A Strain-Controlled Finite Strain Model for CRD Consolidation of Saturated Clays Considering Non-Linear Compression and Permeability Relationships
Abstract
1. Introduction
2. Finite Strain Model for the CRD Consolidation Test in the Eulerian Coordinate
2.1. Governing Equation in the Eulerian Coordinate
- (1)
- The soil is fully saturated, consisting only of solid and liquid phases, with the solid phase being soil particles and the liquid phase being water.
- (2)
- The soil particles and pore water are incompressible.
- (3)
- Darcy’s law is valid.
- (4)
- Secondary consolidation is not considered.
2.2. Determination of Cv Using Non-Linear Compression and Permeability Models
2.3. Boundary and Initial Conditions
3. The Numerical Solution
4. Validation of the Numerical Solution
4.1. Comparison with the Finite Strain Numerical Solution by Pu, et al. [24]
4.2. Comparison with the Small Strain Analytical Solution by Wissa, et al. [20]
4.3. Comparison with Experimental Data Measured by Raheena, et al. [38]
4.4. Comparison with Experimental Data Measured by Reconstituted Kaolin
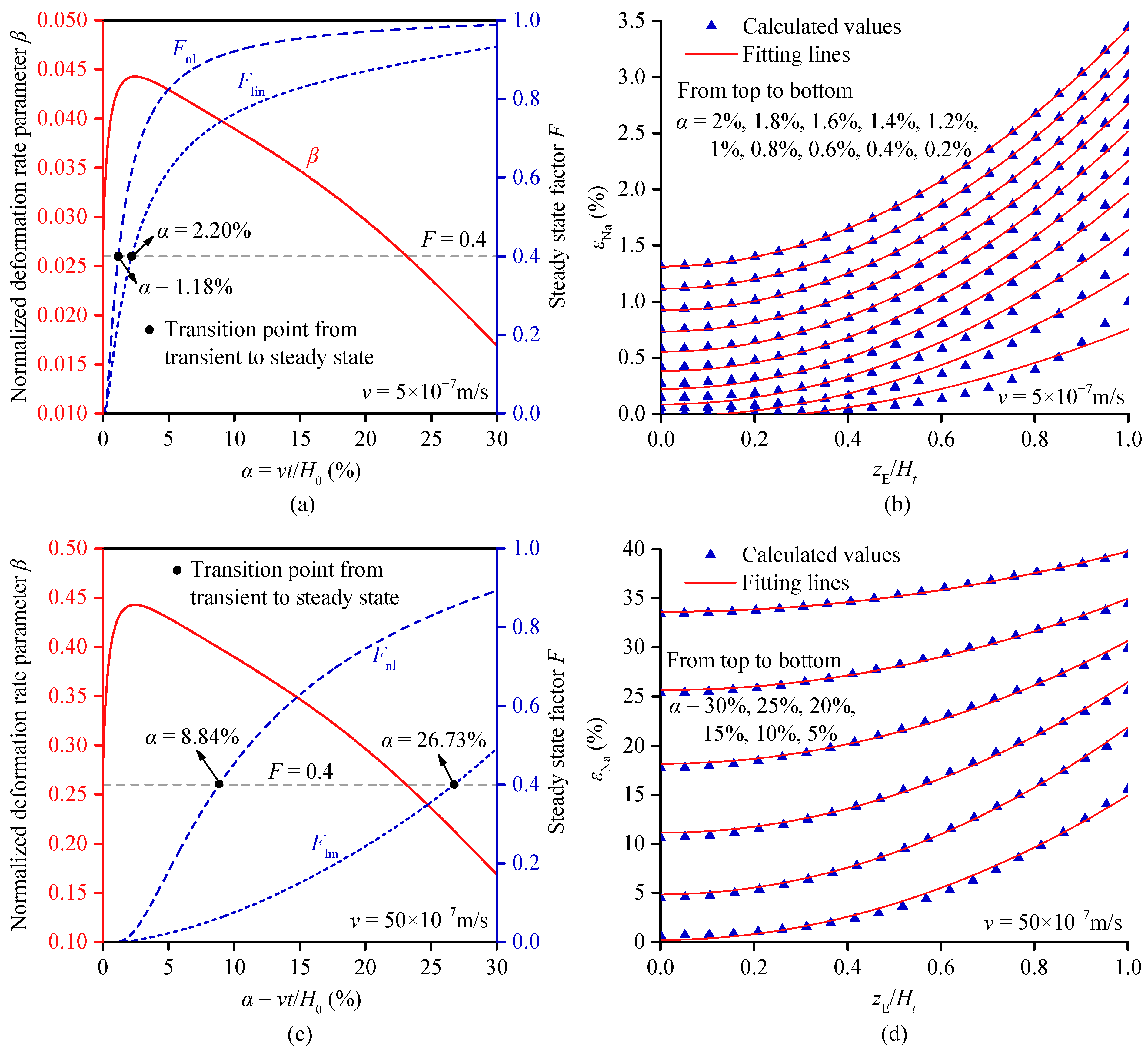
5. Evaluation of the Steady-State Determination Method
6. Conclusions
Author Contributions
Funding
Data Availability Statement
Acknowledgments
Conflicts of Interest
Nomenclature
| Ck, Cc | permeability index and compression index |
| cv | coefficient of consolidation |
| e | void ratio |
| H0, Ht | initial and current height of specimen |
| k | hydraulic conductivity |
| mv | coefficient of volume compressibility |
| t, Tv | time and time factor |
| u, ub | excess pore water pressure and excess pore water pressure at the undrained base of a specimen |
| v | constant rate of deformation |
| vw, vs | velocity of water and solid phase |
| zE | Eulerian coordinate |
| ZE | Eulerian coordinate normalized to the initial specimen height |
| α | normalized time |
| β | normalized deformation rate parameter |
| γw, γs | unit weight of water and solid phase |
| εEn, εNa | engineering and natural strain |
| η | normalized specimen height |
| σ, σ’ | total and effective stress |
Appendix A. Derivation of Equations (12) and (13)
References
- Zeng, C.F.; Xue, X.L.; Zheng, G.; Xue, T.Y.; Mei, G.X. Responses of retaining wall and surrounding ground to pre-excavation dewatering in an alternated multi-aquifer-aquitard system. J. Hydrol. 2018, 559, 609–626. [Google Scholar] [CrossRef]
- Zeng, C.F.; Zheng, G.; Xue, X.L. Responses of deep soil layers to combined recharge in a leaky aquifer. Eng. Geol. 2019, 260, 105263. [Google Scholar] [CrossRef]
- Zeng, C.F.; Zheng, G.; Xue, X.L.; Mei, G.X. Combined recharge: A method to prevent ground settlement induced by redevelopment of recharge wells. J. Hydrol. 2019, 568, 1–11. [Google Scholar] [CrossRef]
