Climate Change and Wetland Ecosystems: The Effects on Halophilous Vegetation Diversity in Il-Ballut ta’ Marsaxlokk Natura 2000 Site (Malta)
Abstract
:1. Introduction
2. Materials and Methods
2.1. Study Area
2.2. Vegetation Surveys
2.3. Data Analysis
3. Results
3.1. Plant Communities
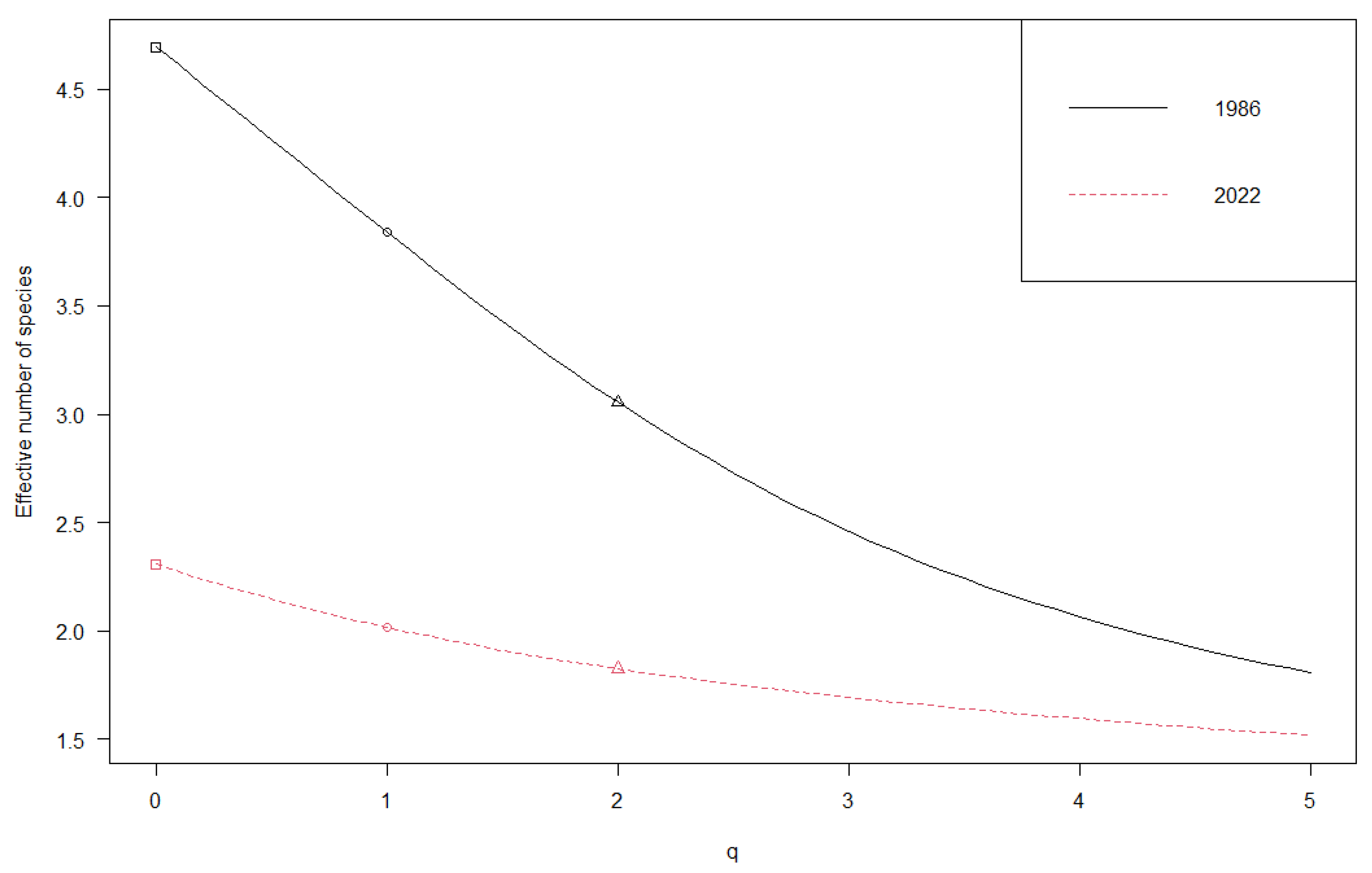
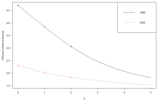
3.2. Diversity and Ecological Indices
3.3. Mapping Annex I Habitats of Directive 92/43/EEC
4. Discussion
5. Conclusions
Supplementary Materials
Author Contributions
Funding
Data Availability Statement
Acknowledgments
Conflicts of Interest
Appendix A
Appendix B
References
- Perennou, C.; Gaget, E.; Galewski, T.; Geijzendorffer, I.; Guelmami, A. Evolution of wetlands in Mediterranean region. In Water Resources in the Mediterranean Region; Zribi, M., Brocca, L., Tramblay, Y., Molle, F., Eds.; Elsevier: Amsterdam, The Netherlands, 2020; pp. 297–320. [Google Scholar] [CrossRef]
- Tomaselli, V.; Mantino, F.; Tarantino, C.; Albanese, G.; Adamo, M. Changing landscapes: Habitat monitoring and land transformation in a long-time used Mediterranean coastal wetland. Wetl. Ecol. Manag. 2023, 31, 31–58. [Google Scholar] [CrossRef]
- Mitsch, W.J.; Bernal, B.; Nahlik, A.M.; Mander, Ü.; Zhang, L.; Anderson, C.J.; Jørgensen, S.E.; Brix, H. Wetlands, carbon, and climate change. Landsc. Ecol. 2013, 28, 583–597. [Google Scholar] [CrossRef]
- Pachauri, R.K.; Allen, M.R.; Barros, V.R.; Broome, J.; Cramer, W.; Christ, R.; Church, J.A.; Clarke, L.; Dahe, Q.; Dasgupta, P.; et al. Climate Change 2014: Synthesis Report. Contribution of Working Groups I, II and III to the Fifth Assessment Report of the Intergovernmental Panel on Climate Change; IPCC: Geneva, Switzerland, 2014; p. 151. [Google Scholar]
- NOAA. National Centers for Environmental Information, Monthly Global Climate Report for Annual 2022. Available online: https://www.ncei.noaa.gov/access/monitoring/monthly-report/global/202213 (accessed on 25 July 2023).
