Differences in the Efficiency of the Vertical Transfer of Windblown Sediment over Different Ploughed Surfaces during Wind Erosion Events
Abstract
1. Introduction
2. Materials and Methods
2.1. Experimental Site
2.2. Soil Characteristics
2.3. Height and Spacing of Tillage Ridges
2.4. Meteorological Data
2.5. Measurements of Wind Erosion Fluxes
2.6. Size Distribution of the Sediment Fluxes
2.7. Determination of the Threshold Wind Velocity
2.8. Dust Uplift Potential
3. Results and Discussion
3.1. Wind Erosion Events
3.2. Size Distributions of the Soil and of Windblown Sediment
3.3. Changes in Windblown Sediment Size with Wind Speed
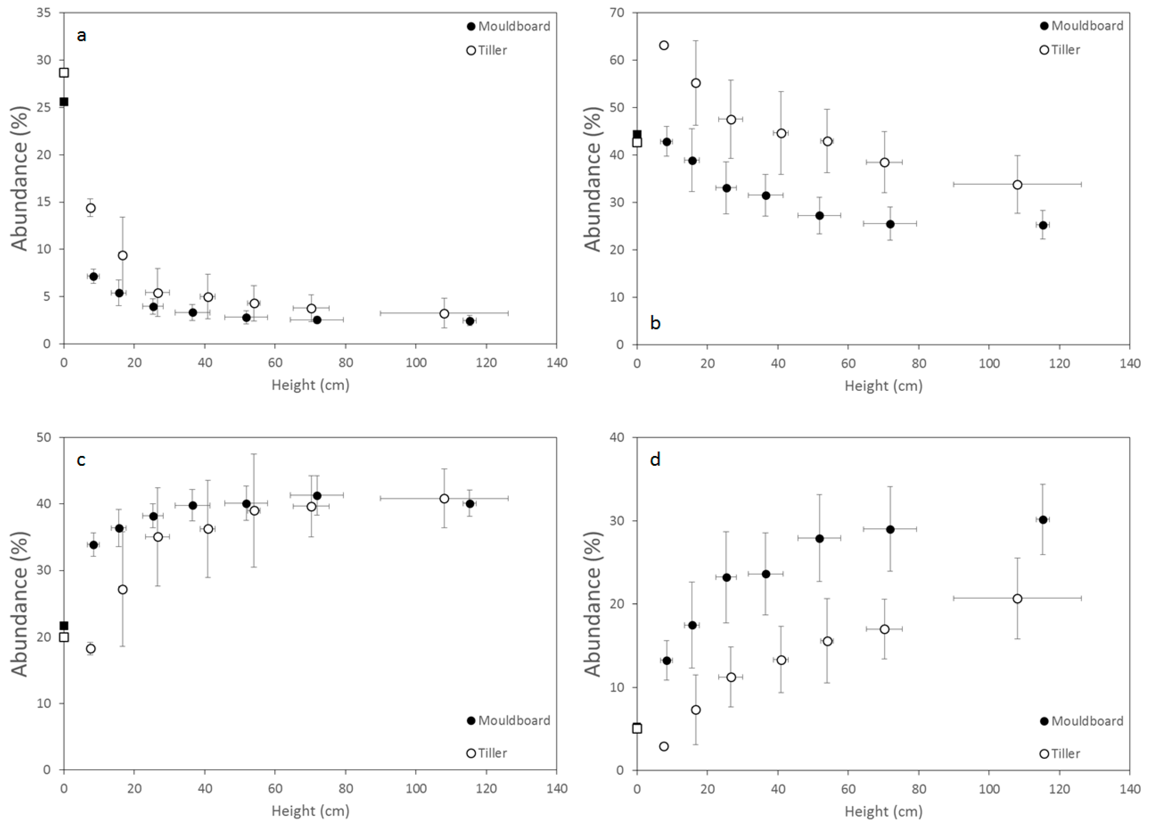
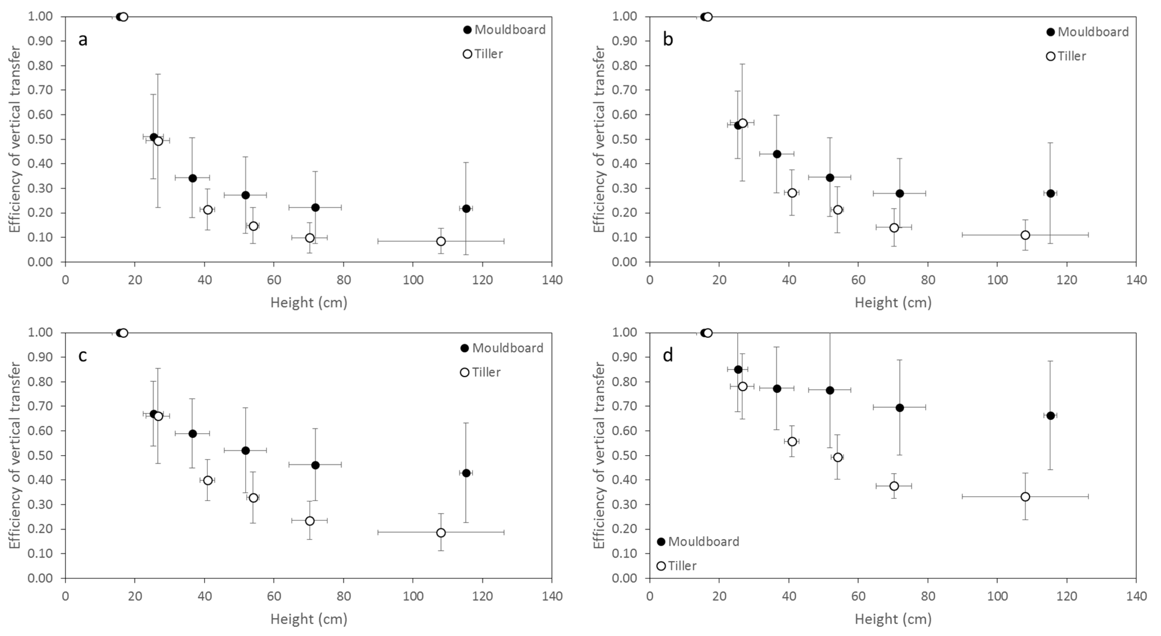
3.4. Changes in Windblown Sediment Size with Height
4. Conclusions
Author Contributions
Funding
Institutional Review Board Statement
Informed Consent Statement
Data Availability Statement
Acknowledgments
Conflicts of Interest
References
- Lal, R. Soil erosion by wind and water: Problems and prospects. In Soil Erosion: Research Methods; Lal, R., Ed.; Soil and Water Conservation Society: Ankeny, IA, USA; St. Lucie Press: Delray Beach, FL, USA, 1994; pp. 1–9. [Google Scholar]
- Wang, X.; Xia, D.; Wang, T.; Xue, X.; Li, J. Dust Sources in Arid and Semiarid China and Southern Mongolia: Impacts of Geomorphological Setting and Surface Materials. Geomorphology 2008, 97, 583–600. [Google Scholar] [CrossRef]
- Bullard, J.E.; Harrison, S.P.; Baddock, M.C.; Drake, N.; Gill, T.E.; McTainsh, G.; Sun, Y. Preferential Dust Sources: A Geomorphological Classification Designed for Use in Global Dust-cycle Models. J. Geophys. Res. Earth Surf. 2011, 116. [Google Scholar] [CrossRef]
- Hagen, L.J.; Lyles, L. Amount and Nutrient Content of Particles Produced by Soil Aggregate Abrasion. In Proceedings of the National Symposium on Erosion and Soil Productivity, New Orleans, LA, USA, 10–11 December 1984; ASAE Publication: New Orleans, LA, USA, 1985; Volume 8, pp. 117–129. [Google Scholar]