- Zeng, C.F.; Zheng, G.; Zhou, X.F.; Xue, X.L.; Zhou, H.Z. Behaviours of wall and soil during pre-excavation dewatering under different foundation pit widths. Comput. Geotech. 2019, 115, 103169. [Google Scholar] [CrossRef]
- Zeng, C.F.; Powrie, W.; Xue, X.L.; Li, M.K.; Mei, G.X. Effectiveness of a buttress wall in reducing retaining wall movement during dewatering before bulk excavation. Acta Geotech. 2021, 16, 3253–3267. [Google Scholar] [CrossRef]
- Zeng, C.F.; Song, W.W.; Xue, X.L.; Li, M.K.; Bai, N.; Mei, G.X. Construction dewatering in a metro station incorporating buttress retaining wall to limit ground settlement: Insights from experimental modelling. Tunn. Undergr. Space Technol. 2021, 116, 104124. [Google Scholar] [CrossRef]
- Zeng, C.F.; Wang, S.; Xue, X.L.; Zheng, G.; Mei, G.X. Evolution of deep ground settlement subject to groundwater drawdown during dewatering in a multi-layered aquifer-aquitard system: Insights from numerical modelling. J. Hydrol. 2021, 603, 127078. [Google Scholar] [CrossRef]
- Zeng, C.F.; Xue, X.L.; Li, M.K. Use of cross wall to restrict enclosure movement during dewatering inside a metro pit before soil excavation. Tunn. Undergr. Space Technol. 2021, 112, 103909. [Google Scholar] [CrossRef]
- Zeng, C.F.; Liao, H.; Xue, X.L.; Long, S.C.; Luo, G.J.; Diao, Y.; Li, M.G. Responses of groundwater and soil to dewatering considering the barrier effect of adjacent metro station on multi-aquifers. J. Hydrol. 2022, 612, 128117. [Google Scholar] [CrossRef]
- Zeng, C.F.; Wang, S.; Xue, X.L.; Zheng, G.; Mei, G.X. Characteristics of ground settlement due to combined actions of groundwater drawdown and enclosure wall movement. Acta Geotech. 2022, 17, 4095–4112. [Google Scholar] [CrossRef]
- Xue, T.Y.; Xue, X.L.; Long, S.C.; Chen, Q.N.; Lu, S.D.; Zeng, C.F. Effect of Pre-Existing Underground Structures on Groundwater Flow and Strata Movement Induced by Dewatering and Excavation. Water 2023, 15, 814. [Google Scholar] [CrossRef]
- Zeng, C.F.; Chen, H.B.; Liao, H.; Xue, X.L.; Chen, Q.N.; Diao, Y. Behaviours of groundwater and strata during dewatering of large-scale excavations with a nearby underground barrier. J. Hydrol. 2023, 620, 129400. [Google Scholar] [CrossRef]
- Ke, L.J.; Gao, Y.F.; Fei, K.; Gu, Y.T.; Ji, J. Determination of depth-dependent undrained shear strength of structured marine clays based on large deformation finite element analysis of T-bar penetrations. Comput. Geotech. 2024, 176, 106758. [Google Scholar] [CrossRef]
- Xue, X.L.; Sun, H.Y.; Zeng, C.F.; Chen, H.B.; Zheng, G.; Xu, C.J.; Han, L. Why pile-supported building settled continuously after water level was stabilized during dewatering: Clues from interaction between pile and multi aquifers. J. Hydrol. 2024, 638, 131539. [Google Scholar] [CrossRef]
