You are currently viewing a new version of our website. To view the old version click .
Water
  • Article
  • Open Access

29 September 2025

Occurrence, Distribution, and Ecological Risk Assessment of Antibiotics in Aqueous, Sediment, and Solid Waste of a Typical Island Province in China

,
,
,
,
and
1
Solid Waste and Chemicals Management Center, Ministry of Ecology and Environment of the People’s Republic of China, Beijing 100029, China
2
School of Chemical and Environmental Engineering, China University of Mining and Technology, Beijing 100083, China
*
Author to whom correspondence should be addressed.
This article belongs to the Section Water Quality and Contamination

Abstract

As one of the most important emerging contaminants, the increasing application and discharge of antibiotics have resulted in widespread public concerns due to their significant threat to various organisms, especially to human health. In this study, we collected the relevant published peer-reviewed articles investigating the occurrence, distribution, and environmental fates of antibiotics in a typical island province in China, followed by a statistical analysis, mainly including the categories and species, the concentration levels, and the ecological risk assessment of different antibiotics in various environmental media. As for the number of types of antibiotics, we found that, in the aqueous environment, there are more types of antibiotics detected in surface water and seawater, and those in the effluent of wastewater were fewer. In addition, antibiotics occurring in surface water sediment and solid waste were also noticed, even though the number of types was relatively lower than that in water matrices. As for the concentration levels, the fluoroquinolones, sulfonamides, macrolides, and tetracyclines were usually those with higher average concentrations and wider concentration ranges than the other classes, regardless of whether they were in aqueous or solid media. The concentrations of antibiotics in effluent and solid waste were significantly higher than those in other cases. Furthermore, the risk quotient method was also performed to assess the ecological risk of different antibiotics, mainly in surface water and seawater, and the similar categories presented significantly different risks in algae, invertebrates, or fish. This study provides a systematic management of antibiotic pollution and raises concern and support for the efficient treatment and disposal of antibiotics in future works and in life.

1. Introduction

With the escalating detection of a growing number of antibiotics in the environment, along with the possible resistant bacteria that pose a threat to human health, concerns regarding antibiotic contamination are gradually coming to the fore [1]. The potential antibiotic sources might encompass urban areas, aquaculture ponds, and agricultural fields with livestock compost [2]. Urban sewage treatment cannot completely remove these pollutants with the main biological processes, since most antibiotics are typically water-soluble and biologically resilient. Consequently, conventional sewage treatment plants constitute a typical point source that elevates antibiotic concentrations in rivers [3]. Estuarine and coastal environments are distinctive regions where land and ocean, freshwater, and saltwater interlink [4,5]. Estuarine and coastal environments can offer essential ecosystem services due to their unique geographical location [6]. The antibiotics released from aquaculture contaminate their aquatic environment, with approximately 10,000 tons of antibiotics used in worldwide aquaculture [7]. In addition, more than 40 antibiotics were identified in worldwide coastal waters [8]. The coastal regions suffered from a prominent ecological stress in water quality. Therefore, it is necessary to comprehensively understand the regional occurrence of typical antibiotics and the environmental risks of antibiotics in aquatic environments.
As one of the major aquaculture provinces, the typical island province in China stands out in coastal aquaculture and livestock farming in China. The escalating discharge of antibiotics into the surrounding aquatic environment poses a considerable threat to the province’s fishery and water environment. It is reported that antibiotic discharge is inevitable in different environmental matrices [9,10]. Despite extensive studies, comprehensive investigations regarding antibiotic residues in this typical island in China remain scarce, hindering a further understanding of their environmental distribution and related risks. Hence, it is important to carry out a comprehensive investigation into the occurrence of antibiotics.
This study aims to fill this knowledge gap through a review of antibiotic concentrations, mainly in water and sediments across the major waters. This study examined the literature published between 2013 and 2023 to collect data on antibiotic levels. Our study investigated the composition and concentration of target antibiotics in the main rivers and seawater. Moreover, this study calculated ecological risks. These results are helpful for the identification of antibiotics with significant environmental risks and the formulation of targeted control measures. This study can provide a theoretical basis for the systematic governance of environmental pollution and offers certain support for the ecological risk assessment of antibiotics in surface water.