- Zobeck, T.M.; Fryrear, D.W. Chemical and Physical Characteristics of Windblown Sediment II. Chemical Characteristics and Total Soil and Nutrient Discharge. Trans. ASAE 1986, 29, 1037–1041. [Google Scholar] [CrossRef]
- Leys, J.; Mc Tainsh, G. Soil Loss and Nutrient Decline by Wind Erosion—Cause for Concern. Aust. J. Soil Water Conserv. 1994, 7, 30–35. [Google Scholar]
- Raupach, M.R.; McTainsh, G.H.; Leys, J.F. Estimates of the Dust Mass in the Melbourne Dust Storm of 8 February 1983. Aust. J. Soil Water Conserv. 1994, 7, 20–24. [Google Scholar]
- Sterk, G.; Herrmann, L.; Bationo, A. Wind-Blown Nutrient Transport and Soil Productivity Changes in Southwest Niger. Land Degrad. Dev. 1996, 7, 325–335. [Google Scholar] [CrossRef]
- Sterk, G. Causes, Consequences and Control of Wind Erosion in Sahelian Africa: A Review. Land Degrad. Dev. 2003, 14, 95–108. [Google Scholar] [CrossRef]
- Li, J.; Okin, G.S.; Alvarez, L.; Epstein, H. Quantitative Effects of Vegetation Cover on Wind Erosion and Soil Nutrient Loss in a Desert Grassland of Southern New Mexico, USA. Biogeochemistry 2007, 85, 317–332. [Google Scholar] [CrossRef]
- Li, J.; Okin, G.S.; Alvarez, L.; Epstein, H. Effects of Wind Erosion on the Spatial Heterogeneity of Soil Nutrients in Two Desert Grassland Communities. Biogeochemistry 2008, 88, 73–88. [Google Scholar] [CrossRef]
- Gillette, D.A. Fine Particle Emissions Due to Wind Erosion. Trans. ASAE 1977, 20, 890–897. [Google Scholar] [CrossRef]
- Nordstrom, K.F.; Hotta, S. Wind Erosion from Cropland in the USA: A Review of Problems, Solutions and Prospects. Geoderma 2004, 121, 157–167. [Google Scholar] [CrossRef]
- Goudie, A.S.; Middleton, N.J. Dust storm control. In Desert Dust in the Golabl System; Springer: Heidelberg, Germany, 2010; p. 287. ISBN 978-3-642-06890-4. [Google Scholar]
- Xiao, L.; Li, G.; Zhao, R.; Zhang, L. Effects of Soil Conservation Measures on Wind Erosion Control in China: A Synthesis. Sci. Total Environ. 2021, 778, 146308. [Google Scholar] [CrossRef]
- Skidmore, E.L. Wind Erosion Control. Clim. Chang. 1986, 9, 209–218. [Google Scholar] [CrossRef]
