Abstract
Thermal waters from deep circulation systems are mixed with cold shallow system components during their ascent to drainage zones. In the current research, classic chemical geothermometers and geothermometric modeling using the GeoT app were employed to determine the temperatures of geothermal reservoirs in the Sudetic region. Moreover, models of primary deep components mixed with cold shallow circulation system components were used to determine their proportions, particularly water deposits. In the studied geothermal systems, the proportion of the cold component ranged from c. 46% to c. 75%. Classic cation thermometers (Na-K, Na-K-Ca) indicated a very wide temperature range and they proved rather unreliable. The reservoir temperatures estimated with silica thermometers ranged from 52 °C to 141 °C and they can be deemed more reliable. The temperatures obtained from modeling (54.5 ± 3–120 ± 4) were adopted as temperatures of waters pre-cooled conductively and then mixed with cold components. The temperatures of primary deep waters (74–225 °C) were adopted as geothermal system temperatures.
1. Introduction
Reservoir temperatures can be estimated using sets of equations referred to as chemical geothermometers [1,2,3,4,5,6,7]. They are based on analysis results of the chemical and isotope compositions of geothermal waters and gases. The most popular of them are so-called classic chemical geothermometers using concentrations of dissolved silica (SiO2) or ionic ratios, e.g., Na-K, Na-K-Ca, K-Mg [8,9,10]. The basic assumption while using these equations is the thermodynamic equilibrium between the fluid and rock medium, or a state close to this equilibrium. Moreover, it is assumed that this equilibrium is maintained along the whole path of water movement to drainage zones (water intakes of flowing wells) [11]. The consequence of this assumption is the “sensitivity” of the equations to the precipitation of secondary minerals (e.g., calcite or silica) or the presence of CO2 in the system. In such cases, water–rock–gas systems are subject to re-equilibration (e.g., after cooling the primary fluid or as a result of its boiling). Moreover, mixing with waters from shallow circulation systems influences ion ratios, which results in temperature miscalculations [12]. Additionally, the accuracy of the performed analyses is of key importance, especially with regard to the determination of aluminum and magnesium ions, whose concentrations are often close to the accuracy of analytical determination [13].
In situations when geothermal waters do not reach full thermodynamic equilibrium, more reliable reservoir temperatures are obtained by analyzing their saturation with respect to aquifer minerals. A detailed description of this method was provided by Reed [14], Reed and Spycher [15], Pang and Reed [16], and Spycher et al. [17]. Generally, it consists of determining the saturation indices (SI) of the studied waters with respect to the chosen complex of rock-forming minerals in a given temperature range. The value of the equilibrium temperature of the system is adopted as the temperature of the water reservoir [18,19]. The GeoT app based on the above method additionally enables the reconstruction of water composition in the deep circulation system before calculating the values of SI indices. Moreover, it makes it possible to optimize the concentrations of inaccurately determined water components (Al3+, Mg2+) [19].
The Sudetic region was chosen for the research in view of its long tradition of exploiting thermal waters for balneotherapeutic purposes and hence the availability of water analysis results, but also because these waters occur in lithologically varied aquifers. These waters have been the subject of research for many years. The characteristics and potential possibilities of capturing thermal waters within the Lower Silesian block were described by Dowgiałło [20,21], Ciężkowski et al. [22,23,24], Przylibski et al. [25]. Based on research into the composition of stable isotopes of oxygen and hydrogen, Ciężkowski et al. [26,27], Zuber et al. [28], and Dowgiałło et al. [29] have determined the meteoric origin of Sudetic thermal waters.
The estimation of deposit temperatures of Sudetic thermal waters was initiated by Dowgiałło [30,31]. Using classic chemical geothermometers, he estimated the subsurface temperatures of the Jelenia Góra-Cieplice and Lądek-Zdrój geothermal systems as ranging from 74 to 217 °C and from 53 to 140 °C, respectively. Porowski [32], and Porowski and Dowgiałło [33], also using chemical geothermometers, obtained wide ranges of deposit temperatures for geothermal systems of Lądek-Zdrój, Jelenia Góra-Cieplice, and Duszniki-Zdrój: 36.7–78.9 °C, 50.2–99.9 °C, 106.3–140.6 °C, respectively. However, as they pointed out, the values obtained for Duszniki-Zdrój were rather unlikely. Dowgiałło et al. [29] reported temperatures in the range of 64–115 °C for Jelenia Góra-Cieplice and 34–77 °C for Lądek-Zdrój. Recently, based on results from silica and cation thermometers, Liber-Makowska and Kiełczawa [34], Kiełczawa and Liber-Makowska [35], and Kiełczawa et al. [36] have estimated the deposit temperatures of Lądek-Zdrój waters as ranging from 55.8 to 97.2 °C. In the case of Jelenia Góra-Cieplice, they suggest temperatures in the range of 78–139 °C and reliable temperatures of Duszniki-Zdrój waters—from 107 °C to 136 °C. Earlier, Leśniak and Nowak [37], and Dobrzyński and Leśniak [38], having analyzed the variation in saturation indices, suggested that the temperatures of Lądek-Zdrój and Duszniki-Zdrój systems might reach 95 °C. In their opinion, waters with temperatures of 110 ± 10 °C can be obtained in Jelenia Góra-Cieplice.
Considering such wide variations in estimated deposit temperatures, research aimed at obtaining better insight into geothermal systems and verification of their temperatures based on multicomponent chemical geothermometers and mixing models has been conducted. The current report is the first one to use reconstruction of geothermal fluids for a more accurate determination of the temperatures of Sudetic low-enthalpy thermal systems.
2. Study area
2.1. Hydrogeological Conditions
The area of southwestern Poland is built predominantly of crystalline rocks forming smaller tectonic block units gradually descending to the northeast. The most elevated unit is the massif of the Sudetes, followed by the lower Fore-Sudetic block, and then by the Fore-Sudetic monocline (Figure 1). The Sudetes and the Fore-Sudetic block bear similarities in their geological structure and hydrogeological conditions. Hence, in the literature, they are jointly referred to as the so-called Lower-Silesian block [39,40].
Figure 1.
Location of deep wells capturing thermal waters in the Lower-Silesian block (based on [25,40,41]). Abbreviations: GUS—main intra-Sudetic fault; MB—Braszowice–Brzeźnica massif; MNR-S—Nowa Ruda–Słupiec massif; MSz—Szklary massif; NK—Kłodzko thrust; RC—Czerwieńczyce graben; SUB—marginal Sudetic fault; SUD—Dolsko fault zone; SUL—the Elbe fault zone; SUO—the Odra fault zone; geothermic subregions: 1—Jelenia Góra, 2—Legnica, 3—Świdnica-Niemodlin, 4—Wałbrzych-Kłodzko.
In the area of the granite Karkonosze massif, geothermal waters are exploited in Jelenia Góra-Cieplice and Karpniki. In the former locality, six springs supply waters with temperatures in the range of 20–44 °C. In two drilled wells, C-1 and C-2 with respective depths of 2002.5 and 750 m, these are waters with outflow temperatures of 26 (C-2)—c. 87 °C (well C-1). Chemically, these are Na-SO4-HCO3 waters (Table 1) with increased fluorine (2–13.5 mg/L) and metasilicic acid (59–141 mg/L) content and TDS in the range of 0.4–1.0 g/L. These waters are used mainly for balneotherapeutic treatments and recreation [34].
Table 1.
Main characteristics of the studied thermal water deposits [20,34,45,46,47,48,49].
In late 2013 and early 2014, a 1997 m deep well was drilled in Karpniki, 13 km east of Jelenia Góra-Cieplice (Figure 1), supplying geothermal waters with TDS content of 0.5 g/L and an outflow temperature of c. 53 °C (Table 1) [42]. These are Na-HCO3-SO4 waters containing increased concentrations of F− ions (11.4–16 mg/L), metasilicic acid (up to c. 68.0 mg/L), and radon (290 Bq/L) [43]. They are utilized in the investor’s hotel facilities [42].
At the same time, a 1501 m deep well was drilled in Staniszów, 4 km east of Jelenia Góra-Cieplice (Figure 1), where Na-HCO3-SO4 waters with TDS content of 0.5 g/L and increased concentrations of H2S (2. (2.5 mg/L) and radon activity (116–174 Bq/L) were found. The temperature of water at the outflow is 37.3 °C (Table 1) [43]. At the moment, work on intake development is underway.
The described deposits lie in the NE part of the Karkonosze-Izera crystalline massif of the Sudetes. Their circulation within the Karkonosze granite is possible thanks to deep tectonic zones of the regional extent [44].
