Abstract
The water from the high Andean rivers is peculiar due to its composition and the geomorphology of its sources, and naturally or anthropogenically contamination is not discarded along its course. This water is used for agriculture and human consumption, therefore knowing its quality is important. This research aimed to proposing and formulate a water-quality index for high Andean basins through the Delphi method, and its application in the Chumbao River located in Andahuaylas-Peru. Forty-three water-quality parameters were evaluated through the Delphi method, and the water-quality index (WQIHA) was formulated with a weighted average of the weights of the selected parameters, it was compared with the WQI Dinius. For this purpose, ten sampling points were considered along the Chumbao River located between 4274 and 2572 m of altitude and the WQIHA was applied. In addition, field and laboratory analyses were carried out in 2018, 2019, and 2021, in dry and rainy seasons. Twenty parameters were grouped in the physicochemical sub-index (SIPC), heavy metals sub-index (SIHM), and organic matter sub-index (SIOM). Each group contributed with weights of 0.30, 0.30, and 0.40, respectively, for the WQIHA formulation. The SIPC and SIOM showed that the areas near the head of the basin presented excellent and good quality, while the urbanized areas were qualified as marginal to poor; SIHM reported good quality in all points and seasons. Regarding the WQIHA, the index shows good quality in the zones above 3184 m of altitude, contrasting with poor quality downstream, decreasing notably in both seasons, suggesting continuous degradation of the water body.
1. Introduction
The headwaters from the High Andean Rivers are located in the Andes Mountains above 4000 m of altitude. Those are forming water bodies due to the melting of glacial ice caps [1,2,3]. The headwaters of the basin serve as a water pocket zone through wetlands and lagoons and these are rich in active and reserve metal mining deposits [4,5]. In addition, grazing activities are developed for auquenids such as the llama, alpaca, and vicuña; and the massive cultivation of potatoes and quinoa with the use of conventional and high-technological irrigation systems [6,7].
Rivers can become polluted on their way, transporting and accumulating pollutants. The problem can be aggravated when rivers pass through urbanized areas where contamination with organic matter stormwater runoff contributes further [8,9,10,11]. Additionally, rivers in urban areas are affected by untreated wastewater discharges from clandestine landfills, sanitary landfills, and industrial waste [12,13,14,15,16]. The anthropic activities surrounding a high Andean river basin, such as livestock, agriculture, and mining extraction, generate negative impacts on water quality and on surrounding soils [17,18,19,20,21], whose pollutant components, in many cases, are not biodegradable, or the self-purification capacity is very low [7,13,22], especially if they contain traces of dissolved metals and inorganic material [23,24].
Water quality is assessed by physical parameters such as turbidity, conductivity, and resistivity; chemical parameters such as pH, hardness, alkalinity, acidity, total solids, chlorides, nitrates, phosphates, fluorides, magnesium, iron, manganese, toxic metals, and dissolved gases; biological parameters such as biochemical oxygen demand (BOD), chemical oxygen demand (COD) and total organic carbon; and further microbiological parameters [25,26,27], which might be associated with the incidence of anthropic activity in a region [8,15,28,29].
The High Andean Province of Andahuaylas is located in the Apurímac region, Peru, as a city, and the Chumbao river shares the same space in the basin. However, the city has not been able to establish a positive dynamic of coexistence with the river, restricting its natural tributaries and water outcrops, and predating its surrounding natural forests. The city treats the river as a dump, turning it into a dumping ground for domestic and industrial wastes and residues. Those waters are currently used for the irrigation of short-stemmed vegetables and roots for human consumption. Due to the pollution problems faced by the river and the city, the prioritization of environmental sanitation projects is necessary and mandatory in terms of water quality. So, it is useful to know the state of the water quality [30]. The state of water quality can be achieved through the implementation of a water-quality index (WQI) [24,27,31,32] for high Andean rivers.
One of the methods that allow quality criteria on ecosystem aspects to be established is the Delphi methodology [33,34,35,36,37,38,39], which allows categorizing quality indicators, by experts with scientific rigor [40,41,42,43]. Thus, the identification of parameters that allow a WQI to be determined for High Andean basins can be established through the application of this methodology. In comparison to multivariate methods, which allow the identification of water-quality parameters, which result just from the statistical decision [44,45,46]. However, the Delphi method collects the expert experience in water quality, for specific uses, who include within the selection criteria, the perception of the water body and its surroundings [38,43,47,48,49].
