Grazing Decreases Soil Aggregation and Has Different Effects on Soil Organic Carbon Storage across Different Grassland Types in Northern Xinjiang, China
Abstract
1. Introduction
2. Materials and Methods
2.1. Study Area
2.2. Experimental Design and Soil Sampling
2.3. Soil Aggregate Size Distribution and Analysis
2.4. Measurement of Soil Physico-Chemical Properties
2.5. Calculation of SOC Density of Bulk Soil and Grazing Effect Size on Aggregate-Associated SOC
2.6. Statistical Analysis
3. Results
3.1. Soil Properties
3.2. Aggregate Particle Distribution and Stability
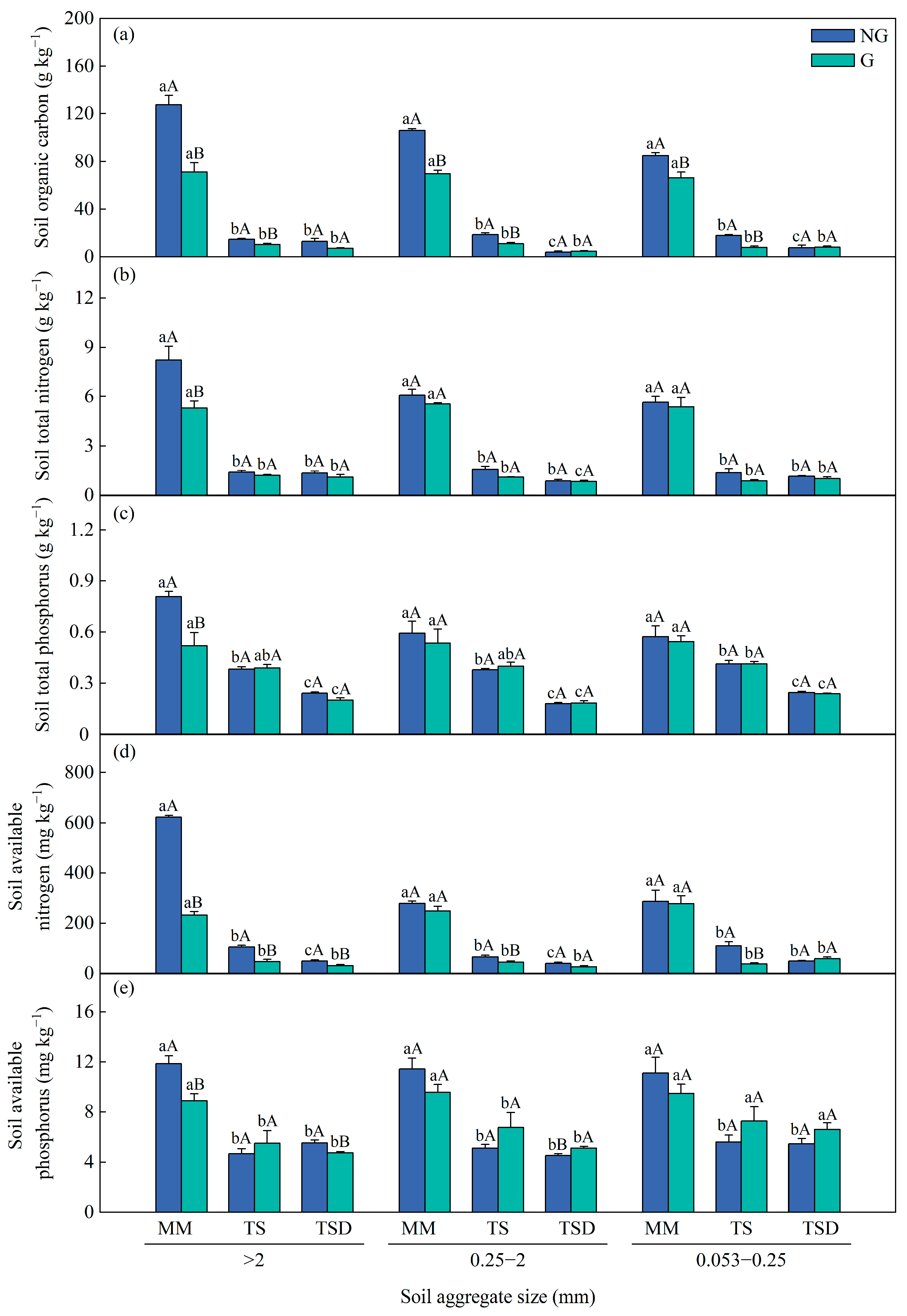
3.3. Characteristics of Nutrients in Soil Aggregates
3.4. Influence of Soil Variables on Soil Aggregates
4. Discussion
4.1. Effects of Grazing and Grassland Type on Soil Aggregate Size Distribution and Stability
4.2. Effects of Grazing and Grassland Type on Soil Aggregation Nutrients
5. Conclusions
Supplementary Materials
Author Contributions
Funding
Data Availability Statement
Acknowledgments
Conflicts of Interest
References
- Cui, Y.X.; Fang, L.C.; Guo, X.B.; Han, F.; Ju, W.L.; Ye, L.P.; Wang, X.; Tan, W.F.; Zhang, X.C. Natural grassland as the optimal pattern of vegetation restoration in arid and semi–arid regions: Evidence from nutrient limitation of soil microbes. Sci. Total Environ. 2019, 648, 388–397. [Google Scholar] [CrossRef] [PubMed]
- Guillaume, T.; Bragazza, L.; Levasseur, C.; Libohova, Z.; Sinaj, S. Long-term soil organic carbon dynamics in temperate cropland–grassland systems. Agric. Ecosyst. Environ. 2021, 305, 107184. [Google Scholar] [CrossRef]
- Zhang, M.; Li, X.B.; Wang, H.; Huang, Q. Comprehensive analysis of grazing intensity impacts soil organic carbon: A case study in typical steppe of Inner Mongolia, China. Comprehensive analysis of grazing intensity impacts soil organic carbon: A case study in typical steppe of Inner Mongolia, China. Appl. Soil Ecol. 2018, 129, 1–12. [Google Scholar]
- Zhang, X.R.; Zhang, W.Q.; Sai, X.; Chun, F.; Li, X.J.; Lu, X.X.; Wang, H. Grazing altered soil aggregates, nutrients and enzyme activities in a Stipa kirschnii steppe of Inner Mongolia. Soil Tillage Res. 2022, 219, 105327. [Google Scholar] [CrossRef]
- Liu, D.D.; Ju, W.L.; Jin, X.L.; Li, M.D.; Shen, G.T.; Duan, C.J.; Guo, L.; Liu, Y.Y.; Zhao, W.; Fang, L.C. Associated soil aggregate nutrients and controlling factors on aggregate stability in semiarid grassland under different grazing prohibition timeframes. Sci. Total Environ. 2021, 777, 146104. [Google Scholar] [CrossRef]
- Yao, Y.F.; Ge, N.N.; Yu, S.; Wei, X.R.; Wang, X.; Jin, J.W.; Liu, X.T.; Shao, M.G.; Wei, Y.C.; Kang, L. Response of aggregate associated organic carbon, nitrogen and phosphorous to re–vegetation in agro–pastoral ecotone of northern China. Geoderma 2019, 341, 172–180. [Google Scholar] [CrossRef]