- Zeng, C.F.; Powrie, W.; Chen, H.B.; Wang, S.; Diao, Y.; Xue, X.L. Ground Behavior due to Dewatering Inside a Foundation Pit Considering the Barrier Effect of Preexisting Building Piles on Aquifer Flow. J. Geotech. Geoenviron. Eng. 2024, 150, 05024004. [Google Scholar] [CrossRef]
- Zhao, Z.h.; Zhang, H.; Shiau, J.; Du, W.; Ke, L.j.; Wu, F.y.; Bao, X. Failure envelopes of rigid tripod pile foundation under combined vertical-horizontal-moment loadings in clay. Appl. Ocean Res. 2024, 150, 104131. [Google Scholar] [CrossRef]
- Hamilton, J.; Crawford, C. Improved determination of preconsolidation pressure of a sensitive clay. In Papers on Soils 1959 Meetings; ASTM STP: West Conshohocken, PA, USA, 1959. [Google Scholar] [CrossRef]
- Lee, K. Consolidation with constant rate of deformation. Géotechnique 1981, 31, 215–229. [Google Scholar] [CrossRef]
- Smith, R.E.; Wahls, H.E. Consolidation under constant rates of strain. J. Soil Mech. Found. Div. 1969, 95, 519–539. [Google Scholar] [CrossRef]
- Wissa, A.E.Z.; Christian, J.T.; Davis, E.H.; Heiberg, S. Consolidation at constant rate of strain. J. Soil Mech. Found. Div. 1971, 97, 1393–1413. [Google Scholar] [CrossRef]
- Umehara, Y.; Zen, K. Constant rate of strain consolidation for very soft clayey soils. Soils Found. 1980, 20, 79–95. [Google Scholar] [CrossRef]
- Znidarčić, D.; Schiffman, R.L.; Pane, V.; Croce, P.; Ko, H.Y.; Olsen, H.W. The theory of one-dimensional consolidation of saturated clays: Part V, constant rate of deformation testing and analysis. Géotechnique 1986, 36, 227–237. [Google Scholar] [CrossRef]
- González, J.H. Experimental and Theoretical Investigation of Constant Rate of Strain Consolidation. Ph.D. Thesis, Massachusetts Institute of Technology, Cambridge, MA, USA, 2000. [Google Scholar]
- Pu, H.F.; Fox, P.J.; Liu, Y. Model for large strain consolidation under constant rate of strain. Int. J. Numer. Anal. Methods Geomech. 2013, 37, 1574–1590. [Google Scholar] [CrossRef]
- Fox, P.J.; Pu, H.F.; Christian, J.T. Evaluation of data analysis methods for the CRS consolidation test. J. Geotech. Geoenviron. Eng. 2014, 140, 04014020. [Google Scholar] [CrossRef]
- ASTM D4186/D4186M–20ε1; Standard Test Method for One-Dimensional Consolidation Properties of Saturated Cohesive Soils Using Controlled-Strain Loading. ASTM International: West Conshohocken, PA, USA, 2020. [CrossRef]
- SIS SS 027126; Geotekniska Provningsmetoder-Kompressionsegenskaper-Ödometerförsök-CRS-Försök-Kohesionsjord. Standardiseringskomissionen i Sverige: Stockholm, Sweden, 1991. (In Swedish)
- GB/T 50123–2019; Standard for Geotechnical Testing Method. The Ministry of Housing and Urban-Rural Development of the People’s Republic of China: Beijing, China, 2019. (In Chinese)