- Salimi, S.; Almuktar, S.A.; Scholz, M. Impact of climate change on wetland ecosystems: A critical review of experimental wetlands. J. Environ. Manag. 2021, 286, 112160. [Google Scholar] [CrossRef]
- Birnbaum, C.; Waryszak, P.; Farrer, E.C. Direct and indirect effects of climate change in coastal wetlands: Will climate change influence wetlands by affecting plant invasion? Wetlands 2021, 41, 59. [Google Scholar] [CrossRef]
- Rezaei, A.; Gurdak, J.J. Large-scale climate variability controls on climate, vegetation coverage, lake and groundwater storage in the Lake Urmia watershed using SSA and wavelet analysis. Sci. Total Environ. 2020, 724, 138273. [Google Scholar] [CrossRef] [PubMed]
- Chen, Y.; Sun, L.; Xu, J.; Liang, B.; Wang, J.; Xiong, N. Wetland vegetation changes in response to climate change and human activities on the Tibetan Plateau during 2000–2015. Front. Ecol. Evol. 2023, 11, 1113802. [Google Scholar] [CrossRef]
- Médail, F. The specific vulnerability of plant biodiversity and vegetation on Mediterranean islands in the face of global change. Reg. Environ. Chang. 2017, 17, 1775–1790. [Google Scholar] [CrossRef]
- Fois, M.; Cuena-Lombraña, A.; Araç, N.; Artufel, M.; Atak, E.; Attard, V.; Bacchetta, G.; Cambria, S.; Ben Charfi, K.; Dizdaroğlu, D.E.; et al. The Mediterranean Island Wetlands (MedIsWet) inventory: Strengths and shortfalls of the currently available floristic data. Flora Mediterr. 2022, 32, 339–349. [Google Scholar]
- Schembri, P.J. Physical geography and ecology of the Maltese Islands: A brief overview. In Malta: Food, Agriculture, Fisheries and the Environment; Busuttil, S., Lerin, F., Mizzi, L., Eds.; Options Méditerranéennes: Montpellier, France, 1993; Volume 7, pp. 27–39. [Google Scholar]
- Census of Population and Housing 2021. 2022. Available online: https://nso.gov.mt/census-of-population-and-housing-2021-status-report/ (accessed on 26 July 2023).