WQIs were developed for different water sources, taking into the consideration characteristic aspects of each basin such as rainfall, surrounding soils, topography, aquatic flora and fauna, and anthropic activities [30,50,51,52,53,54,55], which can be ranked and classified according to their importance through the Delphi method. Therefore, the research aimed in formulating a water-quality index for a high Andean River through the Delphi method, taking it as an application case the river of the Chumbao micro-basin, Andahuaylas, Apurímac, Peru, covering the seasons 2018 to 2021.
2. Materials and Methods
2.1. Study Area
The study is located in the Chumbao River, in the southern highlands from Peru, Apurímac region, Andahuaylas province. Hydrographically, it is a tributary of the Apurímac River that belongs to the Pampas River basin. Pampahuasi, Paccoccocha, Antaccocha, and Huachoccocha lagoons (Figure 1) are the highest tributaries. The influence area presents intense rainfall from October to March (between 500 and 1000 mm/year) and temperatures from 5 to 23 °C. it has an average relative humidity of 55%, with a Cwb climate according to Köppen climate classification.
Figure 1.
Study area, Chumbao micro-basin.
2.2. Sampling and Analysis
Eight sampling points along the river were considered, starting from the head of the basin (13°46′38.4″ S, 73°15′32.3″ W, and 4079 m of altitude), up to Sotoccmachay (13°35’26.4″ S, 73°27’00.8″ W, and 2572 m of altitude) (Table 1). The water was sampled in rainy and dry seasons in 2018, 2019, and 2021; and the criteria established by the National Protocol for Monitoring the Quality of Surface Water Resources [56] was considered for sampling.
Table 1.
Location of sampling points.
The parameters analyzed were physical, chemical, and microbiological and these were determined in the field as much as the laboratory. Their methodologies are shown in Table 2. Some analyses were carried out in the Laboratory at José María Arguedas National University, Andahuaylas, Peru.
Table 2.
Parameter analysis methods.
The quantification of metals was analyzed in an Inductively Coupled Plasma–Optical Emission Spectrometer, ICP-OES 9820 Shimadzu, and the standard curves were prepared with standard solutions of chromium (Cr), iron (Fe), Zinc (Zn), and lead (Pb) (Calibration STD, SCP Science), with a regression coefficient, R2, higher than 0.995. The water samples were analyzed in axial mode, in quadruplicate, rinse for 30 s at 60 rpm between samples, and gas flow of 10 L/min with plasma exposure of 30 s.
2.3. Delphi Method Application
We applied the Rand Corporation’s Delphi methodology in order to construct the high Andean water-quality index (WQIHA) [40], which consists of the application of questionnaires with controlled feedback that allows iteration within a panel of experts, in order to reach consensus through scientific and academic discourse, which is developed in stages or rounds [34,47,48,49,59].
2.3.1. Selection of Experts
In order to prioritize water-quality parameters and construct the WQIHA, seven academic experts were selected [40,41,60], with expertise in water resources management, mainly in water quality in high Andean rivers.
2.3.2. Selection of Water-Quality Parameters
Forty-three water-quality parameters were considered, used for the quality indices proposed by the WQI-NSF, WQI-Dinius, UNEP-GEMS, UWQI-UE, ISQA-Spain, CCME-WQI, IAP-Brazil, ICAUCA-Colombia, ICA-Mexico, and MINAM-Peru [61,62,63,64,65,66,67,68,69,70]. The experts selected parameters for the construction of the WQIHA, under the following criteria “Not included”, “Undecided”, “Included”, considering applicable those parameters that reported coincidence in opinion ≥ 70% [40,71].
2.3.3. Assignment of Weights to Parameters
To the selected parameters weight were attributed on a scale from “1 = low” to “5 = high” according to the importance of its contribution to water quality for high Andean rivers. The mean of the results is considered as the weight of the parameter “Wi”, which contributes to the WQIHA [41].
2.3.4. Assignment of Nominal Value to Parameters
Nominal values were assigned for the selected parameters giving referential values (Table 3), considering a quality index “Qi” for each parameter on a scale from “0 = very bad” to “100 = excellent” [40,71,72], from which mathematical models are constructed and describe the quality of the selected parameter [40,73,74,75], using CurveExpert Professional V 2.7.1 software in demo mode.
Table 3.
Selected parameters and reference values.