2. Data Collection and Analysis

To obtain comprehensive information about the antibiotics occurring in various media, including the water environment (e.g., surface water, seawater, and effluent of wastewater in hospital, etc.), sediment environment (e.g., surface water sediment), and solid wastes (e.g., excrement, fertilizer, etc.), a literature survey was performed using the Web of Science and China National Knowledge Infrastructure to search for published articles written in English and Chinese, respectively. Then, 16 highly relevant published articles with relatively accurate and complete information, including the geographical location of the sampling site, as well as the corresponding concentration levels of all the detected antibiotics in each site, were finally selected for the subsequent statistical analysis [9,10,11,12,13,14,15,16,17,18,19,20,21,22,23,24].
The comprehensive statistical analysis procedures were mainly provided as follows:
(1) Firstly, as for each article, Google Earth was used to extract the geographic information of sites without coordinates based on related sampling maps. GetData Graph Digitizer (v2.26) was used to extract the data on concentrations without directly providing the related figures. ArcGIS (v10.8.1) was used for the visualization of sampling sites (Figure 1). Based on this, the key points mainly contain the concrete locations and geographical coordinates, types of source media, amounts of total sampling sites, amounts of detected sites for each antibiotic, and detected frequencies, and the concentration levels of each antibiotic (i.e., average, minimum, and maximum value) were recorded.
Figure 1. Sampling sites collected from the source references with geographical information. Administrative border region (gray outline), the main river and lake (light blue), and sampling locations (green circles).
(2) To estimate the environmental concentrations of each antibiotic in the different media, the weighted average concentrations of each antibiotic were calculated based on all the collected articles. In addition, the corresponding minimum and maximum values of each antibiotic were denoted as the lowest and highest concentrations of this antibiotic in all the articles, or those attributed to the specific environmental media. The weighted average concentration ( c w e i g h t e d ) of a single antibiotic was calculated using the following Equation (1):
c w e i g h t e d = c e a c h × n e a c h n t o t a l
where c e a c h , n e a c h , and n t o t a l represent the average concentration of the antibiotic in each reference, the number of sites where this antibiotic was detected in each reference, and the number of sites where this antibiotic was detected in all the references analyzed. All the concentrations in aqueous media, including surface water, seawater, and wastewater, are shown with the ng L−1 unit, while those in solid media, such as surface water sediment and solid waste, are shown with the ng g−1 unit.
(3) To further investigate and compare the occurrence and distribution of different classes of antibiotics in the same or different environmental media, all the antibiotics belonging to the same category were placed in one specific group. Then, the corresponding weighted averages, minimum, and maximum values of each type of antibiotic were also calculated and summarized.
(4) The risk quotient method (RQ) was selected to evaluate the ecological risk of different antibiotics with the measured environmental concentration (MEC) and predicted no-effect concentration (PNEC), as Equation (2) shows:
R Q = M E C P N E C
Due to multiple references being analyzed in this study, the maximum concentration of each antibiotic was selected to represent the MEC to consider the worst situation [11,14]. The PNEC values were also collected from the references, with source data involved in the ecological risk assessment [9,11,12,14,16]. To avoid false negatives in ecological risk assessment, the largest concentration of antibiotics and the lowest PNEC value among the different source data were chosen for the above calculation. The EU REACH guidance document states that, for a certain chemical substance, the PNEC value in water is derived based on the most sensitive biological group, aiming to protect the entire aquatic environment. However, the determination of the “most sensitive species” is limited by the available data, which may lead to doubts about the reliability of a single PNEC value. Using a single PNEC value may result in the omission of protection for a certain biological group, or may be overly conservative due to an overly low PNEC value. Therefore, in this study, we decided to follow the previous references and perform a screening-level preliminary risk ranking. The values for different organisms were also collected from the source references. The antibiotics with at least one PNEC value were considered to calculate the RQ and perform the visualization. The ecological risk was divided into four regions: nonsignificant risk (RQ < 0.01), low risk (0.01 < RQ < 0.1), medium risk (0.1 < RQ < 1), and high risk (RQ > 1) [9,11,12,14,16].

