Abstract
This study investigates electrodialysis (ED) performance for desalination and concentration of monovalent salts (NaCl, NH4Cl, KCl, and NaNO3) at varying mass concentrations. Systematic comparisons of current efficiency (η), energy consumption, water loss, desalination rate ηsalt, and other key parameters reveal salt-specific behaviors and process determinants. Experimental results show distinct performance hierarchies across operational phases. In the 1% desalination phase, KCl achieved optimal performance with 95.3% salt removal, a dilute η of 99.96%, a production capacity (Q) of 54.95 L/(h·m2), and a unit energy consumption (Eu) of 3.24 kWh/t. This performance outshone that of NaCl (ηsalt = 95.2%) and NaNO3 (ηsalt = 89.5%), with NH4Cl showing the lowest value (80.6%) in this phase. This trend inversely correlated with cation hydration energies. On the other hand, in the 3% concentration phase, NH4Cl demonstrated superior performance with a concentrate η of 83.49%, a flux of 35.71 L/(h·m2), and the lowest Eu (5.30 kWh/t), despite a lower concentration factor (5.33) than NaNO3 (6.48). These findings highlight that KCl is ideal for energy-efficient brine treatment (<3% salinity), while NH4Cl is better suited to high-purity recovery. Although NaNO3 has a high Eu during concentration, it is favorable for applications where minimizing energy usage is critical.
1. Introduction
Rapid industrialization in China has led to a significant increase in high-salt wastewater generation, with annual volumes exceeding 300 million m3 [1,2,3]. This wastewater primarily comes from industries like chemical manufacturing, pharmaceuticals, food processing, electroplating, and coal chemicals [4,5,6,7]. These effluents typically contain complex salt compositions, comprising both monovalent (e.g., Na+, K+, Cl−) and polyvalent ions such as SO42− [8]. They are typically hard, intensely colored, and difficult to biodegrade. When discharged without proper treatment, they pose significant threats to both environmental sustainability and human health, while simultaneously causing a significant loss of valuable resources [9,10,11]. Consequently, there is growing interest in developing effective and sustainable strategies for treating high-salinity wastewater while recovering inorganic resources [8].
Current technologies for treating high-salinity wastewater encompass nanofiltration (NF), reverse osmosis (RO), membrane distillation, electrodialysis (ED), multi-stage flash distillation, and conventional biological processes. However, many conventional methods suffer from significant drawbacks, such as operational complexity, secondary pollution risks, and high costs, often resulting in unsatisfactory overall treatment outcomes [12,13]. In contrast, ED provides an energy-efficient alternative for high-salinity wastewater treatment, enabling selective desalination and sustainable resource recovery [14,15].
By driving ion migration across ion-exchange membranes (IEMs) under electric fields, ED simultaneously produces desalinated water and concentrated brine streams [16,17,18]. It has been extensively implemented across key industries, such as rare-earth refining, coal chemical processing, lithium extraction and recovery, and high-salinity seawater treatment, demonstrating remarkable adaptability to complex ionic environments [19,20,21]. For instance, Hu et al. [22] achieved a 10–12% concentration of ammonium chloride (NH4Cl) from rare-earth wastewater, reducing the residual salt content to ~10%. Zhao et al. [23] optimized ED for coal chemical wastewater, identifying the ideal voltage, flow rate, and feed velocity to concentrate NH4Cl to 1.85 mol/L (90.40 wt.%) and achieve ~20% total salinity, significantly enhancing resource recovery. Xing et al. [24] applied ED for lithium extraction, attaining Li+ concentrations > 18 g/L, with feed concentration critically influencing LiCl enrichment efficiency.
Monovalent salts, primarily composed of sodium, potassium, and chloride ions, generally exhibit relatively simpler chemical profiles, with negligible amounts of complex metal ions or other polyvalent species. ED stands as a pivotal membrane technology for recovering monovalent salts from hypersaline wastewater, offering distinct advantages in energy efficiency and resource valorization. A prime example is the extraction of high-purity NaCl from complex brine streams [8]. Further, Sun et al. achieved 90.6% current efficiency (η) and an energy consumption of 0.91 kWh/kg NaCl using TWEDC1/TWEDA1 membranes to recover 15% (w/w) NaCl from anion exchange spent brine containing humic substances. Optimizing the volume ratio (Vc,0/Vd,0 = 1:4), enabled direct resin regeneration reuse [25]. Liu et al. proposed a novel NF-ED hybrid system, which attained a NaCl concentration of 160 g/L with 70% recovery within 5 h under 15 V, thereby establishing new benchmarks for brine resource extraction [17]. Melnikov et al. analyzed ion and water transport mechanisms during the ED processing of monovalent salts (NaCl, LiCl, NH4NO3) and acids. Their two-stage bipolar electrodialysis (BMED)–electrodialyzer concentrator (EDC) process produced high-purity sulfuric acid (1.16 M SO42−, Na+ < 0.005 M) at 2 A/dm2, achieving 89% BMED η with an energy consumption of 0.83 kWh/mol SO42−, a performance rivaling industrial systems [26].
Selective electrodialysis (SED), which employs monovalent selective IEMs, has emerged as a promising technique for effectively separating monovalent from divalent ions [27]. Unlike conventional IEMs, these monovalent selective membranes exhibit high permeability to monovalent ions while simultaneously restricting the passage of divalent ions [28]. SED has demonstrated superior salt separation efficiency and concentration capabilities in numerous studies [29].
Despite these technological advancements in ED, systematic comparation of different monovalent salts remains inadequate. As previous research has demonstrated [30], monovalent ions exhibit higher mobility than their divalent counterparts under equivalent electric field conditions. Furthermore, based on the ion transport mechanisms in ED, monovalent ions with different hydrated radii exhibit distinct performance due to differential electromigration behaviors. This disparity requires separate optimization protocols for monovalent systems, which was the core objective of our work.
Here, we present a mechanistic comparison of four industrially prevalent monovalent salts (NaCl, KCl, NH4Cl, NaNO3), focusing on their simultaneous desalination–concentration dynamics. These selected salts are representative of commonly encountered inorganic monovalent salts in industry. This comparative approach allows for a systematic evaluation of the contrasting behaviors between chlorides and nitrate during desalination and concentration processes. By establishing frameworks for optimizing operational parameters, the findings provide valuable insights for scaling ED technologies in industrial hypersaline wastewater management.
2. Materials and Methods
2.1. Experimental Setup and Reagents
A lab-scale ED stack (TWED-2-10, Shandong Tianwei Membrane Technology Co., Ltd., Weifang, China) was utilized, equipped with homogeneous cation-exchange membranes (CEM: C1S70H) and anion-exchange membranes (AEM: AIR70H). Key membrane properties are summarized in Supplementary Table S1. The membranes exhibit high transport numbers (>0.98), confirming excellent permselectivity. Their low area resistance and controlled water content (15–20 wt%) suggest inherent anti-fouling potential, while the specified operating temperature range ensures stability under experimental conditions. The assembly featured a dual-compartment configuration consisting of 10 membrane pairs. Each membrane possessed an effective area of 0.0084 m2 with the flow rate of the electrode solution of 6 cm/s. Prior to assembly, ten AEMs and eleven CEMs were soaked in water. These membranes subsequently separated the concentration and dilution compartments, respectively, before the membrane stack was put together. The experimental setup and separation mechanism of ED are illustrated in Figure 1 [31].