2.4. Quality Index Construction
The parameters were grouped into physicochemical, heavy metals, and organic matter aspects and were called the quality sub-index, and assigned the weight “Wi” corresponding to their value “Qi”. The quality sub-index was obtained based on a weighted average, according to the equations shown in Table 4.
Table 4.
Quality sub-index equations.
In order to formulate the WQIHA equation, the sum of SIPC, SIHM, and SIOM with weights 0.3, 0.3, and 0.4, respectively were considered, taking as weight criteria the importance and the major source of pollution for high Andean rivers which are agricultural, livestock, and domestic activities [5,6,7,12].
The WQIHA qualification was interpreted using the scale proposed by CCME [66] (Table 5), which is used for legal water-quality standards in many countries [27,62,67,81,82,83,84].
Table 5.
WQIHA qualification scale.
3. Results and Discussion
3.1. Delphi Method Application
The results of the experts’ evaluation through the Delphi method indicated that 20 of 43 parameters were selected, with a coincidence higher than 70%. It was observed that the parameters temperature, turbidity, pH, conductivity, hardness, nitrates, phosphates, zinc, DO, BOD5, thermotolerant, and total coliforms had an appreciation of 100% (Table 6), whereas the parameters TDS, color, nitrites, ammonium, lead, and iron showed a coincidence of 85.7%, and the remaining with 71.4%.
In the total weighting score (maximum sum 35 and minimum 0), it was observed that the BOD5 parameter obtained the highest weighting (35), followed by COD and thermotolerant coliforms (34); while pH, nitrates, phosphates, lead, and DO reported scores of 33. STD and temperature had lower scores: 25 and 20, respectively. The scores assigned by the experts had a variability ranging from 0.0% to 25%, whereas the BOD5 reported 0.0% variability. This is an important indicator in surface and river water quality [10,12,14,17,29,40,51].
Likewise, it was observed that the Wi weights for SIPC ranged from 0.073 to 0.105 (Table 6), with pH, nitrates, and phosphates being of a higher weight; while for SIHM the weights ranged from 0.218 to 0.300, Pb being of higher interest; and SIOM, reported weights between 0.181 to 0.211, with higher weight for BOD5.
The importance of the parameter’s weight is related to water use and source [85,86,87,88,89]. In the case of WQI applicable to surface waters, it would seem that the greatest weight should be given to the parameters DO, BOD5, nitrates, suspended solids and total coliforms [5,12,17,25,43,64,68,88].
Table 6.
Selected parameter weights.
Table 6.
Selected parameter weights.
