Investigating the Spatio-Temporal Evolution of Land Cover and Ecosystem Service Value in the Kuye River Basin
Abstract
1. Introduction
2. Materials and Methods
2.1. Overview of the Study Area
2.2. Data Sources
2.3. Research Methodology
2.3.1. Research Framework
2.3.2. Land Cover Analysis
- (1)
- Land cover dynamic degree
- (2)
- Land cover transfer matrix
- (3)
- Land use intensity
2.3.3. Estimation of Ecosystem Service Value
- (1)
- Equivalent factors of ecological service value per unit area in China
- (2)
- According to the MEA, ecosystem services were classified into provisioning, regulating, supporting, and cultural ecosystem services [56]. This research, following Sun et al. [57] (Formula (6)), modified CN’s ecosystem service value per unit area [28] to adapt it to the study area’s ecosystem (Table 3). This modification was made based on the basin’s natural geography and human and social conditions.
2.3.4. Prediction of Land Cover and Ecosystem Services
- (1)
- Simulation parameters and neighbourhood weight settings for the CARS module
- (2)
- The setting of land conversion cost matrix parameters
- (3)
- Future development scenarios
- (4)
- Simulation accuracy test
3. Results
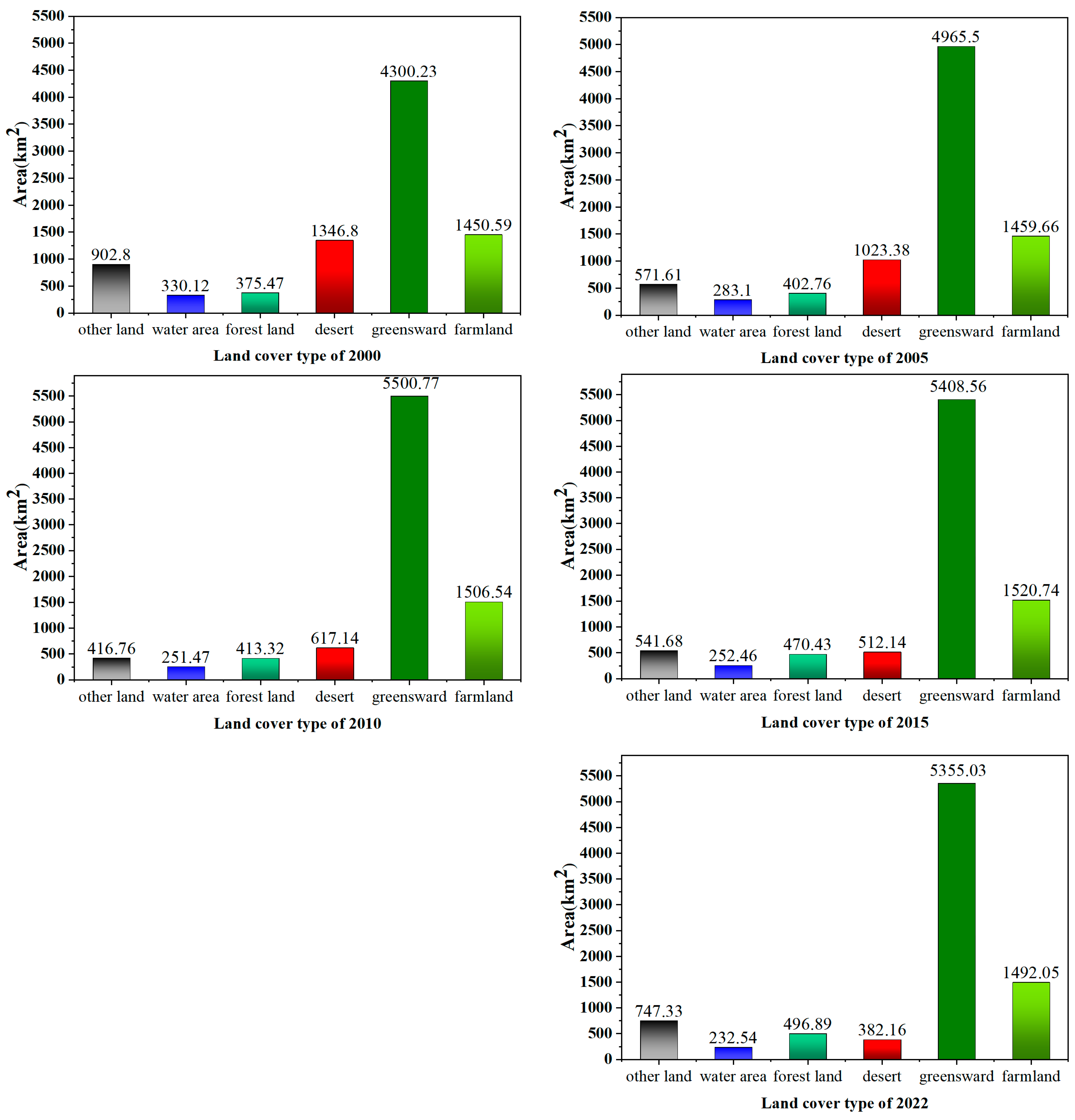
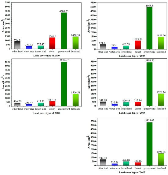
3.1. Land Cover Structure
3.2. Characteristics of Land Cover Change and Transfer
3.3. Land Use Intensity
3.4. Characteristics of Changes in Ecosystem Services
3.4.1. Changes in Ecosystem Values across Varied Service Functions
3.4.2. Ecosystem Values Changes across the Varied Land Cover Structure
3.5. Future Development for Land Cover and Ecosystem Services under Two Scenarios
4. Discussion
4.1. Analysis of Land Cover Structure and Ecosystem Services
4.2. Optimisation Suggestions for Future Regulatory Measures and Policy Formulation
5. Conclusions
Author Contributions
Funding
Data Availability Statement
Conflicts of Interest
References
- Shen, P.K.; Zhao, S.Q.; Ma, Y.J.; Liu, S.G. Urbanization-induced earth’s surface energy alteration and warming: A global spatiotemporal analysis. Remote Sens. Environ. 2024, 284, 113361. [Google Scholar] [CrossRef]
- Rai, M.K.; Paudel, B.; Zhang, Y.L.; Nepal, P.; Khanal, N.R.; Liu, L.S.; Rai, R. Appraisal of empirical studies on land use and land cover changes and their impact on ecosystem services in Nepal Himalaya. Sustainability 2023, 15, 7134. [Google Scholar] [CrossRef]
- Xie, G.D.; Lu, C.X.; Cheng, S.K. Progress of global ecosystem service valuation. Resour. Sci. 2001, 6, 5–9. [Google Scholar] [CrossRef]
- Zhou, C.; Li, G.P. A review of research on ecosystem service valuation methods—And theoretical advances in the conditional value approach. Ecol. Econ. 2018, 34, 207–214. [Google Scholar]
- Liu, S.; Costanza, R.; Farber, S.; Troy, A. Valuing ecosystem services theory, practice, and the need for a transdisciplinary synthesis. Ecol. Econ. Rev. 2010, 1185, 54–78. [Google Scholar] [CrossRef]
- Costanza, R.; d’Arge, R.; de Groot, P.; Farber, S.; Grasso, M.; Hannon, B.; Limburg, K.; Naeem, S.; O’Neil, R.V.; Paruelo, J.; et al. The value of the world’s ecosystem services and natural capital. Nature 1997, 387, 253–260. [Google Scholar] [CrossRef]
