Spatial and Temporal Water Quality Monitoring in the Crocodile River of Mpumalanga, South Africa
Abstract
1. Introduction
2. Materials and Methods
2.1. Study Area Description
- Characterization of sampling sites
- Kaapmuiden (site 1)
- Komatipoort (site 2)
- Malelane (site 3)
- R571 Bridge (Site 4)
2.2. Water Sampling and Analysis Procedure
2.3. Statistical Data Analysis
2.4. Prescribed Physicochemical Parameters
3. Results
3.1. Spatiotemporal Distribution of Physiochemical Parameters in Four Sites
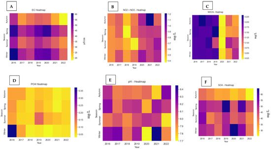
3.2. Seasonal Variation Water Quality Parameters across Different Sites in the Crocodile River
4. Discussion
5. Conclusions
6. Recommendations
Supplementary Materials
Author Contributions
Funding
Data Availability Statement
Acknowledgments
Conflicts of Interest
References
- Monteiro, M.; Costa, M. A time series model comparison for monitoring and forecasting water quality variables. Hydrology 2018, 5, 37. [Google Scholar] [CrossRef]
- Mustafa, A.S.; Sulaiman, S.O.; Shahooth, S.H. Application of QUAL2K for Water Quality Modeling and Management in the lower reach of the Diyala river. Iraqi J. Civ. Eng. 2017, 11, 66–80. [Google Scholar] [CrossRef]
- Tung, T.M.; Yaseen, Z.M. A survey on river water quality modelling using artificial intelligence models: 2000–2020. J. Hydrol. 2020, 585, 124670. [Google Scholar]
- Parmar, K.S.; Bhardwaj, R. Statistical, time series, and fractal analysis of full stretch of river Yamuna (India) for water quality management. Environ. Sci. Pollut. Res. 2015, 22, 397–414. [Google Scholar] [CrossRef]
- Mbanga, J.; Abia, A.L.; Amoako, D.G.; Essack, S.Y. Quantitative microbial risk assessment for waterborne pathogens in a wastewater treatment plant and its receiving surface water body. BMC Microbiol. 2020, 20, 346. [Google Scholar] [CrossRef]
- Gqomfa, B.; Maphanga, T.; Shale, K. The impact of informal settlement on water quality of Diep River in Dunoon. Sustain. Water Resour. Manag. 2022, 8, 27. [Google Scholar]
- Gqomfa, B.; Maphanga, T.; Phungela, T.T.; Madonsela, B.; Malakane, K.; Lekata, S. El Niño southern oscillation (ENSO) implication towards crocodile river water quality in South Africa. Sustainability 2023, 15, 11125. [Google Scholar] [CrossRef]
- Phungela, T.A.; Gqomfa, B.A.; Maphanga, T.H.; Shale, K.A. The impact of wastewater treatment effluent on water resources: A South African perspective. Water Law 2021, 27, 140–148. [Google Scholar]
- Sun, G.H.; Shen, Y.; Xu, Y.M.; Shi, G.L.; Hu, J. Time series analysis and forecast model for water quality of yellow river based on Box-Jenkins method. J. Agro Environ. Sci. 2011, 30, 1888–1895. [Google Scholar]
- Molekoa, M.D.; Avtar, R.; Kumar, P.; Thu Minh, H.V.; Dasgupta, R.; Johnson, B.A.; Sahu, N.; Verma, R.L.; Yunus, A.P. Spatio-temporal analysis of surface water quality in Mokopane area, Limpopo, South Africa. Water 2021, 13, 220. [Google Scholar] [CrossRef]
- Malakane, K.C.; Maphanga, T.; Madonsela, B.S. Assessing the Spatio-temporal variation of water quality over time at Malelane area in the lower catchment of the Crocodile River, Mpumalanga, South Africa. Anthropog. Pollut. 2024, 8, 1–11. [Google Scholar]
- Maphanga, T.; Chidi, B.; Phungela, T.T.; Gqomfa, B.; Madonsela, B.S.; Malakane, K.C.; Lekata, S.; Shale, K. The interplay between temporal and seasonal distribution of heavy metals and physiochemical properties in Kaap River. Int. J. Environ. Sci. Technol. 2024, 21, 6053–6064. [Google Scholar] [CrossRef]
- Zeinalzadeh, K.; Rezaei, E. Determining spatial and temporal changes of surface water quality using principal component analysis. J. Hydrol. Reg. Stud. 2017, 13, 1–10. [Google Scholar] [CrossRef]