| Parameters | Proposal | WQI Reference Weights | |||||||
|---|---|---|---|---|---|---|---|---|---|
| Inclusion Percentage | Total Weighting Score | C.V. (%) | Weight (Wi) | UWQI [40] | Tigris River [43] | IAP–Brazil [64] | Dinius-NSF [68] | UWQI-UE [90] | |
| Physicochemical | |||||||||
| Temperature | 100.0 | 20 | 24.2 | 0.064 | 0.100 | 0.077 | |||
| Turbidity | 100.0 | 32 | 11.7 | 0.102 | 0.0696 | 0.087 | 0.080 | ||
| TDS | 85.7 | 23 | 14.9 | 0.073 | 0.091 | 0.080 | |||
| pH | 100.0 | 33 | 10.4 | 0.105 | 0.0911 | 0.100 | 0.120 | 0.077 | 0.029 |
| Conductivity | 100.0 | 27 | 17.9 | 0.086 | 0.0692 | 0.116 | 0.079 | ||
| Hardness | 100.0 | 24 | 15.6 | 0.076 | 0.0587 | 0.051 | 0.065 | ||
| Color | 85.7 | 29 | 16.7 | 0.092 | 0.063 | ||||
| Nitrates | 100.0 | 33 | 10.4 | 0.105 | 0.0909 | 0.190 | 0.090 | 0.086 | |
| Nitrites | 85.7 | 30 | 17.6 | 0.096 | 0.093 | ||||
| Ammonium | 85.7 | 30 | 17.6 | 0.096 | 0.1035 | ||||
| Phosphates | 100.0 | 33 | 10.4 | 0.105 | |||||
| Metals | |||||||||
| Lead | 85.7 | 33 | 10.4 | 0.300 | |||||
| Chrome | 71.4 | 24 | 22.9 | 0.218 | |||||
| Zinc | 100.0 | 25 | 15.0 | 0.227 | |||||
| Iron | 85.7 | 28 | 25.0 | 0.255 | |||||
| Organic material | |||||||||
| COD | 71.4 | 34 | 7.8 | 0.205 | 0.072 | ||||
| OD | 100.0 | 33 | 10.4 | 0.199 | 0.145 | 0.170 | 0.109 | 0.114 | |
| BOD55 | 100.0 | 35 | 0.0 | 0.211 | 0.072 | 0.100 | 0.097 | 0.057 | |
| Thermotolerant Coliforms | 100.0 | 34 | 7.8 | 0.205 | 0.150 | 0.116 | |||
| Total Coliforms | 100.0 | 30 | 11.4 | 0.181 | 0.090 | 0.114 | |||
| Calcium | 0.0726 | ||||||||
| Chloride | 0.0742 | 0.074 | |||||||
| Chlorophyll a | 0.0358 | ||||||||
| Fluoride | 0.0949 | 0.086 | |||||||
| Magnesium | 0.0710 | ||||||||
| Manganese | 0.0910 | ||||||||
| Sulphate | 0.0774 | ||||||||
| Alkalinity | 0.063 | ||||||||
| Cadmium | 0.086 | ||||||||
| Cyanide | 0.086 | ||||||||
| Mercury | 0.086 | ||||||||
| Selenium | 0.086 | ||||||||
| Arsenic | 0.113 | ||||||||
| Total phosphorus | 0.100 | 0.057 | |||||||
| Total nitrogen | 0.100 | ||||||||
| Sodium | 0.058 | ||||||||
The pH is one of the parameters considered by all the WQI (Table 6), and this is a conditioning factor for the solubility and self-purification of solutes in the water in the same way, nitrates, DO, and BOD5 are considered [43,64,68,90], which is related to the organic matter present in the water bodies [7,8,13,53]. In this sense, the proposed index takes into consideration these general aspects for rivers with anthropic influence.