- Cochran, F.; Daniel, J.; Jackson, L.; Neale, A. Earth observation-based ecosystem services indicators for national and subnational reporting of the sustainable development goals. Remote Sens. Environ. 2020, 244, 111796. [Google Scholar] [CrossRef]
- Costanza, R.; de Groot, R.; Braat, L.; Kubiszewski, I.; Fioramonti, L.; Sutton, P.; Grasso, M. Twenty years of ecosystem services: How far have we come and how far do we still need to go? Ecosyst. Serv. 2017, 28, 1–16. [Google Scholar] [CrossRef]
- Torres, A.V.; Tiwari, C.; Atkinson, S.F. Progress in ecosystem services research: A guide for scholars and practitioners. Ecosyst. Serv. 2021, 49, 101267. [Google Scholar] [CrossRef]
- Soubry, I.; Doan, T.; Chu, T.; Guo, X.L. A systematic review on the integration of remote sensing and GIS to forest and grassland ecosystem health attributes, indicators, and measures. Remote Sens. 2021, 13, 3262. [Google Scholar] [CrossRef]
- Zhao, M.T.; Zhou, Q.W.; Luo, Y.Z.; Li, Y.; Wang, Y.L.; Yuan, E.R. Threshold effects between ecosystem services and natural and social drivers in karst landscapes. Land 2024, 13, 691. [Google Scholar] [CrossRef]
- Dong, W.; Wu, X.; Zhang, J.J.; Zhang, Y.L.; Dang, H.; Lü, Y.H.; Wang, C.; Guo, J.Y. Spatiotemporal heterogeneity and driving factors of ecosystem service relationships and bundles in a typical agropastoral ecotone. Ecol. Indic. 2023, 156, 111074. [Google Scholar] [CrossRef]
- Shen, J.S.; Li, S.C.; Liu, L.B.; Liang, Z.; Wang, Y.Y.; Wang, H.; Wu, S.Y. Uncovering the relationships between ecosystem services and social-ecological drivers at different spatial scales in the Beijing-Tianjin-Hebei region. J. Clean. Prod. 2021, 290, 125193. [Google Scholar] [CrossRef]
- Chen, Z.F.; Liu, Y.; Chen, D.; Peng, B.F. Exploring the impacts of land use and land cover change on ecosystem services in Dongting Lake, China: A spatial and temporal analysis. Front. Environ. Sci. 2024, 12, 1395557. [Google Scholar] [CrossRef]
- Yuan, S.F.; Mei, Z.H.; Zhu, C.M.; Cao, R.F.; Li, S.N.; Yang, L.X.; Su, Y.; Li, W.Y. Investigating the spatio-temporal interactive relationship between land use structure and ecosystem services in urbanizing China. Ecol. Indic. 2024, 158, 111315. [Google Scholar] [CrossRef]
- Ligate, E.J.; Chen, C.; Wu, C.Z. Evaluation of tropical coastal land cover and land use change and their impacts on ecosystem service values. Ecosyst. Health Sustain. 2018, 4, 188–204. [Google Scholar] [CrossRef]
- Zhao, J.H. Rational development and utilisation of land resources to maintain ecosystem balance. Jilin Agric. 2015, 20, 123. [Google Scholar] [CrossRef]
- La Notte, A.; Dalmazzone, S. Sustainability assessment and causality nexus through ecosystem service accounting: The case of water purification in Europe. J. Environ. Manag. 2018, 223, 964–974. [Google Scholar] [CrossRef]
- Ansink, E.; Hein, L.; Hasund, K.P. To value functions or services? An analysis of ecosystem valuation approaches. Environ. Values 2008, 17, 489–503. [Google Scholar] [CrossRef]