Figure 1.
The experimental setup and the diagram of the separation mechanism.
Sodium chloride (NaCl, purity ≥ 99.5%, CAS 7647-14-5), sodium nitrate (NaNO3, ≥99.0%, CAS 7631-99-4), ammonium chloride (NH4Cl, ≥99.8%, CAS 12125-02-9), and potassium chloride (KCl, ≥99.0%, CAS 7447-40-7), as well as anhydrous sodium sulfate (Na2SO4, ≥99.0%, CAS 7757-82-6), were obtained from Sinopharm Chemical Reagent Co. Ltd. (Shanghai, China).
The experimental protocol comprised two main phases: an initial calibration phase and a subsequent desalination–concentration experiments. First, the polar plate voltage across varying electrolyte solutions was measured to determine its current–voltage characteristics. Following this, systematic desalination experiments were conducted using 1% (w/w) salt solutions, followed by concentration trials employing 3% (w/w) solutions to evaluate system performance across different operational modes. It is important to note that prolonged operation of electrodialysis membranes can lead to a decrease in current. A sharp drop in current may signal severe membrane fouling. This can often be further confirmed by observing an increased migration number or higher resistance. In such cases, membrane cleaning or replacing becomes required.
2.2. Measurement of Polar Plate Voltage
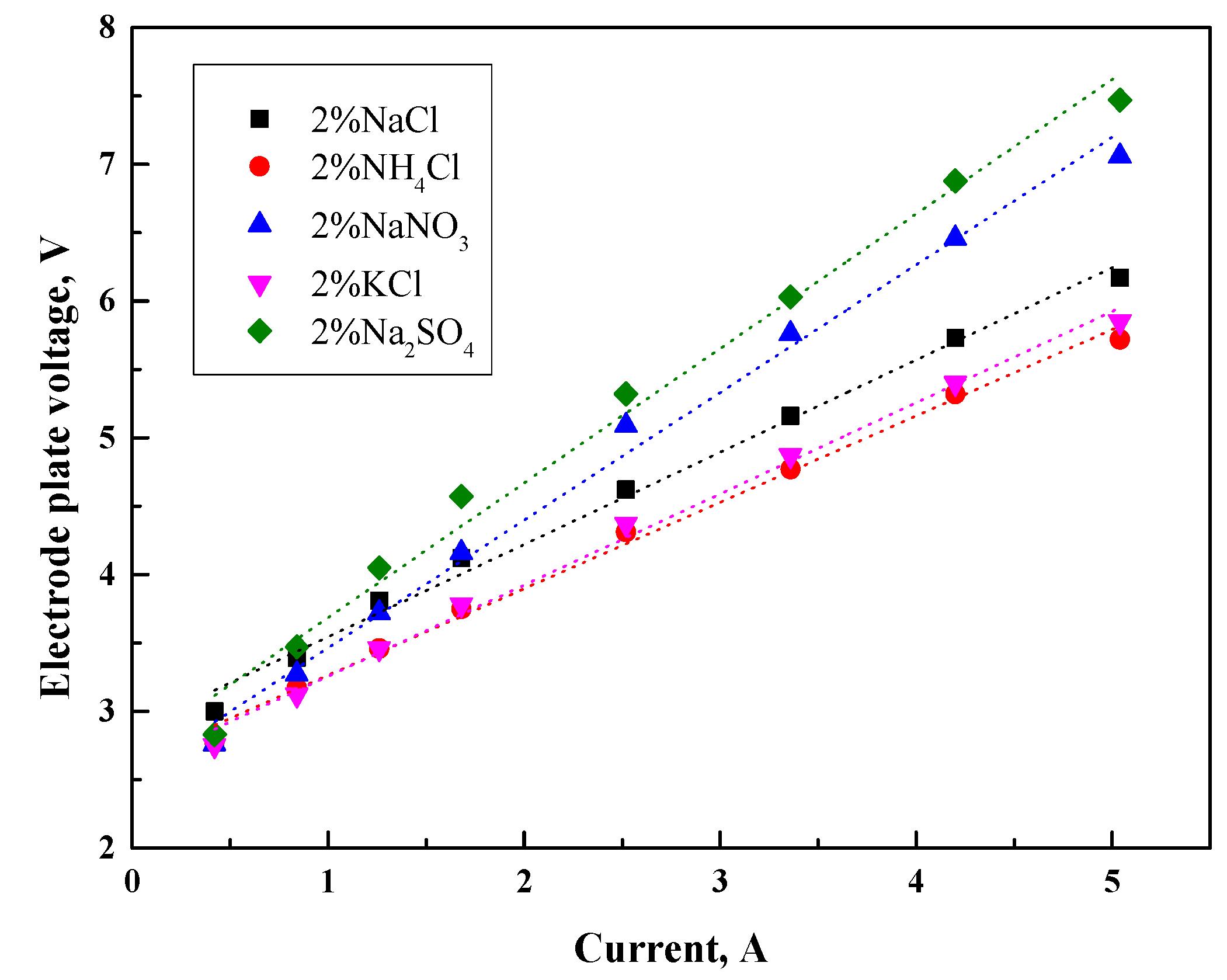
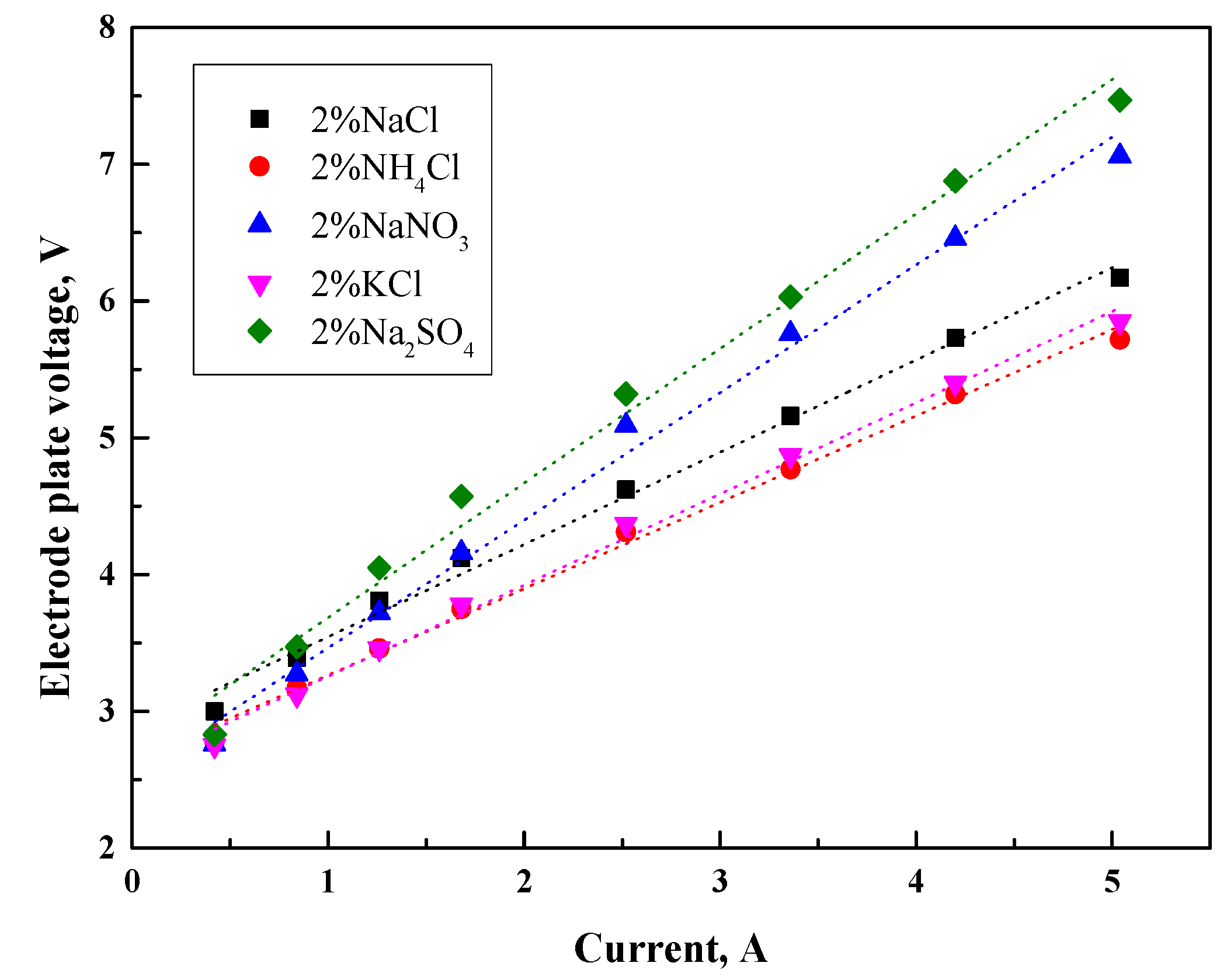
Prior to conducting desalination–concentration experiments, electrolyte solutions with varying mass concentrations were prepared, including 2% (w/w) NaCl, 2% NaNO3, 2% NH4Cl, 2% KCl, and 2% Na2SO4. The electrode plate voltage of each solution was systematically measured under standardized conditions.
The flow rate in the alkaline chamber was adjusted to 20 L/h. Subsequently, the stability of the electrodialysis system was confirmed. The current was then adjusted to 0.42 A, 0.84 A, 1.26 A, 1.68 A, 2.52 A, 3.36 A, 4.20 A, and 5.04 A, respectively, with corresponding voltages recorded at each setting.
2.3. Desalination Experiment
Four 1% (w/w) salts were prepared, using a fresh-to-concentrate feed ratio of 4:1 (5 L: 1.25 L). The electrode chambers each contained 1 L of 2% (w/w) electrolyte: Na2SO4 for chloride-based salts (NaCl/KCl/NH4Cl), and NaNO3 for the nitrate system (NaNO3). Continuous operation was implemented at controlled flow rates—40 L/h for alkaline/acidic chambers and 20 L/h for the electrode chamber—with a fixed applied voltage of 14 V. As Banasiak et al. demonstrated, increasing the applied voltage can shorten desalination duration to achieve the 500 mg/L NaCl drinking water threshold. Therefore, effective electrodialysis desalination requires sufficient current density across the membrane stack to drive ion migration [32].
System integrity was assessed through checks for external leakage and water crossover. Subsequently, time series monitoring tracked compartmental volume variations, current fluctuations, voltage stability, and electrical conductivity. Data were recorded once steady-state operation was achieved. The experiment was terminated when the electrical conductivity of the dilute chamber dropped below 1 mS/cm. If the current exceeded 3.3 A, it was adjusted down to 3.3 A and held constant.
