Air Pollution on Forests; Thünen Institute of Forest Ecosystems: Eberswalde, Germany, 2020; ISBN 978-3-86576-162-0. [Google Scholar]
- Baritz, R.; Seufert, G.; Montanarella, L.; Van Ranst, E. Carbon Concentrations and Stocks in Forest Soils of Europe. For. Ecol. Manag. 2010, 260, 262–277. [Google Scholar] [CrossRef]
- Dinca, L.; Sparchez, G.; Dincǎ, M.; Viorel, B. Organic Carbon Concentrations and Stocks in Romanian Mineral Forest Soils. Ann. For. Res. 2012, 55, 229–241. [Google Scholar]
- R Core Team. R: A Language and Environment for Statistical Computing; v4.3.2; R Foundation for Statistical Computing: Vienna, Austria, 2021. [Google Scholar]
- Fox, J.; Weisberg, S. An R Companion to Applied Regression; SAGE Publications: Thousand Oaks, CA, USA, 2018; ISBN 978-1-5443-3648-0. [Google Scholar]
- Somogyi, Z.; Hidy, D.; Gelybó, G.; Barcza, Z.; Churkina, G.; Haszpra, L.; Horváth, L.; Machon, A.; Grosz, B. Models and Their Adaptation. In Atmospheric Greenhouse Gases: The Hungarian Perspective; Haszpra, L., Ed.; Springer: Dordrecht, The Netherlands, 2011; pp. 201–228. ISBN 978-90-481-9950-1. [Google Scholar]
- Hiraishi, T.; Krug, T.; Tanabe, K.; Srivastava, N.; Baasansuren, J.; Fukuda, M.; Troxler, T.G. IPCC 2014, 2013 Revised Supplementary Methods and Good Practice Guidance Arising from the Kyoto Protocol; IPCC: Geneva, Switzerland, 2014; ISBN 978-92-9169-140-1. [Google Scholar]
- Keith, H.; Lindenmayer, D.; Mackey, B.; Blair, D.; Carter, L.; McBurney, L.; Okada, S.; Konishi-Nagano, T. Managing Temperate Forests for Carbon Storage: Impacts of Logging versus Forest Protection on Carbon Stocks. Ecosphere 2014, 5, art75. [Google Scholar] [CrossRef]
- Ciais, P.; Schelhaas, M.J.; Zaehle, S.; Piao, S.L.; Cescatti, A.; Liski, J.; Luyssaert, S.; Le-Maire, G.; Schulze, E.-D.; Bouriaud, O.; et al. Carbon Accumulation in European Forests. Nat. Geosci. 2008, 1, 425–429. [Google Scholar] [CrossRef]
- Vachnadze, G.; Tiginashvili, Z.; Tsereteli, G.; Aptsiauri, B.; Basilidze, L. Carbon Stock Sequestered in the Phytocenosis of Oak Forests in Georgia. Ann. Agrar. Sci. 2018, 16, 476–480. [Google Scholar] [CrossRef]
- Goodale, C.L.; Apps, M.J.; Birdsey, R.A.; Field, C.B.; Heath, L.S.; Houghton, R.A.; Jenkins, J.C.; Kohlmaier, G.H.; Kurz, W.; Liu, S.; et al. Forest carbon sinks in the northern hemisphere. Ecol. Appl. 2002, 12, 891–899. [Google Scholar] [CrossRef]
- Wijedasa, L.S.; Jain, A.; Ziegler, A.D.; Evans, T.A.; Fung, T. Estimating Carbon Biomass in Forests Using Incomplete Data. Biotropica 2021, 53, 397–408. [Google Scholar] [CrossRef]
- Ledermann, T.; Braun, M.; Kindermann, G.; Jandl, R.; Ludvig, A.; Schadauer, K.; Schwarzbauer, P.; Weiss, P. Effects of Silvicultural Adaptation Measures on Carbon Stock of Austrian Forests. Forests 2022, 13, 565. [Google Scholar] [CrossRef]
- Gao, Y.; Cheng, J.; Ma, Z.; Zhao, Y.; Su, J. Carbon Storage in Biomass, Litter, and Soil of Different Plantations in a Semiarid Temperate Region of Northwest China. Ann. For. Sci. 2014, 71, 427–435. [Google Scholar] [CrossRef]