- Kang, N.N.; Hou, L.L.; Huang, J.K.; Liu, H.F. Ecosystem services valuation in China: A meta-analysis. Sci. Total Environ. 2022, 809, 151122. [Google Scholar] [CrossRef]
- Sannigrahi, S.; Bhatt, S.; Rahmat, S.; Paul, S.; Sen, S. Estimating global ecosystem service values and its response to land surface dynamics during 1995–2015. J. Environ. Manag. 2018, 223, 115–131. [Google Scholar] [CrossRef] [PubMed]
- Li, Y.; Zhang, P.J.; Qin, Y.C. Ecological service evaluation: An empirical study on the central Loess Plateau, China. Pol. J. Environ. Stud. 2020, 29, 1691–1701. [Google Scholar] [CrossRef] [PubMed]
- Liu, X.M.; Wang, Y.; Tao, P.J. Accounting of ecosystem service value based on land use—A case study of Hebei Province. Agric. Technol. 2023, 43, 91–95. [Google Scholar] [CrossRef]
- Yuan, K.; Li, F.; Yang, H.; Wang, Y. The influence of land use change on ecosystem service value in Shangzhou District. Int. J. Environ. Res. Public Health 2019, 16, 1321. [Google Scholar] [CrossRef]
- Cai, Z.H.; Wang, Q.; Liu, G.Q. Recalculation of the value of ecosystem services in China. Ecol. Econ. 2014, 30, 16–18+23. [Google Scholar] [CrossRef]
- Xie, G.D.; Lu, C.X.; Leng, Y.F.; Zheng, D.; Li, S.C. Ecological assets valuation of the Tibetan Plateau. J. Nat. Resour. 2003, 18, 189–196. [Google Scholar] [CrossRef]
- Xie, G.D.; Zhang, C.X.; Zhang, C.S.; Xiao, Y.; Lu, C.X. The value of ecosystem services in China. Resour. Sci. 2015, 37, 1740–1746. [Google Scholar]
- Zhang, B.A.; Li, W.H.; Xie, G.D. Ecosystem services research in China: Progress and perspective. Ecol. Econ. 2010, 69, 1389–1395. [Google Scholar] [CrossRef]
- Zhang, X.Y.; Zhang, X.; Li, D.H.; Lu, L.; Yu, H. Multi scenario simulation of the impact of urban land use change on ecosystem service value: A case study of Shenzhen. Chin. J. Ecol. 2022, 42, 2086–2097. [Google Scholar] [CrossRef]
- Hu, X.L.; Xu, L.; Zhang, S.S. Land use pattern in Dalian based on CA Markov model and multi-objective optimization. Chin. J. Appl. Ecol. 2013, 24, 1652–1660. [Google Scholar] [CrossRef]
- Li, Y.J.; Ye, C.S.; Huang, X.L. Study on the spatial and temporal evolution and scenario simulation of “three lives” in Nanchang City Based on CLUE-S Mode. Soil Water Conserv. Res. 2021, 28, 325–332. [Google Scholar] [CrossRef]
- Xie, L.L.; Xu, J.L.; Zang, J.M.; Huang, T.N. Simulation and prediction of land use change in Guangxi based on Markov PLUS model. Soil Water Conserv. Res. 2022, 29, 249–254+264. [Google Scholar] [CrossRef]
- Liang, X.; Guan, Q.F.; Clarke, K.C.; Liu, S.S.; Wang, B.Y.; Yao, Y. Understanding the drivers of sustainable land expansion using a patch-generating land use simulation (PLUS) model: A case study in Wuhan, China. Comput. Environ. Urban Syst. 2021, 85, 101569. [Google Scholar] [CrossRef]
- La, H.M.; Gou, M.M.; Li, L.; Wang, N.; Hu, J.W.; Liu, C.F.; Xiao, W.F. Spatiotemporal dynamics and scenario simulation of ecosystem services trade-offs in the Three Gorges Reservoir Area: A case study of Zigui County. J. Ecol. Rural. Environ. 2021, 37, 1368–1377. [Google Scholar] [CrossRef]