3. Results and Discussion

3.1. Category and Substance of Detected Antibiotics

Based on the collection and summary of all the selected references, a total of 10 categories and 69 types of antibiotics were detected (Figure 2a). Only one β-lactams (i.e., cefalexin, CEL) was detected in one reference related to surface water. A total of 11 different macrolides (MCLs), including leucomycin (LCM), super tylosin (STYL), erythromycin (ETM), clarithromycin (CTM), roxithromycin (RTM), natamycin (NAT), Tylosin (TYL), tilmicosin (TIL), dehydrated erythromycin (DETM), virginiamycin (VCM), and oleandomycin (OLE), were detected in both the aqueous and solid media, especially in surface water and seawater. Two diaminopyrimidines (DMs), including ormetoprim (OMP) and trimethoprim (TMP), were considered and detected mainly in surface water and seawater, especially for the TMP with a relatively larger concentration. Sulfonamides (SAs) were one of the most frequently detected antibiotics for this island. A total of 17 different Sas, including sulfapyridine (SPD), sulfacetamide (SCT), sulfameter (SM), sulfamethazine (SMZ), sulfadimethoxine (SDM), sulfisoxazole (SX), sulfamethoxazole (SMX), sulfamerazine (SMR), sulfamethythiadiazole (SMI), sulfamethoxypyridazine (SMP), sulfadimethoxypyrimidine (SDMP), sulfamonomethoxine (SMM), sulfaquinoxaline (SQX), sulfadoxine (SD), sulfachlorpyridazine (SCP), sulfadiazine (SDZ), and sulfathiazole (STZ), were detected in all the media, especially in the surface water, seawater, and surface water sediment. Only one echinomycin (i.e., carbadox, CAR) was detected in water and the sediment of surface water, as well as the seawater. Fluoroquinolones are also one of the significant contributors to the occurrence and distribution of antibiotics. There are 24 different fluoroquinolones (FQs), including orbifloxacin (ORB), pipemidic acid (PIPA), danofloxacin (DAN), oxolinic acid (OA), enrofloxacin (ENR), difloxacin (DIF), flumequine (FLU), fleroxacin (FLE), ciprofloxacin (CIP), gemifloxacin (GMF), gatifloxacin (GAT), lomefloxacin (LOM), marbofloxacin (MAR), moxifloxacin (MOX), nadifloxacin (NAD), nalidixic acid (NDA), norfloxacin (NOR), pefloxacin (PEF), sarafloxacin (SAR), sparfloxacin (SPA), tosufloxacin (TOS), cinoxate (CIN), ofloxacin (OFL), and enoxacin (ENO), that were detected in all the media. In addition, four different ionophores (IPs), including narasin (NAR), monesin (MON), novobiocin (NOV), and salinomycin (SAL), one lincomycin (LIN), three different chlorampheicols (CAPs), including florfenicol (FF), thiamphenicol (TAP), and chloramphenicol (CAP), and five different tetracyclines (TC), including doxycycline (DC), methacycline (MT), chlortetracycline (CTC), tetracycline (TC), and oxytetracycline (OTC), were detected. These four different categories of antibiotics occurred mainly in surface water, seawater, and surface water sediment.
Figure 2. (a) Numbers of types of antibiotics and (b) weighted average concentrations of different major categories of antibiotics in different media.

