Next Article in Journal
Boosting Denitrification in Pyrite Bioretention Through Biochar-Mediated Electron Transfer
Previous Article in Journal
Delineation Using Multi-Tracer Tests and Hydrochemical Investigation of the Matica River Catchment at Plitvice Lakes, Croatia
Previous Article in Special Issue
Research on Automatic Power Generation Control and Primary Frequency Regulation Parameter Characteristics of Hydropower Units
 
 
Font Type:
Arial Georgia Verdana
Font Size:
Aa Aa Aa
Line Spacing:
Column Width:
Background:
Article

Study on Operational Stability of the Hydro-Turbine Governing System for Three-Turbine Shared Tailwater Tunnel

1
Hubei Key Laboratory of Digital River Basin Science and Technology, Huazhong University of Science and Technology, Wuhan 430074, China
2
College of Energy and Power Engineering, North China University of Water Resources and Electric Power, Zhengzhou 450045, China
*
Author to whom correspondence should be addressed.
Water 2025, 17(22), 3262; https://doi.org/10.3390/w17223262
Submission received: 26 September 2025 / Revised: 7 November 2025 / Accepted: 11 November 2025 / Published: 14 November 2025
(This article belongs to the Special Issue Research Status of Operation and Management of Hydropower Station)

Abstract

As a key power source for peak regulation and frequency control, hydropower units frequently adjust their output to maintain grid stability. In shared tailrace tunnel systems, hydraulic coupling between units significantly influences system stability. This study investigates a three-unit system with a common tailrace tunnel, establishes its mathematical model, and employs linear stability analysis to examine its stability characteristics under small disturbances. The research focuses on the impacts of total power output and power allocation strategies on system stability. Key findings reveal that (1) the stable domain of each unit decreases with greater penstock water inertia, and the instability of any single unit propagates through hydraulic coupling, causing system-wide instability; (2) the control parameters of individual units primarily affect their own stability, with negligible cross-unit impact, and the system’s overall stable domain is determined by the unit with the smallest stability region when uniform parameters are adopted; (3) increasing the total power output reduces system stability, and equally distributing power among units is more conducive to stable operation than concentrating it on a single unit. These results provide a theoretical basis for the optimized dispatch and stability control of multi-unit hydropower systems with shared hydraulic structures.

1. Introduction

As a widely recognized high-quality renewable energy source, hydropower plays a vital role in the green and low-carbon energy transition [1]. Under the pressing challenge of large-scale integration of highly intermittent renewables like wind and solar, the power system demands more from flexible regulation resources [2]. Hydropower, with its rapid response and large storage capacity, stands out as a cornerstone for grid stability [3]. It not only supplies substantial clean electricity but also provides regulation functions, offering firm capacity support for the development of new power systems [4]. In the context of large-scale and high-penetration renewable energy integration, hydropower’s role in performing flexible regulation tasks greatly enhances the absorption of renewables and helps ensure the secure, stable operation of the power grid [5,6]. The critical position of hydropower in the future power landscape will become increasingly prominent, and the impact of hydropower plant stability on power system reliability continues to grow [7].
The advancement of modern hydroelectric power stations is reflected not only in increased generator capacity but also in the heightened complexity of their hydraulic systems [8]. In practical applications, hydropower plants are typically configured with multiple units sharing common water conveyance pipelines, where both electrical and hydraulic interactions exist among the units [9,10,11]. This makes the operational characteristics of multi-unit systems more complex than those of single-unit systems [12,13,14]. Consequently, it is essential to analyze the stability of multi-unit systems holistically by considering their interconnections, as this aligns with engineering reality.
At present, researchers primarily employ numerical simulation and theoretical analysis methods to investigate the dynamic stability of multi-unit hydropower systems with shared penstocks [15]. Existing research can be broadly divided into two categories. The first category has used numerical modeling to study hydraulic coupling effects and hydro-mechanical–electrical interactions during hydraulic disturbances in multi-unit systems with a common water conveyance pipeline [16,17,18,19,20,21]. These studies reveal the influence of factors such as guide vane control strategies, penstock length, and grid-connection modes on the dynamic characteristics of multi-unit systems. Another category has also applied theoretical approaches, such as Hopf bifurcation theory, to examine the stability of multi-unit systems with common tailrace tunnels [22,23,24,25,26,27], clarifying the impact of typical hydraulic, mechanical, and electrical parameters on system stability.
While these studies have provided valuable insights from hydraulic, mechanical, and electrical perspectives, a common limitation persists. They largely assume uniform operating conditions or equal power sharing among units. In reality, however, power distribution among units is often non-uniform due to operational efficiency, maintenance schedules, or dispatch requirements. The critical question of how this power allocation strategy affects the system’s small-signal stability remains largely unexplored, creating a significant gap between theoretical analysis and practical operation.
Accordingly, this paper establishes a detailed dynamic model of a multi-unit system with a common tailrace tunnel based on an actual large-scale hydropower plant. The model integrates the hydraulic dynamics of the shared tunnel, the turbine characteristics, and the governor system. Employing linearization and eigenvalue analysis, this study systematically investigates the small-signal stability of the system. The core of the work is to analyze the stability variations under different total power output levels and, more importantly, under different unit power allocation schemes. The main contribution of this paper is the systematic investigation and revelation of the impact of unit power allocation on the small-signal stability of multi-unit hydropower plants. The findings provide theoretical support for operational optimization of similar multi-unit hydropower systems.

2. Modeling of Three-Unit Shared Tailwater System

The schematic diagram of a three-unit hydropower system with a common tailrace tunnel and tailrace surge tank is shown in Figure 1. To facilitate theoretical and simulation analysis, mathematical models of the penstock, surge tank, tailrace tunnel, governor, and hydro-turbine are developed based on operational principles and physical laws. These subsystems are coupled to establish an integrated model of the three-unit system comprising the shared tailrace tunnel and tailrace surge tank. The detailed modeling procedure is as follows.
Under the assumption of rigid water hammer, the dynamic equation of the penstock derived from Newton’s Second Law of Motion can be expressed as [28]
T wt , i   d Δ q t , i   d t = Δ h t , i Δ z F f i Δ q t , i
where q t , i and h t , i denote the relative values of the flow and head of the i-th unit, respectively; z F represents the relative value of the surge tank water level; T wt , i and f i denote the water inertia constant and head loss coefficient of the penstock for the i-th unit, respectively; Δ denotes the deviation from the initial value.
Defining the direction of flow into the surge tank as positive, the equation of the surge tank can be expressed as [29]:
T F   d Δ z F   d t = i = 1 n Δ q t , i Δ q y
where q y denotes the relative value of flow in the tailrace tunnel; T F represents the time constant of the surge tank.
The dynamic equation of the tailrace tunnel derived from Newton’s Second Law of Motion can also be expressed as:
T wy   d Δ q y   d t = Δ z F f y Δ q y
where T wy and f y represent the water inertia constant and head loss coefficient of the tailrace tunnel, respectively.
The characteristics of the hydro-turbine are described using the simplified nonlinear analytical model [30]. The relationship between the head and flow of the hydro-turbine is as follows:
q t , i = A t , i y i h t , i
where A t , i and y i denote the proportional coefficient of the hydro-turbine and the relative value of the guide vane opening for the i-th unit, respectively.
The output power of the hydro-turbine can be expressed as:
P m , i = h t , i q t , i q nl , i
where P m , i and q nl , i denote the relative values of the hydro-turbine output power and the hydro-turbine no-load flow, respectively.
By linearizing Equations (4) and (5), the linear model for the hydro-turbine is obtained as follows:
Δ q t , i = A t , i Δ y i h t 0 , i + y 0 , i 2 h t 0 , i Δ h t , i Δ P m , i = h t 0 , i Δ q t , i + A t , i y 0 , i h t 0 , i Δ h t , i
where h t 0 , i and y 0 , i denote the initial values of the hydro-turbine head and guide vane opening for the i-th unit, respectively.
Under grid-connected operation, the turbine governor operates in power control mode, with its input signal being the power deviation (i.e., Δ e = Δ P ). The governor typically employs PI regulation in this mode [31]. Introducing an intermediate variable x i , the governing controller equations can be expressed as follows:
d Δ x i d t = Δ P i Δ u i = K P , i d Δ x i d t + K I , i Δ x i
where Δ P i denotes the relative value of the input power deviation for the i-th unit; Δ u i denotes the relative value of the output control signal deviation for the i-th unit; K P , i and K P , i denote the proportional and integral coefficients of the governor for the i-th unit, respectively.
The servo system can be represented by a first-order inertial element as follows [31]:
d Δ y i d t = Δ u i Δ y i T y , i
where T y , i denotes the time constant of the servo system for the governor of the i-th unit.
Under the assumption of constant rotor speed during grid-connected operation (large grid integration), the generator model is neglected in this study. By integrating Equations (1)–(8), the linear state-space equations for the three-unit system with common tailrace tunnel and tailrace surge tank shown in Figure 1 are derived as follows:
d Δ X P d t = A P Δ X P
where Δ X P = Δ q t , 1 , Δ q t , 2 , Δ q t , 3 , Δ z F , Δ q y , Δ x 1 , Δ x 2 , Δ x 3 , Δ y 1 , Δ y 2 , Δ y 3 denotes the system state variable vector under the power control mode; A P denotes the system state matrix under the power control mode; its expression is given in Appendix A.