- Lanfranco, S.; Galea, L.; Van Colen, T. Saline Marshlands of the Maltese Islands. In Landscapes and Landforms of the Maltese Islands. World Geomorphological Landscapes; Gauci, R., Schembri, J., Eds.; Springer: Cham, Switzerland, 2019; pp. 245–259. [Google Scholar]
- Henwood, J.; Falzon, A.; Bonello, A.; Attard, V.; Bonavia, O. Il-Ballut Nature Reserve, Marsaxlokk: Management Plan for the Years 2006–2010; Nature Trust Malta: Valletta, Malta, 2005; pp. 1–112. [Google Scholar]
- Brullo, S.; Brullo, C.; Cambria, S.; del Galdo, G.G. The Vegetation of the Maltese Islands; Springer: Cham, Switzerland, 2020. [Google Scholar]
- Schembri, P.J.; Lanfranco, E.; Farrugia, P.; Schembri, S.; Sultana, J. Localities with Conservation Value in the Maltese Islands, 3rd ed.; Environment Division: Beltissebh, Malta, 1987; p. 27. [Google Scholar]
- Braun-Blanquet, J. Pflanzensoziologie: Grundzuege der Vegetationskunde; Dritte, Neubearbeitete und Wesentlich Vermehrte Auflage; Springer: Milan, Iataly, 1964. [Google Scholar]
- Litchi App 2023. Available online: https://flyLitchi.com (accessed on 26 July 2023).
- OpenDroneMap WebODM (Version 1.9.12 Build 55) [Software]. 2022. Available online: https://opendronemap.org/webodm/ (accessed on 26 July 2023).
- QGIS Development Team. QGIS Geographic Information System. Open Source Geospatial Foundation Project. (Version 3.22.8) [Software]. 2022. Available online: https://www.qgis.org/ (accessed on 26 July 2023).
- ESRI 2011. ArcGIS Desktop: Release 10. Redlands, CA: Environmental Systems Research Institute. Available online: https://www.esriitalia.it/prodotti/la-nostra-offerta/piattaforma-esri/arcgis-10-5 (accessed on 26 July 2023).
- Biondi, E.; Blasi, C.; Burrascano, S.; Casavecchia, S.; Copiz, R.; Del Vico, E.; Galdenzi, D.; Gigante, D.; Lasen, C.; Spampinato, G.; et al. Manuale Italiano di Interpretazione Degli Habitat Della Direttiva 92/43/CEE. Società Botanica Italiana. Ministero dell’Ambiente e Della Tutela del Territorio e del Mare, D.P.N. 2009. Available online: http://vnr.unipg.it/habitat (accessed on 26 July 2023).
- The European Environment Agency (EEA). Available online: https://eunis.eea.europa.eu/habitats-code.jsp (accessed on 26 July 2023).