The nominal valuation curves of the physicochemical parameters were adjusted to mathematical models with values R2 > 0.999, and it was found that for values of temperature < 6.4 °C, turbidity < 3.0 NTU, TDS < 10 mg/L, 6.4 < pH < 7.4, conductivity < 81.4 µS/cm, hardness < 22 mg/L, color < 4.0 PCU, nitrate < 2.0 mg/L, nitrite < 0.1 mg/L, ammonium < 0.1 mg/L, and phosphate < 0.001 mg/L the individual Qi quality index is 100% (Figure 2).
Figure 2.
Nominal values curve for physicochemical parameters.
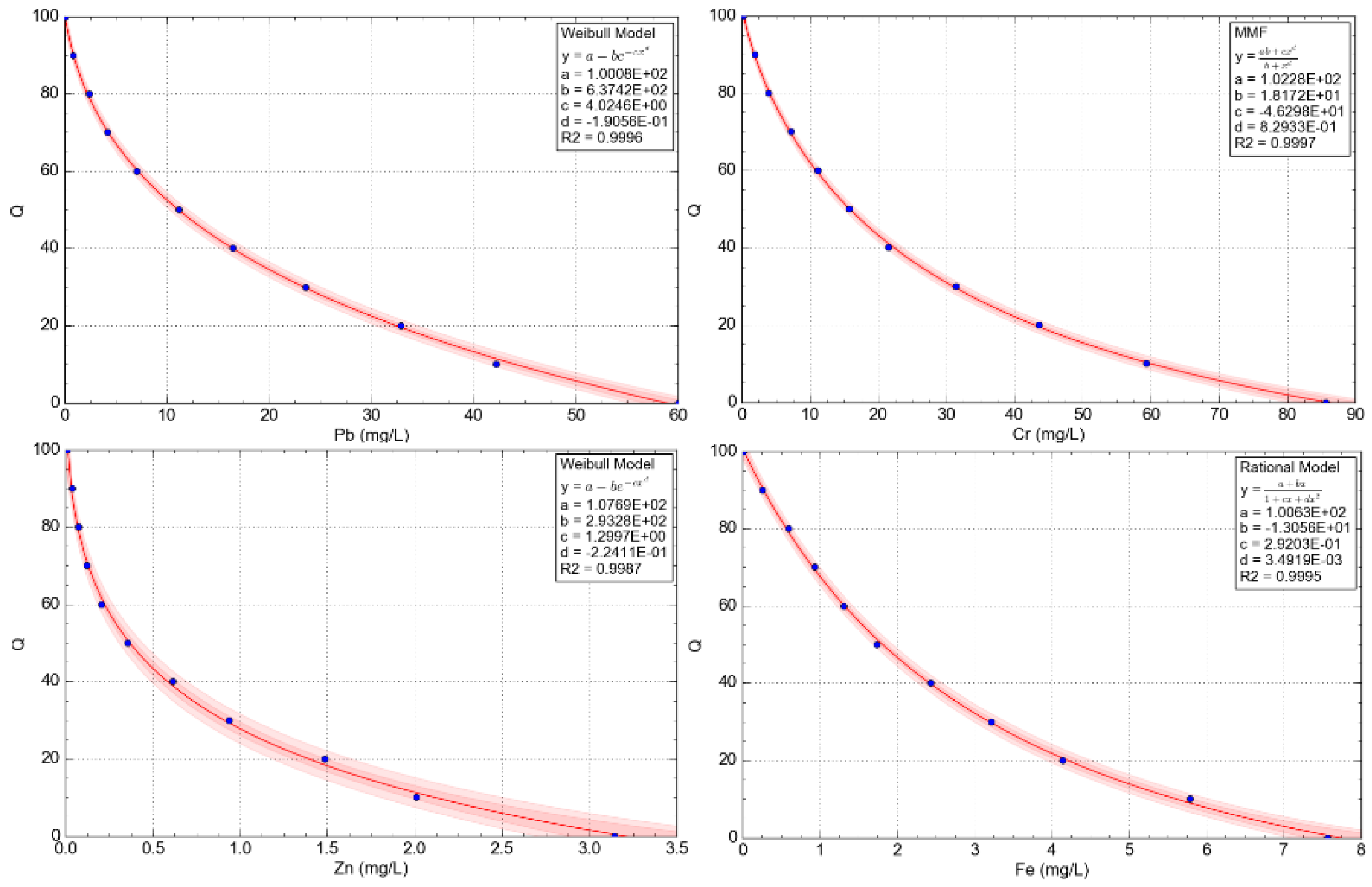
For the nominal valuation curves of the heavy metals parameters, it was observed that for values of Pb < 0.029 mg/L, Cr < 0.214 mg/L, Zn < 0.009 mg/L, and Fe < 0.009 mg/L, the individual quality Qi is 100% (Figure 3). On the other hand, the nominal value curves for the parameters of the organic matter sub-index reported that values COD < 3.29 mg/L, 6.1 mg/L < OD < 7.1 mg/L, BOD5 < 3.5 mg/L, thermotolerant bacteria < 50 MPN/100 mL, and total coliforms < 500 MPN/100 mL, the individual quality Qi is 100% (Figure 4) obtained through mathematical models with values R2 > 0.999.
Figure 3.
Nominal values curve for heavy metal parameters.
Figure 4.
Nominal values curve for organic matter parameters.
3.2. Characteristics of the Quality Parameters of the Chumbao River
The mean values of temperature in the studied seasons oscillate between 11.85 and 17.61 °C (Table 7), increasing in the season 2019 and 2021, and in urban areas (Figure 5). Regarding turbidity, it was observed that in the high areas it is around 0.0 NTU and that it increased considerably downstream, ranging from 4.98 to 55.72 NTU (Table 7); with respect to TDS, conductivity, hardness, and color values, considerable increases were observed downstream, with higher values in dry seasons (Figure 5) (p-value < 0.05) and maximum values of 453.0 mg/L, 906.0 mg/L, 750 mg/L, and 172 PCU, respectively (Table 7).
Table 7.
Maximum and minimum values of physicochemical parameters.
Figure 5.
Physicochemical parameters values.
Regarding the pH, the maximum value was 9.34 and a minimum of 6.91, with means between 7.53 and 8.10 (p-value < 0.05) (Figure 5), with significant variation observed in urbanized areas (between 2981 and 2767 m of altitude). This should be due to anthropic activities since the inhabitants of these areas discharge wastewater (household and agricultural) and solid waste into the riverbed [13,14,27,53,91].
Concerning the nitrogen series, levels of 0.0 mg/L for nitrates, nitrites, and ammonium, as well as phosphates (Table 7) were observed, especially in the high places of the high Andean basin of Chumbao (Figure 5). However, there is anthropic activity [10,26,92], mainly livestock activity (open field rearing of alpacas, sheep, and cattle) [6,12].