- Petrea, S.; Radu, R.; Braga, C.; Cucu, A.; Serban, T.; Zaharia, A.; Pepelea, D.; Ienasoiu, G.; Petritan, I. The Role of Wood Density Variation and Biomass Allocation in Accurate Forest Carbon Stock Estimation of European Beech (Fagus sylvatica L.) Mountain Forests. Forests 2024, 15, 404. [Google Scholar] [CrossRef]
- Chave, J.; Coomes, D.; Jansen, S.; Lewis, S.L.; Swenson, N.G.; Zanne, A.E. Towards a Worldwide Wood Economics Spectrum. Ecol. Lett. 2009, 12, 351–366. [Google Scholar] [CrossRef] [PubMed]
- Thomas, S.; Malczewski, G. Wood Carbon Content of Tree Species in Eastern China: Interspecific Variability and the Importance of the Volatile Fraction. J. Environ. Manag. 2007, 85, 659–662. [Google Scholar] [CrossRef] [PubMed]
- Stephenson, N.L.; Van Mantgem, P.J.; Bunn, A.G.; Bruner, H.; Harmon, M.E.; O’Connell, K.B.; Urban, D.L.; Franklin, J.F. Causes and Implications of the Correlation between Forest Productivity and Tree Mortality Rates. Ecol. Monogr. 2011, 81, 527–555. [Google Scholar] [CrossRef]
- Luyssaert, S.; Schulze, E.-D.; Börner, A.; Knohl, A.; Hessenmöller, D.; Law, B.E.; Ciais, P.; Grace, J. Old-Growth Forests as Global Carbon Sinks. Nature 2008, 455, 213–215. [Google Scholar] [CrossRef]
- Larson, A.J.; Lutz, J.A.; Donato, D.C.; Freund, J.A.; Swanson, M.E.; HilleRisLambers, J.; Sprugel, D.G.; Franklin, J.F. Spatial Aspects of Tree Mortality Strongly Differ between Young and Old-Growth Forests. Ecology 2015, 96, 2855–2861. [Google Scholar] [CrossRef]
- Mayer, P.M. Ecosystem and Decomposer Effects on Litter Dynamics along an Old Field to Old-Growth Forest Successional Gradient. Acta Oecologica 2008, 33, 222–230. [Google Scholar] [CrossRef]
- Martius, C.; Höfer, H.; Garcia, M.V.B.; Römbke, J.; Förster, B.; Hanagarth, W. Microclimate in Agroforestry Systems in Central Amazonia: Does Canopy Closure Matter to Soil Organisms? Agrofor. Syst. 2004, 60, 291–304. [Google Scholar] [CrossRef]
- Lajtha, K.; Bowden, R.D.; Crow, S.; Fekete, I.; Kotroczó, Z.; Plante, A.; Simpson, M.J.; Nadelhoffer, K.J. The Detrital Input and Removal Treatment (DIRT) Network: Insights into Soil Carbon Stabilization. Sci. Total Environ. 2018, 640–641, 1112–1120. [Google Scholar] [CrossRef] [PubMed]
- Jörgensen, K.; Granath, G.; Lindahl, B.D.; Strengbom, J. Forest Management to Increase Carbon Sequestration in Boreal Pinus Sylvestris Forests. Plant Soil 2021, 466, 165–178. [Google Scholar] [CrossRef]
- Achat, D.L.; Fortin, M.; Landmann, G.; Ringeval, B.; Augusto, L. Forest Soil Carbon Is Threatened by Intensive Biomass Harvesting. Sci. Rep. 2015, 5, 15991. [Google Scholar] [CrossRef] [PubMed]
- James, J.; Harrison, R. The Effect of Harvest on Forest Soil Carbon: A Meta-Analysis. Forests 2016, 7, 308. [Google Scholar] [CrossRef]
- Bravo-Oviedo, A.; Ruiz-Peinado, R.; Modrego, P.; Alonso, R.; Montero, G. Forest Thinning Impact on Carbon Stock and Soil Condition in Southern European Populations of P. sylvestris L. For. Ecol. Manag. 2015, 357, 259–267. [Google Scholar] [CrossRef]
- Bigsby, H. Making Carbon Markets Work for Small Forest Owners. N. Z. J. For. 2009, 54, 31–37. [Google Scholar]
- Liu, X.; Cho, S.-H.; Armsworth, P.R.; Hayes, D.J. Where and When Carbon Storage Can Be Bought Cost Effectively from Private Forest Owners. Environ. Manag. 2021, 67, 930–948. [Google Scholar] [CrossRef]