In the Sudetic region, geothermal water deposits are also found in Duszniki-Zdrój and Lądek-Zdrój (Figure 1). In the former locality, the temperatures of waters exploited for balneotherapeutic purposes do not exceed 20 °C. In 2000–2002, a borehole designated as GT-1 was drilled to a depth of 1695 m. It provided access to geothermal CO2-rich waters occurring in two fractured zones, at depths of 193.5–534 m, and 552.2–1695 m (below the depth of 552.5 m the hole is without casing). The upper horizon supplies waters with an outflow temperature of 29 °C and the chemical type Ca-Na-Mg-HCO3. The water is characterized by TDS, CO2, and metasilicic acid content of 3.2 g/L, 2.2 g/L, and c. 127 mg/L, respectively. The water flows out automatically at a rate of 20 m3/h. The lower zone contains Ca-Mg-HCO3-type waters with a TDS range of 3.3–3.5 g/L and H2SiO3 content of up to 135 mg/L. Their temperature at the outflow does not exceed 35 °C [50,51]. The available reserves are estimated at 39 m3/h [21,46,52]. These waters circulate within fractured mica schists and gneisses of the western part of the Orlica-Śnieżnik dome (Figure 1) [48]. They have not been exploited yet.
In the eastern part of the above tectonic unit, thermal waters occur within a gneiss series in the area of Lądek-Zdrój. Flowing wells (five encased springs) are associated with areas of intersecting dislocations of varying prominence (deep faults and minor transverse discontinuities). These waters are also exploited from a 700 m deep borehole L-2 [53]. They are characterized by very low TDS values (0.15–0.27 g/L), the chemical type Na-HCO3-F-SO4, and increased concentrations of fluorine ions (7–13 mg/L), H2S (0.2–5.1 mg/L), and Rn activity (94–1336 Bq/L). The temperatures of spring waters oscillate from 20.3 °C to 28.3 °C, while those of water from the L-2 borehole—from 41 °C to 44 °C [36,54,55]. In 2018–2019, a 2.5 km deep borehole was drilled in Lądek-Zdrój, capturing Na-HCO3-SO4, Rn, F, S waters with TDS content of 0.2 g/L. Their temperature at the outflow is 37 °C, but the available reserves are not known [36]. The borehole is currently being surveyed and developed.
The discussed water deposits in the Sudetes generally comprise two main chemical groups of water: Ca-Mg-HCO3 (captured in GT-1 borehole) and Na-SO4-HCO3—in the remaining intakes (Figure 2).
Figure 2.
Piper diagram with chemical characteristics of thermal waters (based on [42,43,49,56]).
Concentrations of stable isotopes of oxygen (18O) and hydrogen (2H) in the studied waters range from (−10.84) to (−10.5)δ18O and from (−75.7) to (72.8)δ2H (Table 2).
Table 2.
Chemical and isotopic composition of thermal waters (based on [42,43,49,56]); J.G.-Cieplice—Jelenia Góra-Cieplice; concentration of elements in mg/L, radon activity in Bq/L.
Figure 3 presents the isotopic composition of waters from particular locations; points corresponding to particular wells lie near the World Meteoric Water Line (WMWL) and the local Sudetic Meteoric Water Line (SMWL), which proves the meteoric origin of the discussed waters.
Figure 3.
Isotopic composition of thermal waters from particular locations (based on [42,44,49,56].
The waters from GT-1 and LZT-1 are situated closer to the SMWL, which indicates the participation of cold waters from a shallower circulation system in these deposits. A minor negative oxygen shift of Duszniki-Zdrój waters may indicate isotope exchange with CO2 [57]. A slight positive oxygen shift of Jelenia Góra-Cieplice and Karpniki waters (Figure 3) suggests probable isotope exchange with a rock medium in higher temperatures [57,58,59,60].
2.2. Thermal Conditions
The area of the Lower-Silesian block comprises the so-called Sudetic geothermal region divided into subregions of Jelenia Góra, Wałbrzych-Kłodzko, Legnica, and Świdnica-Niemodlin (Figure 1) [41]. The vast majority of Sudetic thermal water deposits are associated with crystalline rock formations, and the outflows of these waters are located in the areas of tectonic zones or at their intersections. The outflow temperatures of these waters reach nearly 87 °C, with maximum intake discharges of even 200 m3/h [53].
In well C-1 in Jelenia Góra-Cieplice, zones of waters with increased temperatures are found at depths of 1590–1602 m and 1840–1895 m. The highest temperature in this well, 97.7 °C, was recorded at a depth of 1870 m, while at the bottom it reached 96 °C. In the borehole profile, there is a marked dependence of water temperature on the depth of its circulation and the presence of tectonic disturbance zones at depths of 1601–1800 m and 1826–1970 m (Figure 4). The mean geothermal gradient determined on the basis of borehole tests is from 2.8 to 3.4 °C/100 m (Table 1) [20]. Dowgiałło [61] suggests that intense fractures facilitate the circulation of these waters to a depth of at least 3 km.
Figure 4.
Temperature profiles in particular wells in the Sudetic region (based on [20,47,49,54].
For boreholes KT-1 in Karpniki and ST-1 in Staniszów, Dąbrowski [45] determined geothermal gradients values as 2.85 °C/100 m and 2.37 °C/100 m, respectively (Table 1,). However, as the author emphasizes, due to unstable conditions during temperature measurements, these values do not reflect the actual thermal conditions in the orogen. While the values of the discussed parameter in Jelenia Góra-Cieplice and Karpniki are comparable, lower values recorded in Staniszów suggest an intensive influx of cold waters from shallow circulation systems. At the bottom of the Staniszów well (ST-1), a temperature of 45 °C was recorded [45]. In Karpniki (KT-1), inflows of water with the highest temperatures (about 59 °C) were observed at a depth range of 1792–1850 m. The geothermal gradient determined during temperature profiling was 2.7 °C/100 [42].
According to results obtained by Bruszewska [62], the average geothermal gradient in the areas of Duszniki-Zdrój and Lądek-Zdrój ranges from 2.3 to 3.0 °C/100 m, with temperatures at a depth of 1500 m in the ranges of 44–46 °C and 40–42 °C, respectively. During the drilling of well GT-1 in Duszniki-Zdrój, a temperature of 55.8 °C was observed at a depth of 1640 m (Table 1, Figure 4). The calculated geothermal gradient was 2.0 °C/100 m, but it was probably significantly underestimated owing to technical problems during the measurements [47]. At the same time, the geothermal gradient in Lądek-Zdrój, calculated on the basis of temperature variation in the L-2 borehole profile (Figure 4), was 6.53 °C/100 m, with the maximum temperature of 45.7 °C at the bottom of the well. What is noteworthy at this point is a distinct local thermal anomaly observed in this locality, with a temperature gradient of 18 °C/100 m [54]. However, the observed anomalous gradients should not be generalized or adopted as representative of other regions in the Sudetes. This has been confirmed by measurements conducted in the LZT-1 borehole, at whose bottom a temperature of 58.9 °C was obtained (Table 1, Figure 4) and the geothermal gradient was 1.83 °C/100 m [49].
The Sudetic region is characterized by radiogenic heat in rocks ranging from c. 2.0 to 5.1 μW/m2, but it does not significantly affect the value of surface heat flux (from 45 to 64.73 mW/m2) [63]. The highest values of heat flux density, 79 mW/m2 and 71.2 mW/m2, were found in Jelenia Góra-Cieplice (borehole C-1) and Lądek-Zdrój (borehole L-2), respectively [41]. It should be noted that the temperature gradient in SW Poland varies in the range of 2.0–3.5 °C/100 m, with the highest values observed south of Lądek-Zdrój [62].
3. Materials and Methods
Reservoir temperatures have been estimated on the basis of available archival materials and published results of physicochemical analyses of water. The authors used data from intakes providing access to geothermal waters from the deepest aquifers in particular localities (Table 2). For temperature calculations with classic chemical geothermometers (Equations (1)–(5)), mineral compositions of deposit fluids obtained as final solutions in saturation modeling were used. Reservoir temperature was calculated from commonly used chemical geothermometers [3,5,7]:
where is the silica geothermometer, and are the chalcedony geothermometers, is the Na-K geothermometer and is the Na-K-Ca geothermometer; SiO2(aq) concentrations in mg/L and Na, K and Ca concentrations in mol/kgH2O.
The triangular Giggenbach diagram was used to determine which of the studied waters had reached complete or partial equilibrium with a rock medium [9,59]. The location of points in the field of immature waters suggests that waters are mixed, and then the results of temperature estimation using classic chemical thermometers should be taken with reserve.