- Yang, C.; Geng, Y.; Fu, X.Z.; Coulter, J.A.; Chai, Q. The Effects of Wind Erosion Depending on Cropping System and Tillage Method in a Semi-Arid Region. Agronomy 2020, 10, 732. [Google Scholar] [CrossRef]
- Gholamiderami, P.; Lahooti, P.; Darbam, H. The Effect of Mulch on Properties of Erosion Sensitive Soil Using a Wind Tunnel. Glob. J. Environ. Sci. Manag. 2020, 6, 537–552. [Google Scholar] [CrossRef]
- Pi, H.; Webb, N.P.; Huggins, D.R.; Sharratt, B. Critical Standing Crop Residue Amounts for Wind Erosion Control in the Inland Pacific Northwest, USA. Catena 2020, 195, 104742. [Google Scholar] [CrossRef]
- Mikailsoy, F.; Carman, K.; Ozbek, O. Non-Linear Modelling to Describe the Wind Erosion Rate in Different Tillage Practices. Fresen. Environ. Bull. 2018, 27, 1604–1612. [Google Scholar]
- Chang, X.; Sun, L.; Yu, X.; Liu, Z.; Jia, G.; Wang, Y.; Zhu, X. Windbreak Efficiency in Controlling Wind Erosion and Particulate Matter Concentrations from Farmlands. Agric. Ecosyst. Environ. 2021, 308, 107269. [Google Scholar] [CrossRef]
- Fryrear, D.W. Soil Ridge-Clods and Wind Erosion. Trans. ASAE 1984, 27, 445–448. [Google Scholar] [CrossRef]
- Hagen, L.J.; Armbrust, D.V. Aerodynamic Roughness and Saltation Trapping Efficiency of Tillage Ridges. Trans. ASAE 1992, 35, 1179–1184. [Google Scholar] [CrossRef]
- Kardous, M.; Bergametti, G.; Marticorena, B. Wind Tunnel Experiments on the Effects of Tillage Ridge Features on Wind Erosion Horizontal Fluxes. Ann. Geophys. 2005, 23, 3195–3206. [Google Scholar] [CrossRef]
- Armbrust, D.V.; Chepil, W.S.; Siddoway, F.H. Effects of Ridges on Erosion of Soil by Wind. Soil Sci. Soc. Am. J. 1964, 28, 557–560. [Google Scholar] [CrossRef]
- López, M.V.; Sabre, M.; Gracia, R.; Arrúe, J.L.; Gomes, L. Tillage Effects on Soil Surface Conditions and Dust Emission by Wind Erosion in Semiarid Aragón (NE Spain). Soil Tillage Res. 1998, 45, 91–105. [Google Scholar] [CrossRef]
- Labiadh, M.; Bergametti, G.; Kardous, M.; Perrier, S.; Grand, N.; Attoui, B.; Sekrafi, S.; Marticorena, B. Soil Erosion by Wind over Tilled Surfaces in South Tunisia. Geoderma 2013, 202–203, 8–17. [Google Scholar] [CrossRef]