- Shi, M.J.; Wu, H.Q.; Fan, X.; Jia, H.T.; Dong, T.; He, P.X.; Baqa, M.F.; Jiang, P.G. Trade-offs and synergies of multiple ecosystem services for different land use scenarios in the Yili River Valley, China. Sustainability 2021, 13, 1577. [Google Scholar] [CrossRef]
- Wu, C.S.; Ma, G.X.; Yang, W.S.; Zhou, Y.; Peng, F.; Wang, J.N.; Yu, F. Assessment of ecosystem service value and its differences in the Yellow River Basin and Yangtze River Basin. Sustainability 2021, 13, 3822. [Google Scholar] [CrossRef]
- Brander, L.M.; de Groot, R.; Schägner, J.P.; Guisado-Goñi, V.; van’t Hoff, V.; Solomonides, S.; McVittie, A.; Eppink, F.; Sposato, M.; Do, L.; et al. Economic values for ecosystem services: A global synthesis and way forward. Ecosyst. Serv. 2024, 66, 101606. [Google Scholar] [CrossRef]
- Shi, G.; Ren, B.P. Comprehensive evaluation of coupled coordination of ecological protection and high-quality development in the Yellow River Basin. Yellow River 2023, 45, 16–21+28. [Google Scholar] [CrossRef]
- Ge, Q.Q.; Xu, W.J.; Fu, M.C.; Han, Y.X.; An, G.Q.; Xu, Y.T. Ecosystem service values of gardens in the Yellow River Basin, China. J. Arid. Land 2022, 14, 284–296. [Google Scholar] [CrossRef]
- Zhu, M.; Zhang, X.W.; Elahi, E.; Fan, B.B.; Khalid, Z. Assessing ecological product values in the Yellow River Basin: Factors, trends, and strategies for sustainable development. Ecol. Indic. 2024, 160, 111708. [Google Scholar] [CrossRef]
- Wang, A.L.; Wang, S.S.; Liang, S.T.; Yang, R.J.; Yang, M.W.; Yang, J.Y. Research on ecological protection and high-quality development of the lower Yellow River based onsystem dynamics. Water 2023, 15, 3046. [Google Scholar] [CrossRef]
- Liu, Q.; Cai, X.Y.; Liu, J.Y.; Wang, J.; Li, K.Y.; Zhang, Q.Q.; Wei, F.H.; Mu, X.M. Characteristics of water-sand relationship changes in the middle reaches of the Yellow River in the Kuye River Basin and analysis of its causes. Res. Soil Water Conserv. 2022, 29, 68–74. [Google Scholar] [CrossRef]
- Zhao, C.; Wang, X.D.; Zhang, X.M.; Le, M.H. Study on scale effect drivers of water-sand evolution in the Kuye River Basin. Hydrology 2016, 36, 56–61. [Google Scholar] [CrossRef]
- Ji, R.J.; Peng, P.; Fan, L.M.; Zhao, Y.N.; Li, C. The impact of coal mining in Shenfu mining area on groundwater circulation: A case study of the middle and lower reaches of Kuye River. Coal J. 2015, 40, 938–943. [Google Scholar] [CrossRef]
- Liu, E.; Zhang, X.P.; Zhang, J.J.; Lei, Y.N.; Xie, M.L. Changes in runoff of the Kuye River and analysis of the impacts of anthropogenic activities on runoff from 1956 to 2005. J. Nat. Resour. 2013, 28, 1159–1168. [Google Scholar] [CrossRef]
- de Groot, R.S.; Alkemade, R.; Braat, L.; Hein, L.; Willemen, L. Challenges in integrating the concept of ecosystem services and values in landscape planning, management and decision making. Ecol. Complex. 2010, 7, 260–272. [Google Scholar] [CrossRef]
- Rerkasem, K.; Yimyam, N.; Rerkasem, B. Land use transformation in the mountainous mainland Southeast Asia region and the role of indigenous knowledge and skills in forest management. For. Ecol. Manag. 2009, 257, 2035–2043. [Google Scholar] [CrossRef]