- Jastrow, J.D. Soil aggregate formation and the accrual of particulate and mineral-associated organic matter. Soil Biol. Biochem. 1996, 28, 665–676. [Google Scholar] [CrossRef]
- Bird, S.B.; Herrick, J.E.; Wander, M.M.; Wright, S.F. Spatial heterogeneity of aggregate stability and soil carbon in semi–arid rangeland. Environ. Pollut. 2002, 116, 445–455. [Google Scholar] [CrossRef]
- Dec, D.; Doerner, J.; Balocchi, O.; Lopez, I. Temporal dynamics of hydraulic and mechanical properties of an Andosol under grazing. Soil Tillage Res. 2012, 125, 44–51. [Google Scholar] [CrossRef]
- Silveira, M.L.; Xu, S.; Adewopo, J.; Franzluebbers, A.J.; Buonadio, G. Grazing land intensification effects on soil C dynamics in aggregate size fractions of a Spodosol. Geoderma 2014, 230, 185–193. [Google Scholar] [CrossRef]
- Bonetti, J.D.; Anghinoni, I.; Gubiani, P.I.; Cecagno, D.; De Moraes, M.T. Impact of a long–term crop–livestock system on the physical and hydraulic properties of an Oxisol. Soil Tillage Res. 2019, 186, 280–291. [Google Scholar] [CrossRef]
- Wang, J.W.; Zhao, C.Z.; Zhao, L.C.; Wen, J.; Li, Q. Effects of grazing on the allocation of mass of soil aggregates and aggregate–associated organic carbon in an alpine meadow. PLoS ONE 2020, 15, e0234477. [Google Scholar] [CrossRef] [PubMed]
- Li, L.; Yuan, Z.R.; Li, F.C. Changes in Soil Aggregates Composition Stabilization and Organic Carbon during Deterioration of Alpine Grassland. IOP Conf. Ser. Earth Environ. Sci. 2019, 237, 032068. [Google Scholar] [CrossRef]
- Fan, J.L.; Jin, H.; Zhang, C.H.; Zheng, J.J.; Zhang, J.; Han, G.D. Grazing intensity induced alternations of soil microbial community composition in aggregates drive soil organic carbon turnover in a desert steppe. Agric. Ecosyst. Environ. 2021, 313, 107387. [Google Scholar] [CrossRef]
- Reeder, J.D.; Schuman, G.E. Influence of livestock grazing on C sequestration in semi-arid mixed-grass and short-grass rangelands. Environ. Pollut. 2002, 116, 457–463. [Google Scholar] [CrossRef]
- Egan, G.; Crawley, M.J.; Fornara, D.A. Effects of long-term grassland management on the carbon and nitrogen pools of different soil aggregate fractions. Sci. Total Environ. 2018, 613, 810–819. [Google Scholar] [CrossRef]
- Hewins, D.B.; Lyseng, M.P.; Schoderbek, D.F.; Alexander, M.; Willms, W.D.; Carlyle, C.N.; Chang, S.X.; Bork, E.W. Grazing and climate effects on soil organic carbon concentration and particle–size association in northern grasslands. Sci. Rep. 2018, 8, 1336. [Google Scholar] [CrossRef]
- Fu, Q.; Li, B.; Hou, Y.; Bi, X.; Zhang, X.S. Effects of land use and climate change on ecosystem services in Central Asia’s arid regions: A case study in Altay Prefecture, China. Sci. Total Environ. 2017, 607, 633–646. [Google Scholar] [CrossRef] [PubMed]