- Çarman, K.; Marakoğlu, T.; Taner, A.; Mikailsoy, F. Measurements and Modelling of Wind Erosion Rate in Different Tillage Practices Using a Portable Wind Erosion Tunnel. Zemdirb. Agric. 2016, 103, 327–334. [Google Scholar] [CrossRef]
- Bergametti, G.; Forêt, G. Dust deposition. In Mineral Dust: A Key Player in the Earth System; Knippertz, P., Stuut, J.-B.W., Eds.; Springer: Dordrecht, The Netherlands, 2014; pp. 179–200. [Google Scholar]
- Bergametti, G.; Marticorena, B.; Rajot, J.L.; Foret, G.; Alfaro, S.C.; Laurent, B. Size-Resolved Dry Deposition Velocities of Dust Particles: In Situ Measurements and Parameterizations Testing. J. Geophys. Res. Atmos. 2018, 123, 11080–11099. [Google Scholar] [CrossRef]
- Chepil, W.S.; Woodruff, N.P. Sedimentary Characteristics of Dust Storms: II. Visibility and Dust Concentration. Am. J. Sci. 1957, 255, 104–114. [Google Scholar] [CrossRef]
- Nickling, W.G. Grain-Size Characteristics of Sediment Transported during Dust Storms. J. Sediment. Petrol. 1983, 53, 1011–1024. [Google Scholar] [CrossRef]
- Goossens, D. The Granulometrical Characteristics of a Slowly-Moving Dust Cloud. Earth Surf. Proc. Landf. 1985, 10, 353–362. [Google Scholar] [CrossRef]
- Dong, Z.; Qian, G. Characterizing the Height Profile of the Flux of Wind-Eroded Sediment. Environ. Geol. 2007, 51, 835–845. [Google Scholar] [CrossRef]
- Sharratt, B.; Wendling, L.; Feng, G. Windblown Dust Affected by Tillage Intensity during Summer Fallow. Aeolian Res. 2010, 2, 129–134. [Google Scholar] [CrossRef]
- Hagen, L.J.; van Pelt, S.; Sharratt, B. Estimating the Saltation and Suspension Components from Field Wind Erosion. Aeolian Res. 2010, 1, 147–153. [Google Scholar] [CrossRef]
- Kallel, M.R. Hydrologie de La Jeffara Tunisienne; DG-RE: Tunis, Tunisia, 2001; p. 65. [Google Scholar]
- Kardous, M. Quantification de L’érosion Éolienne Dans les Zones Arides Tunisiennes: Approche Expérimentale et Modélisation. Doctorat, Université Paris XII Val de Marne: Créteil, 2005. Available online: https://www.theses.fr/2005PA120009/document (accessed on 26 March 2021).