- Kwong, I.H.; Wong, F.K.; Fung, T. Automatic mapping and monitoring of marine water quality parameters in Hong Kong using Sentinel-2 image time-series and Google Earth Engine cloud computing. Front. Mar. Sci. 2022, 9, 871470. [Google Scholar] [CrossRef]
- de Andrade Costa, D.; Soares de Azevedo, J.P.; Dos Santos, M.A.; Vinhaes Assumpção, R. Water quality assessment based on multivariate statistics and water quality index of a strategic river in the Brazilian Atlantic Forest. Sci. Rep. 2020, 10, 22038. [Google Scholar] [CrossRef]
- Taheri Tizro, A.; Ghashghaie, M.; Georgiou, P.; Voudouris, K. Time series analysis of water quality parameters. J. Appl. Res. Water Wastewater 2014, 1, 40–50. [Google Scholar]
- Schwarzenbach, R.P.; Egli, T.; Hofstetter, T.B.; Von Gunten, U.; Wehrli, B. Global water pollution and human health. Annu. Rev. Environ. Resour. 2010, 35, 109–136. [Google Scholar] [CrossRef]
- Wu, Z.; Wang, X.; Chen, Y.; Cai, Y.; Deng, J. Assessing river water quality using water quality index in Lake Taihu Basin, China. Sci. Total Environ. 2018, 612, 914–922. [Google Scholar] [CrossRef]
- Benvenuti, T.; Kieling-Rubio, M.A.; Klauck, C.; Rodrigues, M.A. Evaluation of water quality at the source of streams of the Sinos River Basin, southern Brazil. Braz. J. Biol. 2015, 75, 98–104. [Google Scholar] [CrossRef]
- Gqomfa, B.; Maphanga, T.; Madonsela, B.S. An Analysis of the Effects that South Africa’s Informal Settlements have had on the Country’s River Systems. Nat. Environ. Pollut. Technol. 2023, 22, 1833–1843. [Google Scholar] [CrossRef]
- Maphanga, T.; Madonsela, B.S.; Chidi, B.S.; Shale, K.; Munjonji, L.; Lekata, S. The effect of rainfall on Escherichia coli and chemical oxygen demand in the effluent discharge from the Crocodile River wastewater treatment; South Africa. Water 2022, 14, 2802. [Google Scholar] [CrossRef]
- Faruk, D.Ö. A hybrid neural network and ARIMA model for water quality time series prediction. Eng. Appl. Artif. Intell. 2010, 23, 586–594. [Google Scholar] [CrossRef]
- Duan, W.; He, B.; Takara, K.; Luo, P.; Nover, D.; Sahu, N.; Yamashiki, Y. Spatiotemporal evaluation of water quality incidents in Japan between 1996 and 2007. Chemosphere 2013, 93, 946–953. [Google Scholar] [CrossRef]
- Luo, P.; He, B.; Takara, K.; Razafindrabe, B.H.; Nover, D.; Yamashiki, Y. Spatiotemporal trend analysis of recent river water quality conditions in Japan. J. Environ. Monit. 2011, 13, 2819–2829. [Google Scholar] [CrossRef]
- Mahmoodi, N.; Osati, K.; Salajegheh, A.; Saravi, M.M. Trend in river water quality: Tracking the overall impacts of climate change and human activities on water quality in the Dez River Basin. J. Water Health 2021, 19, 159–173. [Google Scholar] [CrossRef]
- Hashim, M.; Nayan, N.; Setyowati, D.L.; Said, Z.M.; Mahat, H.; Saleh, Y. Analysis of water quality trends using the Mann-Kendall test and Sen’s Estimator of Slope in a tropical river basin. Pollution 2021, 7, 933–942. [Google Scholar]
- Elhag, M.; Gitas, I.; Othman, A.; Bahrawi, J.; Psilovikos, A.; Al-Amri, N. Time series analysis of remotely sensed water quality parameters in arid environments, Saudi Arabia. Environ. Dev. Sustain. 2021, 23, 1392–1410. [Google Scholar] [CrossRef]
- Kumar, P. Numerical quantification of current status quo and future prediction of water quality in eight Asian megacities: Challenges and opportunities for sustainable water management. Environ. Monit. Assess. 2019, 191, 319. [Google Scholar] [CrossRef]
- Kazi, T.G.; Arain, M.B.; Jamali, M.K.; Jalbani, N.; Afridi, H.I.; Sarfraz, R.A.; Baig, J.A.; Shah, A.Q. Assessment of water quality of polluted lake using multivariate statistical techniques: A case study. Ecotoxicol. Environ. Saf. 2009, 72, 301–309. [Google Scholar] [CrossRef]