- NSF NS 8018; Geotechnical Testing-Laboratory Methods-Determination of One-Dimensional Consolidation Properties by Oedometer Testing-Method Using Continuous Loading. Standard Norge: Lysaker, Norway, 1993. (In Norwegian)
- JIS A 1227; Test Method for one Dimensional Consolidation Properties of Soils Using Constant Rate of Strain Loading. JIS: Tokyo, Japan, 2021. (In Japanese)
- Leroueil, S.; Samson, L.; Bozozuk, M. Laboratory and field determination of preconsolidation pressures at Gloucester. Can. Geotech. J. 1983, 20, 477–490. [Google Scholar] [CrossRef]
- Silvestri, V.; Yong, R.; Soulie, M.; Gabriel, F. Controlled-strain, controlled-gradient, and standard consolidation testing of sensitive clays. In Consolidation of Soils: Testing and Evaluation; Yong, R.N., Townsend, F.C., Eds.; American Society for Testing and Materials: Philadelphia, PA, USA, 1986; pp. 433–450. [Google Scholar] [CrossRef]
- Lee, K.; Choa, V.; Lee, S.H.; Quek, S.H. Constant rate of strain consolidation of Singapore marine clay. Géotechnique 1993, 43, 471–488. [Google Scholar] [CrossRef]
- Moriwaki, T.; Umehara, K. Method for determining the coefficient of permeability of clays. Geotech. Test. J. 2003, 26, 47–56. [Google Scholar] [CrossRef]
- Sample, K.M.; Shackelford, C.D. Apparatus for constant rate-of-strain consolidation of slurry mixed soils. Geotech. Test. J. 2012, 35, 409–419. [Google Scholar] [CrossRef]
- Pineda, J.A.; Suwal, L.P.; Kelly, R.B.; Bates, L.; Sloan, S.W. Characterisation of Ballina clay. Géotechnique 2016, 66, 556–577. [Google Scholar] [CrossRef]
- Mesri, G.; Feng, T.W. Constant rate of strain consolidation testing of soft clays and fibrous peats. Can. Geotech. J. 2019, 56, 1526–1533. [Google Scholar] [CrossRef]
- Raheena, M.; Sridhar, G.; Robinson, R.G. Simplified apparatus for CRS consolidation testing of soils. Geotech. Test. J. 2019, 42, 817–828. [Google Scholar] [CrossRef]
- Olson, R.E.; Mesri, G. Mechanisms controlling compressibility of clays. J. Soil Mech. Found. Div. 1970, 96, 1863–1878. [Google Scholar] [CrossRef]
- Sridharan, A.; Rao, G.V. Mechanisms controlling volume change of saturated clays and the role of the effective stress concept. Géotechnique 1973, 23, 359–382. [Google Scholar] [CrossRef]
- Robinson, R.G.; Allam, M.M. Analysis of consolidation data by a non-graphical matching method. Geotech. Test. J. 1998, 21, 140–143. [Google Scholar] [CrossRef]
- Karunaratne, G.P.; Chew, S.H.; Lee, S.L.; Sinha, A.N. Bentonite: Kaolinite clay liner. Geosynth. Int. 2001, 8, 113–133. [Google Scholar] [CrossRef]
- Hsu, T.W.; Lu, S.C. Behavior of one-dimensional consolidation under time-dependent loading. J. Eng. Mech. 2006, 132, 457–462. [Google Scholar] [CrossRef]
- Xiao, H.; Bruhns, O.T.; Meyers, A. Logarithmic strain, logarithmic spin and logarithmic rate. Acta Mech. 1997, 124, 89–105. [Google Scholar] [CrossRef]