- Aubert, G.; Betremieux, R.; Bonfils, P.; Bonneau, M.; Boulaine, J.; Dejou, J.; Delmas, J.; Drouineau, G.; Duchaufour, P.; Dupuis, J.; et al. Classification Des Sols; Travaux CPCS 1963–1967; Commission de Pédologie et de Cartographie des Sols: Paris, France, 1967. [Google Scholar]
- IUSS Working Group WRB World Reference Base for Soil Resources 2014, Update 2015. International Soil Classification System for Naming Soils and Creating Legends for Soil Maps; World Soil Resources Reports; Food and Agriculture Organization of the United Nations: Rome, Italy, 2015; p. 192.
- Chatenet, B.; Marticorena, B.; Gomes, L.; Bergametti, G. Assessing the Microped Size Distributions of Desert Soils Erodible by Wind. Sedimentology 1996, 43, 901–911. [Google Scholar] [CrossRef]
- Labiadh, M.; Bergametti, G.; Attoui, B.; Sekrafi, S. Particle Size Distributions of South Tunisian Soils Erodible by Wind. Geodin. Acta 2011, 24, 39–49. [Google Scholar] [CrossRef]
- Marticorena, B.; Kardous, M.; Bergametti, G.; Callot, Y.; Chazette, P.; Khatteli, H.; Le Hégarat-Mascle, S.; Maillé, M.; Rajot, J.-L.; Vidal-Madjar, D.; et al. Surface and Aerodynamic Roughness in Arid and Semiarid Areas and Their Relation to Radar Backscatter Coefficient. J. Geophys. Res. 2006, 111, F03017. [Google Scholar] [CrossRef]
- Wieringa, J. Representative Roughness Parameters for Homogeneous Terrain. Bound. Lay. Meteorol. 1993, 63, 323–363. [Google Scholar] [CrossRef]
- Fryrear, D.W. A Field Dust Sampler. J. Soil Water Conserv. 1986, 41, 117–120. [Google Scholar]
- Panebianco, J.E.; Buschiazzo, D.E.; Zobeck, T.M. Comparison of Different Mass Transport Calculation Methods for Wind Erosion Quantification Purposes. Earth Surf. Proc. Landf. 2010, 35, 1548–1555. [Google Scholar] [CrossRef]
- Fryrear, D.W.; Saleh, A. Field Wind Erosion: Vertical Distribution. Soil Sci. 1993, 155, 294–300. [Google Scholar] [CrossRef]
- Gillette, D.A.; Pitchford, A.M. Sand Flux in the Northern Chihuahuan Desert, New Mexico, USA, and the Influence of Mesquite-Dominated Landscapes. J. Geophys. Res. 2004, 109, F04003. [Google Scholar] [CrossRef]
- Marsham, J.H.; Knippertz, P.; Dixon, N.S.; Parker, D.J.; Lister, G.M.S. The Importance of the Representation of Deep Convection for Modeled Dust-Generating Winds over West Africa during Summer. Geophys. Res. Lett. 2011, 38, L16803. [Google Scholar] [CrossRef]
- White, B.R. Soil Transport by Winds on Mars. J. Geophys. Res. 1979, 84, 4643–4651. [Google Scholar] [CrossRef]
- Zobeck, T.M.; Fryrear, D.W. Chemical and Physical Characteristics of Windblown Sediment I. Quantities and Physical Characteristics. Trans. ASAE 1986, 29, 1032–1036. [Google Scholar] [CrossRef]
- Gillette, D.A.; Fryrear, D.W.; Xiao, J.B.; Stockton, P.; Ono, D.; Helm, P.J.; Gill, T.E.; Ley, T. Large-Scale Variability of Wind Erosion Mass Flux Rates at Owens Lake 1. Vertical Profiles of Horizontal Mass Fluxes of Wind-Eroded Particles with Diameter Greater than 50 Μm. J. Geophys. Res. 1997, 102, 25977–25987. [Google Scholar] [CrossRef]
- Gillette, D.A.; Chen, W. Size Distributions of Saltating Grains: An Important Variable in the Production of Suspended Particles. Earth Surf. Proc. Landf. 1999, 24, 449–462. [Google Scholar] [CrossRef]