The calculations of water-medium equilibrium and estimation, on their basis, of deposit temperatures were conducted using the GeoT app [18]. The detailed procedure of this method was discussed by Reed and Spycher [15], and Spycher et al. [17]. Generally, the reservoir/deposit temperature is determined on the basis of the chemical equilibrium of the analyzed water with a complex of rock-forming minerals. The app works using a thermodynamic database SOLTHERM.H06. At the same time as saturation indices in given thermal conditions, statistical characteristics (RMED—median, MEAN—mean, SDEV—standard deviation, and RMSE—mean root square error) are calculated. The temperature at which all the statistics have minimum values is adopted as the deposit temperature.
To estimate the probable primary temperature of a hot deep circulation component, a graphic method based on variation in SiO2 concentration depending on solution enthalpy was used. It was assumed that the primary concentration of silica in a hot component at large depths is controlled by the dissolution of quartz and that during water migration (before it is mixed with a shallow circulation component), further dissolution or precipitation of SiO2 does not occur [3,64,65]. Curves in the diagram (in the results and discussion section) illustrate changes in quartz solubility and the maximum gas/steam loss. SiO2-H (enthalpy) diagrams for water were also used to determine the ratio of the system components (hot and cold).
When water moves slowly or indirectly (ascends) to a drainage zone, there is a large probability of conductive cooling [3] and then a quartz dissolution curve is used. For waters from which steam/gases have probably been released, the primary component temperature is estimated based on the maximum steam loss curve.
where X is the proportion of the cool component, H is the enthalpy of Hc—cold water, Hh—hot water, Hs—mixture (at intake outflow); SiO2 is silica concentration in SiO2c—cold waters, SiO2h—deep hot waters, and SiO2s—mixed waters (at intake outflow).
Hs =HcX + Hh·(1 − X),
SiO2s = SiO2c·X +SiO2h·(1 − X),
Using the above equations and the graphic method, the component ratio and the temperature of the deep circulation component were determined based on mixing models.
To estimate the enthalpy of waters from Lądek-Zdrój, Jelenia Góra-Cieplice, Karpniki, and Staniszów deposits, a model without a pre-mixing gas loss was adopted. For this purpose, a quartz dissolution curve and points illustrating the concentration of silica in thermal and ordinary waters from particular locations were used.
When it comes to Duszniki-Zdrój waters, due to considerable quantities of CO2 dissolved in them and a large probability of their de-gassing along the flow path, the model of conductive cooling was not adopted. In order to estimate the enthalpy of the primary deep component, the maximum steam loss curve was used (the diagram can be found in the Results and discussion section). A detailed description of the method can be found in works by Fourier [3], Fournier and Truesdell [64], and Truesdell and Fournier [65].
4. Results and Discussion
A modified Giggenbach diagram (Figure 5) presents the proportions of major cations in the analyzed waters.
Figure 5.
Analyzed waters on a modified triangular Na-K-Mg diagram (based on [59]).
It can be seen that the bicarbonate CO2-rich waters from Duszniki-Zdrój (GT-1) are located in the “immature waters” field, which proves the lack of thermodynamic equilibrium in this system. According to Giggenbach’s and Corrales Soto’s [59] hypothesis for waters with the dominant HCO3− ion and characterized by a pH close to neutral (waters from GT-1 have pH 6.7—Table 2), temperatures can be estimated based on K+ and Mg2+ ion content. Hence, in the case of waters from the GT-1 well, a temperature of c. 112 °C (Figure 5), which is higher than that measured at the outflow (Table 1), was obtained.
Closer to the boundary of the partial equilibrium field, there are waters from the KT-1, ST-1, and L-2 intakes with estimated deposit temperatures of c. 70 °C (KT-1) and 50 °C (ST-1 and L-2). The highest degree of equilibrium and temperatures of c. 137 °C are observed in waters from the Jelenia Góra-Cieplice deposit (C-1) (Table 3, Figure 5).
Table 3.
Reservoir temperatures estimated using classic geothermometers, Giggenbach and Corrales Soto’s diagram [59], and modeling of equilibrium between water and the rock medium (GeoT); temperature in °C.
4.1. Silica Thermometers (Q, Ch1, and Ch2)
In the process of determining deposit temperatures using silica thermometers, the quartz thermometer (Q) showed temperatures in the range of 83–141 °C for waters in the Jelenia Góra-Cieplice area (the Karkonosze granite), and from 91 °C to 135 °C for waters in Lądek-Zdrój and Duszniki-Zdrój (the Orlica-Śnieżnik metamorphic complex). Slightly lower temperatures were obtained using chalcedony thermometers (Ch1 and Ch2). For the analyzed areas they fall in the ranges of 52–115 °C and 60–108 °C, respectively. Overall, the chalcedony and quartz geothermometers give results differing from each other in the range of about 30 °C. The temperature obtained from the latter is higher than that obtained from the former (Table 3).
4.2. Na-K and Na-K-Ca Thermometers
In the case of the Duszniki-Zdrój deposit, one should expect the significant amounts of CO2 to intensify the mutual interaction of the water–rock–gas system. This undoubtedly translates into the chemical composition of these waters and hence the values of temperatures obtained using cation Na-K and Na-K-Ca geothermometers. The calculated respective temperatures are 373 °C and 290 °C (Table 3) and they are probably considerably overestimated. High values (97 °C and 140 °C) were also obtained for the LZT-1 well in Lądek-Zdrój, which might be due to the fact that in low-enthalpy systems equilibrium is reached either with potassium or sodium feldspar [66]. The temperatures of waters from the C-1, ST-1, and L-2 intakes (73 °C, 18 °C, and 36 °C, respectively) obtained using the Na-K geothermometer are lower than those observed at outflows/wellheads. The atypically low value obtained for the ST-1, due to a very low concentration of potassium ions in these waters, is contaminated with gross error. This confirms Nicholson’s thesis [67] that this thermometer does not work efficiently in low-temperature systems (<120 °C). On the other hand, cold waters flowing to intakes from shallow circulation systems undoubtedly change ion ratios (Na-K-Ca), which consequently affects the estimated temperatures [66]. Temperatures obtained with the Na-K-Ca thermometer are significantly different from these values (Table 3).
4.3. Temperature Estimation Using GeoT App
A large complex of rock-forming minerals was selected for the simulation. The minerals of the Karkonosze massif and the Orlica-Śnieżnik metamorphic complex were selected on the basis of Borkowska [68], Rasała et al. [46], and Szczepański [69]. The most important of them are quartz, potassium feldspar (microcline), chalcedony, calcite, sodium plagioclase (albite), kaolin, muscovite, and phlogopite. To reduce the impact of re-equilibration in the case of low concentrations of Al3+ ions, concentrations of the above ions were stabilized by equilibrating the studied waters with microcline or kaolin [70].
The chemical composition of waters from deep circulation systems can change during their flow to the terrain surface as a result of their mixing with waters from more shallow zones, dilution, boiling, or re-equilibration with the rock medium and inflowing gases [60]. Moreover, in the presence of a water-and-gas (e.g., CO2) mixture in a well, the temperature observed at the outflow cannot be considered representative, as it is affected by gas pressure, which, in turn, depends on the flow conditions in the rock medium and the well [71]. Considering these determinants and the possibility of considerable degassing of Duszniki-Zdrój waters along their flow path or during sampling, equilibrating them with calcite at outflow temperature was analyzed. The pH (5.8) of water obtained in this way was adopted for further simulations. An appropriate amount of gas was added to the water to maintain its pH, and concentrations of bicarbonate and aluminum ions were stabilized by equilibrating the solution with calcite and microcline.
The waters from Lądek-Zdrój were also equilibrated with calcite and microcline. The waters from the LZT-1 well were additionally concentrated by disposing of 100 g/1 kg water.
The waters from Jelenia Góra-Cieplice (C-1) and Karpniki (KT-1) deposits did not require reconstruction, while those from Staniszów (ST-1) showed slight dilution, so they were concentrated by disposing of 350 g/1 kg water.