3.2. Occurrence and Distribution of Antibiotics in Different Media

A detailed discussion about the concrete concentration and distribution of various antibiotics in different environmental media is shown. The weighted average, minimum, and maximum concentrations of all the antibiotics are provided (Table 1, Table 2 and Table 3). The distribution of different antibiotics in the specific media is also visualized (Figure 2). All these environmental media could be separated into aqueous and solid ones.
Table 1. Weighted average concentrations of antibiotics in different media. The “-” indicates that there is no such data in the source references.
Table 2. Range of concentrations for antibiotics in different media. The “-” indicates that there is no such data in the source references. The n.d. indicates “not detected”.
Table 3. Weighted average concentrations of different major categories of antibiotics in different media. The “-” indicates that there is no such data in the source references.
As for the surface water, all 10 categories of antibiotics, with almost all the concrete substances (a total of 64 substances), were detected, except for OA, NAR, MON, NOV, and MT (Figure 2b and Figure 3a). In addition, most of the references are involved in the investigation of antibiotics occurring in surface water [9,11,12,13,14,15,16,17], indicating that the environmental concentration levels of antibiotics in surface water arouse much concern. In addition, for the β-lactams with a relatively higher concentration (60.78 ng L−1), the weighted average concentrations of SAs (50.95 ng L−1) and FQs (60.70 ng L−1) were also higher than those of the other antibiotic categories (TCs > CAPs > MCLs > DMs > LINs > EMs > IPs). As for the SAs, the weighted average concentration of SMX was the highest (199.74 ng L−1, with a corresponding concentration range from n.d. to 1070.40 ng L−1), which was significantly higher than all the other SAs. Similarly, OFL was also the FQ with the highest weighted average concentration (243.80 ng L−1, with a corresponding concentration range from n.d. to 18,020.92 ng L−1), and those of the other FQs were also lower than 100 ng L−1, and even most of these residual FQs were only lower than 20 ng L−1. In addition, the CTC in TCs also had a higher concentration (147.37 ng L−1), which should not be ignored.
Figure 3. Distribution of different categories of antibiotics in different media. (a) surface water, (b) seawater, (c) effluent, (d) surface water sediment, and (e) solid waste.
As for the seawater, there are nine categories of antibiotics, except for the β-lactams (a total of 48 substances), which were detected (Figure 3b) [10,12,14,18,21,22,23]. The concentrations, with an order of average concentration, are as follows: TCs > FQs > DMs > SAs > MCLs > CAPs > LINs > IPs > EMs. Therefore, the number of types of antibiotics was less than that of surface water. Among these antibiotics, the TCs, FQs, and DMs had the highest average concentration (34.43, 12.67, and 9.02 ng L−1, respectively) among all the 10 categories, in which CTC (28.82 ng L−1), ENO (76.55 ng L−1), and TMP (9.66 ng L−1) are the ones with the highest average concentrations. It should be noted that the average concentration of CTC was lower than the final weighted average concentration of TCs. This is caused by the introduction of a specific source reference, which only provides the concentration of TCs without identifying the concentration of specific substances. The maximum values of TCs, FQs, and DMs could reach 56.16, 216.96, and 69.71 ng L−1, which contributed to OTC, OFL, and TMP, respectively. This alerted us that the highest concentration and weighted average concentration in the same category could result from different antibiotics; thus, one should be more cautious when evaluating the pollution of different antibiotics.
Compared with the surface water and seawater, the investigation of wastewater effluent was significantly less (a total of six substances classed into two categories) (Figure 3c). Only one reference determined the SMZ, SMX, SMR, SDZ, CIP, and OFL in the effluent [20], of which the average concentrations were 430.00, 100.00, 180.00, 190.00, 1510.00, and 7283.00 ng L−1, respectively. Combining all the antibiotics in the same category, there are only two categories, including SAs and FQs, which were considered in the effluent; the former and latter possessed an average concentration equal to 244.54 and 4396.50 ng L−1, respectively. We noted that the average concentration of the same antibiotic in the effluent was much higher than that of surface water and seawater, with a magnitude of difference. In addition, there were wider ranges of detected concentrations for SMZ (50.00–910.00 ng L−1), CIP (150.00–4060.00 ng L−1), and OFL (30.00–19,570.00 ng L−1), respectively. The other three only had one data point for the concentration, including SMX (100 ng L−1), SMR (180 ng L−1), and SDZ (190 ng L−1). These antibiotics have relatively higher concentrations. It should also be stressed that this might lead to inevitable environmental risks without reasonable treatment and disposal.
In addition to the aqueous environmental media, the occurrence and distribution of antibiotics in solid media, including sediment and solid waste, were also a concern (Figure 3d). In this typical island, the surface water sediment was also an inevitable source of different categories of antibiotics [11,12]. There are eight different categories, including MCLs, DMs, SAs, EMs, FQs, IPs, LINs, and TCs (a total of 40 substances), which were detected in the related references, in which the averaged concentrations of TCs and FQs were the highest two species, equal to 93.85 and 63.32 ng g−1, respectively. Among these two categories, OTC (354.50 ng g−1) and OFL (359.46 ng g−1) are the ones with the highest average concentrations, respectively, followed by TC (81.09 ng g−1) and NOR (163.59 ng g−1). The detected concentration of OTC ranged from n.d. to 1840.30 ng g−1, and that of OFL ranged from n.d. to 2606.14 ng g−1, indicating that these higher-concentration antibiotics are supposed to be underlined. Moreover, as for the other six categories, the averaged concentrations were only less than 10 ng g−1, in the following order: MCLs > EMs > LINs > IPs > SAs > DMs. These categories were all obviously lower than the TCs and FQs.
As for the solid waste, only two references related to polluted organic fertilizer, pig manure, and chicken manure determined the concentration of antibiotics (Figure 3e) [19,24]. Combining all the references and analysis, four categories, including MCLs, SAs, FQs, and TCs, were detected (a total of 13 substances), with the averaged concentrations equal to 21.29, 148.45, 124.76, and 393.74 ng g−1, respectively. Among these categories, TYL (22.54 ng g−1), SMZ (196.00 ng g−1), DIF (199.00 ng g−1), and CTC (549.84 ng g−1) were considered, which held the highest average concentrations in the corresponding categories, respectively.
Briefly, the occurrence and distribution of antibiotics showed significant characteristics. As for the number of detected antibiotics, more antibiotics occurring in the aqueous media, especially for the surface water and seawater, were frequently detected. As a comparison, the number of antibiotics in the solid media, such as surface water sediment and solid waste, was lower. However, differently from the numbers, the concentrations of antibiotics in wastewater effluent and solid waste were found to be significantly higher than those in surface water, seawater, and surface water sediment, which is consistent with the more serious pollution caused by human activities such as medical care and the chemical industry.