2.4. Concentration Experiment
Four 3% (w/w) salts were prepared for a systematic concentration experiment. The concentrated chamber received continuous feed input, while the operational parameters maintained a fresh-to-concentrate volume ratio of 20:1 (4 L:0.2 L). The electrode compartment contained 1 L of 2% (w/w) electrolyte—Na2SO4 for NaCl/KCl/NH4Cl, and NaNO3 for NaNO3—consistent with the previous setup.
The experiment was conducted under the same conditions as the desalination experiment, terminating when the conductivity in the concentration chamber began to decline.
2.5. Evaluation of Operational Performance
2.5.1. Salt Concentration
Table 1 presents the conductivity (mS/cm) of four salt solutions at varying mass concentrations (w/w) [20]. For the given electrolytes, the concentration is expressed as a mass percentage, determined via interpolation.
Table 1.
The correspondence between salt concentration and conductivity.
2.5.2. Current Density
The current density (J), measured in A/m2, can be calculated using Equation (1).
Here, I denotes the applied electric current during ED, the magnitude of which directly influences ionic migration kinetics, A. Higher value enhances ion transport rates but may induce polarization phenomena, thus requiring optimization for process efficiency. The effective membrane area (0.7 m × 0.12 m = 0.084 m2) defines the operational scale, with all flux parameters normalized to this dimension.
2.5.3. Stack Voltage and Membrane Pair Voltage
Stack voltage (Vs), measured in V, is the total voltage applied across the ED process to drive ion transport through ion-exchange membranes, enabling solution concentration or desalination. In contrast, membrane pair voltage (Vc), measured in V, refers specifically to the voltage drop across a single membrane pair. Both are quantitatively described by Equation (2).
where Vt represents the total voltage applied to the membrane stack, V. ‘a’ and ‘b’ are determined coefficients used to describe the linear relationship between current and voltage. 10 is the number of membrane pairs.
2.5.4. Energy Consumption
Energy consumption is a critical techno-economic indicator in the ED process [27], quantifying the electrical energy required per unit of salt removal [33,34]. Two operational metrics were evaluated: Segmented energy consumption (Es), measured in Wh, represents the time-averaged energy demand during steady-state ED operation, reflecting process efficiency. Cumulative energy consumption (Et), also measured in Wh, denotes the total energy consumed from system initiation up to designated operational milestones. These parameters are mathematically calculated using Equations (3) and (4).
where Pn and Pn−1 represent power at any two different time points, W. is the time difference between any two time points, min.