3. Stability Analysis of Three-Unit Shared Tailwater System

According to Lyapunov stability theory, the small-signal stability of the system under power control mode can be determined by analyzing the eigenvalues of the system state matrix A P . The eigenvalues of the system are expressed as follows:
λ k = α k + j β k
where λ k represents the k -th eigenvalue of the system; α k denotes the real part of the k -th eigenvalue, reflecting the damping characteristics of oscillations; β k indicates the imaginary part of the k -th eigenvalue, corresponding to the oscillation frequency.
The model of the three-unit system shared tailrace tunnel and tailrace surge tank is developed on the Matlab/Simulink simulation platform (Matlab R2021a) to conduct stability studies. System parameters for the three-unit system are as follows [26]: hydro-turbine rated flow Q 0   =   430.5   m 3 / s ; hydro-turbine rated head H 0   =   197   m ; water inertia constant of penstock T wt , 1 = 1.146   s , T wt , 2 = 1.152   s , T wt , 2 = 1.174   s ; head loss coefficient of penstock f 1 = 0.01 , f 2 = 0.01 , f 3 = 0.01 ; time constant of surge tank T F = 315   s ; water inertia constant of tailrace tunnel T wy = 2.86   s ; head loss coefficient of tailrace tunnel f y = 0.04 ; hydro-turbine coefficient A t , 1 = 1.39 , A t , 2 = 1.39 , A t , 3 = 1.39 ; hydro-turbine no-load flow q nl , 1 = 0.11 pu, q nl , 2 = 0.11 pu, q nl , 3 = 0.11 pu; time constant of the servo system T y , 1 = 0.2   s , T y , 2 = 0.2   s , T y , 3 = 0.2   s ; control parameters K P , 1 = 0.1 , K P , 2 = 0.1 , K P , 3 = 0.1 , K I , 1 = 0.26 , K I , 2 = 0.26 , K I , 3 = 0.26 ; hydro-turbine output power P m , 1 = P m , 2 = P m , 3 = 0.9 pu.
By substituting the aforementioned parameters into the system model, stability studies of the three-unit system shared tailrace tunnel and tailrace surge tank are conducted. In accordance with Lyapunov linear stability theory, the system eigenvalues are calculated, and the dominant state variables affecting each eigenvalue are identified based on participation factors. The results are presented in Table 1.
As shown in Table 1, there are three decay modes and four oscillation modes in the three-unit system. These modes all possess negative real parts; hence, the system is stable under small disturbances. The oscillation frequencies of these oscillation modes are all less than 0.1 Hz. This study primarily focuses on the oscillation characteristics of the system. According to the results of the participation factor analysis, the control parameters of Unit 1 influence system oscillation stability by mainly affecting eigenvalues λ 4 and λ 5 . The control parameters of Unit 2 influence system oscillation stability by mainly affecting eigenvalues λ 6 and λ 7 . The control parameters of Unit 3 influence system oscillation stability by mainly affecting eigenvalues λ 8 and λ 9 .
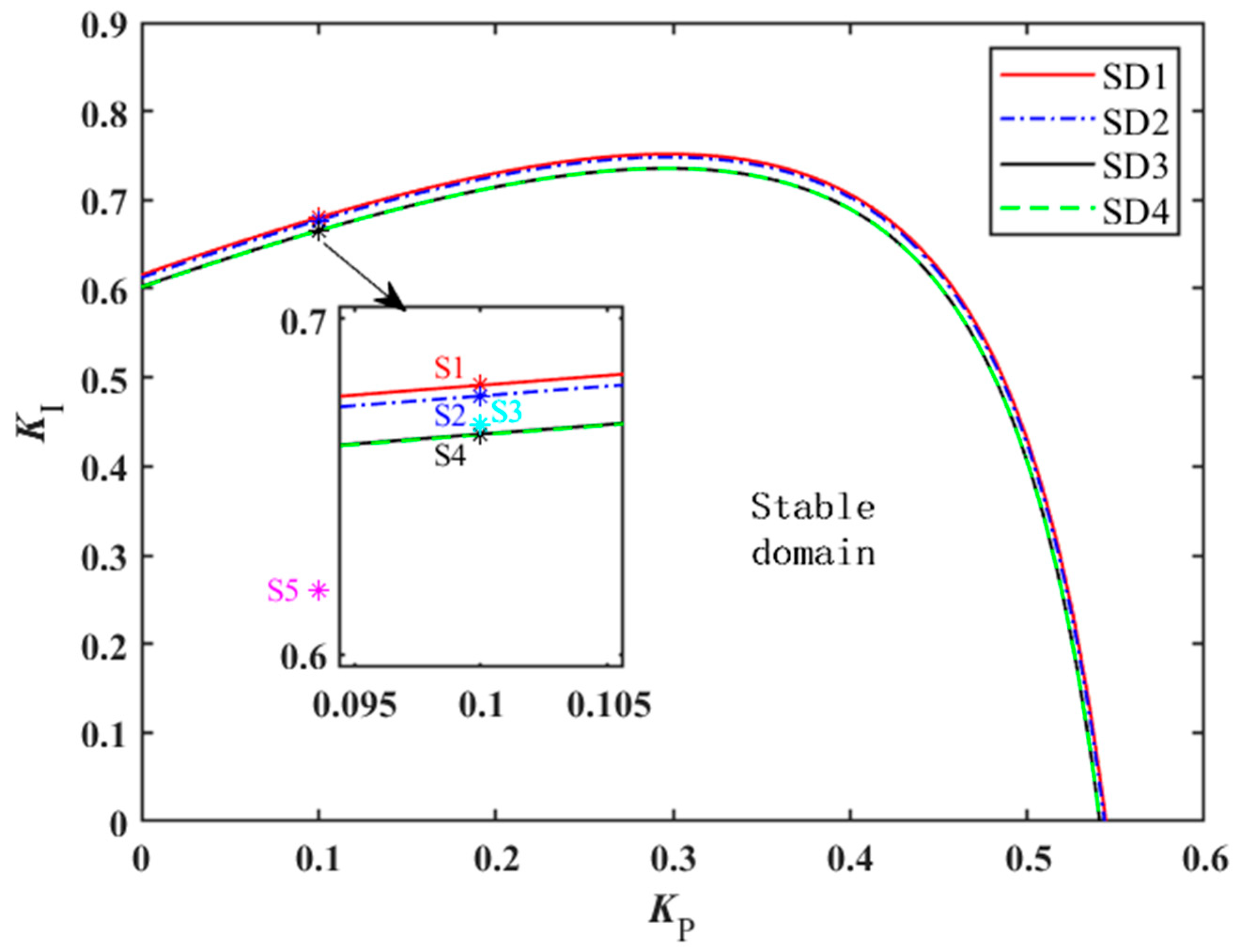
To analyze the impact of governor control parameters on system stability, the stable domains for the proportional and integral control parameters of the three-unit system governors are calculated and shown in Figure 2. When the governor control parameters of the three units shared tailrace tunnel system in Figure 1 are set independently, each unit will exhibit distinct stable domains of the governor control parameters. The stable domains for Unit 1, Unit 2, and Unit 3 are denoted as SD1, SD2, and SD3, respectively. When the governor control parameters of the three units shared tailrace tunnel system in Figure 1 are set consistently, the stability of all three units depends on a single set of governor control parameters. The corresponding stable domain of three-unit system is denoted as SD4.
As illustrated in Figure 2, the stability regions for the governor control parameters of Unit 1, Unit 2, and Unit 3 decrease sequentially. According to the system parameter settings, the water inertia constant of the penstock s for Units 1, 2, and 3 are sequentially increased, while all other parameters are set identically. This indicates that the larger the water inertia constant of the penstock, the poorer the stability of the unit. Additionally, when the governor control parameters for Units 1, 2 and 3 are consistent, the stable domain SD4 of the three-unit system governor control parameters is essentially identical to the previously mentioned stable domain SD3 for Unit 3 governor control parameters.