Concerning the level of selected heavy metals, maximum values of 1.50 ug/L, 83.0 ug/L, and 0.61 mg/L were observed for Pb, Cr, and Fe, with minimum values close to 0.0 mg/L (Table 8). In urban areas (below 4079 m of altitude) the level of these metals increased considerably. However, the values of Zn were not detectable in the study seasons (Figure 6).
Table 8.
Maximum and minimum values of heavy metals parameters.
Figure 6.
Heavy metals parameter values.
Regarding the organic matter indicator parameters, maximum levels of 310 mg/L and 292 mg/L were observed and minimum levels were close to 0.0 mg/L for COD and BOD, respectively (Table 9). These increase considerably (p-value < 0.05) as the river flows through urbanized areas; although BOD5 levels below 3000 m altitude were low (Figure 7). This was due to the river’s own self-purification [53], especially in rivers with steep slopes [12], which is demonstrated by the opposite behavior of DO.
Table 9.
Maximum and minimum values of organic matter parameters.
Figure 7.
Organic matter parameter values.
The high level of coliforms (Table 9) is mainly due to domestic activity, although these values are relatively low in the areas near the headwaters of the basin (Figure 7). In most cases, this increase is due to the discharge of domestic water into the watercourse and the existence of domestic solid waste in the riverbed.
3.3. High Andean Water-Quality Index
There are numerous WQI for rivers based on physical, chemical, microbiological, and biological parameters [9,15,19,23,53,93], with criteria in national or international standards or norms [94,95,96,97]. However, aspects such as heavy metals are often not considered [54,93,98,99]. In this sense, a WQI was formulated considering physicochemical, heavy metals, and organic matter aspects, as shown in Equation (4), taking into account the high Andean basin of the Chumbao River (WQIHA), where it circumscribes different large-scale mining deposits which could provide inorganic material to the water.
The water quality in the Chumbao River, regarding SIPC and SIOM (Figure 8a,c), are in “good” range for the high areas above 3184 m of altitude, and that it decreases considerably to “marginal” and “poor” levels due to the fact that domestic wastewater and residues from agricultural activities are dumped directly into the riverbed. Regarding SIHM, they are in the “good” and “excellent” range, although with a slight decrease, especially in urbanized areas below 2872 m of altitude (Figure 8b).
Figure 8.
(a) Physicochemical subindex—SIPC; (b) heavy metals subindex—SIHM; (c) organic matter subindex—SIOM; (d) high Andean water-quality index—WQIHA; (e) Dinius WQI.
In regard to the WQIHA, it reported a rating of “good” in the points near the headwaters, and in urbanized areas, the quality is between “marginal” and “poor” (Figure 8d). This behavior is characteristic of this type of river [86,99,100]. However, water-quality indexes are reported up to limits of bad or very bad [81,88]. In that sense, the water of the Chumbao River could be considered to be in medium-quality conditions in comparison to other rivers with the same characteristics.
Unlike the quality index according to Dinius, the WQIHA is more robust because it considers physicochemical, heavy metals, and organic matter parameters, compared to Dinius, which does not take heavy metals into account. However, it reports similar behavior for the high-altitude zones (Figure 8e).
It has been observed that the quality subindexes, as well as WQIHA, have decreased over time (Figure 8), especially in urbanized areas, which suggests that quality could be even more affected by anthropic activities and the growing population, especially in the high Andean zones of Peru, where the lack of basic sanitation, wastewater collectors, as well as wastewater treatment plants is evidenced. In addition, most of the population lacks environmental education and does not care about the environment. A tool that would allow measuring water quality over time for rivers with characteristics of high Andean zones is the proposed WAQIAH.
4. Conclusions
The proposal of a water-quality index for high Andean rivers, based on the physicochemical subindex (SIPC), heavy metals subindex (SIHM), organic matter subindex (SIOM), allows evaluating the behavior of the quality by grouped pollutants, with a real approximation on the natural and anthropic characteristics of this type of basins.
The application of WQIHA in the water from the high Andean basin of the Chumbao river showed that the areas surrounding the head of the basin present good quality, and they are not threatened, showing levels close to the natural state, and that it is rarely seen. However, urbanized areas are frequently threatened and degraded, due to anthropic practices; and that degradation has been increasing over time.
This WQIHA will allow the evaluation of water quality in high Andean areas influenced by anthropic domestic, agricultural, livestock, and mining and metallurgical activities, such as the Andes in South America.