Unit energy consumption (Eu), also referred to as production energy consumption, quantifies the energy required to treat a unit mass of salt solution, kWh/t.
2.5.5. Current Efficiency (η)
This parameter quantifies the proportion of applied current that is effectively utilized for ionic migration. It directly reflects the effective utilization rate of electrical energy during ion-selective transport, as calculated by:
where C0 and Ct represent the concentrations of each monovalent salt at the initial and terminal stages of the experiment, respectively, g/L; V0 and Vt denote the solution volumes corresponding to C0 and Ct, L; M is the molar mass of each monovalent salt, g/mol and is the change in the number of moles. 96,485 is the Faraday constant, approximating the charge per mole of electrons, C/mol. 1 indicates the ionic valency of the salt. Qt is the cumulative electric charge, C.
2.5.6. Unit Production Capacity (Q)
Measured in L/(h·m2), this parameter represents the water throughput normalized per unit membrane area while maintaining the target salinity thresholds. It serves as a critical techno-economic parameter for ED system design and is calculated by
where Vdilute chamber,0 represents the volume of the dilute chamber at the beginning of the experiment, L; t is the total duration of the experiment, min.
2.5.7. Desalination Rate (ηsalt)
The desalination rate, expressed as a percentage (%), indicates the proportion of salt removed from the feed water and is calculated by Equation (7).
where and represent, respectively, the concentration of monovalent salts before desalination and after desalination, g/L, which are calculated based on Table 1.
3. Results and Discussion
3.1. Calculation of the Plate Voltage
Real-time monitoring of the voltage–current relationship allows for a quantitative assessment of electric field dynamics and ionic migration patterns during ED. Furthermore, key performance indicators such as ηsalt and η can be derived from this data. These parameters are crucial for evaluating the performance of the ED unit in concentrating and diluting monovalent salts.
Linear regression analysis of the current–voltage characteristics shown in Figure 2 reveals Ohmic behavior in the investigated electrolytes. The analysis, summarized in Table 2, yields near-perfect correlations (R2 > 0.99) for all systems, clearly demonstrating a strong linear relationship between current and electrode plate voltage. This consistent and robust linearity (R2 > 0.99) observed for the four monovalent salts validates stable ion transport processes at concentration below the 3% thresholds, thereby suggesting suitable operational ranges for energy-efficient monovalent salt separation [35].
Figure 2.
Linear relationship between the current and electrode plate voltage.
Table 2.
The statistical parameters and equations fitted for each salt solution.
3.2. Comparative Analysis of Time-Dependent Desalination/Concentration Efficiencies
3.2.1. Current Density J
Figure 3 illustrates the temporal variation in J during the ED of various monovalent salt with error bars. The results indicate that for each monovalent salt system, the SD remained within 0.86%~1.58% during desalination phase, and 0.37%~1.18% during concentration phase, reflecting stable data reproducibility. During desalination phase, the values for all four salts first exhibited an initial increase to a peak value, followed by a gradual decline over the experimental duration. Notably, NH4Cl yielded the highest J, reaching a maximum of 323.8 A/m2 around 10 min into the process. This can be attributed to the superior ionic conductivity of NH4Cl solution, which facilitates a higher ion migration rate in the initial stages, thereby resulting in a larger current density. As the ion concentration in the dilute chamber diminishes, the driving force for ion migration weakens, leading to a decrease in J [23]. In summary, the current densities were ranked as follows: NH4Cl > KCl > NaCl> NaNO3. Except NaCl, the remaining three salts achieved their peak current densities around the 10 min mark.
Figure 3.
Temporal evolution of J during electrodialysis with error bars. Error bars represent ± standard deviation (SD) from triplicate experiments (n = 3). (a) Desalination phase. (b) Concentration phase.
In the concentration phase, the J for each salt initially rose to a maximum and then maintained a relatively stable value between 20 and 60 min before decreasing gradually. The current densities for NaCl, KCl, and NH4Cl were comparable throughout the 80 min duration, whereas NaNO3 exhibited consistently lower values. This discrepancy may be influenced by the molecular structure of NaNO3, which is associated with a reduced ion migration rate.
3.2.2. Power Variation
Figure 4 illustrates the temporal variation in four monovalent salts. During the desalination phase, power initially increased and then decreased over time, showing a trend similar with that of current density. Specifically, within the first 40 min, the power of ammonium chloride was significantly higher than that of the other salts, and then it rapidly decreased. The power of sodium chloride and potassium chloride were similar, while the power of sodium nitrate remained at the lowest level throughout the process.
Figure 4.
Temporal evolution of power during ED process with error bars. Error bars represent ± SD from triplicate experiments (n = 3). (a) Desalination phase. (b) Concentration phase.
In the early stage of desalination, the ammonium ions (NH4+) and chloride ions (Cl−) in the ammonium chloride solution migrated faster under the electric field, leading to an increase in both current density and power. As the process continued, ammonium ions reacted with hydroxide ions (OH−) in water, possibly forming ammonia gas (NH3) or aqueous ammonia (NH3(aq)). This chemical reaction led to a decrease in ion concentration and a slowdown in the ion migration rate, resulting in a rapid decrease in power. In terms of the rate of change, ammonium chloride and potassium chloride showed a faster decline.
During the concentration phase, the power for all monovalent salts remained above 10 W. The power of NH4Cl dropped to the lowest value, around 15 W, while the power for the other three salts remained relatively close. Under high salt concentration conditions, the ion migration rate is influenced by both the concentration gradient and the electric field strength. For NH4Cl, the reaction between ammonium ions and water molecules or hydroxide ions reduced the effective concentration of migrating ions, leading to a decrease in power.
3.2.3. Energy Consumption
Figure 5 illustrates the temporal variations in Es and Et with error bars. The SD remained within 1.0%~6.8%, reflecting the relative stability of data. Figure 5a depicts the desalination phase for four monovalent salts at 1% concentration, while Figure 5b presents the concentration phase at 3% concentration.
Figure 5.
Temporal evolution of energy consumption during ED process with error bars. Error bars represent ± SD from triplicate experiments (n = 3). (a) Desalination phase. (b) Concentration phase.
As shown in Figure 5a, all four monovalent salts exhibited a progressive decrease in Es throughout the desalination process. During the initial desalination phase, NH4Cl exhibited the highest initial average Es of 3.77 Wh, coupled with the most rapid decline rate. Correspondingly, NH4Cl also displayed the highest Et value, a phenomenon potentially attributable to supplementary energy expenditure from hydrolysis reactions. The subsequent Es showed NaCl and KCl occupying intermediate positions, with NaNO3 exhibiting the lowest Et value. Notably, NaNO3 maintained the lowest Es values throughout the process, manifested the slowest rate of decline, and ultimately achieved the most favorable total energy consumption among the four salts.