- Shao, Y.; Lu, H. A Simple Expression for Wind Erosion Threshold Friction Velocity. J. Geophys. Res. 2000, 105, 22437–22443. [Google Scholar] [CrossRef]








| Tiller | Moldboard | ||||
|---|---|---|---|---|---|
| n = 8 | n = 4 | ||||
| Population 1 | Population 2 | Population 1 | Population 2 | ||
| Pi (Mi/M) | mean | 43% | 57% | 48% | 52% |
| standard deviation | 13 | 13 | 12 | 12 | |
| σi | mean | 1.38 | 1.08 | 1.41 | 1.08 |
| di (µm) | mean | 73 | 102 | 76 | 101 |
| standard deviation | 2 | 4 | 3 | 2 | |
| Date | Event Duration (min) | Wind Speed at 422 cm (m s−1) | Normalized DUP (m3 s−3) | Wind Direction (°) | Fetch (m) | Wind Erosion Flux (g cm−1 event−1) | |||||||
|---|---|---|---|---|---|---|---|---|---|---|---|---|---|
| Plot 1—Tiller | Plot 2—Moldboard | Plot 1—Tiller | Plot 2—Moldboard | ||||||||||
| Mean | Maximum | PS1 | PS3 | PS4 | PS6 | PS1 | PS3 | PS4 | PS6 | ||||
| 23–24 March 2008 | 802 | 8.74 | 13.40 | 3.2 | 281 (±28) | 113.7 | 144.3 | 67.6 | 153.2 | 67.6 | 33.4 | 7.5 | 8.6 |
| 27–28 March 2008 | 912 | 9.22 | 11.76 | 4.4 | 299 (±24) | 140.3 | 140.3 | 140.8 | 140.8 | 127.4 | 31.9 | 8.7 | 10.9 |
| 7–8 April 2008 | 980 | 9.76 | 13.95 | 6.2 | 264 (±19) | 53.4 | 160.2 | 41.9 | 125.8 | 434.9 | 295.5 | 18.3 | 62.2 |
| 20 April 2008 | 206 | 9.31 | 11.40 | 4.6 | 242 (±11) | 34.4 | 103.3 | 30.9 | 92.6 | 52.7 | 72.0 | 4.3 | 6.3 |
| 17–19 May 2008 | 858 | 8.61 | 10.20 | 2.6 | 262 (±14) | 50.5 | 151.5 | 40.3 | 121.0 | 59.3 | 56.5 | 6.9 | 9.0 |
Publisher’s Note: MDPI stays neutral with regard to jurisdictional claims in published maps and institutional affiliations. |
© 2021 by the authors. Licensee MDPI, Basel, Switzerland. This article is an open access article distributed under the terms and conditions of the Creative Commons Attribution (CC BY) license (https://creativecommons.org/licenses/by/4.0/).
Share and Cite
Labiadh, M.T.; Bergametti, G.; Rajot, J.L.; Bouet, C.; Ltifi, M.; Sekrafi, S.; Henry des Tureaux, T. Differences in the Efficiency of the Vertical Transfer of Windblown Sediment over Different Ploughed Surfaces during Wind Erosion Events. Land 2021, 10, 511. https://doi.org/10.3390/land10050511
Labiadh MT, Bergametti G, Rajot JL, Bouet C, Ltifi M, Sekrafi S, Henry des Tureaux T. Differences in the Efficiency of the Vertical Transfer of Windblown Sediment over Different Ploughed Surfaces during Wind Erosion Events. Land. 2021; 10(5):511. https://doi.org/10.3390/land10050511
Chicago/Turabian StyleLabiadh, Mohamed Taieb, Gilles Bergametti, Jean Louis Rajot, Christel Bouet, Mohsen Ltifi, Saâd Sekrafi, and Thierry Henry des Tureaux. 2021. "Differences in the Efficiency of the Vertical Transfer of Windblown Sediment over Different Ploughed Surfaces during Wind Erosion Events" Land 10, no. 5: 511. https://doi.org/10.3390/land10050511
APA StyleLabiadh, M. T., Bergametti, G., Rajot, J. L., Bouet, C., Ltifi, M., Sekrafi, S., & Henry des Tureaux, T. (2021). Differences in the Efficiency of the Vertical Transfer of Windblown Sediment over Different Ploughed Surfaces during Wind Erosion Events. Land, 10(5), 511. https://doi.org/10.3390/land10050511