Author Contributions
Conceptualization, D.C.-Q., G.I.B.-P., E.L.M.-H. and H.P.-R.; methodology, D.C.-Q., D.E.P.-G. and L.M.Z.-P.; software, Y.C.-Q. and H.P.-R.; validation A.M.S.-R., M.M.Z.-P. and D.E.P.-G.; formal analysis, D.C.-Q., A.M.S.-R., E.G.A.-M., M.C.-F. and D.E.P.-G.; investigation, D.C.-Q., S.F., D.E.P.-G., Y.C.-Q., A.K.-F. and A.M.-Q.; writing—original draft preparation, D.C.-Q., Y.C.-Q. and A.K.-F.; writing—review and editing, D.C.-Q., S.F., E.E.B.-P. and D.E.P.-G.; supervision D.C.-Q. and S.F., funding acquisition, D.C.-Q. All authors have read and agreed to the published version of the manuscript.
Funding
This research was subsidized by Vicepresidencia de Investigación de la Universidad Nacional José María Arguedas, Andahuaylas, Apurímac, Perú.
Institutional Review Board Statement
Not applicable.
Informed Consent Statement
Not applicable.
Data Availability Statement
The information displayed in this study is accessible in this article.
Acknowledgments
The authors are grateful to the Vice-Presidency of Research of the Jose Maria Arguedas National University for the subsidy and use of the water analysis and control research laboratory.
Conflicts of Interest
The authors declare no conflict of interest.
References
- Sengül, S.; Ispirli, M.N. Predicting Snowmelt Runoff at the Source of the Mountainous Euphrates River Basin in Turkey for Water Supply and Flood Control Issues Using HEC-HMS Modeling. Water 2022, 14, 284. [Google Scholar] [CrossRef]
- Panagoulia, D. Hydrological response of a medium-sized mountainous catchment to climate changes. Hydrol. Sci. J. 1991, 36, 525–547. [Google Scholar] [CrossRef]
- Hadi Pour, S.; Wahab, A.A.; Shahid, S.; Wang, X. Spatial Pattern of the Unidirectional Trends in Thermal Bioclimatic Indicators in Iran. Sustainability 2019, 11, 2287. [Google Scholar] [CrossRef] [Green Version]
- Choque-Quispe, D.; Froehner, S.; Ligarda-Samanez, C.A.; Ramos-Pacheco, B.S.; Peralta-Guevara, D.E.; Palomino-Rincón, H.; Choque-Quispe, Y.; Solano-Reynoso, A.M.; Barboza-Palomino, G.I.; Taipe-Pardo, F.; et al. Insights from Water Quality of High Andean Springs for Human Consumption in Peru. Water 2021, 13, 2650. [Google Scholar] [CrossRef]
- Quispe-Coica, F.A.; Fernández, S.; Acharte, L.; Pérez-Foguet, A. Status of water quality for human consumption in high-Andean rural communities: Discrepancies between techniques for identifying trace metals. Multidiscip. Sci. J. 2020, 3, 162–180. [Google Scholar] [CrossRef]
- Ligarda-Samanez, C.A.; Choque-Quispe, D.; Ramos-Pacheco, B.S.; Peralta-Guevara, D.E.; Moscoso-Moscoso, E.; Palomino-Rincón, H.; Huamán, M.L. The influence of anthropogenic activities on the concentration of pesticides, physicochemical and microbiological properties in the Chumbao River, Andahuaylas, Perú. Int. J. Adv. Sci. Eng. Inf. Technol. 2021, 11, 1977–1985. [Google Scholar] [CrossRef]
- Choque-Quispe, D.; Ligarda-Samanez, C.A.; Solano-Reynoso, A.M.; Ramos-Pacheco, B.S.; Quispe-Quispe, Y.; Choque-Quispe, Y.; Kari-Ferro, A. Water quality index in the high-Andean micro-basin of the Chumbao River, Andahuaylas, Apurímac, Peru. Tecnol. Cienc. Agua 2021, 12, 37–73. [Google Scholar] [CrossRef]
- Patel, S.V.; Chavda, P.; Tyagi, S. Carrying out assessment of groundwater quality of villages of Bhavnagar district of Gujarat, India. Environ. Claims J. 2019, 31, 79–92. [Google Scholar] [CrossRef]