In the concentration experiment, some fluctuations in the Es of KCl were observed, possibly due to operational variations. Overall, the Es of NaNO3 was relatively high, initially increasing and then decreasing, which was the opposite of the trend observed in sodium chloride solution. The Es of NH4Cl gradually decreased over time and remained the lowest among the four salts. The trend of Et was similar with that observed in the desalination experiment, increasing progressively over time. The ranking of Et from highest to lowest was NaNO3, KCl, NaCl, and NH4Cl, which was essentially the reverse of the desalination experiment results.
3.3. Comparison of Desalination–Concentration Behaviors in Monovalent Salt Electrodialysis
3.3.1. Fundamental Data
The electrodialysis performance of four monovalent salts (NaCl, NH4Cl, KCl, and NaNO3) was comparatively analyzed through a desalination–concentration protocol: the initial desalination of 1% (w/w) solutions was followed by the systematic concentration experiment of 3% (w/w) solutions. As exemplified by each salt system (Table 3), critical performance metrics including stack voltage evolution, J, Eu, etc., were tracked across operational phases.
Table 3.
Average transport parameters of monovalent salts during experiment.
Temporal analysis revealed significant phase-dependent temporal disparities in salt-specific ED performance. During the desalination phase, KCl achieved target desalination threshold within 65 min, 19% faster than NaCl and NH4Cl (80 min). Conversely, the concentration phase exhibited inverse trends: NaCl required an extended duration (110 min) to achieve boundary-layer saturation, 38% longer than the other salts (80 min). The prolonged NaCl concentration aligns with its higher polarization propensity, necessitating operational current density reduction to mitigate scaling risks [35].
3.3.2. Water Loss Discrepancies
The water loss analysis revealed critical solvent migration mechanisms under different operational modes. As shown from the table, the observed variations in water loss across concentrate chambers (−16% for NaCl, −12% for NH4Cl/KCl, and −8.8% for NaNO3) reveal critical insights into the ion-specific transport mechanisms of different salts. Chloride-dominated systems (NaCl, NH4Cl, KCl) exhibited greater water loss than nitrate systems, possibly due to the higher hydration numbers of Cl− than NO3− [36] and the enhanced electroosmotic coupling with mobile Cl− ions. Furthermore, despite identical chloride anions, NaCl showed greater water loss than KCl/NH4Cl, perhaps reflecting a larger hydrated Na+ radius compared to K+ and NH4+.
Therefore, chloride systems require advanced water recovery designs to compensate for the ≥12% process water loss, while nitrate-based processes enable water-efficient operations through suppressed electroosmotic coupling.
3.3.3. Species-Dependent Energy–Productivity Trade-offs
The species-dependent Eu exhibited contrasting trends between desalination and concentration phases (Table 3). During desalination, NaNO3 demonstrated superior energy efficiency (Eu = 2.90), outperforming KCl (3.24), NaCl (4.23), and NH4Cl (4.51). This hierarchy might inversely correlate with anion hydration numbers of NO3− < that of Cl−, suggesting reduced electroosmotic water drag through membranes with lower-hydration counterions [36].
Conversely, NH4Cl showed the lowest Eu (5.30) during concentration, followed by KCl (7.43) and NaNO3 (8.12), while NaCl remained the least efficient (9.06). These phase-specific efficiency inversions highlight the critical need for salt-specific process optimization in industrial ED applications.
Comparative analysis of unit production capacity (Q, L/(h·m2)) revealed significant economic viability disparities among the tested salts. During desalination, KCl exhibited the lowest Q value (54.95 L/(h·m2)), outperforming NaNO3 (51.02 L/(h·m2)), NH4Cl (44.64 L/(h·m2)), and NaCl (42.02 L/(h·m2)) by 7.7%, 23.1%, and 30.7%, respectively. On the other hand, in the concentration phase, NH4Cl, KCl, and NaNO3 exhibited statistically comparable Q values (35.71 L/(h·m2)), which were significantly higher than that of NaCl (25.97 L/(h·m2)) by 37.4%.
3.3.4. Cell Pair Voltage and Current Density
In the desalination experiments, higher average current densities inversely correlated with lower average cell pair voltages. NH4Cl exhibited the highest J (220.98 A/m2) and lowest voltage (Vc = 0.912 V), followed by KCl (J = 188.05, Vc = 0.947), NaCl (J = 186.14, Vc = 0.955), and NaNO3 (J = 144.73, Vc = 1.021). This inverse J-Vc relationship was similar with the observed hierarchy of Eu, confirming the dominance of ohmic resistance in monovalent salt transport.
3.3.5. Current Efficiency Mechanisms
Figure 6 describes the operational phase-driven η disparities among monovalent salts, with solid black and patterned white bars representing η in dilute and in concentrate chambers, respectively. The systematic analysis reveals two distinct transport regimes governed by ionic speciation and concentration gradients.
Figure 6.
Comparison of current efficiency in two phases. (a) Desalination phase. (b) Concentration phase.
In the 1% salt desalination phase, NaCl, KCl, and NaNO3 exhibited supra-Faradaic efficiencies in dilute chamber (η = 98.55%, 99.96%, and 99.72%, respectively), attributable to electroosmotic enhancement. High-mobility ions such as sodium and potassium ions more easily pass through the membrane under the influence of the electric field [36]. Further, the efficiency hierarchy of KCl > NaNO3 > NaCl > NH4Cl inversely correlated with cation hydrated radii; that is, K+ (3.31 Å) < Na+ (3.58 Å) < NH4+ (3.81 Å with H-bonding network) [37]. NH4Cl performed the lowest in terms of η (82.4%), likely due to competitive H+ transport from water dissociation [38]. The formation of hydrogen bonds between ammonium ions and water molecules reduces their migration rate.
In the 3% concentration phase, all salts showed comparable η in dilute chamber (81.84–91.80%), indicating concentration polarization dominance over ionic specificity. Further, NH4Cl achieved a superior concentrate chamber η of 83.49%, due to the NH4+ hydration number reduction at high concentrations [39] and a lower osmotic back-diffusion. Therefore, NH4Cl is prioritized in concentration enhancement due to low osmotic leakage at elevated concentrations.
3.3.6. Desalination Rate and Concentration Factor
Figure 7 delineates the desalination rates in the desalination phase, and concentration factors in the concentration phase across monovalent salts, revealing ion-specific transport dynamics. In the desalination phase, as exemplified by NaCl, conductivity in the dilute chamber decreased from 17.43 to 0.91 mS/cm, corresponding to a NaCl concentration reduction from 10.00 to 0.48 g/L (Table 1), showing an ηsalt of 95.2%. From the same 10 g/L feed, this work attains 95.2% NaCl removal in 85 min, surpassing prior research (95% in 115 min [32]), with 26% faster kinetics and a 0.2% higher efficiency. This acceleration stems from pulsed-field-enhanced monovalent ion selectivity.
Figure 7.
Desalination rates and concentration factor of four monovalent salts.