- Hanna, D.; Sivakugan, N.; Lovisa, J. Simple approach to consolidation due to constant rate loading in clays. Int. J. Geomech. 2013, 13, 193–196. [Google Scholar] [CrossRef]
- Maqsood, Z.; Koseki, J.; Ahsan, M.K.; Shaikh, M.; Kyokawa, H. Experimental study on hardening characteristics and loading rate dependent mechanical behaviour of gypsum mixed sand. Constr. Build. Mater. 2020, 262, 119992. [Google Scholar] [CrossRef]
- Tan, T.S.; Scott, R.F. Finite strain consolidation—A study of convection. Soils Found. 1988, 28, 64–74. [Google Scholar] [CrossRef][Green Version]
- Malvern, L.E. Introduction to the Mechanics of a Continuous Medium; Prentice-Hall, Inc.: Englewood Cliffs, NJ, USA, 1969; pp. 141–143. [Google Scholar] [CrossRef]
- Bear, J. Dynamics of Fluids in Porous Media; Elsevier: New York, NY, USA, 1988; pp. 71–73. [Google Scholar] [CrossRef]
- Mikasa, M. The Consolidation of Soft Clay—A New Consolidation Theory and Its Application; Kajima Institution Publishing Co., Ltd.: Tokyo, Japan, 1963; pp. 11–12. [Google Scholar]
- Gibson, R.E.; England, G.L.; Hussey, M.J.L. The theory of one-dimensional consolidation of saturated clays 1. Finite non-linear consildation of thin homogeneous layers. Géotechnique 1967, 17, 261–273. [Google Scholar] [CrossRef]
- Raymond, G.P. Laboratory consolidation of some normally consolidated soils. Can. Geotech. J. 1966, 3, 217–234. [Google Scholar] [CrossRef]
- Mesri, G.; Rokhsar, A. Theory of consolidation for clays. J. Geotech. Eng. Div. 1974, 100, 889–904. [Google Scholar] [CrossRef]
- Leroueil, S.; Leart, P.; Hight, D.W.; Powell, J.J.M. Hydraulic conductivity of a recent estuarine silty clay at Bothkennar. Géotechnique 1992, 42, 275–288. [Google Scholar] [CrossRef]
- Davis, E.H.; Raymond, G.P. A non-linear theory of consolidation. Géotechnique 1965, 15, 161–173. [Google Scholar] [CrossRef]
- Xie, K.H.; Xie, X.Y.; Jiang, W. A study on one-dimensional nonlinear consolidation of double-layered soil. Comput. Geotech. 2002, 29, 151–168. [Google Scholar] [CrossRef]
- Zong, M.F.; Wu, W.B.; Mei, G.X.; Liang, R.Z.; Tian, Y. An analytical solution for one-dimensional nonlinear consolidation of soils with continuous drainage boundary. Chin. J. Rock Mech. Eng. 2018, 37, 2829–2838. [Google Scholar] [CrossRef]
- Liu, Q.; Deng, Y.B.; Wang, T.Y. One-dimensional nonlinear consolidation theory for soft ground considering secondary consolidation and the thermal effect. Comput. Geotech. 2018, 104, 22–28. [Google Scholar] [CrossRef]
- Pu, H.f.; Wang, K.; Qiu, J.w.; Chen, X.l. Large-strain numerical solution for coupled self-weight consolidation and contaminant transport considering nonlinear compressibility and permeability. Appl. Math. Model. 2020, 88, 916–932. [Google Scholar] [CrossRef]