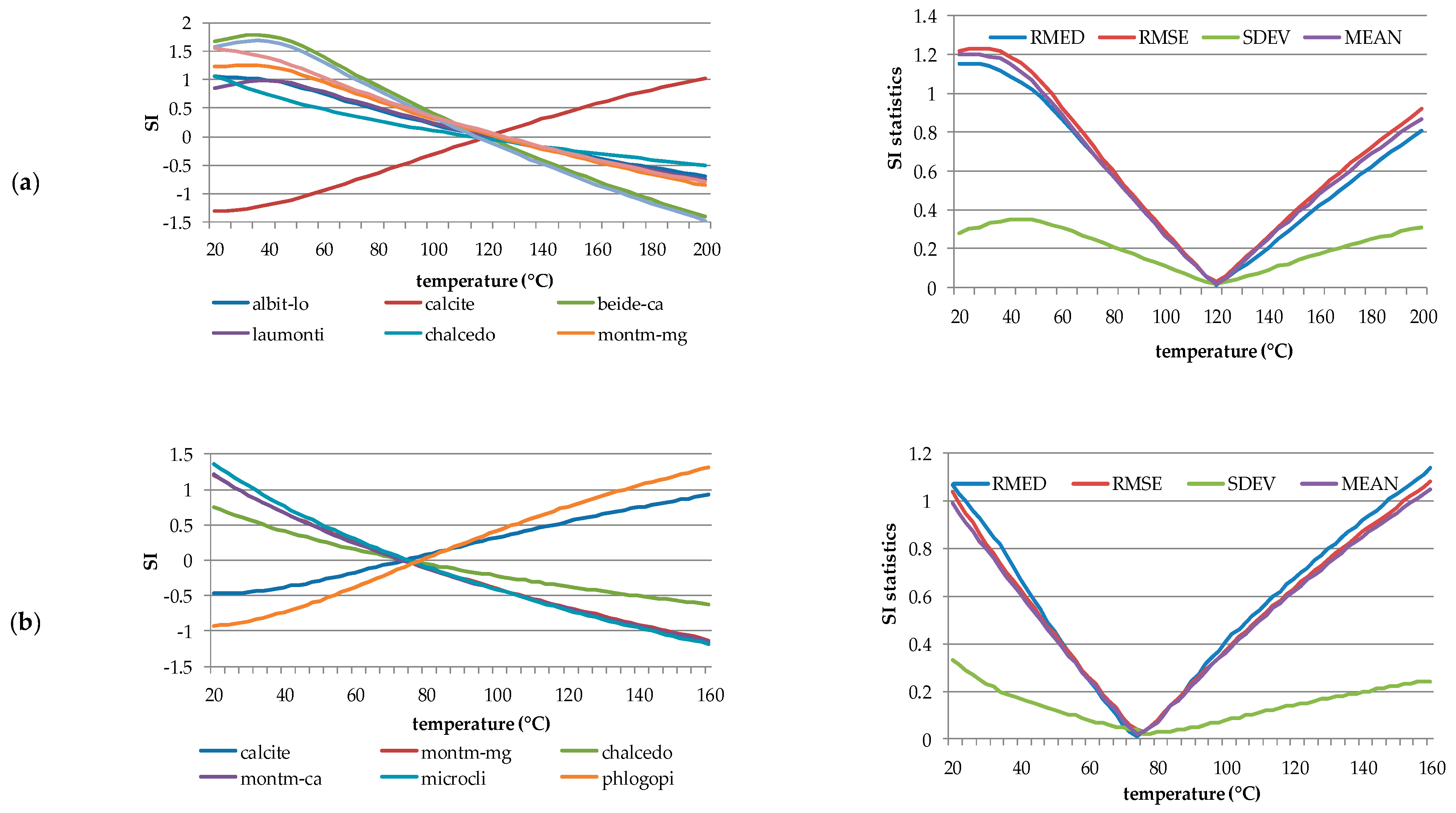
The results of such modeling produced a very good cluster of solution equilibration curves with selected groups of minerals. The closest to zero values of all the statistical parameters (RMED, RMSE, SDEV and MEAN) of the saturation index (SI) indicate the highest estimated temperatures for particular deposits (Figure 6). For the thermal waters from intakes in the Karkonosze granite unit: C-1 (Jelenia Góra-Cieplice), ST-1 (Staniszów), and KT-1 (Karpniki), temperatures of 120 ± 4 °C, 54.5 ± 3 °C and 74 ± 3 °C were obtained, respectively. For the waters from Duszniki-Zdrój (GT-1) and Lądek-Zdrój (L-2 and LZT-1), circulating within the Orlica-Śnieżnik metamorphic complex, respective values of 114 ± 11 °C, 65.5 ± 3 and 88 ± 16 °C were obtained (Table 3).

Figure 6.
Changes in the saturation indices (SI) and SI statistics: median (RMED), mean (MEAN), standard deviation (SDEV) and mean root square error (RMSE) of absolute log(Q/K) values as a function of model reservoir temperature; (a)—C-1, (b)—KT-1, (c)—ST-1, (d)—GT-1, (e)—L-2, (f)—LZT-1.
It can be observed that the temperatures obtained as a result of this modeling, allowing for an error range, are not substantially different from those estimated using classic chalcedony thermometers (Table 3).
4.4. Deep Component Temperatures Determined Based on Mixing Models
In many cases, geothermal waters are mixtures of hot waters from deep systems and much colder shallow-system waters. Hot water ascends to drainage zones along faults and fissures. At the mixing depth, the pressure difference makes the cold component flow into the hot component’s fissures/system [64]. As a result, mixtures of the two components are observed in particular intakes. Partial or total chemical equilibrium of such mixtures may be established after the mixing of both components, and then chemical geothermometers indicate the temperature of the mixture and not of the deep component.
In view of the above, temperatures were estimated based on the proportion of the cold component in mixtures and the mixing models (Figure 7, Table 4). Proportions of the components were determined using Equations (6) and (7).
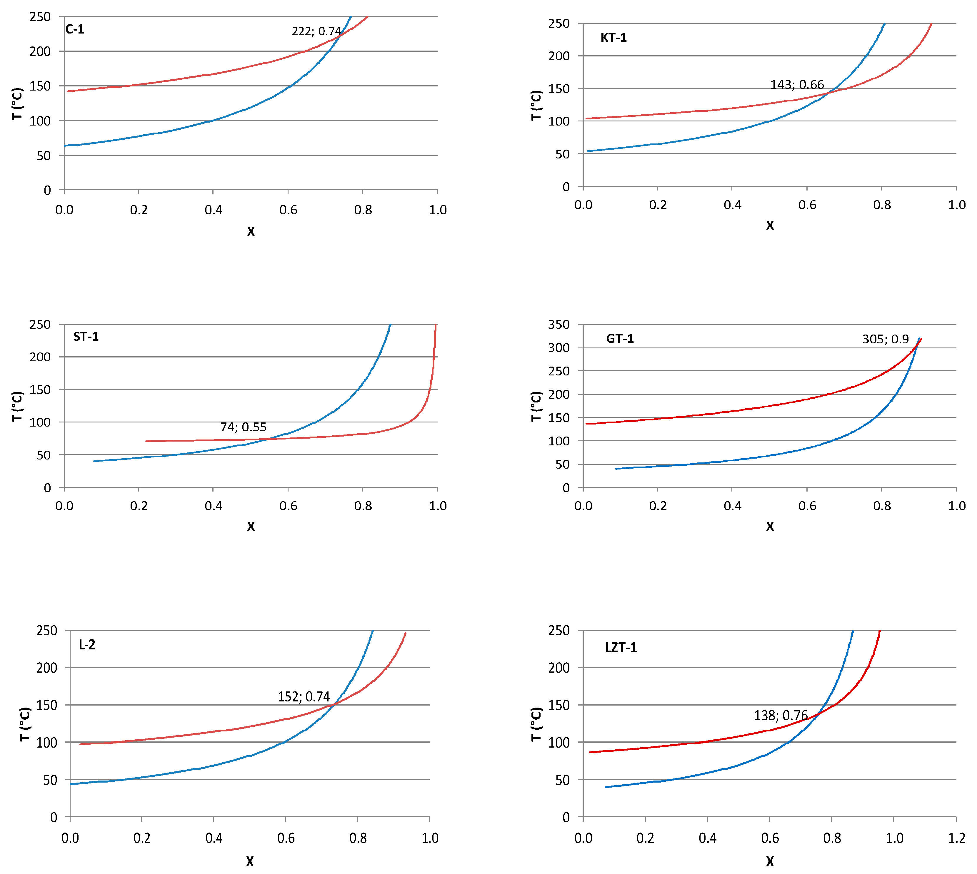
Figure 7.
The proportion of cold waters (X) in thermal water mixtures in particular locations, and the temperatures (T) of hot deep components; the blue line—the proportion of cold waters based on enthalpy/temperature changes, the red line—the proportion of cold waters based on variation in silica concentrations (T-X graph).
In the Jelenia Góra-Cieplice (C-1) and Karpniki (KT-1) systems, the proportion of the cold component reaches 70–74%. In Staniszów waters (ST-1), it can be assumed to range from 46% to 55%. The estimated temperatures of the hot deep system component are c. 74 °C for ST-1, 143 °C for KT-1 and 222 °C for C-1 (Table 4, Figure 7). A much lower temperature of water from the ST-1 well is probably due to the much shallower horizontal circulation system.
The thermal water systems of the Orlica-Śnieżnik dome are colder. The temperature of the deep component of Lądek-Zdrój waters ranges from 138 °C (LZT-1) to 152 °C (L-2) with a c. 73–76% share of cold water (Table 4, Figure 7).