- Seto, K.C.; Fragkias, M. Quantifying spatiotemporal patterns of urban land use change in four cities of China with time series landscape metrics. Landsc. Ecol. 2005, 20, 871–888. [Google Scholar] [CrossRef]
- Yu, W.J.; Wang, W.; Hua, X.D.; Wei, X.Y. Exploring taxi demand distribution of comprehensive land- use patterns using online car-hailing data and points of interest in Chengdu, China. Transp. Res. Rec. 2021, 2675, 1268–1286. [Google Scholar] [CrossRef]
- Liu, G.H.; Yang, L.P.; Guo, S.L.; Deng, X.; Song, J.H.; Xu, D.D. Land attachment, intergenerational differences and land transfer: Evidence from Sichuan Province, China. Land 2022, 11, 695. [Google Scholar] [CrossRef]
- Xiao, X.Y.; Huang, X.; Jiang, L.L.; Jin, C.X. Empirical study on comparative analysis of dynamic degree differences of land use based on the optimization model. Geocarto Int. 2022, 37, 9847–9864. [Google Scholar] [CrossRef]
- Huang, B.Q.; Huang, J.L.; Pontius, R.G.; Tu, Z.S. Comparison of intensity analysis and the land use dynamic degrees to measure land changes outside versus inside the coastal zone of Longhai, China. Ecol. Indic. 2018, 89, 336–347. [Google Scholar] [CrossRef]
- Liu, J.Y.; Buhe, O.S.R. A study on the spatial and temporal characteristics of modern land-use change processes in China based on satellite remote sensing data. Quat. Res. 2000, 3, 229–239. [Google Scholar] [CrossRef]
- Wang, S.L.; Liu, X.D.; Wang, J.H.; Li, X.B.; Jin, M.; Zhang, X.L. Evaluation on forest ecosystem services value in Gansu province. J. Arid. Land Resour. Environ. 2012, 3, 139–143. [Google Scholar] [CrossRef]
- Carpenter, S.R.; DeFries, R.; Dietz, T.; Mooney, H.A.; Polasky, S.; Reid, W.V.; Scholes, R.J. Millennium ecosystem assessment: Research needs. Science 2006, 314, 257–258. [Google Scholar] [CrossRef]
- Weiskopf, S.R.; Myers, B.J.E.; Arce-Plata, M.I.; Blanchard, J.L.; Ferrier, S.; Fulton, E.A.; Harfoot, M.; Isbell, F.; Johnson, J.A.; Mori, A.S.; et al. A conceptual framework to integrate biodiversity, ecosystem function, and ecosystem service models. Bioscience 2022, 72, 1062–1073. [Google Scholar] [CrossRef] [PubMed]
- Xu, X.C.; Gu, X.W.; Wang, Q.; Gao, X.W.; Liu, J.P.; Wang, Z.K.; Wang, X.H. Production scheduling optimization considering ecological costs for open pit metal mines. J. Clean. Prod. 2018, 180, 210–221. [Google Scholar] [CrossRef]
- Lu, C.; Qi, X.; Zheng, Z.S.; Jia, K. PLUS-Model based Multi-Scenario land space simulation of the lower Yellow River Region and its ecological effects. Sustainability 2022, 14, 6942. [Google Scholar] [CrossRef]
- Wang, J.N.; Wang, W.C.; Hai, M.M. Simulation analysis of land use change in Shandong Province based on PLUS model. Land Nat. Resour. Res. 2022, 6, 1–8. [Google Scholar] [CrossRef]
- Pontius, R.G.; Boersma, W.; Castella, J.C.; Clarke, K.; de Nijs, T.; Dietzel, C.; Duan, Z.; Fotsing, E.; Goldstein, N.; Kok, K.; et al. Comparing the input, output, and validation maps for several models of land change. Ann. Reg. Sci. 2008, 42, 11–37. [Google Scholar] [CrossRef]