- Bedim Godoy, R.F.; Crisiogiovanni, E.L.; Trevisan, E.; Dias Radomski, F.A. Spatial and temporal variation of water quality in a watershed in center-west Paraná, Brazil. Water Supply 2021, 21, 1718–1734. [Google Scholar] [CrossRef]
- De Necker, L.; Neswiswi, T.; Greenfield, R.; van Vuren, J.; Brendonck, L.; Wepener, V.; Smit, N. Long-term water quality patterns of a flow regulated tropical lowland river. Water 2019, 12, 37. [Google Scholar] [CrossRef]
- Amatya, D.M.; Skaggs, R.W. Long-term hydrology and water quality of a drained pine plantation in North Carolina. Trans. ASABE 2011, 54, 2087–2098. [Google Scholar] [CrossRef]
- Tomas, D.; Čurlin, M.; Marić, A.S. Assessing the surface water status in Pannonian ecoregion by the water quality index model. Ecol. Indic. 2017, 79, 182–190. [Google Scholar] [CrossRef]
- Diwan, V.; Stålsby Lundborg, C.; Tamhankar, A.J. Seasonal and temporal variation in release of antibiotics in hospital wastewater: Estimation using continuous and grab sampling. PLoS ONE 2013, 8, e68715. [Google Scholar] [CrossRef]
- Meride, Y.; Ayenew, B. Drinking water quality assessment and its effects on residents health in Wondo genet campus, Ethiopia. Environ. Syst. Res. 2016, 5, 1. [Google Scholar] [CrossRef]
- De Klerk, A.R.; De Klerk, L.P.; Chamier, J.; Wepener, V. Seasonal variations of water and sediment quality parameters in endorheic reed pans on the Mpumalanga Highveld. Water SA 2012, 38, 663–672. [Google Scholar] [CrossRef]
- Manyatshe, A.; Fosso-Kankeu, E.; van der Berg, D.; Lemmer, D.; Waanders, F.; Hlanganani, T. Assessment of Seasonal Variation in Surface Water Quality of the Mooi and Vaal Rivers Network, South Africa. 2016. Available online: https://www.researchgate.net/publication/311516799_Assessment_of_Seasonal_Variation_in_Surface_Water_Quality_of_the_Mooi_and_Vaal_Rivers_Network_South_Africa (accessed on 25 June 2023).
- Department of Water and Sanitation. Level Review of Water Quality in South Africa; Department of Water and Sanitation: Pretoria, South Africa, 2015. Available online: https://www.dws.gov.za/iwrp/iwqms/Documents/Report%201.1_Inception%20Report.pdf (accessed on 5 June 2022).
- Malakane, K.C.; Maphanga, T. An assessment of the quality of effluent discharged from several wastewater treatment plants into the Crocodile River of Mpumalanga, South Africa. J. Appl. Res. Water Wastewater 2024, 11, 15–23. [Google Scholar]
- Loock, M.M.; Beukes, J.P.; Van Zyl, P.G. Conductivity as an indicator of surface water quality in the proximity of ferrochrome smelters in South Africa. Water SA 2015, 41, 705–711. [Google Scholar] [CrossRef]
- van Rensburg, S.J.; Barnard, S. Evaluation and impact of a polluted stream on the integrated management of a drinking water resource: A case study of the Middle Vaal River, South Africa. J. Water Resour. Prot. 2019, 11, 148. [Google Scholar] [CrossRef]
- Mainali, J.; Chang, H. Environmental and spatial factors affecting surface water quality in a Himalayan watershed, Central Nepal. Environ. Sustain. Indic. 2021, 9, 100096. [Google Scholar] [CrossRef]
- Haarhoff, S.J.; Kotzé, T.; Swanepoel, P.A. A prospectus for sustainability of rainfed maize production systems in South Africa. Crop Sci. 2020, 60, 14–28. [Google Scholar] [CrossRef]
- Singh, J.; Yadav, P.; Pal, A.K.; Mishra, V. Water pollutants: Origin and status. In Sensors in Water Pollutants Monitoring: Role of Material; Pooja, D., Kumar, P., Singh, P., Patil, S., Eds.; Springer: Singapore, 2020; pp. 5–20. [Google Scholar]
- Shabalala, A.N.; Combrinck, L.; McCrindle, R. Effect of farming activities on seasonal variation of water quality of Bonsma Dam, KwaZulu-Natal. South Afr. J. Sci. 2013, 109, 1–7. [Google Scholar] [CrossRef]
- Schilling, K.E.; Wolter, C.F. Contribution of base flow to nonpoint source pollution loads in an agricultural watershed. Groundwater 2001, 39, 49–58. [Google Scholar] [CrossRef]