Except for NH4Cl, the desalination rates of other salts were above 90%, indicating an overall effective desalination performance. KCl exhibited the best desalination effect, with an ηsalt of 95.3%, followed by NaCl (95.2%) and NaNO3 (89.5%); NH4Cl exhibited the lowest value of 80.6%. The desalination efficiency ranking of the four salts showed strong consistency with their dilute η order in the desalination experiments. This progression inversely correlated with cation hydration energies (ΔG_hyd): K+ (−295 kJ mol−1) < Na+ (−365 kJ mol−1) < NH4+ (−385 kJ mol−1) [36]. Further, KCl’s superior desalination rate arises from reduced hydrated radius and minimal hydrogen bond interference. While Ruan et al. achieved impressive removal rates of chloride (Cl−) and fluoride (F−) ions at 96.61% and 99.28% via electrodialysis metathesis (EDM) [40], our conventional ED process attains comparable Cl− removal rates (99.95% for KCl and 98.55% for NaCl) [40].
In the concentration phase, a higher concentration factor indicates that more ions migrated from the dilute chamber to the concentrate chamber, leading to a greater concentration efficiency. NaNO3 achieved an optimal concentration factor of 6.48 due to suppressed osmotic back-diffusion. It was followed by KCl (5.49) and NH4Cl (5.33), reflecting polarization resistance at [NH4+] > 2.5% and competitive H+ transport from water dissociation [35].
Table 4 summarizes several important findings from recent studies using the ED process for saline wastewater treatment [41]. Taking NH4Cl as an example, the results demonstrate that our approach achieves a higher concentration efficiency with a significantly shorter processing time. Further, this comprehensive comparison confirms the superior performance of our system, particularly in terms of η and desalination rate when using conditional IEMs.
Table 4.
Important findings of recent studies using ED for saline wastewater treatment.
4. Conclusions
This study systematically evaluates the ED performance of four monovalent salts (NaCl, NH4Cl, KCl, and NaNO3), revealing ion-specific transport mechanisms and the trade-offs intrinsic to process optimization.
In the desalination phase, KCl was identified as the optimal candidate for desalination. It achieved 95.3% salt removal with a maximum Q of 54.95 L/(h·m2), the highest dilute η of 99.96%, and a lower Eu of 3.24 kWh/t. Its superiority stems from the low hydration energy of K+ and a minimal hydrated radius (3.31 Å), which facilitate effective ionic transport with suppressed electroosmotic drag. Further, the NaCl solution achieved a high desalination performance (95.2%) and dilute η (98.55%). However, it exhibited a higher Eu of 4.23 kWh/t and the lowest Q of 42.02 L/(h·m2) among the tested monovalent salts. NaNO3 exhibited phase-dependent duality with the lowest Eu of 2.90 kWh/t.
In the concentration phase, NaNO3 achieved an optimal concentration factor of 6.48. In contrast, NaCl underperformed with the highest η across the phases but it had a relatively high Eu, suggesting that improvements in electrodialysis conditions are necessary. NH4Cl demonstrated superior performance with a concentrate η of 83.49%, a Q of 35.71 L/(h·m2), and the lowest Eu (5.30 kWh/t), even though the concentration factor (5.33) was lower than that of NaNO3.
Accordingly, KCl and NH4Cl performed well in the desalination and concentration phases, respectively, indicating their feasibility for such applications. In the future, optimizing membrane materials for NH4+ selectivity could further reduce energy consumption. NaNO3, despite its high Eu during concentration, is favorable for concentration applications where minimizing energy usage is paramount.
Using self-prepared wastewater, no significant membrane fouling was observed during a one-month lab-scale test. However, long-term practical fouling depends heavily on feedwater characteristics. Membrane stack configuration and operating parameters were directly scaled from industry and validated for robustness via pilot-scale consistent performance. The non-selective membrane used in the experiment allows divalent salt passage during actual wastewater treatment, but its compactness may reduce η, particularly in high-COD wastewater. Accordingly, future work will explore membrane surface modification (e.g., anti-fouling layers for NaCl polarization) and model development for monovalent salt kinetics. Further, the treatment of real wastewater from sectors like pharmaceuticals will be investigated.
Supplementary Materials
The following supporting information can be downloaded at: https://www.mdpi.com/article/10.3390/w17182779/s1, Table S1: Basic properties of IEMs.
Author Contributions
Conceptualization, J.Y.; methodology, W.L.; validation, X.H.; formal analysis, Q.G.; investigation, X.H. and L.C.; writing—original draft preparation, J.Y.; project administration, W.L.; writing—review and editing, J.Y. and Q.G.; funding acquisition, W.L. All authors have read and agreed to the published version of the manuscript.
Funding
This research was supported by a collaborative research project with Shandong Tianwei Membrane Technology Co., Ltd. on “Key Technology Research of Membrane Treatment for Industrial Waste Acid”, the Doctorate Programs Foundation of Weifang University (2016BS02), and the National Key R&D Program “High-Performance Electrodialysis Ion Membrane Preparation Technology and Application Demonstration” (2021YFB3801400).
Data Availability Statement
The original contributions presented in this study are included in the article and supplementary material. Further inquiries can be directed to the corresponding author.
Conflicts of Interest
Author Wenyu Lian was employed by the company Shandong Tianwei Membrane Technology Corporation Limited, and this study received funding from a collaborative research project with Shandong Tianwei Membrane Technology Co., Ltd. The authors declare that the funder was not involved in the study design, collection, analysis, interpretation of data, the writing of this article or the decision to submit it for publication. The remaining authors declare that the research was conducted in the absence of any commercial or financial relationships that could be construed as a potential conflict of interest.