- Mao, Y.H.; Fan, J.; Zhou, D.J.; He, Y.; Yuan, M.; Zhang, H.X. Community-scale classification and governance policy implications for demographic, economic, and land-use linkages in Mega-Cities. Land 2024, 13, 441. [Google Scholar] [CrossRef]
- Hou, J.; Qin, T.L.; Liu, S.S.; Wang, J.W.; Dong, B.Q.; Yan, S.; Nie, H.J. Analysis and prediction of ecosystem service values based on land use/cover change in the Yiluo River Basin. Sustainability 2021, 13, 6432. [Google Scholar] [CrossRef]
- Tolessa, T.; Senbeta, F.; Kidane, M. The impact of land use/land cover change on ecosystem services in the central highlands of Ethiopia. Ecosyst. Serv. 2017, 23, 47–54. [Google Scholar] [CrossRef]
- Lei, J.R.; Chen, Z.Z.; Chen, X.H.; Li, Y.L.; Wu, T.T. Temporal and spatial changes in land use and ecosystem service value in Hainan Island from 1980 to 2018. Chin. J. Ecol. 2020, 40, 4760–4773. [Google Scholar]
- Zhang, R.P.; Yu, J.L.; Zheng, Y.Y.; Liu, T. Analysis of comprehensive river management in energy and chemical industry zones in China: A case study of Kuye River in Shenmu City. Shaanxi Water Resour. 2018, 6, 115–116+123. [Google Scholar] [CrossRef]















| Category | Data Details | Year | Original Resolution | Data Resource | Material Source | Data Processing Platform | Equipment Source |
|---|---|---|---|---|---|---|---|
| Land cover structure | Other land, water area, forest land, desert, greensward, and farmland | 1990, 1995, 2000, 2005, 2010, 2015, and 2022 | 30 m | “http://www.gscloud.cn (accessed on 20 May 2024)”. | Computer Network Information Center (CNIC), Beijing (BJ), China (CN) | ArcGIS (version: 10.8) and ENVI (version: 5.4) | ArcGIS (version: 10.8) source from Environmental Systems Research Institute (ESRI), Redlands (R), State of California (CA), The United State of America (USA) and ENVI (version: 5.4) source from Exelis Visual Information Solutions (EVIS), The United State of America (USA) |
| Natural data | DEM (Digital Elevation Model) | 2000, 2010, and 2020 | 30 m | “http://www.gscloud.cn (accessed on 20 May 2024)”. | Computer Network Information Center (CNIC), Beijing (BJ), China (CN | ArcGIS (version: 10.8) | Environmental Systems Research Institute (ESRI), Redlands (R), State of California (CA), The United State of America (USA) |
| Slope | “http://www.gscloud.cn (accessed on 20 May 2024)”. | Computer Network Information Center (CNIC), Beijing (BJ), China (CN | |||||
| Temperature | “https://www.resdc.cn/ (accessed on 20 May 2024)”. | Resources and Environmental Science Data Center (RESDC), Beijing (BJ), China (CN) | |||||
| Rainfall | “https://www.resdc.cn/ (accessed on 20 May 2024)”. | Resources and Environmental Science Data Center (RESDC), Beijing (BJ), China (CN) | |||||
| Social, economic data | Distance from road | 2000, 2010, and 2020 | 30 m | “https://www.resdc.cn/ (accessed on 20 May 2024)”. | Resources and Environmental Science Data Center (RESDC), Beijing (BJ), China (CN) | ArcGIS (version: 10.8) | Environmental Systems Research Institute (ESRI), Redlands (R), State of California (CA), The United State of America (USA) |
| Night light | |||||||
| GDP (Gross Domestic Product) | |||||||
| Population density | |||||||
