NSGA-II and Entropy-Weighted TOPSIS for Multi-Objective Joint Operation of the Jingou River Irrigation Reservoir System
Abstract
1. Introduction
2. Study Area
2.1. Project Overview
2.2. Problem Identification
- Pronounced temporal mismatches between concentrated glacier-snowmelt inflows and stage-dependent irrigation demands;
- Conflicts among agricultural supply, ecological baseflow requirements and canal-conveyance constraints under rigid reservoir and channel capacities;
- Insufficient consideration of hydrological uncertainty, demand fluctuations and parameter errors in existing operation frameworks;
- Lack of an objective and transparent mechanism for selecting feasible operational schemes from multi-objective Pareto solution sets.
2.3. Data and Preprocessing
2.3.1. Annual Water-Supply Magnitude and Seasonal Pattern
2.3.2. Representative Gate-Demand Processes
2.3.3. Gate Capacities and Irrigation Service Areas
2.3.4. Reservoir Storage Conditions and Operating Constraints
3. Methodology
3.1. Multi-Objective Operation Model
3.1.1. Objective Functions
- The system-wide irrigation water shortage rate;
- The comprehensive water-supply reliability;
- An objective associated with spill discharge and end-of-year storage deviation.
- (1)
- Irrigation water shortage objective
- (2)
- Comprehensive water-supply reliability objective
- (3)
- Spill discharge and end-of-year storage deviation objective
3.1.2. Constraints
- (1)
- Mass balance constraint
- (2)
- Storage operating bounds
- (3)
- Canal capacity constraints
- (4)
- Ecological and downstream release constraints
- (5)
- Release variation (ramping) constraints
- (6)
- Non-negativity and feasibility
3.2. Solving Algorithm
3.2.1. NSGA-II-Based Multi-Objective Optimization
3.2.2. Entropy-Weighted TOPSIS for Ranking Pareto Solutions
- (1)
- Normalization of indices
- (2)
- Entropy-based weight determination
- (3)
- TOPSIS-based closeness coefficient
3.2.3. Integrated Decision Framework
4. Results and Discussion
4.1. Trade-Off Characteristics of Pareto-Optimal Solutions
4.2. Multi-Criteria Decision Analysis of Pareto Solutions
4.2.1. Entropy-Based Determination of Criterion Weights
4.2.2. TOPSIS-Based Ranking of Candidate Operation Schemes
4.2.3. Sensitivity of Scheme Ranking to Criterion Weights