To validate the aforementioned stability domain results, the dynamic response of three-unit shared tailrace tunnel systems is solved and analyzed under different governor control parameter settings. When the governor control parameters of the three units are mutually independent, three state points S1 (0.1, 0.680), S2 (0.1, 0.677), and S4 (0.1, 0.665) shown in Figure 2 are selected for dynamic response simulation of the three-unit shared tailwater tunnel system. Points S1, S2, and S4 lie on the boundaries of the stable domains for Units 1, 2, and 3, respectively. The corresponding control parameter values for these three points are substituted into the governor model of Unit 2. Dynamic simulations of the three-unit shared tailrace tunnel system are then conducted under a −0.1 pu disturbance to the power setpoint of Unit 2. The power response processes for Units 1, 2, and 3 are illustrated in Figure 3.
As shown in Figure 3, under a power step disturbance of −0.1 pu applied to Unit 2, the time-domain power responses exhibit divergent behavior at state point S1 outside the stable domain. At state point S2 on the boundary of the stability domain, the power response displays constant-amplitude oscillation. Conversely, at state point S4 within the stable domain, the power response dynamic converges. The above time-domain simulation results further validate the correctness of the parameter stable domain result.
When the governor control parameters of all three units are maintained consistent, three state points S3 (0.1, 0.668), S4 (0.1, 0.665) and S5 (0.1, 0.260) shown in Figure 2 are selected for dynamic response simulation of the three-unit shared tailrace tunnel system. Specifically, S3, S4, and S5 are situated externally, at the boundary, and internally within the three-unit system’s stable domain, respectively. The control parameter values corresponding to these three state points are substituted into the three-unit system governor model to conduct dynamic simulations of the three-unit shared tailrace tunnel system under a −0.1 pu disturbance applied to the power setpoint of Unit 3. The resulting power response processes for Units 1, 2, and 3 are illustrated in Figure 4.
As shown in Figure 4, under a power step disturbance of −0.1 pu applied to Unit 3, the time-domain power responses exhibit divergent behavior at state point S3 outside the stable domain. At state point S4 on the boundary of the stable domain, the time-domain power response exhibits constant-amplitude oscillation. Conversely, at state point S5 within the stable domain, the time-domain power response converges. The aforementioned time-domain simulation results also validate the correctness of the parameter stable domain result.
Furthermore, as demonstrated by the results in Figure 3 and Figure 4, despite applying power step disturbances only to Units 2 and 3, respectively, the shared tailrace tunnel system still induces similar minor power oscillations in other units operating within the stable domain. This fully reflects the internal coupling characteristics of the system.
To clarify the impact of control parameters of each unit within the three-unit common tailrace tunnel system on the stability of other units, the control variates method is employed for investigation. The effects of variations in the respective control parameters of Units 1, 2, and 3 on the stable domains of other units are analyzed, with results presented in Figure 5.
As can be seen from Figure 5a, variations in the control parameters K P , 2 and K I , 2 of Unit 2, as well as variations in the control parameters K P , 3 and K I , 3 of Unit 3, exert negligible influence on the stable domain of Unit 1; As shown in Figure 5b, variations in control parameters K P , 1 and K I , 1 of Unit 1, as well as variations in control parameters K P , 3 and K I , 3 of Unit 3, exert negligible influence on the stable domain of Unit 2. As depicted in Figure 5c, variations in control parameters K P , 1 and K I , 1 of Unit 1, as well as variations in control parameters K P , 2 and K I , 2 of Unit 2, exert negligible influence on the stable domain of Unit 3.
Based on the above results, independent adjustments of the governor control parameters for individual units in the three-unit shared tailrace tunnel system demonstrate negligible effects on the stable domains of other units. It follows that when the governor control parameters of all three units are maintained consistently, the stable domain of the three-unit system is essentially determined by Unit 3, which possesses the smallest stable domain. This corresponds to the results in Figure 2, where stable domains SD4 and SD3 are largely coincident. The aforementioned conclusions indicate that within the three-unit shared tailrace tunnel system, the control parameters of each unit primarily influence the overall system stability by altering their own stability characteristics.

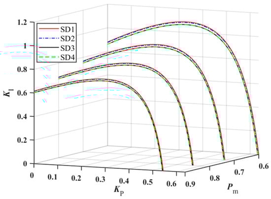
4. The Impact of Unit Power Output on System Stability