| distance from city |
| ESF | TES | FL | F | GL | WL | D | W | ||||||||
|---|---|---|---|---|---|---|---|---|---|---|---|---|---|---|---|
| DL | PF | AL2 | MN | BL | S | G | SG | M | W | D | BS | WS | GSC | ||
| PS | FP | 0.12 | 0.19 | 0.03 | 0.04 | 0.04 | 0.03 | 0.01 | 0.05 | 0.03 | 0.07 | 0.00 | 0.00 | 0.11 | 0.00 |
| PM | 0.06 | 0.01 | 0.07 | 0.10 | 0.09 | 0.06 | 0.02 | 0.08 | 0.05 | 0.07 | 0.00 | 0.00 | 0.03 | 0.00 | |
| SWR | 0.00 | 0.36 | 0.04 | 0.05 | 0.05 | 0.03 | 0.01 | 0.04 | 0.02 | 0.36 | 0.00 | 0.00 | 1.15 | 0.30 | |
| RS | GC | 0.09 | 0.15 | 0.24 | 0.33 | 0.30 | 0.20 | 0.07 | 0.27 | 0.16 | 0.26 | 0.02 | 0.00 | 0.11 | 0.02 |
| CC | 0.05 | 0.08 | 0.70 | 0.97 | 0.90 | 0.59 | 0.19 | 0.72 | 0.42 | 0.50 | 0.01 | 0.00 | 0.32 | 0.07 | |
| CUO | 0.01 | 0.02 | 0.21 | 0.28 | 0.27 | 0.18 | 0.06 | 0.24 | 0.14 | 0.50 | 0.04 | 0.01 | 0.77 | 0.02 | |
| HR | 0.04 | 0.38 | 0.46 | 0.49 | 0.66 | 0.46 | 0.14 | 0.53 | 0.31 | 3.36 | 0.03 | 0.00 | 14.16 | 0.99 | |
| SS | SC | 0.14 | 0.00 | 0.29 | 0.40 | 0.37 | 0.24 | 0.09 | 0.33 | 0.19 | 0.32 | 0.02 | 0.00 | 0.13 | 0.00 |
| NCM | 0.02 | 0.03 | 0.02 | 0.03 | 0.03 | 0.02 | 0.01 | 0.02 | 0.02 | 0.02 | 0.00 | 0.00 | 0.01 | 0.00 | |
| B | 0.02 | 0.03 | 0.26 | 0.36 | 0.33 | 0.22 | 0.08 | 0.30 | 0.18 | 1.09 | 0.02 | 0.00 | 0.35 | 0.00 | |
| CS | AL1 | 0.01 | 0.01 | 0.11 | 0.16 | 0.15 | 0.10 | 0.03 | 0.13 | 0.08 | 0.66 | 0.01 | 0.00 | 0.26 | 0.01 |
| ESF | TES | Land Cover Type | |||||
|---|---|---|---|---|---|---|---|
| OL | WA | FL | D | G | F | ||
| PS | FP | 0.0036 | 0.2881 | 0.0900 | 0.0036 | 0.0828 | 0.3061 |
| PM | 0.0108 | 0.0828 | 20.8842 | 0.0108 | 0.1224 | 0.1440 | |
| SWR | 0.0072 | 2.9850 | 0.1080 | 0.0072 | 0.0684 | 0.0072 | |
| RS | GC | 0.0396 | 0.2772 | 0.6877 | 0.0396 | 0.4357 | 0.2413 |
| CC | 0.0360 | 0.8246 | 2.0560 | 0.0360 | 1.1486 | 0.1296 | |
| CUO | 0.1116 | 1.9984 | 0.6013 | 0.1116 | 0.3781 | 0.0360 | |
| HR | 0.0756 | 36.8138 | 1.3431 | 0.0756 | 0.8426 | 0.0972 | |
| SS | SC | 0.0468 | 0.3349 | 0.8354 | 0.0468 | 0.5293 | 0.3709 |
| NCM | 0.0036 | 0.0252 | 0.0648 | 0.0036 | 0.0396 | 0.0432 | |
| B | 0.0432 | 0.9182 | 0.3349 | 0.0180 | 0.2124 | 0.0216 | |
| CS | AL1 | 0.0180 | 0.6805 | 0.33349 | 0.0180 | 0.2124 | 0.0216 |
| Land Cover Type | Natural Development Scenarios | Ecological Protection Scenarios | ||||||||||
|---|---|---|---|---|---|---|---|---|---|---|---|---|
| Other Land | Water Area | Forest Land | Desert | Greensward | Farmland | Other Land | Water Area | Forest Land | Desert | Greensward | Farmland | |
| Farmland | 1 | 1 | 1 | 1 | 1 | 1 | 0 | 1 | 1 | 1 | 1 | 1 |
| Forest land | 1 | 0 | 1 | 1 | 1 | 1 | 1 | 0 | 1 | 1 | 1 | 1 |
| Greensward | 1 | 1 | 1 | 1 | 1 | 1 | 1 | 1 | 1 | 1 | 1 | 1 |
| Water area | 0 | 1 | 0 | 1 | 1 | 0 | 0 | 1 | 0 | 1 | 0 | 0 |
| Desert | 1 | 0 | 1 | 1 | 1 | 1 | 0 | 0 | 0 | 1 | 0 | 0 |
| Other land | 1 | 1 | 1 | 1 | 1 | 1 | 1 | 0 | 1 | 1 | 0 | 1 |
| Ecosystem Service | Natural Development Scenario | ||||||
|---|---|---|---|---|---|---|---|
| Other Land | Water Area | Forestland | Desert | Greensward | Farmland | ||
| Provisioning service | FP | 0.0004 | 0.0061 | 0.0042 | 0.0001 | 0.0416 | 0.0457 |