3.3. Ecological Risk Assessment of Antibiotics

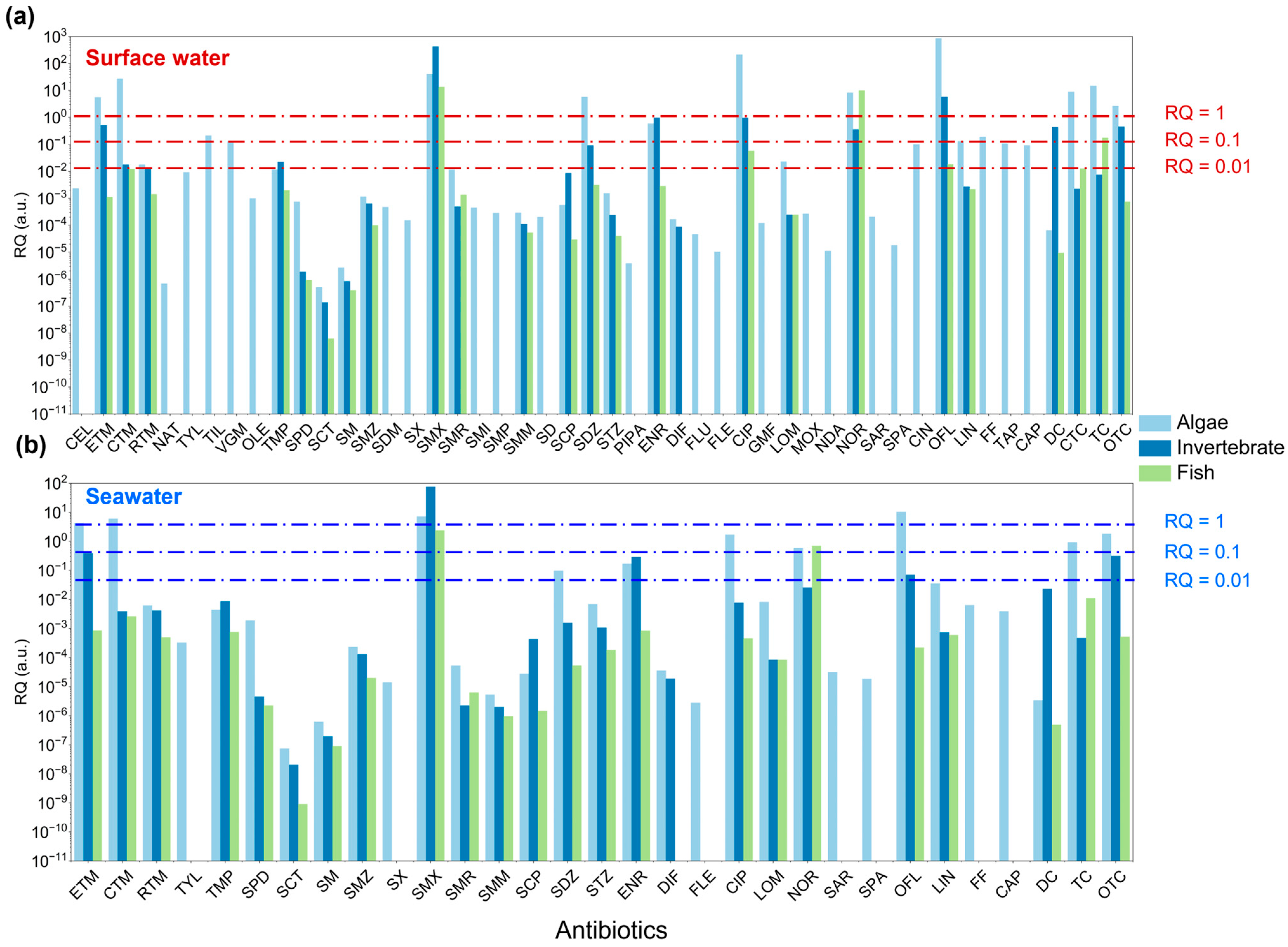
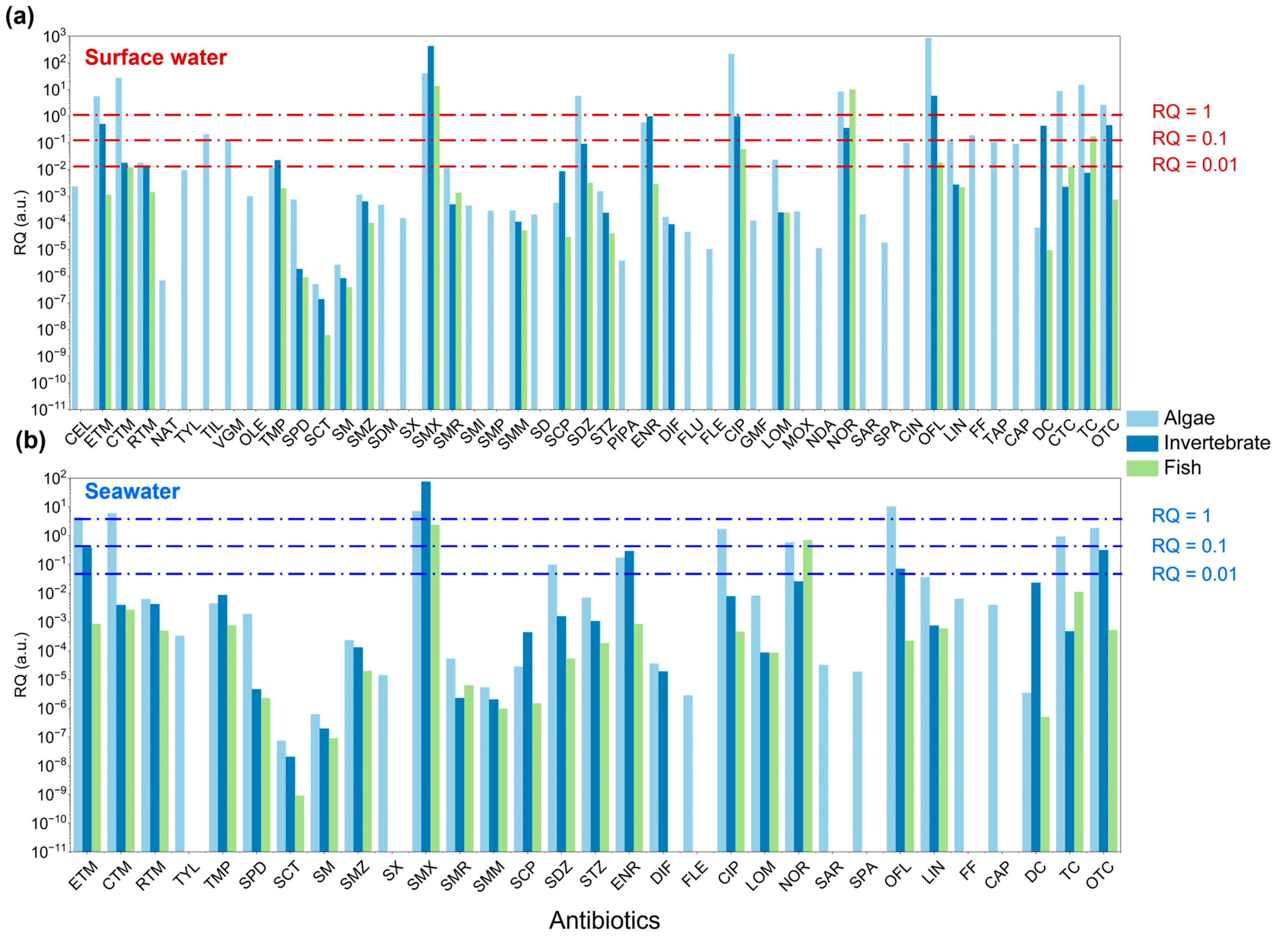
The PNEC values were provided in Table 4, which were used to calculate the RQ. Compared with the other environmental media, there are more antibiotics detected in surface water and seawater, and an ecological risk assessment was critical for predicting the threat of these pollutants to organisms (Figure 4). Luckily, we found that there are a considerable number of antibiotics that have almost no ecological risk (RQ < 0.01), while some of them had significantly low RQ values smaller than 0.001 or 0.0001, regardless of surface water and seawater, such as SPD, SCT, SMZ, SX, SMM, DIF, FLE, SAR, and SPA. In addition, as for the antibiotics with an inevitable ecological risk, there are plentiful antibiotics with a higher RQ value in surface water than in seawater, such as ETM, CTM, SMX, SDZ, ENR, CIP, NOR, OFL, DC, TC, and OTC, which is consistent with the relatively higher maximum concentrations. Among all the antibiotics in the two environmental media, some antibiotics showed higher ecological risks, such as SMX, OFL, and OTC.
Table 4. PNEC of all the antibiotics investigated in this study. The “-” indicates that there is no such data in the source references.
Figure 4. The average RQs of the antibiotics in the (a) surface water and (b) seawater.
In detail, as for the surface water, excluding the ones with an insignificant ecological risk (RQ < 0.01), there are several antibiotics with a low risk (0.01< RQ < 0.1), such as CTM in invertebrates and fish, RTM in algae and invertebrates, TMP in invertebrates, SDZ in invertebrates, CIP in fish, LOM in algae, OFL in fish, and CTC in fish. In addition, there