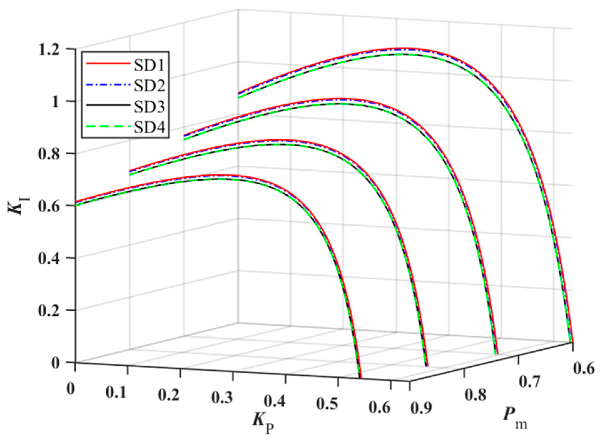
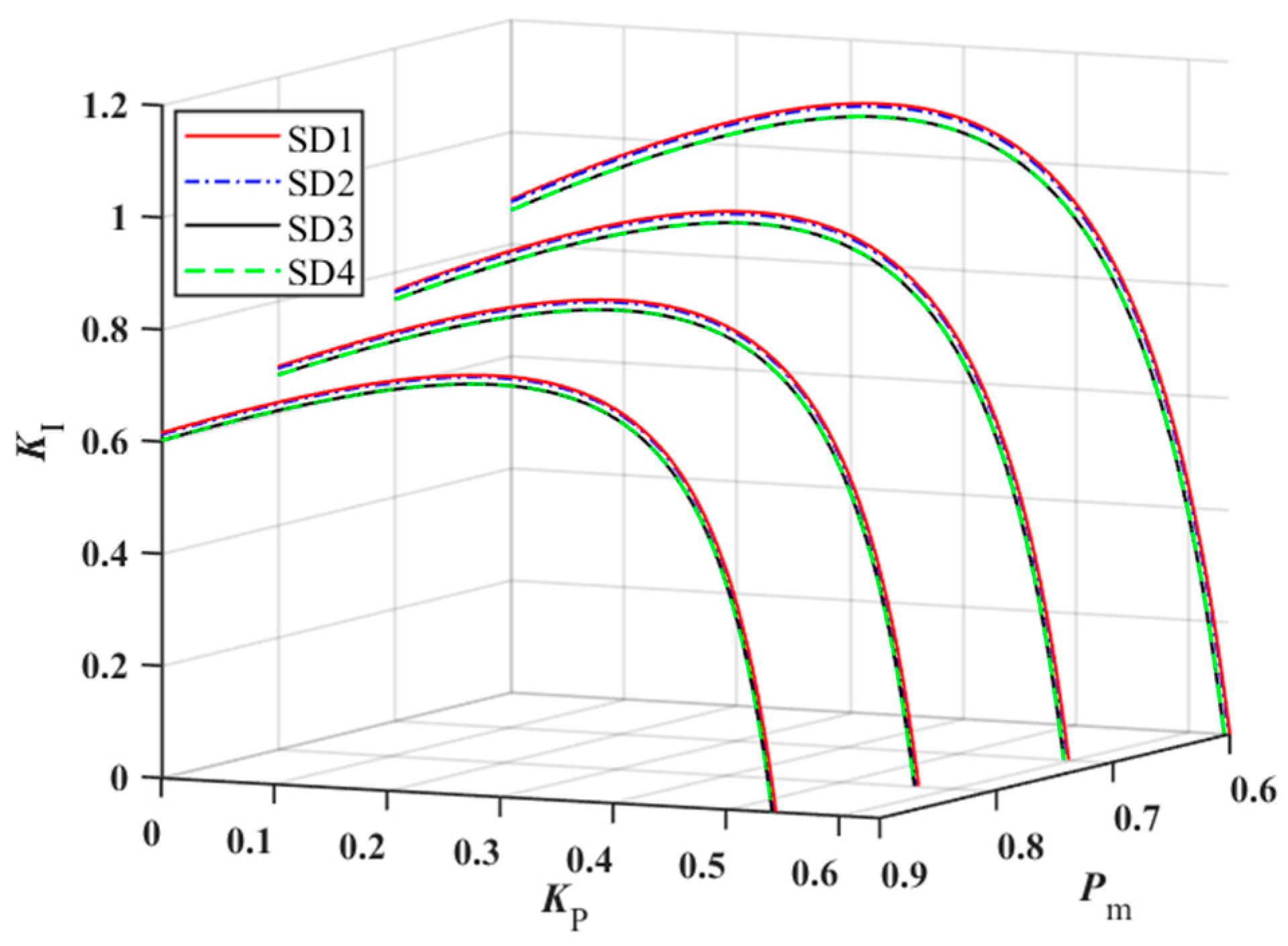
Hydropower units possess flexible regulation capabilities and can ensure the secure and stable operation of the grid by participating in peak shaving. During the peak shaving process of hydropower units, changes in unit power output are important factors affecting system operational characteristics. To investigate the impact of varying unit power levels on system stability, the stable domains for each unit under four power conditions, i.e., 0.6 pu, 0.7 pu, 0.8 pu, and 0.9 pu, are plotted for Units 1, 2, and 3 operating at identical power levels, as illustrated in Figure 6. The symbols SD1, SD2, SD3, and SD4 retain their previously defined meanings.
As shown in Figure 6, the stable domains of Units 1, 2, and 3 all decrease with increasing power output, and the relative sizes of the stable domains for the three units remain unchanged. Simultaneously, when the governor control parameters for all three units are kept consistent, the stable domain of the three-unit system also decreases with increasing power output. Moreover, at different power output levels, this stable domain is essentially identical to that of Unit 3, further validating the conclusions drawn in Section 3. The aforementioned results indicate that increased power across all three units exerts a detrimental effect upon their respective stability.
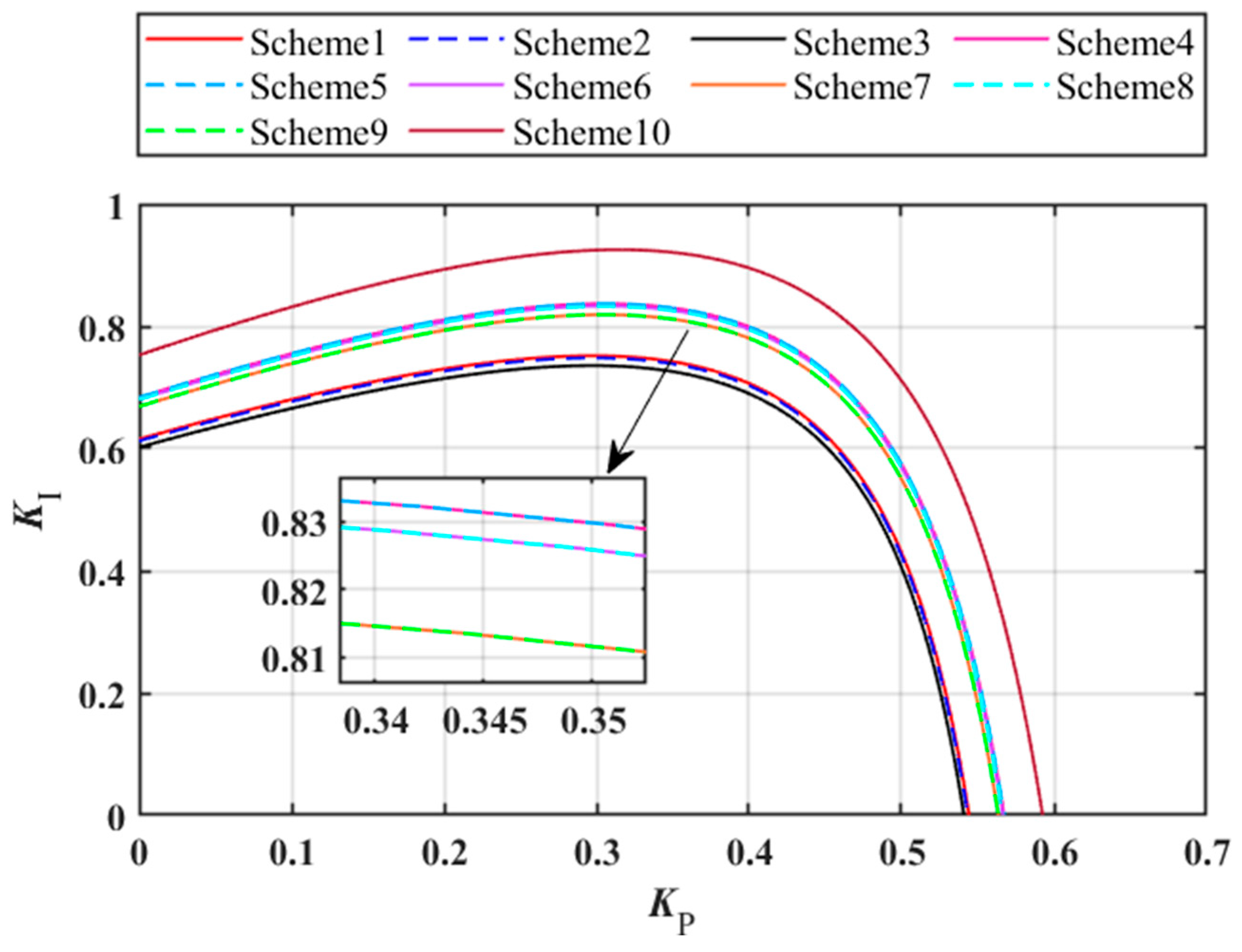
Furthermore, the impact of different power allocation schemes on the stability of the three-unit shared tailrace tunnel system is investigated. For convenience of analysis, the minimum stable domain ensuring stable parameters for all units is considered, i.e., the stable domain of the three-unit system when the governor control parameters of all three units remain consistent. When the initial powers of Units 1, 2, and 3 are all set to 0.6 pu, there are 10 possible allocation methods for adding 0.3 pu of power to the entire three-unit system, as shown in Table 2. The stable domains of the three-unit system under these ten different power allocation schemes are depicted in Figure 7.
As shown in Figure 7, the three-unit system stable domain is smallest when Scheme 3 allocates 0.3 pu power to Unit 3. The stable domains for the three-unit system under Schemes 1 and 2, which allocate 0.3 pu power to Units 1 and 2, respectively, are slightly larger than those under Scheme 3. Schemes 4 and 5 both allocate 0.2 pu power to Unit 1, yielding essentially identical three-unit system stable domains. Similarly, Schemes 6 and 8, which allocate 0.2 pu power to Unit 2, produce nearly identical stable domains. Likewise, Schemes 7 and 9, allocating 0.2 pu power to Unit 3, result in substantially comparable stable domains. The stable domains of the three-unit system corresponding to the above three sets of schemes decrease sequentially but remain larger than those of the first three schemes. Scheme 10, which evenly distributes 0.3 pu power among Units 1, 2, and 3, yields the largest stable domain for the three-unit system. This demonstrates that when increasing power in a three-unit shared tailrace tunnel system, distributing power evenly among units is more conducive to stable system operation.