- Wang, Z.L.; Li, Y.C. Research on mathematic model method for calculating pre-consolidation pressure and its application. Rock Soil Mech. 2005, 26, 66–69. [Google Scholar] [CrossRef]
- Zhao, M.Z.; Luo, Q.; Jiang, L.W.; Zhang, L.; Meng, W.C. An analysis method for calculating compression modulus of foundation soil based on standard compression modulus and liquid limit. Rock Soil Mech. 2015, 36, 2073–2080. [Google Scholar] [CrossRef]










| Property | Red Soil | Kaolin | Taramani Clay | Bombay Marine Clay |
|---|---|---|---|---|
| Liquid limit (%) | 32 | 63 | 72 | 104 |
| Plastic limit (%) | 15 | 29 | 27 | 47 |
| Plasticity index | 17 | 34 | 45 | 59 |
| Sand (%) | 43 | 0 | 12 | 1 |
| Silt size (%) | 43 | 31 | 28 | 40 |
| Clay (%) | 14 | 69 | 60 | 59 |
| Specific gravity | 2.66 | 2.69 | 2.67 | 2.71 |
| Classification | CL | CH | CH | MH |
| Initial height H0 (mm) | 20 | 20 | 20 | 20 |
| Initial void ratio e0 | 1.02 | 2.30 | 1.84 | 2.83 |
| Initial effective stress (kPa) | 10 | 10 | 10 | 10 |
| Deformation rate v (× 10−8 m/s) | 3.33 | 33.33 | 1.67 | 5.00 |
| Initial hydraulic conductivity k0 (× 10−9 m/s) | 3.48 | 22.09 | 3.93 | 4.66 |
| Compression index Cc | 0.26 | 0.69 | 0.55 | 0.81 |
| Permeability index Ck | 0.27 | 0.99 | 0.41 | 0.83 |
Disclaimer/Publisher’s Note: The statements, opinions and data contained in all publications are solely those of the individual author(s) and contributor(s) and not of MDPI and/or the editor(s). MDPI and/or the editor(s) disclaim responsibility for any injury to people or property resulting from any ideas, methods, instructions or products referred to in the content. |
© 2024 by the authors. Licensee MDPI, Basel, Switzerland. This article is an open access article distributed under the terms and conditions of the Creative Commons Attribution (CC BY) license (https://creativecommons.org/licenses/by/4.0/).
Share and Cite
Wang, W.; Ke, L.; Gu, Y. A Strain-Controlled Finite Strain Model for CRD Consolidation of Saturated Clays Considering Non-Linear Compression and Permeability Relationships. Water 2024, 16, 2858. https://doi.org/10.3390/w16192858
Wang W, Ke L, Gu Y. A Strain-Controlled Finite Strain Model for CRD Consolidation of Saturated Clays Considering Non-Linear Compression and Permeability Relationships. Water. 2024; 16(19):2858. https://doi.org/10.3390/w16192858
Chicago/Turabian StyleWang, Weiyu, Lijun Ke, and Yaotian Gu. 2024. "A Strain-Controlled Finite Strain Model for CRD Consolidation of Saturated Clays Considering Non-Linear Compression and Permeability Relationships" Water 16, no. 19: 2858. https://doi.org/10.3390/w16192858
APA StyleWang, W., Ke, L., & Gu, Y. (2024). A Strain-Controlled Finite Strain Model for CRD Consolidation of Saturated Clays Considering Non-Linear Compression and Permeability Relationships. Water, 16(19), 2858. https://doi.org/10.3390/w16192858