- Pignatti, S. Volume 1: Flora d’Italia & Flora Digitale. In Flora d’Italia: In 4 Volumi, 2nd ed.; Edagricole-Edizioni Agricole di New Business Media srl: Milano, Italy, 2017. [Google Scholar]
- Pignatti, S. Volume 2: Flora d’Italia & Flora Digitale. In Flora d’Italia: In 4 Volumi, 2nd ed.; Edagricole-Edizioni Agricole di New Business Media srl: Milano, Italy, 2017. [Google Scholar]
- Pignatti, S. Volume 3: Flora d’Italia & Flora Digitale. In Flora d’Italia: In 4 Volumi, 2nd ed.; Edagricole-Edizioni Agricole di New Business Media srl: Milano, Italy, 2018. [Google Scholar]
- Pignatti, S.; Guarino, R.; La Rosa, M. Volume 4: Flora d’Italia & Flora Digitale. In Flora d’Italia: In 4 Volumi, 2nd ed.; Edagricole-Edizioni Agricole di New Business Media srl: Milano, Italy, 2019. [Google Scholar]
- Portal to the Flora of Italy. Available online: http:/dryades.units.it/floritaly (accessed on 26 July 2023).
- De la Fuente, V.; Sánchez-Gavilán, I.; Ramírez, E.; Rufo, L.; Sánchez-Mata, D. Morphological variability of halophytes: Salicornioideae on Iberian Peninsula. In Handbook of Halophytes: From Molecules to Ecosystems towards Biosaline Agriculture; Grigore, M.N., Ed.; Springer: Cham, Switzerdland, 2021; pp. 1223–1258. [Google Scholar]
- Theurillat, J.P.; Willner, W.; Fernández-González, F.; Bültmann, H.; Čarni, A.; Gigante, D.; Mucina, L.; Weber, H. International code of phytosociological nomenclature. Appl. Veg. Sci. 2021, 24, e12491. [Google Scholar] [CrossRef]
- Mucina, L.; Bültmann, H.; Dierßen, K.; Theurillat, J.P.; Raus, T.; Čarni, A.; Šumberová, K.; Willner, W.; Dengler, J.; García, R.G.; et al. Vegetation of europe: Hierarchical floristic classification system of vascular plant, bryophyte, lichen, and algal communities. Appl. Veg. Sci. 2016, 19, 3–264. [Google Scholar] [CrossRef]
- R Core Team. R: A Language and Environment for Statistical Computing. 2022. Available online: https://www.R-project.org/ (accessed on 26 July 2023).
- Oksanen, J. Multivariate Analysis of Ecological Communities in R: Vegan Tutorial. 2015. Available online: https://www.mooreecology.com/uploads/2/4/2/1/24213970/vegantutor.pdf (accessed on 26 July 2023).
- Charney, N.; Record, S. Vegetarian: Jost Diversity Measures for Community Data. R Package Version 1.2. 2012. Available online: http://cran.nexr.com/web/packages/vegetarian/vegetarian.pdf (accessed on 26 July 2023).
- van der Maarel, E. Transformation of cover-abundance values in phytosociology and its effects on community similarity. Vegetatio 1979, 39, 97–114. [Google Scholar]
- Maechler, M.; Rousseeuw, P.; Struyf, A.; Hubert, M.; Hornik, K.; Studer, M.; Roudier, P.; Gonzalez, J.; Kozlowski, K.; Schubert, E.; et al. Cluster: Cluster Analysis Basics and Extensions. R Package Version 2.1.1. Available online: https://CRAN.R-project.org/package=cluster (accessed on 26 July 2023).
- Shannon, C.E. The mathematical theory of communication. In The Mathematical Theory of Communication; Shannon, C.E., Weaver, W., Eds.; University of Illinois Press: Urbana, IL, USA, 1949; pp. 29–125. [Google Scholar]
- Simpson, E.H. Measurement of diversity. Nature 1949, 163, 688. [Google Scholar] [CrossRef]
- Borcard, D.; Gillet, F.; Legendre, P. Numerical Ecology with R; Springer: New York, NY, USA, 2011; Volume 2, p. 688. [Google Scholar]
- R Core Team and Contributors Worldwide. The R Stats Package. Available online: https://cran.r-project.org/package=STAT (accessed on 26 July 2023).