5. Discussion

The mathematical model and stability analysis results are discussed in this section. This study extends the single-machine single-tunnel system to a multi-machine shared-tunnel scenario, establishing a model that essentially represents an extension and optimization of the IEEE hydro-generator unit model. Although this model exhibits limited accuracy compared to [17], its theoretical foundation remains consistent, thereby facilitating the analysis of hydraulic coupling characteristics within multi-machine systems. Previous studies have examined the stability characteristics of multi-unit hydroelectric systems, but few have considered them from the perspective of coupling effects and power allocation. This study establishes that system stability arises from the combined effects of ‘single-machine stability’ and ‘coupled disturbances’, with single-machine stability forming the foundation. It further reveals that the influence of multi-machine governor control parameters on the stability domain exhibits weak coupling, facilitating engineering tuning. Moreover, it clarifies that uniform power distribution constitutes the optimal operating strategy for maintaining stability in multi-machine systems.
The limitations of this paper are discussed as follows:
The paper employs a pipeline model based on rigid water hammer theory, which neglects complex hydraulic phenomena. Consequently, its dynamic description of the shared tailrace tunnel may be overly idealized. The study assumes that the three units are identical or share consistent characteristics. In practice, the dynamic properties of turbines within the system exhibit variations, potentially necessitating a revision of the conclusion regarding ‘optimal uniform power distribution’.
The model assumes an infinitely large grid, whereas in reality, hydroelectric power stations are connected to finite grids. The grid’s strength, load characteristics, and interactions with other generators significantly influence the system’s oscillation modes and damping. Future work must account for grid interactions: extending the model to scenarios involving grid connections to investigate the mutual influence between power system oscillations and hydraulic system oscillations.
Moreover, it is crucial to conduct engineering validation of the model by collecting operational data from actual power stations for calibrating and verifying the established mathematical model, thereby ensuring the model accurately reflects the dynamic characteristics of the real system.

6. Conclusions

This paper establishes a mathematical model for the hydro-turbine governor system of the three-unit shared tailrace tunnel. Based on this model, linear stability analysis methods are employed to investigate system operational stability. The study primarily examines the impact of varying power output levels and power allocations on the stability of the three-unit system. The main conclusions are as follows:
(1)
A key finding of this research is the identification of a system-wide instability mechanism in coupled hydro-unit systems. We have demonstrated that under power disturbances, instability in any single unit—particularly those with larger penstock water inertia—can propagate through the shared hydraulic coupling and destabilize the entire system. This reveals a “bucket effect” where the system’s overall stability is constrained by its least stable unit, providing critical insight for system design and protection strategy formulation.
(2)
This paper reveals the weak coupling characteristic of governor parameters in multi-unit shared tailrace systems. Specifically, adjustments to one unit’s control parameters have a negligible impact on the stable domains of other units. This important finding significantly simplifies the parameter tuning process in practical engineering.
(3)
This study confirms that the power output variation in units significantly impacts the stability of the three-unit shared tailrace tunnel system. An increase in power output across all three units adversely affects their respective stability. A key finding is that, when allocating power within a three-unit system, allocating the majority of the additional power to a single unit is detrimental to stable operation. Conversely, distributing the power evenly across all units is more conducive to maintaining system stability.
This paper contributes to the optimized operation of multiple units within the common hydraulic system of hydroelectric power stations. Future work may address the limitations discussed in Section 5.

Author Contributions

D.L.: original draft, methodology, data curation, supervision, funding acquisition. Y.X.: writing—review and editing. J.L.: investigation, formal analysis. X.T.: writing—review and editing, supervision. All authors have read and agreed to the published version of the manuscript.

Funding

This article was funded by the National Natural Science Foundation of China (Grant Nos. 52309111, 52509120) and the 2024 Open Research Foundation of Hubei Key Laboratory of Digital River Basin Science and Technology.

Data Availability Statement

The original contributions presented in this study are included in the article. Further inquiries can be directed to the corresponding author.

Conflicts of Interest

The authors declare that they have no known competing financial interests or personal relationships that could have appeared to influence the work reported in this paper.