| PM | 0.0013 | 0.0017 | 0.9681 | 0.003 | 0.0616 | 0.0215 | |
| SWR | 0.0008 | 0.0628 | 0.0050 | 0.0002 | 0.0344 | 0.0011 | |
| Regulating service | GC | 0.0046 | 0.0058 | 0.0319 | 0.0012 | 0.2191 | 0.0360 |
| CC | 0.0042 | 0.0173 | 0.0953 | 0.001 | 0.5775 | 0.0193 | |
| CUO | 0.0131 | 0.0420 | 0.0279 | 0.0034 | 0.1901 | 0.0054 | |
| HR | 0.0089 | 0.7743 | 0.0623 | 0.0023 | 0.4236 | 0.0145 | |
| Supporting service | SC | 0.0055 | 0.0070 | 0.0387 | 0.0014 | 0.2661 | 0.0553 |
| NCM | 0.0004 | 0.0005 | 0.0030 | 0.0001 | 0.0199 | 0.0064 | |
| B | 0.0051 | 0.0193 | 0.0354 | 0.0013 | 0.2426 | 0.0070 | |
| Cultural service | AL1 | 0.0021 | 0.0143 | 0.0155 | 0.0006 | 0.1068 | 0.0032 |
| Ecosystem Service | Ecological Protection Scenario | ||||||
| Other Land | Water Area | Forestland | Desert | Greensward | Farmland | ||
| Provisioning service | FP | 0.0022 | 0.1822 | 0.0973 | 0.0006 | 0.1957 | 0.4407 |
| PM | 0.0066 | 0.0524 | 22.5833 | 0.0017 | 0.2893 | 0.2074 | |
| SWR | 0.0044 | 1.8884 | 0.1168 | 0.0011 | 0.1617 | 0.0104 | |
| Regulating service | GC | 0.0243 | 0.1754 | 0.7437 | 0.0062 | 1.0295 | 0.3474 |
| CC | 0.0221 | 0.5216 | 2.2233 | 0.0056 | 2.7141 | 0.1867 | |
| CUO | 0.0685 | 1.2642 | 0.6502 | 0.0173 | 0.8933 | 0.0519 | |
| HR | 0.0464 | 23.2894 | 1.4523 | 0.0118 | 1.9909 | 0.14 | |
| Supporting service | SC | 0.0287 | 0.2118 | 0.9033 | 0.0073 | 1.2507 | 0.5341 |
| NCM | 0.0022 | 0.0159 | 0.0701 | 0.0006 | 0.0936 | 0.0622 | |
| B | 0.0265 | 0.5809 | 0.3621 | 0.0028 | 0.502 | 0.0311 | |
| Cultural service | AL1 | 0.011 | 0.4305 | 0.3621 | 0.0028 | 0.502 | 0.0311 |
Disclaimer/Publisher’s Note: The statements, opinions and data contained in all publications are solely those of the individual author(s) and contributor(s) and not of MDPI and/or the editor(s). MDPI and/or the editor(s) disclaim responsibility for any injury to people or property resulting from any ideas, methods, instructions or products referred to in the content. |
© 2024 by the authors. Licensee MDPI, Basel, Switzerland. This article is an open access article distributed under the terms and conditions of the Creative Commons Attribution (CC BY) license (https://creativecommons.org/licenses/by/4.0/).
Share and Cite
Wu, Y.; Qin, F.; Dong, X.; Li, L. Investigating the Spatio-Temporal Evolution of Land Cover and Ecosystem Service Value in the Kuye River Basin. Water 2024, 16, 2456. https://doi.org/10.3390/w16172456
Wu Y, Qin F, Dong X, Li L. Investigating the Spatio-Temporal Evolution of Land Cover and Ecosystem Service Value in the Kuye River Basin. Water. 2024; 16(17):2456. https://doi.org/10.3390/w16172456
Chicago/Turabian StyleWu, Yihan, Fucang Qin, Xiaoyu Dong, and Long Li. 2024. "Investigating the Spatio-Temporal Evolution of Land Cover and Ecosystem Service Value in the Kuye River Basin" Water 16, no. 17: 2456. https://doi.org/10.3390/w16172456
APA StyleWu, Y., Qin, F., Dong, X., & Li, L. (2024). Investigating the Spatio-Temporal Evolution of Land Cover and Ecosystem Service Value in the Kuye River Basin. Water, 16(17), 2456. https://doi.org/10.3390/w16172456