It can be observed that the enthalpies of the primary deep circulation component are very different from the temperatures estimated using classic chemical thermometers and the modeling of the water saturation state (Table 3, Figure 8).
Figure 8.
Diagram of dissolved silica (SiO2) versus enthalpy (H) in mixed thermal and cold waters (based on [3]); points and lines: red—GT-1, black—C-1, blue—KT-1, purple—ST-1, green—LZT-1, yellow—L-2; A—concentration of silica in ordinary waters (black—for waters from Jelenia Góra-Cieplice area, green—for Lądek-Zdrój waters, red—for Duszniki-Zdrój waters); B—concentrations of silica in thermal waters; C—concentrations of silica in primary deep waters except for GT-1, indicated by point F; D—enthalpy at steam loss temperature; E—silica concentration at the assumed steam separation temperature.
It should be noted that for waters with temperatures below 100 °C, the value of water enthalpy expressed in (cal/g) is generally equal to that of water temperature. The temperatures of waters with higher enthalpy values were obtained from thermodynamic tables [72].
Except for waters from the GT-1 well in Duszniki-Zdrój, the temperatures of the studied systems can be estimated using the adopted model of conductive cooling of deep system waters during their ascending flow to drainage zones. Consequently, using the quartz dissolution curve (Figure 8) for the waters from the Jelenia Góra-Cieplice area, a temperature of 220.5 °C was obtained for the C-1 well, 148.5 °C—for the KT-1 well and 72.5 °C—for the ST-1. For the Lądek-Zdrój system, values in the range of 133 °C (LZT-1)-155 °C (L-2) were obtained.
In the case of Duszniki-Zdrój (well GT-1), the lack of intersection with the quartz dissolution curve (Figure 8) implies that the primary deep component had lost CO2 before it was mixed with a shallower circulation component, so the considerable reduction in the temperature of this component had taken place before its mixing with shallow cold waters [3]. The temperature of 305 °C determined for this system by using the graphic method (Figure 7) and the 90% share of cold waters from a shallower system are doubtful in this case. It should be remembered that this method is based exclusively on variation in silica concentrations depending on water temperature, without taking into account the presence of CO2 dissolved in waters. Therefore it is not possible to take into account the conditions of loss/release of this gas from the system during water migration. Consequently, the author considers a temperature of 202.5 °C for the primary deep component and a 60% share of a cold component more reliable.
Only slight differences (3–4 °C) in the temperatures determined with the graphic method and based on mixture enthalpies are notable. For the waters from the GT-1 well (Duszniki-Zdrój), which are “immature”, a much bigger temperature difference, i.e., c. 103 °C (Table 4) was obtained.
5. Discussion
Chemical geothermometers for the liquid phase do not work properly and/or involve difficult interpretation. This is because waters in thermal springs/wells rarely flow out directly from reservoirs without re-equilibration, dilution, or mixing with waters of shallower systems [73].
In systems with temperatures in the range of 50–180 °C, waters are close to saturation with chalcedony [2,71], so it can be assumed that temperatures obtained using chalcedony thermometers (Ch1 and Ch2) are more reliable than the values obtained with the quartz geothermometer.
In the case of the Duszniki-Zdrój system, the results of temperature estimation with classic geothermometers (283 °C, 373 °C) are substantially overestimated. This is the result of the impact of the CO2 present in this deposit on the rock medium and the formation of decay products in the form of increased concentrations of Na+, Ca2+, and HCO3− ions, and silica [74]. These reactions lead to the precipitation of secondary calcite in the zones of cold water inflow to the main stream of geothermal waters from a deep circulation system. This makes these waters “immature” and the temperatures estimated by means of classic cation thermometers are not particularly reliable. According to Pfeiffer et al. [60], such waters are typical of young geothermal systems and their chemical compositions are formed as a result of re-equilibration established along the flow path.
The temperature determined on the basis of Fournier and Truesdel [64] mixing models is probably the minimum temperature in this system. The deep component, moving inside the orogen and cooled adiabatically, is reached by inflowing CO2, which dissolves in it. The deep component moves to drainage zones, but before it is mixed with the cold shallower system component, the gas phase is partly released from water. The inflow of cold waters from a shallower system results in the formation of a mixture with a temperature of c. 114 °C. As a result of further migration, water with a temperature of 55.8 °C flows into the GT-1 well (Table 5). The release of gas from the system may be indicated by dry exhalations of CO2 in the area of intakes in Duszniki-Zdrój [75].
Table 5.
An overview of the temperatures of thermal water deep components, their temperatures after cooling, and the temperatures of the mixture flowing into the well and out of the intake; temperature in °C.
It should be noted that among the studied thermal water deposits, only Lądek-Zdrój waters are in equilibrium with chalcedony below the equilibrium temperature for potassium and sodium feldspar and muscovite (Figure 6). Therefore the proportion of silica in this deposit is probably buffered by its precipitation in temperatures close to those measured in intakes. Plagioclases and muscovite have probably reached equilibrium with waters from this deposit in temperatures higher than those determined by the estimation, i.e., above 65.5 °C in the L-2 well and 88 °C in LZT-1 (Table 3). This implies that they have not been re-equilibrated or have been to a small extent, as waters from this deposit exhibit equilibration “memory” in higher temperatures [15].
Geologic settings of geothermal systems are different from one country to another. Italy, Iceland, and New Zealand are very shallow geothermal reservoirs with short pathways to the surface. In such systems high (above 100 °C) reservoir temperatures are typical [73]. In the case of intracontinental systems located outside the range of active volcanic zones, subduction zones, or shallow hot spots, such parameters are unlikely to be obtained. An example is the Black Forest geothermal system with parameters very similar to the Sudetic systems (water extracted from granitic rocks, reservoir temperature from 63 to 101 °C, and a reservoir depth of 3–4 km) [76].
The temperatures of deep components suggest considerable depths of their circulation. Conceptual models of the deep geothermal reservoirs in the Jelenia Góra and the Wałbrzych-Kłodzko geothermal subregions are presented in Figure 9.
Figure 9.
Simplified schematic cross-sections of the Jelenia Góra and the Wałbrzych-Kłodzko geothermal subregions (based on [49,77]).
In the case of the discussed geothermal systems associated with crystalline rocks, circulation to a depth of 6–8 km is rather unlikely, although it is not completely improbable in fault zones. Stober et al. [76] suggested that in the Black Forest heat is transported along flow channels/tectonic zones.
It should be remembered that it is in such zones where the discussed waters occur. It is noteworthy that modeling research by Bujakowski et al. [78] demonstrated that in the NE part of the Karkonosze pluton, at a depth of c. 6.2 km, the maximum temperatures can in places exceed 225 °C. On the other hand, given the Neogene volcanic activity (basaltic magmatism) in SW Poland and the infiltration origin of the studied waters, it is possible that the primary deep components gained heat while moving conductively from magmatic bodies. Dowgiałło [79] suggested that these heat focuses have not been cooled to this day. The observed minor “oxygen shifts” in isotopic compositions of the Lądek-Zdrój and Jelenia Góra-Cieplice waters might be due to isotopic exchange with the surrounding rocks leading to the enrichment of waters in 18O.
6. Conclusions
The Orlica-Śnieżnik dome in the Sudetes contains thermal Na-HCO3-SO4 waters and CO2-rich thermal Ca-Mg-HCO3 waters. Thermal waters within the Karkonosze granite are Na-HCO3-SO4-type waters.
All the studied waters are of meteoric origin, so their thermal water systems are formed as a result of the infiltration of precipitation, heating at considerable depths, and the ascent along faults and fissures.
The reservoir temperatures estimated with silica thermometers range from 52 °C to 141 °C for the waters in the Jelenia Góra-Cieplice area (C-1, KT-1, ST-1), and from 62 °C to 96 °C for those in Lądek-Zdrój (LZT-1, L-2).
Classic cation geothermometers showed considerable differences in the estimated temperatures, indicating a lack of thermodynamic equilibrium of the studied waters. It is not possible to select a single geothermometer as the best one for estimating the temperature of a particular geothermal system.
The varied results obtained in Lądek-Zdrój may be due to inaccurate sampling of the new LZT-1 intake or the waters from the studied wells may represent two geothermal water systems. Although the latter hypothesis is not improbable, given the varied depths from which the waters flow into the wells (1304–2500 m in LZT-1, and 700 m in L-2) and their locations (LZT-1 is situated c. 700 m NE of L-2), the close similarity of the parameters of waters from Lądek intakes rather indicates that the well was sampled in unstable thermal conditions.