- Bi, X.; Li, B.; Nan, B.; Fan, Y.; Fu, Q.; Zhang, X.S. Characteristics of soil organic carbon and total nitrogen under various grassland types along a transect in a mountain–basin system in Xinjiang, China. J. Arid Land 2018, 10, 612–627. [Google Scholar] [CrossRef]
- Wang, T.; Xu, S.; Zhao, M.Y.; Li, H.; Kou, D.; Fang, J.Y.; Hu, H.F. Allocation of mass and stability of soil aggregate in different types of Nei Mongol grasslands. Chin. J. Plant Ecol. 2017, 41, 1168–1176. [Google Scholar]
- Zhang, Z.H.; Li, X.Y.; Jiang, Z.Y.; Peng, H.Y.; Li, L.; Zhao, G.Q. Changes in some soil properties induced by re-conversion of cropland into grassland in the semiarid steppe zone of Inner Mongolia, China. Plant Soil 2013, 373, 89–106. [Google Scholar] [CrossRef]
- Bird, S.B.; Herrick, J.E.; Wander, M.M.; Murray, L. Multi-scale variability in soil aggregate stability: Implications for understanding and predicting semi-arid grassland degradation. Geoderma 2007, 140, 106–118. [Google Scholar] [CrossRef]
- Liu, W.T.; Wang, T.L.; Zhang, S.; Ding, L.J.; Lu, S.J.; Wei, Z.J. Effects of grazing on edificators and soil aggregate characteristics in stipa breviflora desert steppe. Ecol. Environ. Sci. 2017, 26, 978–984. [Google Scholar]
- Dong, S.K.; Zhang, J.; Li, Y.Y.; Liu, S.L.; Dong, Q.N.M.; Zhou, H.K.; Yeomans, J.; Li, Y.; Li, S.; Gao, X.X. Effect of grassland degradation on aggregate-associated soil organic carbon of alpine grassland ecosystems in the Qinghai-Tibetan Plateau. Eur. J. Soil Sci. 2020, 71, 69–79. [Google Scholar] [CrossRef]
- Wiesmeier, M.; Steffens, M.; Mueller, C.W.; Koelbl, A.; Reszkowska, A.; Peth, S.; Horn, R.; Koegel-Knabner, I. Aggregate stability and physical protection of soil organic carbon in semi-arid steppe soils. Eur. J. Soil Sci. 2012, 63, 22–31. [Google Scholar] [CrossRef]
- Zhou, Y.; Ma, H.B.; Xie, Y.Z.; Lu, Q.; Shen, Y.; Ma, J. Response of soil aggregate stability and erodibility to different treatments on typical steppe in the Loess Plateau, China. Restor. Ecol. 2022, 30, e13593. [Google Scholar] [CrossRef]
- IUSS. World Reference Base for Soil Resources 2014, Update 2015: International Soil Classification System for Naming Soils and Creating Legends for Soil Maps; World Soil Resources Reports No. 106; FAO: Rome, Italy, 2015. [Google Scholar]
- Zhang, X.S. Ecological restoration and sustainable agricultural paradigm of mountain–oasis–ecotone–desert system in the north of the Tianshan Mountains. Acta Bot. Sin. 2001, 43, 1294–1299. [Google Scholar]
- Tian, J.; Xiong, J.N.; Zhang, Y.C.; Cheng, W.M.; He, Y.C.; Ye, C.C.; He, W. Quantitative assessment of the effects of climate change and human activities on grassland NPP in Altay Prefecture. J. Resour. Ecol. 2021, 12, 743–756. [Google Scholar]