Appendix A

A P = a 11 a 12 a 13 a 14 a 15 a 16 a 17 a 18 a 19 a 110 a 111 a 21 a 22 a 23 a 24 a 25 a 26 a 27 a 28 a 29 a 210 a 211 a 31 a 32 a 33 a 34 a 35 a 36 a 37 a 38 a 39 a 310 a 311 a 41 a 42 a 43 a 44 a 45 a 46 a 47 a 48 a 49 a 410 a 411 a 51 a 52 a 53 a 54 a 55 a 56 a 57 a 58 a 59 a 510 a 511 a 61 a 62 a 63 a 64 a 65 a 66 a 67 a 68 a 69 a 610 a 611 a 71 a 72 a 73 a 74 a 75 a 76 a 77 a 78 a 79 a 710 a 711 a 81 a 82 a 83 a 84 a 85 a 86 a 87 a 88 a 89 a 810 a 811 a 91 a 92 a 93 a 94 a 95 a 96 a 97 a 98 a 99 a 910 a 911 a 101 a 102 a 103 a 104 a 105 a 106 a 107 a 108 a 109 a 1010 a 1011 a 111 a 112 a 113 a 114 a 115 a 116 a 117 a 118 a 119 a 1110 a 1111
a 11 = f 1 + 2 q 01 + 2 q 1 A t , 1 2 y 1 2 / T w t , 1 ;   a 12 = a 13 = a 15 = a 16 = a 17 = a 18 = a 110 = a 111 = 0 ;   a 14 = 1 T w t , 1 ;   a 19 = 2 q 01 + q 1 2 A t , 1 2 T w t , 1 y 1 3
a 21 = a 23 = a 25 = a 26 = a 27 = a 28 = a 29 = a 211 = 0 ;   a 22 = ( f 2 + 2 q 02 + 2 q 2 A t , 2 2 y 2 2 ) / T w t , 2 ;   a 24 = 1 T w t , 2 ;   a 210 = 2 ( q 02 + q 2 ) 2 A t , 2 2 T w t , 2 y 2 3
a 31 = a 32 = a 35 = a 36 = a 37 = a 38 = a 39 = a 310 = 0 ;   a 33 = ( f 3 + 2 q 03 + 2 q 3 A t , 3 2 y 2 2 ) / T w t , 2 ;   a 34 = 1 T w t , 3 ;   a 311 = 2 ( q 03 + q 3 ) 2 A t , 3 2 T w t , 3 y 3 3
a 41 = a 42 = a 43 = 1 T F ;   a 44 = a 46 = a 47 = a 48 = a 49 = a 410 = a 411 = 0 ;   a 45 = 1 T F
a 51 = a 52 = a 53 = a 56 = a 57 = a 58 = a 59 = a 510 = a 511 = 0 ;   a 54 = 1 T w y ;   a 55 = f y T w y
a 61 = ( 2 q 01 + 2 q 1 ) ( q n l , 1 A t , 1 y 1 ( q 01 + q 1 ) 2 A t , 1 2 y 1 2 ) A t , 1 2 y 1 2 ( 2 q 01 + 2 q 1 ) ( q 01 + q 1 ) 2 2 A t , 1 3 y 1 3 ( q 01 + q 1 ) 2 A t , 1 2 y 1 2 ;
a 62 = a 63 = a 64 = a 65 = a 66 = a 67 = a 68 = a 610 = a 611 = 0 ;
a 69 = 2 ( q 01 + q 1 ) 2 ( q n l , 1 A t , 1 y 1 ( q 01 + q 1 ) 2 A t , 1 2 y 1 2 ) A t , 1 2 y 1 3 ( A t , 1 ( q 01 + q 1 ) 2 A t , 1 2 y 1 2 ( q 01 + q 1 ) 2 A t , 1 y 1 2 ( q 01 + q 1 ) 2 A t , 1 2 y 1 2 ) ( q 01 + q 1 ) 2 A t , 1 2 y 1 2 .
a 71 = a 73 = a 74 = a 75 = a 76 = a 77 = a 78 = a 79 = a 711 = 0 ;
a 72 = ( 2 q 02 + 2 q 2 ) ( q n l , 2 A t , 2 y 2 ( q 02 + q 2 ) 2 A t , 2 2 y 2 2 ) A t , 2 2 y 2 2 ( 2 q 02 + 2 q 2 ) ( q 02 + q 2 ) 2 2 A t , 2 3 y 2 3 ( q 02 + q 2 ) 2 A t , 2 2 y 2 2 ;
a 710 = 2 ( q 02 + q 2 ) 2 ( q n l , 2 A t , 2 y 2 ( q 02 + q 2 ) 2 A t , 2 2 y 2 2 ) A t , 2 2 y 2 3 ( A t , 2 ( q 02 + q 2 ) 2 A t , 2 2 y 2 2 ( q 02 + q 2 ) 2 A t , 2 y 2 2 ( q 02 + q 2 ) 2 A t , 2 2 y 2 2 ) ( q 02 + q 2 ) 2 A t , 2 2 y 2 2
a 81 = a 82 = a 84 = a 85 = a 86 = a 87 = a 88 = a 89 = a 810 = 0 ;
a 83 = ( 2 q 03 + 2 q 3 ) ( q n l , 3 A t , 3 y 3 ( q 03 + q 3 ) 2 A t , 3 2 y 3 2 ) A t , 3 2 y 3 2 ( 2 q 03 + 2 q 3 ) ( q 03 + q 3 ) 2 2 A t , 3 3 y 3 3 ( q 03 + q 3 ) 2 A t , 3 2 y 3 2 ;
a 811 = 2 ( q 03 + q 3 ) 2 ( q n l , 3 A t , 3 y 3 ( q 03 + q 3 ) 2 A t , 3 2 y 3 2 ) A t , 3 2 y 3 3 ( A t , 3 ( q 03 + q 3 ) 2 A t , 3 2 y 3 2 ( q 03 + q 3 ) 2 A t , 3 y 3 2 ( q 03 + q 3 ) 2 A t , 3 2 y 3 2 ) ( q 03 + q 3 ) 2 A t , 3 2 y 3 2
a 91 = K P , 1 ( 2 q 01 + 2 q 1 ) ( q n l , 1 A t , 1 y 1 ( q 01 + q 1 ) 2 A t , 1 2 y 1 2 ) A t , 1 2 y 1 2 ( 2 q 01 + 2 q 1 ) ( q 01 + q 1 ) 2 2 A t , 1 3 y 1 3 ( q 01 + q 1 ) 2 A t , 1 2 y 1 2 T y , 1 ;
a 92 = a 93 = a 94 = a 95 = a 97 = a 98 = a 910 = a 911 = 0 ;   a 96 = K I , 1 T y , 1 ;
a 99 = K P , 1 2 ( q 01 + q 1 ) 2 ( q n l , 1 A t , 1 y 1 ( q 01 + q 1 ) 2 A t , 1 2 y 1 2 ) A t , 1 2 y 1 3 + ( A t , 1 ( q 01 + q 1 ) 2 A t , 1 2 y 1 2 ( q 01 + q 1 ) 2 A t , 1 y 1 2 ( q 01 + q 1 ) 2 A t , 1 2 y 1 2 ) ( q 01 + q 1 ) 2 A t , 1 2 y 1 2 + 1 T y , 1
a 101 = a 103 = a 104 = a 105 = a 106 = a 108 = a 109 = a 1011 = 0 ;
a 102 = K P , 2 ( 2 q 02 + 2 q 2 ) ( q n l , 2 A t , 2 y 2 ( q 02 + q 2 ) 2 A t , 2 2 y 2 2 ) A t , 2 2 y 2 2 ( 2 q 02 + 2 q 2 ) ( q 02 + q 2 ) 2 2 A t , 2 3 y 2 3 ( q 02 + q 2 ) 2 A t , 2 2 y 2 2 T y , 2 ;
a 1010 = K P , 2 2 ( q 02 + q 2 ) 2 ( q n l , 2 A t , 2 y 2 ( q 02 + q 2 ) 2 A t , 2 2 y 2 2 ) A t , 2 2 y 2 3 + ( A t , 2 ( q 02 + q 2 ) 2 A t , 2 2 y 2 2 ( q 02 + q 2 ) 2 A t , 2 y 2 2 ( q 02 + q 2 ) 2 A t , 2 2 y 2 2 ) ( q 02 + q 2 ) 2 A t , 2 2 y 2 2 + 1 T y , 2
a 111 = a 112 = a 114 = a 115 = a 116 = a 117 = a 119 = a 1110 = 0 ;
a 113 = K P , 3 ( 2 q 03 + 2 q 3 ) ( q n l , 3 A t , 3 y 3 ( q 03 + q 3 ) 2 A t , 3 2 y 3 2 ) A t , 3 2 y 3 2 ( 2 q 03 + 2 q 3 ) ( q 03 + q 3 ) 2 2 A t , 3 3 y 3 3 ( q 03 + q 3 ) 2 A t , 3 2 y 3 2 T y , 3 ;   a 118 = K I , 3 T y , 3 ;
a 1111 = K P , 3 2 ( q 03 + q 3 ) 2 ( q n l , 3 A t , 3 y 3 ( q 03 + q 3 ) 2 A t , 3 2 y 3 2 ) A t , 3 2 y 3 3 + ( A t , 3 ( q 03 + q 3 ) 2 A t , 3 2 y 3 2 ( q 03 + q 3 ) 2 A t , 3 y 3 2 ( q 03 + q 3 ) 2 A t , 3 2 y 3 2 ) ( q 02 + q 2 ) 2 A t , 3 2 y 3 2 + 1 T y , 3