The small ranges (3–4 °C) of variation in the temperatures determined with the GeoT app for the Jelenia Góra-Cieplice (C-1), Karpniki (KT-1), Staniszów (ST-1), and Lądek-Zdrój (L-2) deposits suggest minor variations in the chemical types within the main Na-HCO3-SO4 type and a similar history of geochemical processes forming their composition [80].
The lowest temperatures of the deep component, only 72.5–74 °C (Table 5), are characteristic of the Staniszów system (ST-1). Most likely, this is the result of an extensive horizontal flow system, which causes significant cooling of this component. The deep components in Jelenia Góra-Cieplice (C-1) and Duszniki-Zdrój (GT-1) are the warmest, with temperatures of 220.5–222 °C and 202.5 °C, respectively, but during their migration to drainage zones, they are already significantly cooled. Additionally, in Duszniki-Zdrój, considerable quantities of CO2 flow into these waters along faults.
The analysis of the remaining thermal water deposits suggests that the temperatures obtained from saturation modeling relate to waters pre-cooled conductively and then mixed with inflowing colder water, as the enthalpy values obtained from estimations with mixing models suggest much warmer primary components.
The proportion of colder waters of more shallow circulation in the geothermal systems of both units, i.e., the Karkonosze granite (C-1, KT-1) and the Orlica-Śnieżnik metamorphic complex (GT-1, L-2, LZT-1), falls within the ranges of 66–74% and 60–76%, respectively. Slightly lower values, 46–55%, were obtained for the Staniszów waters (ST-1). The relatively smaller proportions of the hot components despite the considerable depths of the wells should not raise doubts given the location of these intakes in tectonic zones. On the one hand, faults facilitate the ascent of hot deep waters, but on the other, they are zones of their intensive mixing with colder waters.
The chemical compositions of the deep waters reflect water–rock interaction along the circulation paths from the recharge areas to the drainage zones. The expected geochemical processes in which the geothermal waters take part are the dissolution of aluminosilicates as well as mixing and ion exchange reactions. Therefore, precipitation of a secondary calcite and scaling problems may play an essential role in future studies.
Analysis of some trace elements, such as cesium, lithium, rubidium, strontium, etc., could confirm the estimated reservoir temperatures.
Funding
This research received no external funding.
Data Availability Statement
Not applicable.
Acknowledgments
The author thanks W. Ciężkowski for his valuable comments and discussions during the work on this article. The author also thanks the Department of Mining of the Wrocław University of Science and Technology for support during the preparation and publication of this paper.
Conflicts of Interest
The author declare no conflict of interest.
References
- Arnórsson, S. Chemical equilibria in Icelandic geothermal systems—Implications for chemical geothermometry investigations. Geothermics 1983, 12, 119–128. [Google Scholar] [CrossRef]
- Arnórsson, S. The quartz-and Na/K geothermometers. I. New thermodynamic calibration. In Proceedings of the World Geothermal Congress, Tohoku, Japan, 28 May–10 June 2000; pp. 929–934. [Google Scholar]
- Fournier, R.O. Chemical geothermometers and mixing models for geothermal systems. Geothermics 1977, 5, 41–50. [Google Scholar] [CrossRef]
- Fournier, R.O. Interpretation of Na-K-Mg relations in geothermal waters. Trans-Geotherm. Resourc. Counc. 1990, 14, 1421–1425. [Google Scholar]
- Fournier, R.O.; Truesdell, A.H. An empirical Na-K-Ca geothermometer for natural waters. Geochim. Cosmochim. Acta 1973, 37, 1255–1275. [Google Scholar] [CrossRef]
- Tonani, F.B. Some Remarks on the Application of Geochemical Techniques in Geothermal Exploration. In Advances in European Geothermal Research; Strub, A.S., Ungemach, P., Eds.; Springer: Dordrecht, The Netherlands, 1980; pp. 428–443. [Google Scholar] [CrossRef]
- Arnórsson, S.; Gunnlaugsson, E.; Svavarsson, H. The chemistry of geothermal waters in Iceland. III. Chemical geothermometry in geothermal investigations. Geochim. Cosmochim. Acta 1983, 47, 567–577. [Google Scholar] [CrossRef]
- Fournier, R.O. A revised equation for the Na/K geothermometer. Trans-Geotherm. Resour. Counc. 1979, 3, 221–224. [Google Scholar]
- Giggenbach, W.F. Geothermal solute equilibria. Derivation of Na-K-Mg-Ca geoindicators. Geochim. Cosmochim. Acta 1988, 52, 2749–2765. [Google Scholar] [CrossRef]
- Fournier, R.O.; Potter, R.W. A revised and expanded silica (quartz) geothermometer. Geotherm. Resourc. Council Bull. 1982, 11, 3–12. [Google Scholar]
- Neupane, G.; Mattson, E.; Spycher, N.; Dobson, P.; Conrad, M.; Newell, D.; McLing, T.; Wood, T.; Cannon, C.; Atkinson, T.; et al. Geochemical Evaluation of Geothermal Resources of Camas Prairie, Idaho. In Proceedings of the 42nd Workshop on Geothermal Reservoir Engineering Stanford University, Stanford, CA, USA, 13–15 February 2017. [Google Scholar]
- Arnórsson, S.; Gunnlaugsson, E. The chemistry of geothermal waters in Iceland. II. Mineral equilibria and independent variables controlling water compositions. Geochim. Cosmochim. Acta 1983, 47, 547–566. [Google Scholar] [CrossRef]
- Peiffer, L.; Wanner, C.; Spycher, N.; Sonnenthal, E.L.; Kennedy, B.M.; Iovenitti, J. Optimized multicomponent vs. classical geothermometry: Insights from modelling studies at the Dixie Valley geothermal area. Geothermics 2014, 51, 154–169. [Google Scholar] [CrossRef]
- Reed, M.H. Calculation of multicomponent chemical equilibria and reaction processes in systems involving minerals, gases and aqueous phase. Geochim. Cosmochim. Acta 1982, 46, 513–528. [Google Scholar] [CrossRef]
- Reed, M.H.; Spycher, N. Calculation of pH and mineral equilibria in hydrothermal waters with application to geothermometry and studies of boiling and dilution. Geochim. Cosmochim. Acta 1984, 48, 1479–1492. [Google Scholar] [CrossRef]
- Pang, Z.H.; Reed, M. Theoretical chemical thermometry on geothermal waters: Problems and methods. Geochim. Cosmochim. Acta 1998, 62, 1083–1091. [Google Scholar] [CrossRef]
- Spycher, N.; Peiffer, L.; Sonnenthal, E.L.; Saldi, G.; Reed, M.H.; Kennedy, B.M. Integrated multicomponent solute geothermometry. Geothermics 2014, 51, 113–123. [Google Scholar] [CrossRef]
- Spycher, N.; Peiffer, L.; Finsterle, S.; Sonnenthal, E.L. GeoT A Computer Program for Multicomponent Geothermometry and Geochemical Speciation; User’s Guide; Lawrence Berkeley National Laboratory: Berkeley, CA, USA, 2016. [Google Scholar]
- Hou, Z.; Xu, T.; Feng, B.; Spycher, N. Application of Integrated Multicomponent Geothermometry to a Tengchong Geothermal Field, Southwestern China. In Proceedings of the 41st Workshop on Geothermal Reservoir Engineering Stanford University, Stanford, CA, USA, 22–24 February 2016. [Google Scholar]
- Dowgiałło, J. Thermal water prospecting results at Jelenia Góra-Cieplice (Sudetes, Poland) versus geothermometric forecasts. Environ. Geol. 2000, 5, 433–436. [Google Scholar] [CrossRef]