References
- Wang, Y.F.; Geng, Q.J.; Yang, J.M.; Liu, Y.; Chen, L. Hybrid system of flocculation–photocatalysis for the decolorization of crystal violet, reactive red X-3B, and acid orange II dye. ACS Omega 2020, 5, 31137–31145. [Google Scholar] [CrossRef]
- Yang, J.M.; Geng, Q.J.; Zhou, Y.B.; Wang, Y.F.; Li, Z.H.; Liu, Y. Optimization of Experimental Procedure for Determining Azelaic Acid in Cosmetics by Gas Chromatography Derivatized Through Ethanol. ACS Omega 2022, 7, 15647–15656. [Google Scholar] [CrossRef]
- Pan, X.R.; Ji, J.H.; Zhang, N.N.; Xing, M.Y. Research progress of graphene-based nanomaterials for the environmental remediation. Chin. Chem. Lett. 2020, 31, 1462–1473. [Google Scholar] [CrossRef]
- Zhang, C.; Quan, B.; Tang, J.; Cheng, K.; Tang, Y.; Shen, W.; Zhang, C. China’s wastewater treatment: Status quo and sustainability perspectives. J. Water Process. Eng. 2023, 53, 103708. [Google Scholar] [CrossRef]
- Wu, J. Study on Treatment of Chemical Salt-Containing Wastewater by Bipolar Membrane Electrodialysis Technology. Master’s Thesis, Chang’an University, Xi’an, China, 2022. (In Chinese). [Google Scholar]
- Scarazzato, T.; Panossian, Z.; Tenório, J.A.S.; Perez-Herranz, V.; Espinosa, D.C.R. A review of cleaner production inelectroplating industries using electrodialysis. J. Clean. Prod. 2017, 168, 1590–1602. [Google Scholar] [CrossRef]
- Wu, Q.; Li, J.; Wu, T.; Ji, L.; Zhang, R.; Jiang, P.; Chen, H.; Zhao, R.; Asiri, A.M.; Sun, X. One-step preparation of cobalt-nanoparticle-embedded carbon for effective water oxidation electrocatalysis. ChemElectroChem 2019, 6, 1996–1999. [Google Scholar] [CrossRef]
- Tan, M.; Zhao, J.; Liu, Y.; Liu, F.; Zhang, Y. Enhanced separation of monovalent and divalent ions in high salinity wastewater by selective electrodialysis: Experimental investigation and performance prediction. Sci. Total Environ. 2024, 946, 174103. [Google Scholar] [CrossRef]
- Lv, R.; Wu, D.; Ding, J.; Yuan, X.; Zhou, G.; Zhang, Y.; Kong, Q.; Zhao, C.; Du, Y.; Xu, F.; et al. Long-term performance and microbial mechanism in intertidal wetland sediment introduced constructed wetlands treating saline wastewater. J. Clean. Prod. 2021, 310, 127409. [Google Scholar] [CrossRef]
- Zhao, D.; Xue, J.; Li, S.; Sun, H.; Zhang, Q. Theoretical analyses of thermal and economical aspects of multi-effect distillation desalination dealing with high-salinity wastewater. Desalination 2011, 273, 292–298. [Google Scholar] [CrossRef]
- Zeng, W.L.; Wang, X.; Zhang, Y.J. Synthesis, Crystal Structures, and Density Functional Theory Studies of Two Salt Cocrystals Containing Meldrum’s Acid Group. ACS Omega 2022, 7, 25132–25139. [Google Scholar] [CrossRef]
- Ahmad, N.N.R.; Ang, W.L.; Leo, C.P.; Mohammad, A.W.; Hilal, N. Current advances in membrane technologies for saline wastewater treatment: A comprehensive review. Desalination 2021, 517, 115170. [Google Scholar] [CrossRef]
- Srimuk, P.; Su, X.; Yoon, J.; Aurbach, D.; Presser, V. Charge-transfer materials for electrochemical water desalination, ion separation and the recovery of elements. Nat. Rev. Mater. 2020, 5, 517–538. [Google Scholar] [CrossRef]
- Yan, H.; Wang, Y.; Wu, L.; Shehzad, M.A.; Jiang, C.; Fu, R.; Liu, Z.; Xu, T. Multistage-batch electrodialysis to concentrate high-salinity solutions: Process optimisation, water transport, and energy consumption. J. Membr. Sci. 2019, 570–571, 245–257. [Google Scholar] [CrossRef]
- Zou, D.; Zhou, Y.; Yan, W.; Zhou, Y.; Gao, C. Boric acid-loosened polyvinyl alcohol/glutaraldehyde membrane with high flux and selectivity for monovalent/divalent salt separation. J. Membr. Sci. 2022, 662, 120954. [Google Scholar] [CrossRef]
- Goh, K.S.; Chen, Y.; Ng, D.Y.F.; Chew, J.W.; Wang, R. Organic solvent forward osmosis membranes for pharmaceutical concentration. J. Membr. Sci. 2022, 642, 119965. [Google Scholar] [CrossRef]
- Liu, J.; Yuan, J.; Ji, Z.; Wang, B.; Hao, Y.; Guo, X. Concentrating brine from seawater desalination process by nanofiltration–electrodialysis integrated membrane technology. Desalination 2016, 390, 53–61. [Google Scholar] [CrossRef]
- Al-Amshawee, S.; Yunus, M.Y.B.M.; Azoddein, A.A.M.; Hassell, D.G.; Dakhil, I.H.; Hasan, H.A. Electrodialysis desalination for water and wastewater: A review. Chem. Eng. J. 2020, 380, 122231. [Google Scholar] [CrossRef]
- Qin, Z.; Wang, Y.; Sun, L.; Gu, Y.; Zhao, Y.; Xia, L.; Liu, Y.; Bruggen, B.V.; Zhang, Y. Vanadium recovery by electrodialysis using polymer inclusion membranes. J. Hazard. Mater. 2022, 436, 129315. [Google Scholar] [CrossRef] [PubMed]
- Liu, W.; Mao, Y.; Li, Y. Systematic research on the bipolar membrane reverse electrodialysis performance and its application in electrodialysis desalination. Sep. Purif. Technol. 2022, 290, 120909. [Google Scholar] [CrossRef]
- Si, Z.; Han, D.; Gu, J.; Song, Y.; Liu, Y. Exergy analysis of a vacuum membrane distillation system integrated with mechanical vapor recompression for sulfuric acid waste treatment. Appl. Therm. Eng. 2020, 178, 115516. [Google Scholar] [CrossRef]
- Hu, Y.; Wu, C.; Wu, L.; Xue, D. Contentration of ammonia chloride by membrane integrating technology. Technol. Water Treat. 2005, 8, 38–39. (In Chinese) [Google Scholar]
- Zhao, Y.; Wang, X.; Yuan, J. An efficient electrodialysis metathesis route to recover concentrated NaOH-NH4Cl products from simulated ammonia and saline wastewater in coal chemical industry. Sep. Purif. Technol. 2022, 301, 122042. [Google Scholar] [CrossRef]
- Xing, H.; Yang, J. Effect of Electrodialysis on Liquid Separation and Concentration of Lithium-Ion Intermediate Products. Chem. Eng. Manag. 2022, 8, 143–146. (In Chinese) [Google Scholar]
- Sun, H.; Li, A.; Shi, P.; Cao, X.; Wang, C.; Cheng, S. Separation of NaCl and humic substances in anion exchange spent brine with electrodialysis. Desalination 2022, 523, 115442. [Google Scholar] [CrossRef]
- Melnikov, S.S.; Mugtamov, O.A.; Zabolotsky, V.I. Study of electrodialysis concentration process of inorganic acids and salts for the two-stage conversion of salts into acids utilizing bipolar electrodialysis. Sep. Purif. Technol. 2020, 235, 116198. [Google Scholar] [CrossRef]