References

  1. Yang, W.; Norrlund, P.; Saarinen, L.; Witt, A.; Smith, B.; Yang, J. Burden on hydropower units for short-term balancing of renewable power systems. Nat. Commun. 2018, 9, 2633. [Google Scholar] [CrossRef] [PubMed]
  2. Jiang, H.; Yao, L.; Qin, J.; Bai, Y.; Brandt, M.; Lian, X.; Davis, S.; Lu, N.; Zhao, W.; Liu, T.; et al. Globally interconnected solar-wind system addresses future electricity demands. Nat. Commun. 2025, 16, 4523. [Google Scholar] [CrossRef] [PubMed]
  3. Wang, S.; Li, F.; Zhang, G.; Yin, C. Analysis of energy storage demand for peak shaving and frequency regulation of power systems with high penetration of renewable energy. Energy 2023, 267, 126586. [Google Scholar] [CrossRef]
  4. Luo, X.; Huang, L.; Sui, X. Capacity optimization of existing reservoir hydropower expansion and its impact on power system flexibility. Appl. Energy 2025, 377, 124549. [Google Scholar] [CrossRef]
  5. Liu, B.; Lund, J.R.; Liao, S.; Jin, X.; Liu, L.; Cheng, C. Optimal power peak shaving using hydropower to complement wind and solar power uncertainty. Energy Convers. Manag. 2020, 209, 112628. [Google Scholar] [CrossRef]
  6. Danso, D.K.; François, B.; Hingray, B.; Diedhiou, A. Assessing hydropower flexibility for integrating solar and wind energy in West Africa using dynamic programming and sensitivity analysis. Illustration with the Akosombo reservoir, Ghana. J. Clean. Prod. 2021, 287, 125559. [Google Scholar] [CrossRef]
  7. Xu, R.; Tan, X.; Wang, H.; Zhu, Z.; Lu, X.; Li, C. Stability of hydropower units under full operating conditions considering nonlinear coupling of turbine characteristics. Renew. Energy 2024, 223, 120009. [Google Scholar] [CrossRef]
  8. Yang, W.; Norrlund, P.; Chung, C.Y.; Yang, J.; Urban, L. Eigen-analysis of hydraulic-mechanical-electrical coupling mechanism for small signal stability of hydropower plant. Renew. Energy 2017, 115, 1014–1025. [Google Scholar] [CrossRef]
  9. Liu, Z.; Yan, Z.; Zhang, H.; Xie, H.; Zou, Y.; Zheng, Y.; Xiao, Z.; Chen, F. Suppression and Analysis of Low-Frequency Oscillation in Hydropower Unit Regulation Systems with Complex Water Diversion Systems. Energies 2024, 17, 4831. [Google Scholar] [CrossRef]
  10. Xu, B.; Wang, F.; Chen, D.; Zhang, H. Hamiltonian modeling of multi-hydro-turbine governing systems with sharing common penstock and dynamic analyses under shock load. Energy Convers. Manag. 2016, 108, 478–487. [Google Scholar] [CrossRef]
  11. Wang, F.; Zeng, Y.; Qian, J. Nonlinear modelling and design of synergetic controllers for single penstock multi-machine hydropower system. Electr. Power Syst. Res. 2024, 234, 110584. [Google Scholar] [CrossRef]
  12. Han, J.; Chen, D.; Zhang, H. Stability of multi-hydro-turbine governing time-delay systems with sharing tailrace surge tank. J. Vibroeng. 2018, 20, 2734–2744. [Google Scholar] [CrossRef]
  13. Dao, F.; Zou, Y.; Zeng, Y.; Qian, J.; Li, X. An intelligent CPSOGSA-based mixed H2/H∞ robust controller for the multi-hydro-turbine governing system with sharing common penstock. Renew. Energy 2023, 206, 481–497. [Google Scholar] [CrossRef]
  14. Rangi, S.; Jain, S.; Arya, Y. Utilization of energy storage devices with optimal controller for multi-area hydro-hydro power system under deregulated environment. Sustain. Energy Technol. Assess. 2022, 52, 102191. [Google Scholar] [CrossRef]
  15. Xu, B.; Zhang, J.; Egusquiza, M.; Chen, D.; Li, F.; Behrens, P.; Egusquiza, E. A review of dynamic models and stability analysis for a hydro-turbine governing system. Renew. Sust. Energy Rev. 2021, 144, 110880. [Google Scholar] [CrossRef]
  16. Li, H.; Chen, D.; Xu, B.; Tolo, S.; Patelli, E. Dynamic analysis of multi-unit hydropower systems in transient process. Nonlinear Dyn. 2017, 90, 535–548. [Google Scholar] [CrossRef]
  17. Liu, D.; Li, C.; Malik, O.P. Nonlinear modeling and multi-scale damping characteristics of hydro-turbine regulation systems under complex variable hydraulic and electrical network structures. Appl. Energy 2021, 293, 116949. [Google Scholar] [CrossRef]
  18. Lei, L.; Li, F.; Kheav, K.; Jiang, W.; Luo, X.; Patelli, E.; Xu, B.; Chen, D. A start-up optimization strategy of a hydroelectric generating system: From a symmetrical structure to asymmetric structure on diversion pipes. Renew. Energy 2021, 180, 1148–1165. [Google Scholar] [CrossRef]
  19. Huang, Y.; Yang, W.; Liao, Y.; Zhao, Z.; Ma, W.; Yang, J.; Yang, J. Improved transfer function method for flexible simulation of hydraulic-mechanical-electrical transient processes of hydro-power plants. Renew. Energy 2022, 196, 390–404. [Google Scholar] [CrossRef]
  20. Liu, Y.; Yu, X.; Zhang, J.; Chen, S.; Zhang, Y. Optimized operation framework of pumped storage power stations with fixed-and variable-speed units sharing a diversion tunnel: Efficiency optimization and transient characteristics analysis. Energy 2025, 336, 138555. [Google Scholar] [CrossRef]
  21. Yu, X.; Zhou, Q.; Zhang, L.; Zhang, J. Hydraulic disturbance in multiturbine hydraulically coupled systems of hydropower plants caused by load variation. J. Hydraul. Eng. 2019, 145, 04018078. [Google Scholar] [CrossRef]
  22. Lai, X.; Huang, H.; Zheng, B.; Li, D.; Zong, Y. Nonlinear modeling and stability analysis of asymmetric hydro-turbine governing system. Appl. Math. Model. 2023, 120, 281–300. [Google Scholar] [CrossRef]
  23. Tang, R.; Yang, J.; Yang, W.; Zou, J.; Lai, X. Dynamic regulation characteristics of pumped-storage plants with two generating units sharing common conduits and busbar for balancing variable renewable energy. Renew. Energy 2019, 135, 1064–1077. [Google Scholar] [CrossRef]