are also some other cases holding a medium ecological risk (0.1 < RQ <1), including ETM in invertebrates, TIL in algae, ENR in algae and invertebrates, CIP in invertebrates, NOR in invertebrates, FF in algae, DC in invertebrates, TC in fish, and OTC in invertebrates. Moreover, as for the cases with a high ecological risk (RQ >1), the following antibiotics should be stressed: ETM in algae, CTM in algae, SMX in all three organisms, SDZ in algae, CIP in algae, NOR algae and fish, OFL in algae and invertebrates, CTC in algae, TC in algae, and OTC in algae. Combining all the research data, CTM, SMX, CIP, and OFL are underlined because of their high RQ values, sometimes larger than 10 or 100. These results indicate that the representative antibiotics of MCLs, SAs, and FQs are likely to pose serious ecological risks and threats.
In addition, compared with the surface water, both the number of antibiotics detected and the RQ values were lower. In the low-risk region, several antibiotics contributed to this group, such as SDZ in algae, NOR in invertebrates, OFL in invertebrates, LIN in algae, DC in invertebrates, and TC in fish. As for the medium-risk cases, there are also some examples, including ETM in invertebrates, ENR in algae and invertebrates, NOR in algae and fish, and OTC in invertebrates. Furthermore, there are fewer instances in seawater than in surface water related to the high-risk RQ values. In seawater, the ETM in algae, CTM in algae, SMX in all three organisms, CIP in algae, OFL in algae, and OTC in algae hold higher RQ values. One notable issue is that SMX, CIP, OFL, and OTC present a high risk both in surface water and seawater, suggesting their higher ecological risk in various aqueous environments.