- Wang, W.; Liu, R.; Tan, M.; Sun, H.; Niu, Q.J.; Xu, T.; Nikonenko, V.; Zhang, Y. Evaluation of the ideal selectivity and performance of selectrodialysis by using TFC ion exchange membranes. J. Membr. Sci. 2019, 582, 236–245. [Google Scholar] [CrossRef]
- Tanaka, Y.; Reig, M.; Casas, S.; Aladjem, C.; Cortina, J.L. Computer simulation of ion-exchange membrane electrodialysis for salt concentration and reduction of RO discharged brine for salt production and marine environment conservation. Desalination 2015, 367, 76–89. [Google Scholar] [CrossRef]
- Nie, X.Y.; Sun, S.Y.; Sun, Z.; Song, X.; Yu, J.G. Ion-fractionation of lithium ions from magnesium ions by electrodialysis using monovalent selective ion-exchange membranes. Desalination 2017, 403, 128–135. [Google Scholar] [CrossRef]
- Yan, J.; Wang, H.; Fu, R.; Fu, R.Q.; Li, R.; Chen, B.; Jiang, C.; Ge, L.; Liu, Z.; Wang, Y.; et al. Ion exchange membranes for acid recovery: Diffusion Dialysis (DD) or Selective Electrodialysis (SED)? Desalination 2022, 531, 115690. [Google Scholar] [CrossRef]
- Yan, H.Y.; Li, W.; Wang, Y.; Wu, L.; Nikonenko, V.; Pismenskaya, N.; Xu, T. Electrodialysis to concentrate high-salinity solutions: The matching relation between cation- and anion-exchange membranes. J. Univ. Sci. Technol. China 2021, 51, 103–110. [Google Scholar]
- Banasiak, L.J.; Kruttschnitt, T.W.; Schäferc, A.I. Desalination using electrodialysis as a function of voltage and salt concentration. Desalination 2007, 205, 38–46. [Google Scholar] [CrossRef]
- Tanaka, Y. Current density distribution, limiting current density and saturation current density in an ion-exchange membrane electrodialyzer. J. Membr. Sci. 2007, 308, 136–145. [Google Scholar] [CrossRef]
- Ahmed, F.E.; Hashaikeh, R.; Hilal, N. Hybrid technologies: The future of energy efficient desalination—A review. Desalination 2020, 495, 114659. [Google Scholar] [CrossRef]
- Ruleva, V.D.; Ponomar, M.A.; Gorobchenko, A.D.; Moroz, I.A.; Shkirskaya, S.A.; Kononenko, N.A.; Wang, Y.; Jiang, C.; Xu, T.; Nikonenko, V.V. Electrodialysis of moderately concentrated solutions: Experiment and modeling based on a simplified characterization of ion-exchange membranes. Desalination 2024, 580, 117533. [Google Scholar] [CrossRef]
- Marcus, Y. Effect of ions on the structure of water. Chem. Rev. 2010, 40, 1346–1370. [Google Scholar] [CrossRef]
- Tanaka, Y. Ion-Exchange Membrane Electrodialysis for Saline Water Desalination and Its Application to Seawater Concentration. Ind. Eng. Chem. Res. 2011, 50, 195–204. [Google Scholar] [CrossRef]
- Nightingale, E.R.J. Phenomenological Theory of Ion Solvation. Effective Radii of Hydrated Ions. J. Phys. Chem. C 1959, 63, 1381–1387. [Google Scholar] [CrossRef]
- Tansel, B.; Sager, J.; Rector, T.; Garland, J.; Strayer, R.F.; Levine, L.; Roberts, M.; Hummerick, M.; Bauer, J. Significance of hydrated radius and hydration shells on ionic permeability during nanofiltration in dead end and cross flow modes. Sep. Purif. Technol. 2006, 51, 40–47. [Google Scholar] [CrossRef]
- Ruan, H.; Lu, H.; Wang, J.; Shi, J.; Zhang, Z.; Liao, J.; Ang, E.H.; Shen, J. Transforming waste into value: Efficient recycling of KCl and NH4F via electrodialysis metathesis. Desalination 2025, 600, 118424. [Google Scholar] [CrossRef]
- Goh, P.S.; Wong, K.C.; Ismail, A.F. Membrane technology: A versatile tool for saline wastewater treatment and resource recovery. Desalination 2022, 521, 115377. [Google Scholar] [CrossRef]
- Guo, C.; Wu, Y.; Zhang, L.; Liu, F.; Guo, X.; Ge, D. Reuse of rare- earth wastewater by ion exchange membrane technique. In Proceedings of the 5th National Symposium on the Application of Membrane Separation Technology in the Metallurgical Industry, Kunming, China, 22–24 August 2016; pp. 32–39. [Google Scholar]
- Korngold, E.; Aronov, L.; Belayev, N.; Kock, K. Electrodialysis with brine solutions oversaturated with calcium sulfate. Desalination 2005, 172, 63–75. [Google Scholar] [CrossRef]
- Ye, W.; Liu, R.; Chen, X.; Chen, Q.; Lin, J.; Lin, X.; Van der Bruggen, B.; Zhao, S. Loose nanofiltration-based electrodialysis for highly efficient textile wastewater treatment. J. Membr. Sci. 2020, 608, 118182. [Google Scholar] [CrossRef]
- Berkessa, Y.W.; Lang, Q.; Yan, B.; Kuang, S.; Mao, D.; Shu, L.; Zhang, Y. Anion exchange membrane organic fouling and mitigation in salt valorization process from high salinity textile wastewater by bipolar membrane electrodialysis. Desalination 2019, 465, 94–103. [Google Scholar] [CrossRef]
- Tamersit, S.; Bouhidel, K.E.; Zidani, Z. Investigation of electrodialysis anti-fouling configuration for desalting and treating tannery unhairing wastewater: Feasibility of by-products recovery and water recycling. J. Environ. Manag. 2018, 207, 334–340. [Google Scholar] [CrossRef]
- Ma, P.; Hao, X.; Galia, A.; Scialdone, O. Development of a process for the treatment of synthetic wastewater without energy inputs using the salinity gradient of wastewaters and a reverse electrodialysis stack. Chemosphere 2020, 248, 125994. [Google Scholar] [CrossRef] [PubMed]
- Lafi, R.; Gzara, L.; Lajimi, R.H.; Hafiane, A. Treatment of textile wastewater by a hybrid ultrafiltration/electrodialysis process. Chem. Eng. Process. Process Intensif. 2018, 132, 105–113. [Google Scholar] [CrossRef]
- Deghles, A.; Kurt, U. Treatment of tannery wastewater by a hybrid electrocoagulation/electrodialysis process. Chem. Eng. Process. Process Intensif. 2016, 104, 43–50. [Google Scholar] [CrossRef]
Disclaimer/Publisher’s Note: The statements, opinions and data contained in all publications are solely those of the individual author(s) and contributor(s) and not of MDPI and/or the editor(s). MDPI and/or the editor(s) disclaim responsibility for any injury to people or property resulting from any ideas, methods, instructions or products referred to in the content. |
© 2025 by the authors. Licensee MDPI, Basel, Switzerland. This article is an open access article distributed under the terms and conditions of the Creative Commons Attribution (CC BY) license (https://creativecommons.org/licenses/by/4.0/).