- Dowgiałło, J. Stan rozpoznania zasobów wód termalnych Region Sudeckiego i perspektywy ich wykorzystania. Tech. Posz. Geol. Geoterm. Zrównoważony Rozw. 2007, 46, 29–34. [Google Scholar]
- Ciężkowski, W.; Grzegorczyk, K.; Marszałek, H.; Wąsik, M. Dokładność rozpoznania geologicznego a powodzenie wierceń geotermalnych w regionie sudeckim. Prz. Geol. 2009, 57, 658. [Google Scholar]
- Ciężkowski, W.; Michniewicz, M.; Przylibski, T.A. Wody termalne na Dolnym Śląsku. In Mezozoik i Kenozoik Dolnego Ślaska, 1st ed.; Żelaźniewicz, A., Wojewoda, J., Ciężkowski, W., Eds.; WIND: Wrocław, Poland, 2011; pp. 107–120. [Google Scholar]
- Ciężkowski, W.; Kiełczawa, B.; Liber-Makowska, E.; Przylibski, T.A.; Żak, S. Wody lecznicze regionu sudeckiego: Wybrane problemy. Prz. Geol. 2016, 64, 671–682. [Google Scholar]
- Przylibski, T.A.; Biel, A.; Ciężkowski, W.; Czerski, M.; Kiełczawa, J.; Marszałek, H.; Michniewicz, M.; Staśko, S.; Tarka, R.; Wojtkowiak, A.; et al. Studium Możliwości Rozpoznania Nowych Wystąpień wód Zmineralizowanych, Swoistych i Termalnych na Obszarze Bloku Przedsudeckiego; Raport Ser. SPR. I-11/S-5/2007; PWr: Wrocław, Poland, 2007; Unpublished. [Google Scholar]
- Ciężkowski, W.; Gröning, M.; Leśniak, P.; Weise, S.; Zuber, A. Origin and age of thermal waters in Cieplice Spa, Sudeten, Poland, inferred from isotope, chemical and noble gas data. J. Hydrol. 1992, 140, 89–117. [Google Scholar] [CrossRef]
- Ciężkowski, W.; Doktór, S.; Graniczny, M.; Kabat, T.; Kozłowski, J.; Liber-Madziarz, E.; Przylibski, T.; Teisseyre, B.; Wiśniewska, M.; Zuber, A. Próba Określenia Obszarów Zasilania Wód Leczniczych Pochodzenia Infiltracyjnego w Polsce na Podstawie Badań izotopowych; Zał. 6—Złoże wód leczniczych Dusznik Zdroju; Zał. 3—Złoże wód leczniczych Cieplic Śląskich Zdroju; Zał. 3—Złoże wód leczniczych Lądka-Zdroju; Arch. ZBU “Zdroje”: Wrocław, Poland, 1996; Unpublished. [Google Scholar]
- Zuber, A.; Weise, S.; Osenbrück, K.; Grabczak, J.; Ciężkowski, W. Age and recharge area of thermal waters in Lądek Spa (Sudeten, Poland) deduced from environmental isotope and noble gas data. J. Hydrol. 1995, 167, 327–349. [Google Scholar] [CrossRef]
- Dowgiałło, J.; Hałas, S.; Porowski, A. Isotope temperature indicators of thermal waters in South-Western Poland. In Proceedings of the World Geothermal Congress, Anatalya, Turkey, 24–29 April 2005. [Google Scholar]
- Dowgiałło, J. Wody termalne Sudetów. Acta Geol. Pol. 1976, 26, 617–643. [Google Scholar]
- Dowgiałło, J. Geochemiczne wskaźniki temperatury i ich zastosowanie do sudeckich wód termalnych. In Proceedings of the Materiały Sympozjum “Stan Rozpoznania i Perspektywy Wykorzystania wód Termalnych”, Warszawa–Kraków, Polska, 24–25 October 1985. [Google Scholar]
- Porowski, A. Sens i znaczenie badań geotermometrycznych w poszukiwaniach wód termalnych o niskiej entalpii. Tech. Posz. Geol. Geoterm. Zrównoważony Rozw. 2007, 46, 69–77. [Google Scholar]
- Porowski, A.; Dowgiałło, J. Application of selected geothermometers to exploration of low-enthalpy thermal water: The Sudetic Geothermal Region in Poland. Environ. Geol. 2009, 58, 1629–1638. [Google Scholar] [CrossRef]
- Liber-Makowska, E.; Kiełczawa, B. Modelling of selected hydrodynamic and hydrochemical parameters of a geothermal water system: An example of Cieplice therapeutic waters. Environ. Earth Sci. 2020, 79, 289. [Google Scholar] [CrossRef]
- Kiełczawa, B.; Liber-Makowska, E. Prospective zone of thermal water occurrence in the area of the Orlica-Śnieżnik dome. Min. Sci. 2021, 28, 263–276. [Google Scholar] [CrossRef]
- Kiełczawa, B.; Ciężkowski, W.; Wąsik, M.; Rasała, M. Hydrochemical characteristics of thermal water reservoir in Lądek-Zdrój in light of research into the borehole LZT-1—The deepest borehole in the Sudetes (SW Poland). Energies 2021, 14, 1009. [Google Scholar] [CrossRef]
- Leśniak, P.; Nowak, D. Water-rock interaction in some mineral waters in the Sudetes, Poland: Implications for chemical geothermometry. Ann. Soc. Geol. Pol. 1993, 63, 101–118. [Google Scholar]
- Dobrzyński, D.; Leśniak, P. Two contrasting geothermal systems—Towards the identification of geochemical reaction pattern and groundwater temperature, the Sudetes, Poland. Extendend Abstracts. In Proceedings of the 38th IAH Congress, Kraków, Poland, 12–17 September 2010. [Google Scholar]
- Stupnicka, E. Geologia Regionalna Polski, 1st ed.; Wyd. Geol.: Warszawa, Poland, 1989. [Google Scholar]
- Żelaźniewicz, A.; Aleksandrowski, P. Regionalizacja tektoniczna Polski—Polska południowo-zachodnia. Prz. Geol. 2008, 56, 904–911. [Google Scholar]
- Dowgiałło, J. Sudecki region geotermalny—Określenie, podział, perspektywy poszukiwawcze, In Współczesne Problemy Hydrogeologii; Bocheńska, T., Staśko, S., Eds.; Sudety: Wrocław, Poland, 2001; Volume 10, pp. 301–308. [Google Scholar]
- Liber-Makowska, E.; Łukaczyński, I. Charakterystyka nowo rozpoznanego złoża wód termalnych w Karpnikach na tle warunków geotermicznych Kotliny Jeleniogórskiej. Tech. Poszuk. Geol. 2016, 55, 5–16. [Google Scholar]
- Dobrzyński, D.; Latour, T.; Rossi, D.; Łukaczyński, I.; Realdon, N. Thermal waters in Karpniki and Staniszów (Jelenia Góra Valley, the Sudetes, Poland). Part 1—Geochemical Characteristics. Acta Balneol. 2016, 3, 208–213. [Google Scholar]
- Ciężkowski, W. Studium Hydrogeochemii Wód Leczniczych Sudetów Polskich; Prace Naukowe Instytutu Geotechniki Politechniki Wrocławskiej 60; Wyd. PWr: Wrocław, Poland, 1990; p. 133. [Google Scholar]
- Dąbrowski, M. Modelowanie pola temperatury i strumienia cieplnego na przykładzie granitoidowego masywu Karkonoszy. In Młode strefy Tektoniczne a Warunki Geotermalne w Sudetach w Świetle Badań Geochronologicznych, Strukturalnych i Termometrycznych—Etap II; Aleksandrowski, P., Ed.; Raport końcowy; PIG-PIB: Warszawa, Poland, 2020; pp. 465–486. [Google Scholar]
- Dowgiałło, J. The Sudetic geothermal region of Poland. Geothermics 2002, 31, 343–359. [Google Scholar] [CrossRef]
- Dowgiałło, J.; Fistek, J. New findings in the Wałbrzych-Kłodzko geothermal sub-region (Sudetes, Poland). Geothermics 2003, 32, 689–699. [Google Scholar] [CrossRef]
- Fistek, J.; Dowgiałło, J. Wody termalne Cieplic Śląskich w świetle badań geologiczno-poszukiwawczych wykonanych w latach 1963–73 i 1997–98. In Sudety Zachodnie od Wendu do Czwartorzędu; Ciężkowski, W., Wojewoda, J., Żelaźniewicz, A., Eds.; Wyd. WIND: Wrocław, Poland, 2003; pp. 207–224. [Google Scholar]
- Rasała, M.; Ciężkowski, W.; Wąsik, M.; Kiełczawa, B. Dokumentacja Geologiczna z Wykonania prac Geologicznych Niekończących się Udokumentowaniem Zasobów Złoża Kopaliny w Związku z Wykonaniem Otworu Poszukiwawczego za Wodami Termalnymi LZT-1 w Lądku-Zdroju; Municipal Office: Lądek-Zdrój, Poland, 2019; Unpublished. [Google Scholar]
- Liber-Makowska, E.; Kiełczawa, B. Characteristics of variation in selected hydrogeological parameters of Duszniki-Zdroj medicinal waters (Sudety Mts, Poland). In Proceedings of the 19th International Multidisciplinary Scientific GeoConference SGEM, Albena, Bulgaria, 28 June–7 July 2019. [Google Scholar] [CrossRef]