- He, J.; Wei, Y.G. Suggestions on Promoting the Development of Characteristic Animal Husbandry in Altay Region. Anim. Husb. Xinjiang 2012, 5, 12–14. [Google Scholar]
- Elliott, E.T. Aggregate structure and carbon, nitrogen, and phosphorus in native and cultivated soils. Soil Sci. Soc. Am. J. 1986, 50, 627–633. [Google Scholar] [CrossRef]
- Bi, X.; Li, B.; Xu, X.C.; Zhang, L.X. Response of vegetation and soil characteristics to grazing disturbance in mountain meadows and temperate typical steppe in the arid regions of Central Asian, Xinjiang. Int. J. Environ. Res. Public Health 2020, 17, 4572. [Google Scholar] [CrossRef] [PubMed]
- Shi, J.W.; Deng, L.; Gunina, A.; Alharbi, S.; Wang, K.B.; Li, J.W.; Liu, Y.L.; Shangguan, Z.P.; Kuzyakov, Y. Carbon stabilization pathways in soil aggregates during long-term forest succession: Implications from δ13C signatures. Soil Biol. Biochem. 2023, 180, 108988. [Google Scholar] [CrossRef]
- Oades, J.M.; Waters, A.G. Aggregate hierarchy in soils. Aust. J. Soil Res. 1991, 29, 815–828. [Google Scholar] [CrossRef]
- Tisdall, J.M.; Oades, J.M. Organic matter and water-stable aggregates in soils. J. Soil Sci. 1982, 33, 141–163. [Google Scholar] [CrossRef]
- Su, Y.; Ma, X.F.; Le, J.J.; Li, K.H.; Han, W.X.; Liu, X.J. Decoupling of nitrogen and phosphorus in dominant grass species in response to long–term nitrogen addition in an Alpine Grassland in Central Asia. Plant Ecol. 2021, 222, 261–274. [Google Scholar] [CrossRef]
- Ju, W.L.; Moorhead, D.L.; Shen, G.T.; Cui, Y.X.; Fang, L.C. Soil aggregate development and associated microbial metabolic limitations alter grassland carbon storage following livestock removal. Soil Biol. Biochem. 2023, 177, 108907. [Google Scholar] [CrossRef]
- Xu, S.; Liu, L.L.; Sayer, E.J. Variability of above-ground litter inputs alters soil physicochemical and biological processes: A meta-analysis of litterfall-manipulation experiments. Biogeosciences 2013, 10, 7537. [Google Scholar] [CrossRef]
- Bi, X.; Li, B.; Fu, Q.; Fan, Y.; Ma, L.X.; Yang, Z.H.; Nan, B.; Dai, X.H.; Zhang, X.S. Effects of grazing exclusion on the grassland ecosystems of mountain meadows and temperate typical steppe in a mountain-basin system in Central Asia’s arid regions, China. Sci. Total Environ. 2018, 630, 254–263. [Google Scholar] [CrossRef]
- Yasin, G.; Nawaz, M.F.; Zubair, M.; Azhar, M.F.; Mohsin Gilani, M.; Ashraf, M.N.; Qin, A.; Ur Rahman, S. Role of Traditional Agroforestry Systems in Climate Change Mitigation through Carbon Sequestration: An Investigation from the Semi-Arid Region of Pakistan. Land 2023, 12, 513. [Google Scholar] [CrossRef]