- Ellenberg, H.; Weber, H.E.; Düll, R.; Wirth, V.; Werner, W.; Paulißen, D. Zeigerwerte von Pflanzen in Mitteleuropa. Scr. Geobot. 1991, 18, 1–248. [Google Scholar]
- Pignatti, S.; Ellenberg, H.; Pietrosanti, S. Ecograms for phytosociological tables based on Ellenberg. Ann. Bot. 1996, 54, 5–14. [Google Scholar]
- Tichý, L.; Axmanová, I.; Dengler, J.; Guarino, R.; Jansen, F.; Midolo, G.; Nobis, M.P.; Van Meerbeek, K.; Aćić, S.; Attorre, F.; et al. Ellenberg-type indicator values for European vascular plant species. J. Veg. Sci. 2023, 34, e13168. [Google Scholar] [CrossRef]
- Lepš, J.; Šmilauer, P. Multivariate Analysis of Ecological Data Using CANOCO; Cambridge University Press: Cambridge, UK, 2003. [Google Scholar]
- Legendre, P.; Legendre, L. Numerical Ecology; Elsevier: Salt Lake City, UT, USA, 2012. [Google Scholar]
- Hill, M.O. Diversity and evenness: A unifying notation and its consequences. Ecology 1973, 54, 427–432. [Google Scholar] [CrossRef]
- Jost, L. Entropy and diversity. Oikos 2006, 113, 363–375. [Google Scholar] [CrossRef]
- Jost, L. Partitioning diversity into independent alpha and beta components. Ecology 2007, 88, 2427–2439. [Google Scholar] [CrossRef]
- De Bello, F.; Lavergne, S.; Meynard, C.; Lepš, J.; Thuiller, W. The partitioning of diversity: Showing Theseus a way out of the labyrinth. J. Veg. Sci. 2010, 21, 992–1000. [Google Scholar] [CrossRef]
- Giorgi, F. Climate change hot-spots. Geophys. Res. Lett. 2006, 33, L08707. [Google Scholar] [CrossRef]
- Galdies, C. Temperature trends in Malta (central Mediterranean) from 1951 to 2010. Meteorol. Atmos. Phys. 2012, 117, 135–143. [Google Scholar] [CrossRef]
- Short, F.T.; Kosten, S.; Morgan, P.A.; Malone, S.; Moore, G.E. Impacts of climate change on submerged and emergent wetland plants. Aquat. Bot. 2016, 135, 3–17. [Google Scholar] [CrossRef]
- Rapinel, S.; Rozo, C.; Delbosc, P.; Bioret, F.; Bouzillé, J.B.; Hubert-Moy, L. Contribution of free satellite time-series images to mapping plant communities in the Mediterranean Natura 2000 site: The example of Biguglia Pond in Corse (France). Mediterr. Bot. 2020, 41, 181–191. [Google Scholar] [CrossRef]
- Sommier, S.; Caruana Gatto, A. Flora Melitensis Nova; Stabilimento Pellas: Firenze, Italy, 1915; p. 502. [Google Scholar]
- Šuvada, R.; Dítě, D.; Dítětová, Z.; Jun, P.E. Rare plant species of salt marshes of the Croatian coast. Hacquetia 2018, 17, 221–234. [Google Scholar] [CrossRef]
- Sharpe, J.P.; Baldwin, H.A. Tidal marsh plant community response to sea-level rise: A mesocosm study. Aquat. Bot. 2012, 101, 34–40. [Google Scholar] [CrossRef]
- Géhu, J.M.; Costa, M.; Scoppola, A.; Biondi, E.; Marchiori, S.; Peris, J.B.; Franck, J.; Caniglia, G.; Veri, L. Essai synsystématique et synchorologique sur les végétations littorales italiennes dans un but conservatoire. I—Dunes et vases salées. Doc. Phytosociol. 1984, 8, 393–474. [Google Scholar]