- Krzemińska, E. Charakterystyka Zmian Zawartości Dwutlenku Węgla w Wodach Leczniczych Dusznik Zdroju z Uwzględnieniem Naturalnych Ekshalacji. Master’s Thesis, Wroclaw University of Science and Technology, Wroclaw, Poland, 2002. [Google Scholar]
- Fistek, J.; Fistek, A. Geotermia Dolnego Śląska—Zasoby, wykorzystanie, koszty inwestycyjne. In Wykorzystanie Odnawialnych Źródeł Energii na Przykładzie Dolnego Śląska; Polski Klub Ekologiczny: Wrocław, Poland, 2002; pp. 41–49. [Google Scholar]
- Kiełczawa, B.; Ciężkowski, W.; Liber-Makowska, E. Charakterystyka termalnych wód leczniczych Dolnego Śląska. In Aktualne Problemy Geotermiczne Polski; Downorowicz, S., Ed.; Towarzystwo Konsultantów Polskich: Lubin, Poland, 2018; pp. 111–119. [Google Scholar]
- Ciężkowski, W. Hydrogeologia i Hydrochemia Wód Termalnych Lądka Zdroju. Ph.D. Thesis, Wroclaw University of Science and Technology, Wroclaw, Poland, 1978. [Google Scholar]
- Liber-Makowska, E.; Kiełczawa, B. Charakterystyka wybranych parametrów złożowych termalnych wód leczniczych Lądka-Zdroju. Tech. Poszuk. Geol. 2017, 56, 117–130. [Google Scholar]
- Przylibski, T.A.; Kiełczawa, B.; Kowalska, A. Skład Chemiczny, Właściwości Fizyczne i Zawartość Izotopów Promieniotwórczych w Wybranych Wodach Podziemnych Polski; Cz. III; Ser. SPR 7; Raporty Inst. Gór.; PWroc.: Wrocław, Poland, 2014; Unpublished. [Google Scholar]
- Dowgiałło, J. Zastosowanie badań izotopów trwałych w hydrogeologii. Postępy Nauk Geol. 1970, 1, 35–70. [Google Scholar]
- Truesdell, A.H.; Hulston, J.R. Isotopic evidence of environments of geothermal systems. In Handbook of Environmental Isotope Geochemistry; Fritz, P., Fontes, J.C., Eds.; Elsevier: New York, NY, USA, 1980; Volume 1, pp. 179–226. [Google Scholar]
- Giggenbach, W.F.; Corrales Soto, R. Isotopic and chemical composition of water and steam discharges from volcanic-magmatic-hydrothermal systems of the Guanacaste Geothermal Province, Costa Rica. Appl. Geochem. 1992, 7, 309–332. [Google Scholar] [CrossRef]
- Peiffer, L.; Rouwet, D.; Taran, Y. Fluid Geochemistry of El Chichón Volcano-Hydrothermal System. In Active Volcanoes of Chiapas (Mexico): El Chichón and Tacaná, Active Volcanoes of the World; Scolamacchia, T., Macías, J.L., Eds.; Springer: Berlin/Heidelberg, Germany, 2015; pp. 77–95. [Google Scholar] [CrossRef]
- Dowgiałło, J. Geotermometryczne prognozy temperatury a wyniki poszukiwań wód termalnych w Jeleniej Górze-Cieplicach. In Hydrogeologia Obszarów Zurbanizowanych i Uprzemysłowionych; Jankowski, A.T., Kowalczyk, A., Kropka, J., Witkowski, A., Eds.; Wyd. Uniw. Śl.: Katowice, Poland, 1998; pp. 70–78. [Google Scholar]
- Bruszewska, B. Warunki geotermiczne Dolnego Śląska. Prz. Geol. 2000, 48, 639–643. [Google Scholar]
- Plewa, M. Badania ciepła radiogenicznego skał krystalicznych i osadowych obszaru sudeckiego. Prace Geol. Kom. Nauk. Geol. PAN 1996, 141, 1–73. [Google Scholar]
- Fournier, R.O.; Truesdell, A.H. Geochemical indicators of subsurface temperature—Part 2, estimation of temperature and fraction of hot water mixed with cold water. J. Res. US Geol. Surv. 1974, 2, 263–270. [Google Scholar] [CrossRef]
- Truesdell, A.H.; Fournier, R.O. Procedure for estimating the temperature of a hot-water component in a mixed water by using a plot of dissolved silica versus enthalpy. J. Res. US Geol. Surv. 1977, 5, 49–52. [Google Scholar]
- Li, J.; Sagoe, G.; Li, Y. Applicability and limitations of potassium-related classical geothermometers for crystalline basement reservoirs. Geothermics 2019, 84, 101728. [Google Scholar] [CrossRef]
- Nicholson, K. Geothermal Fluids: Chemistry and Exploration Techniques, 1st ed.; Springer: Berlin/Heidelberg, Germany; New York, NY, USA; London, UK; Paris, France; Tokyo, Japan; Hong Kong, 1993. [Google Scholar] [CrossRef]
- Borkowska, M. Petrografia granite Karkonoszy. Geol. Sudet. 1966, 2, 7–119. [Google Scholar]
- Szczepański, J. Proweniencja i Ewolucja Tektonomorficzna Serii Suprakrustalnej w Krystaliniku Gór Bystrzyckich; Wrocławska Drukarnia Naukowa PAN: Wrocław, Poland, 2010. [Google Scholar]
- Spycher, N.; Finsterle, S.; Dobson, P.F. New developments in multicomponent geothermometry. In Proceedings of the 41nd Workshop on Geothermal Reservoir Engineering Stanford University, Stanford, CA, USA, 22–24 February 2016. [Google Scholar]
- Stefánsson, A.; Arnórsson, S. Feldspar saturation state in natural waters. Geochim. Cosmochim. Acta 2000, 64, 2567–2584. [Google Scholar] [CrossRef]
- Harvey, A. Thermodynamic Properties of Water: Tabulation from the IAPWS Formulation 1995 for the Thermodynamic Properties of Ordinary Water Substance for General and Scientific Use; U.S. Department of Commerce, National Institute of Standards and Technology: Boulder, CO, USA, 1998; p. 93. [Google Scholar]
- Minissale, A.A. A simple geochemical prospecting method for geothermal resources in flat areas. Geothermics 2018, 72, 258–267. [Google Scholar] [CrossRef]
- Giggenbach, W.F. Geothermal mineral equilibria. Geochim. Cosmochim. Acta 1981, 45, 393–410. [Google Scholar] [CrossRef]
- Ciężkowski, W.; Kiełczawa, B.; Teisseyre, B.; Mazurek, P.; Rodziewicz, B. O niekorzystnym wpływie ograniczenia eksploatacji wód podziemnych na środowisko gruntowo-wodne na przykładzie wód leczniczych Dusznik-Zdroju. Pr. Nauk. Inst. Gór. PWr 2002, 102, 3–14. [Google Scholar]
- Stober, I.; Bucher, K. Deep groundwater in the crystalline basement of the Black Forest region. Appl. Geochem. 1999, 14, 237–254. [Google Scholar] [CrossRef]
- Marszałek, H. Kształtowanie Zasobów wód Podziemnych w Rejonie Kotliny Jeleniogórskiej. Acta Universitatis Wratislaviensis 2993; Wyd. Uniw. Wroc.: Wroław, Poland, 2007; p. 234. [Google Scholar]
- Bujakowski, W.; Barbaracki, A.; Bielec, B.; Hołojuch, G.; Kasztelewicz, A.; Kępińska, B.; Miecznik, M.; Pająk, L.; Skrzypczak, R.; Tomaszewska, B. Modelowania dla Skał krystalicznych. In Ocena Potencjału, Bilansu Cieplnego i Perspektywicznych Struktur Geologicznych Dla Potrzeb Zamkniętych Systemów Geotermicznych (Hot Dry Rocks) w Polsce; Wójcicki, A., Sowiżdżał, A., Bujakowski, W., Eds.; Min. Środ.: Warszawa/Kraków, Poland, 2013; pp. 210–224. [Google Scholar]
- Dowgiałło, J. Wyniki badań składu izotopowego tlenu i wodoru w wodach podziemnych Polski południowej. Biul. Inst. Geol. 1973, 277, 319–334. [Google Scholar]
- Neupane, G.; Mattson, E.D.; McLing, T.L.; Palmer, C.D.; Smith, R.W.; Wood, T.R. Deep Geothermal Reservoir Temperatures in the Eastern Snake River Plain, Idaho using Multicomponent Geothermometry. In Proceedings of the Thirty-Ninth Workshop on Geothermal Reservoir Engineering, Stanford, CA, USA, 24–26 February 2014. [Google Scholar]
Disclaimer/Publisher’s Note: The statements, opinions and data contained in all publications are solely those of the individual author(s) and contributor(s) and not of MDPI and/or the editor(s). MDPI and/or the editor(s) disclaim responsibility for any injury to people or property resulting from any ideas, methods, instructions or products referred to in the content. |
© 2023 by the author. Licensee MDPI, Basel, Switzerland. This article is an open access article distributed under the terms and conditions of the Creative Commons Attribution (CC BY) license (https://creativecommons.org/licenses/by/4.0/).