- Six, J.; Bossuyt, H.; Degryze, S.; Denef, K. A history of research on the link between (micro)aggregates, soil biota, and soil organic matter dynamics. Soil Tillage Res. 2004, 79, 7–31. [Google Scholar] [CrossRef]
- Han, G.D.; Hao, X.Y.; Zhao, M.L.; Wang, M.J.; Ellert, B.H.; Willms, W.; Wang, M.J. Effect of grazing intensity on carbon and nitrogen in soil and vegetation in a meadow steppe in Inner Mongolia. Agric. Ecosyst. Environ. 2008, 125, 21–32. [Google Scholar] [CrossRef]
- Zhong, Z.K.; Wu, S.J.; Lu, X.Q.; Ren, Z.X.; Wu, Q.M.; Xu, M.P.; Ren, C.J.; Yang, G.H.; Han, X.H. Organic carbon, nitrogen accumulation, and soil aggregate dynamics as affected by vegetation restoration patterns in the Loess Plateau of China. Catena 2021, 196, 104867. [Google Scholar] [CrossRef]
- Ji, L.; Qin, Y.; Jimoh, S.O.; Hou, X.Y.; Zhang, N.; Gan, Y.M.; Luo, Y.J. Impacts of livestock grazing on vegetation characteristics and soil chemical properties of alpine meadows in the eastern Qinghai-Tibetan Plateau. Ecoscience 2020, 27, 107–118. [Google Scholar] [CrossRef]
- Saiz, G.; Bird, M.I.; Domingues, T.; Schrodt, F.; Schwarz, M.; Feldpausch, T.R.; Veenen-daal, E.; Djagbletey, G.; Hien, F.; Compaoré, H.; et al. Variation in soil carbon stocks and their determinants across a precipitation gradient in West Africa. Glob. Change Biol. 2012, 18, 1670–1683. [Google Scholar] [CrossRef]
- Post, W.M.; Emanuel, W.R.; Zinke, P.J.; Stangenberger, A.G. Soil carbon pools and world life zones. Nature 1982, 298, 156–159. [Google Scholar] [CrossRef]
- Augusto, L.; Delerue, F.; Gallet-Budynek, A.; Achat, D.L. Global assessment of limita-tion to symbiotic nitrogen fixation by phosphorus availability in terrestrial ecosystems using a meta-analysis approach. Glob. Biogeochem. Cycles 2013, 27, 804–815. [Google Scholar] [CrossRef]
- Ren, C.J.; Chen, J.; Deng, J.; Zhao, F.Z.; Han, X.H.; Yang, G.H.; Tong, X.G.; Feng, Y.Z.; Shelton, S.; Ren, G.X. Response of microbial diversity to C:N:P stoichiometry in fine root and microbial biomass following afforestation. Biol. Fertil. Soils 2017, 53, 457–468. [Google Scholar] [CrossRef]
- Zhao, D.; Xu, M.X.; Liu, G.B.; Ma, L.Y.; Zhang, S.M.; Xiao, T.Q.; Peng, G.Y. Effect of vegetation type on microstructure of soil aggregates on the Loess Plateau, China. Agric. Ecosyst. Environ. 2017, 242, 1–8. [Google Scholar] [CrossRef]
- Zhong, Z.K.; Chen, Z.X.; Xu, Y.D.; Ren, C.J.; Yang, G.H.; Han, X.H.; Ren, G.X.; Feng, Y.Z. Relationship between Soil Organic Carbon Stocks and Clay Content under Different Climatic Conditions in Central China. Forests 2018, 9, 598. [Google Scholar] [CrossRef]
- Li, Q.; Song, Y.T.; Zhou, D.W.; Wang, M.L.; Chen, X.Y. Effects of fencing and grazing on soil carbon, nitrogen, phosphorus storage in degraded alkali-saline grassland. Pratacult. Sci. 2014, 31, 1811–1819. [Google Scholar]