- Nagendra, H. Opposite trends in response for the Shannon and Simpson indices of landscape diversity. Appl. Geogr. 2002, 22, 175–186. [Google Scholar] [CrossRef]
- Papini, A.; Signorini, M.A.; Foggi, B.; Della Giovampaola, E.; Ongaro, L.; Vivona, L.; Santosuosso, U.; Tani, C.; Bruschi, P. History vs. legend: Retracing invasion and spread of Oxalis pes-caprae L. in Europe and the Mediterranean area. PLoS ONE 2017, 12, e0190237. [Google Scholar] [CrossRef]
- Lanfranco, E. The vegetation of the Ghadira nature reserve. CENTRO 1990, 1, 1–4. [Google Scholar]
- Nunes, L.J.R.; Raposo, M.A.M.; Gomes, C.J.P. The Impact of Tourism Activity on Coastal Biodiversity: A Case Study at Praia da Cova Redonda (Algarve—Portugal). Environment 2020, 7, 88. [Google Scholar] [CrossRef]
- Sciandrello, S.; Cambria, S.; Giusso del Galdo, G.; Guarino, R.; Minissale, P.; Pasta, S.; Tavilla, G.; Cristaudo, A. Floristic and Vegetation Changes on a Small Mediterranean Island over the Last Century. Plants 2021, 10, 680. [Google Scholar] [CrossRef]
- Brullo, S.; Furnari, F. Le associazioni vegetali degli ambienti palustri costieri della Sicilia. Not. Fitosoc. 1976, 11, 1–43. [Google Scholar]
- Sciandrello, S.; Musarella, C.M.; Puglisi, M.; Spampinato, G.; Tomaselli, V.; Minissale, P. Updated and new insights on the coastal halophilous vegetation of southeastern Sicily (Italy). Plant Sociol. 2019, 56, 81–98. [Google Scholar]
- Ramírez, E.; Rufo, L.; Sánchez-Mata, D.; De la Fuente, V. Arthrocaulon meridionalis (Chenopodiaceae), a new species of Mediterranean flora. Mediterr. Bot. 2019, 40, 33–41. [Google Scholar] [CrossRef]
- Ramírez, E.; Sánchez-Gavilán, I.; Rufo, L.; Sánchez-Mata, D.; De la Fuente, V. Morphology, anatomy and phylogeny of the two sister halophytic genera Microcnemum and Arthrocnemum (Salicornioideae/Amaranthaceae). Plant Biosyst. 2022, 156, 1422–1437. [Google Scholar] [CrossRef]
- Pfeiffer, L. Nomenclator Botanicus, Vol. 1, Pars 1; Sumptibus Theodori Fischeri: Cassellis, 1873; p. 808. [Google Scholar]
- Piirainen, M.; Liebisch, O.; Kadereit, G. Phylogeny, biogeography, systematics and taxonomy of Salicornioideae (Amaranthaceae/Chenopodiaceae)—A cosmopolitan, highly specialized hygrohalophyte lineage dating back to the Oligocene. Taxon 2017, 66, 109–132. [Google Scholar] [CrossRef]








| Index | 1986 Mean | 2022 Mean | t | F | p |
|---|---|---|---|---|---|
| Species richness | 4.69 ± 1.31 | 2.30 ± 0.85 | 5.4801 | 2.26 | *** |
| Shannon entropy (base e) | 1.34 ± 0.43 | 0.71 ± 0.32 | 4.17 | 1.81 | *** |
| Shannon entropy (base 2) | 1.94 ± 0.63 | 1.02 ± 0.47 | 4.17 | 1.81 | *** |
| Shannon diversity | 4.09 ± 1.17 | 2.13 ± 0.71 | 5.13 | 2.74 | *** |