- Clay, L.; Motallebi, M.; Song, B. An Analysis of Common Forest Management Practices for Carbon Sequestration in South Carolina. Forests 2019, 10, 949. [Google Scholar] [CrossRef]




| Stand Characteristics | No-SI (M ± SD) | Low-SI (M ± SD) | High-SI (M ± SD) |
|---|---|---|---|
| Stand age (years) | 25 ± 1 | 122 ± 1 | 126 ± 3 |
| Number of species in stand composition | 9 | 1 | 1 |
| Trees density (N ha−1) | 1132.4 ± 415.4 | 120.0 ± 12.7 | 68.0 ± 16.3 |
| Juvenile trees (d < 2 cm) density (N ha−1) | 1503.3 ± 869.8 | NA | NA |
| Basal area (m2 ha−1) | 18.2 ± 3.7 | 37.4 ± 1.3 | 12.1 ± 1.8 |
| Current annual increment (m3 year−1 ha−1) | 11.5 ± 3.8 | 6.3 ± 1.3 | 2.7 ± 1.4 |
| Growing stock per area (m3 ha−1) | 135.8 ± 41.9 | 691.0 ± 186.8 | 187.9 ± 118.1 |
| Carbon Pool | Levene Test | Shapiro-Wilk W Test | Kruskal-Wallis Test | |||
|---|---|---|---|---|---|---|
| (Homogeneity of Variances) | (Test of Normality) | |||||
| F | p | W | p | H | p adj. | |
| CS_litter | 0.468 | 0.642 | 0.802 | 0.009 ** | 4.036 | 0.133 |
| CS_soil | 0.298 | 0.750 | 0.938 | 0.492 | 4.909 | 0.086 |
| CS_AGB | 0.180 | 0.836 | 0.744 | <0.001 *** | 9.751 | 0.008 ** |
| CS_DW | 2.418 | 0.111 | 0.721 | <0.001 *** | 10.940 | 0.004 ** |
| CSC_AGB | 4.4654 | 0.022 * | 0.942 | 0.134 | 18.703 | <0.001 *** |
Disclaimer/Publisher’s Note: The statements, opinions and data contained in all publications are solely those of the individual author(s) and contributor(s) and not of MDPI and/or the editor(s). MDPI and/or the editor(s) disclaim responsibility for any injury to people or property resulting from any ideas, methods, instructions or products referred to in the content. |
© 2024 by the authors. Licensee MDPI, Basel, Switzerland. This article is an open access article distributed under the terms and conditions of the Creative Commons Attribution (CC BY) license (https://creativecommons.org/licenses/by/4.0/).
Share and Cite
Braga, C.I.; Petrea, S.; Radu, G.R.; Cucu, A.B.; Serban, T.; Zaharia, A.; Leca, S. Carbon Sequestration Dynamics in Peri-Urban Forests: Comparing Secondary Succession and Mature Stands under Varied Forest Management Practices. Land 2024, 13, 492. https://doi.org/10.3390/land13040492
Braga CI, Petrea S, Radu GR, Cucu AB, Serban T, Zaharia A, Leca S. Carbon Sequestration Dynamics in Peri-Urban Forests: Comparing Secondary Succession and Mature Stands under Varied Forest Management Practices. Land. 2024; 13(4):492. https://doi.org/10.3390/land13040492
Chicago/Turabian StyleBraga, Cosmin Ion, Stefan Petrea, Gheorghe Raul Radu, Alexandru Bogdan Cucu, Tibor Serban, Alexandru Zaharia, and Stefan Leca. 2024. "Carbon Sequestration Dynamics in Peri-Urban Forests: Comparing Secondary Succession and Mature Stands under Varied Forest Management Practices" Land 13, no. 4: 492. https://doi.org/10.3390/land13040492
APA StyleBraga, C. I., Petrea, S., Radu, G. R., Cucu, A. B., Serban, T., Zaharia, A., & Leca, S. (2024). Carbon Sequestration Dynamics in Peri-Urban Forests: Comparing Secondary Succession and Mature Stands under Varied Forest Management Practices. Land, 13(4), 492. https://doi.org/10.3390/land13040492