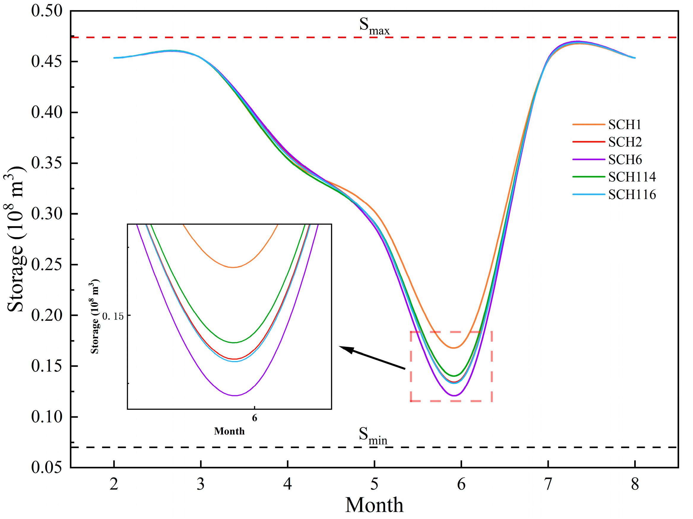
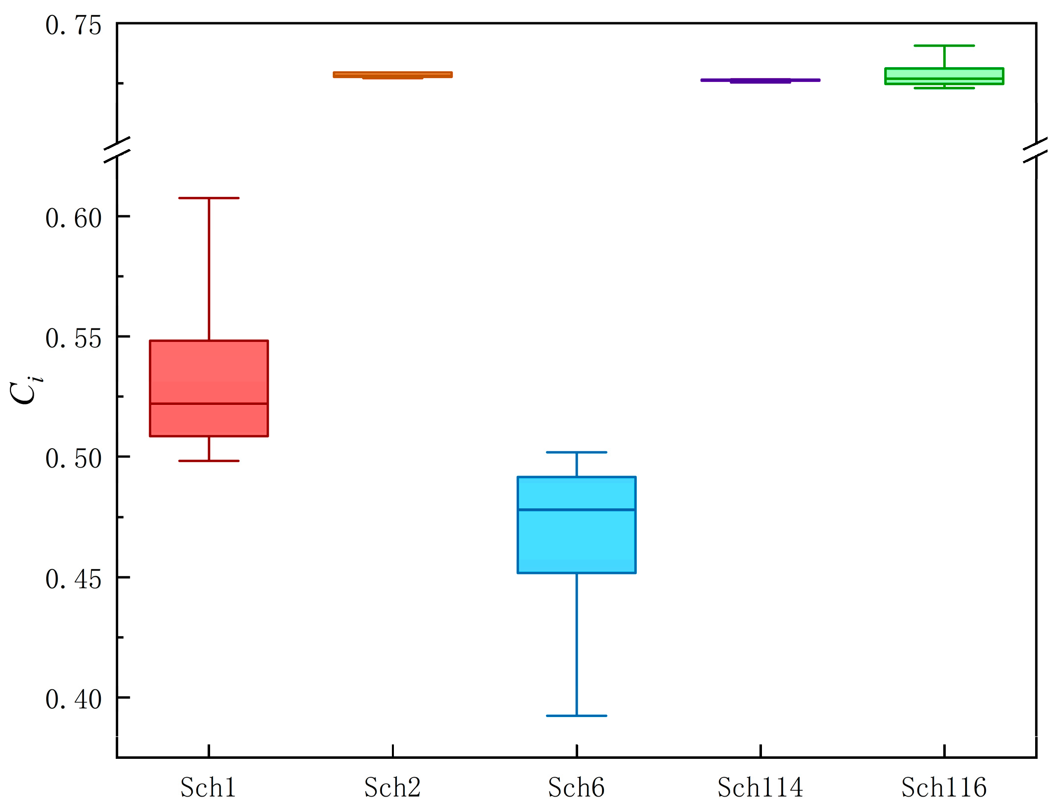
4.3. Performance of Representative Operation Schemes
4.3.1. Selection of Representative Operation Schemes
4.3.2. Multi-Criteria Performance Evaluation
4.3.3. Interpretation and Operational Implications of Representative Schemes
4.4. Limitations and Future Work
5. Conclusions
- The proposed framework links multi-objective optimization results with practical decision-making. NSGA-II is used to generate a Pareto set of non-dominated joint-operation schemes, and entropy-weighted TOPSIS ranks these schemes and extracts a limited number of representative options. This two-step procedure enables decision-makers to move from an abstract Pareto front to a concise set of interpretable operating schemes for reservoir-irrigation scheduling in arid inland river basins.
- Entropy-weighted TOPSIS analysis shows that irrigation shortage and spill-storage performance are the main factors distinguishing alternative schemes, while reliability varies only weakly within the Pareto front. High-ranking schemes, therefore, exhibit relatively low irrigation shortages and small spill-storage deviations, with only modest differences in overall reliability. For the preferred compromise scheme, the annual irrigation water-shortage ratio is about 39% of the total annual demand, the mean satisfaction level of irrigation and ecological requirements is about 57%, and the composite spill-storage index remains at a comparatively low level, indicating a reasonably balanced trade-off among shortage control, supply stability and reservoir-operation efficiency.
- The joint-operation results reveal distinct operational philosophies among representative schemes, including water-saving, reliability-oriented and compromise strategies. Water-saving schemes strengthen storage control but may increase the risk of spill losses or underutilization, whereas reliability-oriented schemes stabilize water supply at the expense of larger spill and storage deviations. The compromise scheme moderates extremes in all three objectives, highlighting the inherent competition between irrigation supply, ecological baseflow maintenance and storage security and providing targeted scheduling pathways for different management priorities.