| Item | MM | TS | TSD |
|---|---|---|---|
| Lon (°) | 85.71 | 89.75 | 86.21 |
| Lat (°) | 47.22 | 46.98 | 47.29 |
| Alt (m) | 2045.00 | 1450.00 | 1127.00 |
| MAP (mm) | 397.16 | 276.447 | 256.17 |
| MAT (°C) | –1.21 | 4.57 | 7.52 |
| Grazing season | Summer | Spring/Autumn | Winter |
| Zonal soil | Chernozems | Kastanozems | Kastanozems |
| Dominant species | Carex stenocarpa; Polygonum viviparum | Festuca rupicola | Seriphidium gracilescens; Stipa glareosa |
| Explanatory Variable | R2 | Adjusted R2 | Contribution (%) | F | p-value |
|---|---|---|---|---|---|
| BD | 0.45 | 0.38 | 57.10 | 13.00 | <0.01 ** |
| SOC | 0.14 | 0.12 | 17.80 | 5.10 | <0.01 ** |
| AN | 0.13 | 0.11 | 16.80 | 6.60 | <0.01 ** |
| AP | 0.04 | 0.03 | 4.50 | 1.90 | 0.19 |
| TN | 0.02 | 0.01 | 2.00 | 0.80 | 0.55 |
| TP | 0.01 | 0.01 | 1.70 | 0.70 | 0.47 |
| First Axis | 16.60 | <0.01 ** | |||
| All Axes | 0.79 | 0.67 | 6.70 | <0.01 ** |
Disclaimer/Publisher’s Note: The statements, opinions and data contained in all publications are solely those of the individual author(s) and contributor(s) and not of MDPI and/or the editor(s). MDPI and/or the editor(s) disclaim responsibility for any injury to people or property resulting from any ideas, methods, instructions or products referred to in the content. |
© 2023 by the authors. Licensee MDPI, Basel, Switzerland. This article is an open access article distributed under the terms and conditions of the Creative Commons Attribution (CC BY) license (https://creativecommons.org/licenses/by/4.0/).
Share and Cite
Fan, L.; Liang, Y.; Li, X.; Mao, J.; Wang, G.; Ma, X.; Li, Y. Grazing Decreases Soil Aggregation and Has Different Effects on Soil Organic Carbon Storage across Different Grassland Types in Northern Xinjiang, China. Land 2023, 12, 1575. https://doi.org/10.3390/land12081575
Fan L, Liang Y, Li X, Mao J, Wang G, Ma X, Li Y. Grazing Decreases Soil Aggregation and Has Different Effects on Soil Organic Carbon Storage across Different Grassland Types in Northern Xinjiang, China. Land. 2023; 12(8):1575. https://doi.org/10.3390/land12081575
Chicago/Turabian StyleFan, Lianlian, Yuanye Liang, Xiaofeng Li, Jiefei Mao, Guangyu Wang, Xuexi Ma, and Yaoming Li. 2023. "Grazing Decreases Soil Aggregation and Has Different Effects on Soil Organic Carbon Storage across Different Grassland Types in Northern Xinjiang, China" Land 12, no. 8: 1575. https://doi.org/10.3390/land12081575
APA StyleFan, L., Liang, Y., Li, X., Mao, J., Wang, G., Ma, X., & Li, Y. (2023). Grazing Decreases Soil Aggregation and Has Different Effects on Soil Organic Carbon Storage across Different Grassland Types in Northern Xinjiang, China. Land, 12(8), 1575. https://doi.org/10.3390/land12081575