- Soko, M.I.; Gyedu-Ababio, T. The spatial and temporal variations of Ichythyofauna and water quality in the Crocodile River (East), Mpumalanga, South Africa. J. Water Resour. Prot. 2015, 7, 152–170. [Google Scholar] [CrossRef]
- Wang, X.; Li, J.; Chen, J.; Cui, L.; Li, W.; Gao, X.; Liu, Z. Water quality criteria of total ammonia nitrogen (TAN) and un-ionized ammonia (NH3-N) and their ecological risk in the Liao River, China. Chemosphere 2020, 243, 125328. [Google Scholar] [CrossRef] [PubMed]
- Van der Laan, M.; Van Antwerpen, R.; Bristow, K.L. River water quality in the northern sugarcane-producing regions of South Africa and implications for irrigation: A scoping study. Water SA 2012, 38, 87–96. [Google Scholar] [CrossRef]
- Khungwayo, A.N. Investigating the Effects of Nutrients and Chlorophyll Concentrations on the Water Quality of the Nuwejaars River, Cape Agulhas, Western Cape. Master’s Thesis, University of Western Cape, Cape Town, South Africa, 2022. [Google Scholar]
- Masindi, T.K.; Gyedu-Ababio, T.; Mpenyana-Monyatsi, L. Pollution of Sand River by Wastewater Treatment Works in the Bushbuckridge Local Municipality, South Africa. Pollutants 2022, 2, 510–530. [Google Scholar] [CrossRef]
- Mararakanye, N.; Le Roux, J.; Franke, A.C. Long-term water quality assessments under changing land use in a large semi-arid catchment in South Africa. Sci. Total Environ. 2022, 818, 151670. [Google Scholar] [CrossRef]




| Electrical Conductivity (Count per 100 mL) | Sulphate (SO42−) | Chloride (Cl−) | pH | Nitrite and Nitrate (NO2− and NO3−) | Phosphate (PO43−) | Ammonia (NH4+) | |
|---|---|---|---|---|---|---|---|
| Crocodile River | 30 µs/cm | 0.015 mg/L | 30 mg/L | 6.5–8.0 | 15 mg/L | 0.125 mg/L | 1 mg/L | 
| Disclaimer/Publisher’s Note: The statements, opinions and data contained in all publications are solely those of the individual author(s) and contributor(s) and not of MDPI and/or the editor(s). MDPI and/or the editor(s) disclaim responsibility for any injury to people or property resulting from any ideas, methods, instructions or products referred to in the content. | 
© 2024 by the authors. Licensee MDPI, Basel, Switzerland. This article is an open access article distributed under the terms and conditions of the Creative Commons Attribution (CC BY) license (https://creativecommons.org/licenses/by/4.0/).
Share and Cite
Madonsela, B.S.; Malakane, K.C.; Maphanga, T.; Phungela, T.T.; Gqomfa, B.; Grangxabe, X.S.; Chidi, B.S.; Ntuli, S.S.; Nyawo, T.G. Spatial and Temporal Water Quality Monitoring in the Crocodile River of Mpumalanga, South Africa. Water 2024, 16, 2457. https://doi.org/10.3390/w16172457
Madonsela BS, Malakane KC, Maphanga T, Phungela TT, Gqomfa B, Grangxabe XS, Chidi BS, Ntuli SS, Nyawo TG. Spatial and Temporal Water Quality Monitoring in the Crocodile River of Mpumalanga, South Africa. Water. 2024; 16(17):2457. https://doi.org/10.3390/w16172457
Chicago/Turabian StyleMadonsela, Benett Siyabonga, Karabo Concelia Malakane, Thabang Maphanga, Terry Takalani Phungela, Babalwa Gqomfa, Xolisiwe Sinalo Grangxabe, Boredi Silas Chidi, Siyabulela Sboniso Ntuli, and Thembinkosi Goodman Nyawo. 2024. "Spatial and Temporal Water Quality Monitoring in the Crocodile River of Mpumalanga, South Africa" Water 16, no. 17: 2457. https://doi.org/10.3390/w16172457
APA StyleMadonsela, B. S., Malakane, K. C., Maphanga, T., Phungela, T. T., Gqomfa, B., Grangxabe, X. S., Chidi, B. S., Ntuli, S. S., & Nyawo, T. G. (2024). Spatial and Temporal Water Quality Monitoring in the Crocodile River of Mpumalanga, South Africa. Water, 16(17), 2457. https://doi.org/10.3390/w16172457
 
         
                                                


 
       