Author Contributions
Funding
Data Availability Statement
Acknowledgments
Conflicts of Interest
References
- Zhao, X.F.; Zhu, A.L.; Liu, X.H.; Li, H.Y.; Tao, H.Y.; Guo, X.X.; Liu, J.F. Current status, challenges, and opportunities for sustainable crop production in Xinjiang. iScience 2025, 28, 112114. [Google Scholar] [CrossRef]
- Cui, S.S.; Hao, T.P.; Zhou, H.P.; Li, Q.J.; Zhang, A.M.; Zhang, N.; Ma, Z.B.; Guo, W.T. Analysis on ecological water demand of natural oasis in arid area of Xinjiang. J. Water Resour. Res. 2023, 12, 73–89. [Google Scholar] [CrossRef]
- Ma, Y.Q.; Wang, J.Z.; Cheng, Y.; Ye, Z.X.; Zhu, C.G.; Zhou, H.H. Water resources management of Kaidu River using ecological baseflow analysis. J. Water Resour. Res. 2019, 8, 445–455. [Google Scholar] [CrossRef]
- Reheman, A.; Wu, Z.H.; Liu, D.D. Multi-objective optimal scheduling of water supply–ecology for Sidaogou Reservoir in Hami City. J. Water Resour. Res. 2022, 11, 335–345. [Google Scholar]
- Lu, Y.L.; Zhou, J.Z.; Wang, H.L.; Zhang, Y.C. Multi-objective ecological optimal scheduling model of Three Gorges cascade hydro-junction and its solving method. Adv. Water Sci. 2011, 22, 780–788. [Google Scholar]
- Wei, N.; Peng, Y.X.; Lu, K.M.; Zhou, G.X.; Guo, X.T.; Niu, M.H. Multi-objective optimal operation decision for parallel reservoirs based on NSGA-II-TOPSIS-GCA algorithm: Case study in Upper Hanjiang River. Appl. Sci. 2024, 14, 3138. [Google Scholar] [CrossRef]
- Wu, M.Y.; Zeng, X.C.; Liu, X.D.; Jin, W.Q. Research on the evaluation of water resources carrying capacity in five northwest provinces based on entropy TOPSIS model. China Rural. Water Hydropower 2022, 12, 78–85. [Google Scholar]
- Ai, X.S.; Yu, Y.X.; Liang, Z.M.; Shi, X.Y.; Cao, R.; Zhang, X.K. Multilayer entropy-weighted TOPSIS method and its decision-making in ecological operation during the subsidence period of the Three Gorges Reservoir. Sci. Rep. 2025, 15, 2954. [Google Scholar] [CrossRef]
- Giuliani, M.; Castelletti, A.; Pianosi, F.; Mason, E.; Reed, P.M. Curses, Tradeoffs, and Scalable Management: Advancing Evolutionary Multiobjective Direct Policy Search to Improve Water Reservoir Operations. J. Water Resour. Plan. Manag. 2016, 142, 04015050. [Google Scholar] [CrossRef]
- Chang, L.C.; Chang, F.J. Multi-objective evolutionary algorithm for operating parallel reservoir system. J. Hydrol. 2009, 377, 12–20. [Google Scholar] [CrossRef]
- Yeh, W.W.-G. Reservoir management and operations models: A state-of-the-art review. Water Resour. Res. 1985, 21, 1797–1818. [Google Scholar] [CrossRef]
- Wurbs, R.A. Reservoir-system simulation and optimization models. J. Water Resour. Plan. Manag. 1993, 119, 455–472. [Google Scholar] [CrossRef]
- Giuliani, M.; Lamontagne, J.R.; Reed, P.M.; Castelletti, A. A state-of-the-art review of optimal reservoir control for managing conflicting demands in a changing world. Water Resour. Res. 2021, 57, e2021WR029927. [Google Scholar] [CrossRef]
- Yeh, W.W.-G.; Becker, L. Multiobjective analysis of multireservoir operations. Water Resour. Res. 1982, 18, 1326–1336. [Google Scholar] [CrossRef]
- Chen, G.Q.; Wang, P.F.; Guo, H.; Yang, H. Application of intelligent optimization algorithm in optimal operation of reservoir. J. Hydroelectr. Eng. 2020, 39, 15–24. [Google Scholar]
- Liu, Y.; Ning, X.; Gao, H. Multi-objective optimization of conjunctive use of surface water and groundwater. J. Water Resour. Water Eng. 2021, 32, 85–92. [Google Scholar]
- Azari, A.; Hamzeh, S.; Naderi, S. Multi-Objective Optimization of the Reservoir System Operation by Using the Hedging Policy. J. Water Resour. Manag. 2018, 32, 2061–2078. [Google Scholar] [CrossRef]
- Guo, X.L.; Yuan, R.Z.; Wang, Y.W.; Liu, S.Z.; Yang, Y.L. Application of NSGA-II genetic algorithm in optimizing operation of cascaded reservoirs. Yellow River 2018, 40, 42–46. [Google Scholar]
- Deng, Y.F.; Xie, J.C.; Li, X.L.; Huang, J.Q.; Zhu, T. Multi-objective optimization of reservoir flood control operation considering uncertainty. J. Water Resour. Plan. Manag. 2015, 141, 05014021. [Google Scholar]