| Simpson diversity | 3.61 ± 1.07 | 2.01 ± 0.60 | 4.69 | 3.11 | *** |
| Shannon evenness (Hill’s ratio) | 0.87 ± 0.05 | 0.93 ± 0.06 | 2.43 | 1.53 | * |
| Simpson evenness (Hill’s ratio) | 0.78 ± 0.09 | 0.89 ± 0.10 | 2.82 | 1.27 | *** |
| Pielou evenness | 1 | 1 | 0.6 | 1.13 | n.s. |
| Ellenberg Values | NMDS1 | NMDS2 | r2 | Pr (>2) | |
|---|---|---|---|---|---|
| L | 0.24515 | −0.96948 | 0.1977 | 0.426 | |
| T | −0.57268 | −0.81978 | 0.3895 | 0.024 | * |
| M | −0.83077 | 0.55661 | 0.1812 | 0.618 | |
| R | −0.34704 | −0.93785 | 0.3087 | 0.054 | . |
| N | 0.46068 | −0.88757 | 0.4742 | 0.012 | ** |
| S | 0.68126 | −0.73205 | 0.1021 | 1.0000 |
Disclaimer/Publisher’s Note: The statements, opinions and data contained in all publications are solely those of the individual author(s) and contributor(s) and not of MDPI and/or the editor(s). MDPI and/or the editor(s) disclaim responsibility for any injury to people or property resulting from any ideas, methods, instructions or products referred to in the content. |
© 2023 by the authors. Licensee MDPI, Basel, Switzerland. This article is an open access article distributed under the terms and conditions of the Creative Commons Attribution (CC BY) license (https://creativecommons.org/licenses/by/4.0/).
Share and Cite
Tavilla, G.; Lamoliere, A.; Gabarretta, J.; Attard, V.; Henwood, J.; Stevens, D.T.; del Galdo, G.G.; Minissale, P.; Ranno, V.; Adamo, M.; et al. Climate Change and Wetland Ecosystems: The Effects on Halophilous Vegetation Diversity in Il-Ballut ta’ Marsaxlokk Natura 2000 Site (Malta). Land 2023, 12, 1679. https://doi.org/10.3390/land12091679
Tavilla G, Lamoliere A, Gabarretta J, Attard V, Henwood J, Stevens DT, del Galdo GG, Minissale P, Ranno V, Adamo M, et al. Climate Change and Wetland Ecosystems: The Effects on Halophilous Vegetation Diversity in Il-Ballut ta’ Marsaxlokk Natura 2000 Site (Malta). Land. 2023; 12(9):1679. https://doi.org/10.3390/land12091679
Chicago/Turabian StyleTavilla, Gianmarco, Arthur Lamoliere, James Gabarretta, Vincent Attard, Jonathan Henwood, Darrin T. Stevens, Gianpietro Giusso del Galdo, Pietro Minissale, Veronica Ranno, Maria Adamo, and et al. 2023. "Climate Change and Wetland Ecosystems: The Effects on Halophilous Vegetation Diversity in Il-Ballut ta’ Marsaxlokk Natura 2000 Site (Malta)" Land 12, no. 9: 1679. https://doi.org/10.3390/land12091679
APA StyleTavilla, G., Lamoliere, A., Gabarretta, J., Attard, V., Henwood, J., Stevens, D. T., del Galdo, G. G., Minissale, P., Ranno, V., Adamo, M., Tomaselli, V., Sciandrello, S., & Lanfranco, S. (2023). Climate Change and Wetland Ecosystems: The Effects on Halophilous Vegetation Diversity in Il-Ballut ta’ Marsaxlokk Natura 2000 Site (Malta). Land, 12(9), 1679. https://doi.org/10.3390/land12091679