4. Conclusions

In this study, ten different categories, including β-lactams, macrolides, diaminopyrimidines, sulfonamides, echinomycins, fluoroquinolones, ionophores, lincosamides, chloramphenicols, and tetracyclines, were detected in different media. The concentrations of fluoroquinolones, sulfonamides, macrolides, and tetracyclines usually had higher concentrations and wider ranges of concentrations than the other categories. The concentrations of the same class of antibiotics in effluent and solid waste were usually higher than those in surface water, seawater, and surface water sediment, even if the number of antibiotics detected was often lower. As for the ecological risk assessment, despite most of the antibiotics presenting the inevitable risk quotient values, some typical antibiotics belonging to the fluoroquinolones, sulfonamides, macrolides, and tetracyclines could also pose higher risks in algae, invertebrates, or fish. This study provides a comprehensive overview and evaluation of the environmental concentrations and risks of antibiotics, distinguishes and compares the specific distribution of similar antibiotics in various environmental media, and identifies the need for attention to the inevitable threat to organisms. The conclusions could be an important reference for evaluating the environmental behaviors and ultimate fates of emerging contaminants in future works.

Author Contributions

G.L.: investigation, data curation, writing—original draft preparation; M.D.: conceptualization, writing—original draft preparation; H.L.: formal analysis, writing—original draft preparation; L.L.: methodology, writing—original draft preparation; P.H.: writing—review and editing; X.P.: supervision, writing—review and editing. All authors have read and agreed to the published version of the manuscript.

Funding

This work was supported by the Key Research and Development Program of Hainan Province (No. ZDYF2023SHFZ171).

Data Availability Statement

The original contributions presented in the study are included in the article; further inquiries can be directed to the corresponding author.

Conflicts of Interest

The authors declare no conflicts of interest.