- Yang, D.; Lei, Z.; Wang, C.L.; Wei, J. Water–energy–environment nexus optimization for multi-reservoir operation under climate change. Water Resour. Manag. 2017, 31, 1207–1225. [Google Scholar]
- Chen, J.; Zhong, P.A.; Liu, W.; Wan, X.Y.; Yeh, W.G. Multi-objective risk management model for real-time flood control optimal operation of a parallel reservoir system. J. Hydrol. 2020, 590, 125264. [Google Scholar] [CrossRef]
- Tan, W.; Shen, C.P.; Liu, X. Bi-objective optimization of reservoir operation considering downstream ecology. Water Sci. Eng. 2019, 12, 138–147. [Google Scholar]
- Bian, N.; Fang, Y.; He, M.W.; Ding, Y.F. Multi-objective optimization of a hydropower cascade considering ecosystem. Environ. Fluid Mech. 2017, 17, 1239–1254. [Google Scholar]
- Hu, M.; Guo, S.; Xiong, L.; Zhang, X.; Li, T. Multi-objective ecological reservoir operation based on water-quality response models and improved genetic algorithm: A case study in Three Gorges Reservoir, China. Eng. Appl. Artif. Intell. 2014, 36, 322–337. [Google Scholar] [CrossRef]
- Qin, M.; Xu, C.Y.; Singh, V.P. Intelligent algorithm for multi-objective reservoir operation—A review. Adv. Water Sci. 2012, 23, 475–484. [Google Scholar]
- Chen, H.; Mei, Y.D.; Cai, H. Study on optimal operation of reservoirs in Ganjiang River basin for power generation, water supply and ecological requirements. J. Hydraul. Eng. 2018, 49, 628–638. [Google Scholar]
- Chen, S.L.; Peng, Y.X.; Han, D.C. Coupling MOEA and grey correlation for reservoir multi-objective decision-making. Water Sci. Eng. 2020, 13, 129–142. [Google Scholar]
- Ganguli, R.; McDonald, C.; Reed, P.; Gerlowski, N. Many-objective reservoir operation with uncertain climate inputs. J. Water Resour. Plan. Manag. 2018, 144, 04018035. [Google Scholar]
- Zeng, X.C.; Wu, M.Y.; Liu, X.D.; Zhou, Y.Y. Water resources management in arid regions: Challenges and technologies. Front. Earth Sci. 2019, 7, 129. [Google Scholar]
- Zhang, L.; Shen, J.B.; Li, C.W.; Hu, H.C. Water–food–ecosystem linkage in arid zone oasis under irrigation development. Sustainability 2021, 13, 615. [Google Scholar] [CrossRef]
- Liu, B.L.; Li, C.S.; Liu, F.Y. Multi-objective scheduling of cascade reservoirs in the upper Yellow River based on NSGA-III. Yellow River 2022, 44, 140–144. [Google Scholar]
- Wang, Z.Z.; Wang, Y.T.; Chen, Y.W. Multi-objective reservoir regulation model based on simulation rules and intelligent optimization and its application. J. Hydraul. Eng. 2015, 43, 564–570. [Google Scholar]
- Ahmadalipour, A.; Shafiei, M.; Moradkhani, H. Reservoir operation optimization under climate change using a multi-objective framework. J. Hydrol. 2018, 556, 634–648. [Google Scholar]
- Bai, Y.; Zhang, D.L.; Zhou, Q.L. Impact of ecological flow releases on downstream water quality and ecosystem: A case study. Environ. Res. Lett. 2021, 16, 114021. [Google Scholar]
- Wang, M.J.; He, P.Y.; Liu, C.Z. Evaluation of river ecological health via mathematical models. Ecol. Indic. 2016, 69, 804–810. [Google Scholar]
- Xu, Y.L.; Liu, L.; Li, Z.R.; Yu, D.Y. Ecological flow requirement analysis in arid inland rivers: A review. Sci. Total Environ. 2019, 687, 550–565. [Google Scholar]
- Guo, S.; Shao, Q.Q.; Su, S.L.; Zhou, X.W. Ecological flow regimes of inland rivers under climate change. J. Hydrol. 2020, 587, 124843. [Google Scholar]
- Liu, J.F.; Wen, W.; Wang, Z.F.; Yang, Y.Q. Water conflict management in arid regions: Case study of Xinjiang. J. Clean. Prod. 2022, 360, 132025. [Google Scholar]
- Yang, W.; Song, X.L.; Wang, H.X.; Su, L.Y. Multi-criteria decision analysis in water resource systems: Methodologies and applications. Water Resour. Manag. 2020, 34, 111–128. [Google Scholar]
- Deb, K.; Pratap, A.; Agarwal, S.; Meyarivan, T. A Fast and Elitist Multiobjective Genetic Algorithm: NSGA-II. IEEE Trans. Evol. Comput. 2002, 6, 182–197. [Google Scholar] [CrossRef]
- Deb, K.; Agrawal, R.B. Simulated Binary Crossover for Continuous Search Space. Complex Syst. 1995, 9, 115–148. Available online: https://www.complex-systems.com/abstracts/v09_i02_a02/ (accessed on 22 October 2025).