  24. Guo, W.; Qu, F. Stability control of dynamic system of hydropower station with two turbine units sharing a super long headrace tunnel. J. Frankl. Inst. 2021, 358, 8506–8533. [Google Scholar] [CrossRef]
  25. Yang, X.; Lian, J.; Yu, X.; He, W. Critical stable cross-sectional area of surge tank in hydropower plant with multiple units sharing common hydraulic system. Int. J. Electr. Power Energy Syst. 2021, 131, 107067. [Google Scholar] [CrossRef]
  26. Lu, X.; Li, C.; Liu, D.; Zhu, Z.; Tan, X.; Xu, R. Comprehensive stability analysis of complex hydropower system under flexible operating conditions based on a fast stability domain solving method. Energy 2023, 274, 127368. [Google Scholar] [CrossRef]
  27. Chen, J.; Zhao, K.; Xu, Y.; Cao, H.; Liu, Y.; Li, S. Study on the stability and ultra-low frequency oscillation suppression method of pumped storage power plant with dual units sharing one pipeline. J. Energy Storage 2024, 98, 113156. [Google Scholar] [CrossRef]
  28. Guo, W.; Peng, Z. Hydropower system operation stability considering the coupling effect of water potential energy in surge tank and power grid. Renew. Energy 2019, 134, 846–861. [Google Scholar] [CrossRef]
  29. Peng, Z.; Guo, W. Saturation characteristics for stability of hydro-turbine governing system with surge tank. Renew. Energy 2019, 131, 318–332. [Google Scholar] [CrossRef]
  30. IEEE Working Group. Hydraulic turbine and turbine control models for system dynamic studies. IEEE Trans. Power Syst. 1992, 7, 167–179. [Google Scholar] [CrossRef]
  31. Liu, D.; Wang, X.; Peng, Y.; Zhang, H.; Xiao, Z.; Han, X.; Malik, O.P. Stability analysis of hydropower units under full operating conditions considering turbine nonlinearity. Renew. Energy 2020, 154, 723–742. [Google Scholar] [CrossRef]
Figure 1. Schematic diagram of three hydropower units with a common tailrace system.
Figure 1. Schematic diagram of three hydropower units with a common tailrace system.
Water 17 03262 g001
Figure 2. Stability domains of the three-unit shared tailrace system.
Figure 2. Stability domains of the three-unit shared tailrace system.
Water 17 03262 g002
Figure 3. Power response dynamic of each unit in the three-unit shared tailrace tunnel system under state points S1, S2 and S4.
Figure 3. Power response dynamic of each unit in the three-unit shared tailrace tunnel system under state points S1, S2 and S4.
Water 17 03262 g003
Figure 4. Power response dynamic of each unit in the three-unit shared tailrace tunnel system under state points S3, S4 and S5.
Figure 4. Power response dynamic of each unit in the three-unit shared tailrace tunnel system under state points S3, S4 and S5.
Water 17 03262 g004
Figure 5. Stable domains of Units 1, 2, and 3 under different control parameters.
Figure 5. Stable domains of Units 1, 2, and 3 under different control parameters.
Water 17 03262 g005
Figure 6. Stable domains of the three-unit shared tailrace system under different power output levels.
Figure 6. Stable domains of the three-unit shared tailrace system under different power output levels.
Water 17 03262 g006
Figure 7. Stable domain of the three-unit system under different power allocation schemes.
Figure 7. Stable domain of the three-unit system under different power allocation schemes.
Water 17 03262 g007
Table 1. Eigenvalues of the three-unit shared tailrace system.
Table 1. Eigenvalues of the three-unit shared tailrace system.
Mode NumberEigenvalueFrequency (Hz)Major Participants
λ 1 −4.05960.0 Δ x 3 , Δ y 3
λ 2 −4.04590.0 Δ x 2 , Δ y 2
λ 3 −4.04200.0 Δ x 1 , Δ y 1
λ 4 , λ 5 −0.7269 ± 0.48670.0775 Δ q t , 1 , Δ x 1
λ 6 , λ 7 −0.7245 ± 0.49650.0790 Δ q t , 2 , Δ x 2
λ 8 , λ 9 −0.7024 ± 0.50960.0811 Δ q t , 3 , Δ x 3
λ 10 , λ 11 −0.0028 ± 0.03090.0049 Δ z F , Δ q y
Table 2. Power allocation schemes for Units 1, 2 and 3 with a 0.3 pu power increase in the three-unit system.
Table 2. Power allocation schemes for Units 1, 2 and 3 with a 0.3 pu power increase in the three-unit system.
Unit 1 PowerUnit 2 PowerUnit 3 Power
Scheme 1 0.3 pu0.0 pu0.0 pu
Scheme 2 0.0 pu0.3 pu0.0 pu
Scheme 3 0.0 pu0.0 pu0.3 pu
Scheme 4 0.2 pu0.1 pu0.0 pu
Scheme 5 0.2 pu0.0 pu0.1 pu
Scheme 6 0.1 pu0.2 pu0.0 pu
Scheme 7 0.1 pu0.0 pu0.2 pu
Scheme 8 0.0 pu0.2 pu0.1 pu
Scheme 9 0.0 pu0.1 pu0.2 pu
Scheme 10 0.1 pu0.1 pu0.1 pu
Disclaimer/Publisher’s Note: The statements, opinions and data contained in all publications are solely those of the individual author(s) and contributor(s) and not of MDPI and/or the editor(s). MDPI and/or the editor(s) disclaim responsibility for any injury to people or property resulting from any ideas, methods, instructions or products referred to in the content.

Share and Cite

MDPI and ACS Style

Liu, D.; Xue, Y.; Lv, J.; Tan, X. Study on Operational Stability of the Hydro-Turbine Governing System for Three-Turbine Shared Tailwater Tunnel. Water 2025, 17, 3262. https://doi.org/10.3390/w17223262

AMA Style

Liu D, Xue Y, Lv J, Tan X. Study on Operational Stability of the Hydro-Turbine Governing System for Three-Turbine Shared Tailwater Tunnel. Water. 2025; 17(22):3262. https://doi.org/10.3390/w17223262

Chicago/Turabian Style

Liu, Dong, Yanbo Xue, Jiejie Lv, and Xiaoqiang Tan. 2025. "Study on Operational Stability of the Hydro-Turbine Governing System for Three-Turbine Shared Tailwater Tunnel" Water 17, no. 22: 3262. https://doi.org/10.3390/w17223262

APA Style

Liu, D., Xue, Y., Lv, J., & Tan, X. (2025). Study on Operational Stability of the Hydro-Turbine Governing System for Three-Turbine Shared Tailwater Tunnel. Water, 17(22), 3262. https://doi.org/10.3390/w17223262

Note that from the first issue of 2016, this journal uses article numbers instead of page numbers. See further details here.

Article Metrics

Back to TopTop