References

  1. Chang, D.; Mao, Y.; Qiu, W.; Wu, Y.; Cai, B. The Source and Distribution of Tetracycline Antibiotics in China: A Review. Toxics 2023, 11, 214. [Google Scholar] [CrossRef] [PubMed]
  2. Singh, A.; Pratap, S.G.; Raj, A. Occurrence and dissemination of antibiotics and antibiotic resistance in aquatic environment and its ecological implications: A review. Environ. Sci. Pollut. Res. 2024, 31, 47505–47529. [Google Scholar] [CrossRef] [PubMed]
  3. Wang, J.; Chu, L.; Wojnárovits, L.; Takács, E. Occurrence and fate of antibiotics, antibiotic resistant genes (ARGs) and antibiotic resistant bacteria (ARB) in municipal wastewater treatment plant: An overview. Sci. Total Environ. 2020, 744, 140997. [Google Scholar] [CrossRef] [PubMed]
  4. Maghsodian, Z.; Sanati, A.M.; Mashifana, T.; Sillanpää, M.; Feng, S.; Nhat, T.; Ramavandi, B. Occurrence and Distribution of Antibiotics in the Water, Sediment, and Biota of Freshwater and Marine Environments: A Review. Antibiotics 2022, 11, 1461. [Google Scholar] [CrossRef] [PubMed]
  5. Ward, N.D.; Megonigal, J.P.; Bond-Lamberty, B.; Bailey, V.L.; Butman, D.; Canuel, E.A.; Diefenderfer, H.; Ganju, N.K.; Goñi, M.A.; Graham, E.B.; et al. Representing the function and sensitivity of coastal interfaces in Earth system models. Nat. Commun. 2020, 11, 2458. [Google Scholar] [CrossRef] [PubMed]
  6. Shields, M.R.; Bianchi, T.S.; Mohrig, D.; Hutchings, J.A.; Kenney, W.F.; Kolker, A.S.; Curtis, J.H. Carbon storage in the Mississippi River delta enhanced by environmental engineering. Nat. Geosci. 2017, 10, 846–851. [Google Scholar] [CrossRef]
  7. Schar, D.; Klein, E.Y.; Laxminarayan, R.; Gilbert, M.; Van Boeckel, T.P. Global trends in antimicrobial use in aquaculture. Sci. Rep. 2020, 10, 21878. [Google Scholar] [CrossRef] [PubMed]
  8. Han, Q.F.; Zhang, X.R.; Xu, X.Y.; Wang, X.L.; Yuan, X.Z.; Ding, Z.J.; Zhao, S.; Wang, S.G. Antibiotics in marine aquaculture farms surrounding Laizhou Bay, Bohai Sea: Distribution characteristics considering various culture modes and organism species. Sci. Total Environ. 2021, 760, 143863. [Google Scholar] [CrossRef] [PubMed]
  9. Huang, D.-Y.; Wu, Y.; Jiang, Y.-J.; Zhang, M.-S.; Cheng, L.; He, S.-H.; Chen, B.-J. Rapid determination, pollution characteristics and risk evaluations of antibiotics in drinking water sources of Hainan, China. Chin. J. Anal. Chem. 2022, 50, 100164. [Google Scholar] [CrossRef]
  10. Qin, Y.; Ren, X.; Ju, H.; Zhang, Y.; Liu, J.; Zhang, J.; Diao, X. Occurrence and Distribution of Antibiotics in a Tropical Mariculture Area of Hainan, China: Implications for Risk Assessment and Management. Toxics 2023, 11, 421. [Google Scholar] [CrossRef]
  11. Yao, L.J.; Mo, L.; Zhuang, X.; Qin, R.X.; Cai, F.S.; Tang, B.; Wang, J.L.; Zheng, J. Residual and risk assessment of antibiotics in water and sediments of typical drinking water sources in Hainan Province. Asian J. Ecotoxicol. 2022, 17, 349–361. [Google Scholar]
  12. Huang, Y.H. Characteristics and ecological risk assessment of PPCPs’ pollution in the urban and offshore waterbody of Haikou city. Ph.D. Thesis, Hainan University, Haikou, China, June 2020. [Google Scholar]
  13. Xu, H.; Xiao, X.B.; Tang, W.H.; Ge, C.J.; Yang, Y. Concentration Characteristics of Antibiotics in Urban Aquatic Environment of Haikou. Environ. Sci. Technol. 2013, 36, 60–65. [Google Scholar]
  14. Ren, B.N.; Geng, J. Occurrence, Distribution, and Ecological Risk Assessment of Pharmaceutical and Personal Care Products in the Aquatic Environmental of Sanya City, China. Environ. Sci. 2021, 42, 4717–4726. [Google Scholar] [CrossRef]
  15. Zhao, G.J.; Han, L.N.; Li, Z.H.; Zhu, H.; Tong, Y.N. Study on Use and Residual Status of Antibiotics in Tilapia Culture in Wenchang Area. Mod. Agric. Sci. Technol. 2022, 24, 153–155+163. [Google Scholar]
  16. Mei, M.H. Pollution Characteristics and Ecological Risk Assessment of Antibiotics in Rivers and Lakes in Northern Haikou City. Master’s Thesis, Hainan Normal University, Haikou, China, May 2023. [Google Scholar]
  17. Wei, G.K. Research on the Occurrence Characteristics of Antibiotics and Antibiotic Resistance Genes in Typical River Water and Sediments of Hainan Island. Master’s Thesis, Hainan Tropical Ocean University, Haikou, China, May 2023. [Google Scholar]
  18. Zeng, R.H.; Qi, Z.; Zhang, T.Y.; Gong, Y.; Zhang, Q.Z.; Wang, H.H.; Diao, X.P. Characteristics of antibiotic pollution and ecological risk assessment in eastern Mariculture area of Hainan Province. J. Trop. Biol. 2021, 12, 41–48. [Google Scholar] [CrossRef]
  19. Zhao, W.; Pan, Y.Z.; Lan, T.; Lan, T.; Wu, Z.P.; Zhang, L.L.; Zhu, Z.Q.; Wu, W.D. Analysis of heavy metals and antibiotics content in Hainan commercial organic fertilizers. Environ. Chem. 2017, 36, 408–419. [Google Scholar]
  20. Xiao, X.B. Comparison of Effects of Antibiotics Removed by Typical Hospital Wastewater Treatment Processes in Haikou and Research on Antibiotics Adsorption Simulation Experiment. Master’s Thesis, Hainan University, Haikou, China, June 2014. [Google Scholar]
  21. Zhang, T.Y. UPLC-MS-MS-Based Simultaneous Determination of 23 Antibiotics in Seawater Samples and Its Application. Master’s Thesis, Hainan University, Haikou, China, October 2019. [Google Scholar]
  22. Zeng, R.H. Distribution Characteristics of Antibiotic Resistance Genes and Microbial Community Diversity in Lagoon Culture Areas in Southeastern Hainan Province. Master’s Thesis, Hainan University, Haikou, China, May 2021. [Google Scholar]
  23. Ruan, S.L. Spatial and Temporal Distribution of Antibiotic Resistance Genes and Its Influencing Factors in a Typical Mangrove Area of Dongzhai Harbor, Hainan. Master’s Thesis, Hainan University, Haikou, China, May 2018. [Google Scholar]
  24. Yao, Q.; Gao, L.L.; Jiang, Y.L.; Yang, Y.H.; Wang, X.M. Distribution Characteristic of Tetracycline and Macrolide Antibiotics Contents in Swine and Chook Manures of Hainan Province. Nat. Sci. J. Hainan Univ. 2017, 35, 152–158. [Google Scholar]
Disclaimer/Publisher’s Note: The statements, opinions and data contained in all publications are solely those of the individual author(s) and contributor(s) and not of MDPI and/or the editor(s). MDPI and/or the editor(s) disclaim responsibility for any injury to people or property resulting from any ideas, methods, instructions or products referred to in the content.

Article Metrics

Citations

Article Access Statistics

Multiple requests from the same IP address are counted as one view.