- Sandoval, A.; Requelme, N.; Cachipuendo, C.J. Multi-criteria decision making (MCDM) methodology for the prioritization of technical irrigation projects. Water Policy 2025, 27, 804–822. [Google Scholar] [CrossRef]
- Ashbolt, S.C.; Perera, B.J.C. Multicriteria analysis to select an optimal operating option for a water grid. J. Water Resour. Plan. Manag. 2017, 143, 05017005. [Google Scholar] [CrossRef]









| Index | Description | Entropy | Divergence Coefficient | Entropy Weight |
|---|---|---|---|---|
| Irrigation water-shortage ratio | 0.970 | 0.030 | 0.486 | |
| Water-supply reliability | 1.000 | 0.000 | 0.000 | |
| Composite spill-storage index | 0.969 | 0.031 | 0.513 |
| Rank | Scheme | ||||
|---|---|---|---|---|---|
| 1 | Sch2 | 0.392 | 0.569 | 36.31 | 0.728 |
| 2 | Sch116 | 0.393 | 0.568 | 36.23 | 0.727 |
| 3 | Sch114 | 0.391 | 0.566 | 36.36 | 0.726 |
| 4 | Sch107 | 0.392 | 0.568 | 36.29 | 0.725 |
| 5 | Sch21 | 0.393 | 0.568 | 36.27 | 0.724 |
| 6 | Sch50 | 0.389 | 0.570 | 36.48 | 0.723 |
| 7 | Sch77 | 0.390 | 0.569 | 36.45 | 0.721 |
| 8 | Sch113 | 0.394 | 0.568 | 36.22 | 0.720 |
| 9 | Sch96 | 0.393 | 0.569 | 36.28 | 0.717 |
| 10 | Sch13 | 0.393 | 0.569 | 36.33 | 0.717 |
| Scenario | Sch1 | Sch2 | Sch6 | Sch114 | Sch116 |
|---|---|---|---|---|---|
| Baseline | 0.522 | 0.728 | 0.478 | 0.726 | 0.727 |
| Equal weights | 0.508 | 0.728 | 0.492 | 0.727 | 0.724 |
| Shortage-up | 0.498 | 0.727 | 0.502 | 0.727 | 0.723 |
| Shortage-down | 0.548 | 0.729 | 0.452 | 0.726 | 0.731 |
| Reliability-biased | 0.608 | 0.732 | 0.392 | 0.725 | 0.741 |
Disclaimer/Publisher’s Note: The statements, opinions and data contained in all publications are solely those of the individual author(s) and contributor(s) and not of MDPI and/or the editor(s). MDPI and/or the editor(s) disclaim responsibility for any injury to people or property resulting from any ideas, methods, instructions or products referred to in the content. |
© 2025 by the authors. Licensee MDPI, Basel, Switzerland. This article is an open access article distributed under the terms and conditions of the Creative Commons Attribution (CC BY) license.
Share and Cite
Zeng, K.; Liu, N.; Dong, Y.; Deng, M.; Wang, Z. NSGA-II and Entropy-Weighted TOPSIS for Multi-Objective Joint Operation of the Jingou River Irrigation Reservoir System. Water 2026, 18, 36. https://doi.org/10.3390/w18010036
Zeng K, Liu N, Dong Y, Deng M, Wang Z. NSGA-II and Entropy-Weighted TOPSIS for Multi-Objective Joint Operation of the Jingou River Irrigation Reservoir System. Water. 2026; 18(1):36. https://doi.org/10.3390/w18010036
Chicago/Turabian StyleZeng, Kai, Ningning Liu, Yu Dong, Mingjiang Deng, and Zhenhua Wang. 2026. "NSGA-II and Entropy-Weighted TOPSIS for Multi-Objective Joint Operation of the Jingou River Irrigation Reservoir System" Water 18, no. 1: 36. https://doi.org/10.3390/w18010036
APA StyleZeng, K., Liu, N., Dong, Y., Deng, M., & Wang, Z. (2026). NSGA-II and Entropy-Weighted TOPSIS for Multi-Objective Joint Operation of the Jingou River Irrigation Reservoir System. Water, 18(1), 36. https://doi.org/10.3390/w18010036