- Najafi Saleh, H.; Valipoor, S.; Zarei, A.; Yousefi, M.; Asghari, F.B.; Mohammadi, A.A.; Amiri, F.; Ghalehaskar, S.; Khaneghah, A.M. Assessment of groundwater quality around municipal solid waste landfill by using Water Quality Index for groundwater resources and multivariate statistical technique: A case study of the landfill site, Qaem Shahr City, Iran. Environ. Geochem. Health 2020, 42, 1305–1319. [Google Scholar] [CrossRef]
- Bora, M.; Goswami, D.C. Water quality assessment in terms of water quality index (WQI): Case study of the Kolong River, Assam, India. Appl. Water Sci. 2017, 7, 3125–3135. [Google Scholar] [CrossRef] [Green Version]
- Annapoorna, H.; Janardhana, M.R. Assessment of groundwater quality for drinking purpose in rural areas surrounding a defunct copper mine. Aquat. Procedia 2015, 4, 685–692. [Google Scholar] [CrossRef]
- Choque-Quispe, D.; Ramos-Pacheco, B.S.; Ligarda-Samanez, C.A.; Solano-Reynoso, A.M.; Correa-Cuba, O.; Quispe-Quispe, Y.; Choque-Quispe, Y. Water pollution index of high Andean micro-basin of the Chumbao River, Andahuaylas, Peru. Rev. Fac. Ing. Univ. Antioq. 2021. [Google Scholar] [CrossRef]
- Kharake, A.C.; Raut, V.S. An assessment of water quality index of Godavari river water in Nashik city, Maharashtra. Appl. Water Sci. 2021, 11, 101. [Google Scholar] [CrossRef]
- Naveen, B.P.; Mahapatra, D.M.; Sitharam, T.G.; Sivapullaiah, P.V.; Ramachandra, T.V. Physico-chemical and biological characterization of urban municipal landfill leachate. Environmental Pollution 2017, 220, 1–12. [Google Scholar] [CrossRef] [PubMed]
- Barakat, A.; El Baghdadi, M.; Rais, M.; Aghezzaf, B.; Slassi, M. Assessment of spatial and seasonal water quality variation of Oum Er Rbia River (Morocco) using multivariate statistical techniques. Int. Soil Water Conserv. Res. 2016, 4, 284–292. [Google Scholar] [CrossRef]
- Shabbir, R.; Ahmad, S.S. Water resource vulnerability assessment in Rawalpindi and Islamabad, Pakistan using Analytic Hierarchy Process (AHP). J. King Saud Univ.-Sci. 2016, 28, 293–299. [Google Scholar] [CrossRef] [Green Version]
- Ji, L.; Li, Y.; Zhang, G.; Bi, Y. Anthropogenic Disturbances Have Contributed to Degradation of River Water Quality in Arid Areas. Water 2021, 13, 3305. [Google Scholar] [CrossRef]
- Kumari, R.; Sharma, R.C. Assessment of water quality index and multivariate analysis of high altitude sacred Lake Prashar, Himachal Pradesh, India. Int. J. Environ. Sci. Technol. 2016, 16, 6125–6134. [Google Scholar] [CrossRef]
- Ewaid, S.H. Water quality evaluation of Al-Gharraf river by two water quality indices. Appl. Water Sci. 2017, 7, 3759–3765. [Google Scholar] [CrossRef] [Green Version]
- Trikoilidou, E.; Samiotis, G.; Tsikritzis, L.; Kevrekidis, T.; Amanatidou, E. Evaluation of Water Quality Indices Adequacy in Characterizing the Physico-Chemical Water Quality of Lakes. Environ. Processes 2017, 4, 35–46. [Google Scholar] [CrossRef]
- Zhaoshi, W.; Zhang, D.; Cai, Y.; Xiaolong, W.; Lu, Z.; Yuwei, C. Water quality assessment based on the water quality index method in Lake Poyang: The largest freshwater lake in China. Sci. Rep. 2017, 7, 17999. [Google Scholar] [CrossRef]
- Akumtoshi, L.; Singh, M.R.; Puro, N. Assessment of water quality Status of Doyang River, Nagaland, India, using Water Quality Index. Appl. Water Sci. 2020, 10, 46. [Google Scholar] [CrossRef] [Green Version]
- Judran, N.H.; Kumar, A. Evaluation of water quality of Al-Gharraf River using the water quality index (WQI) Model. Earth Syst. Environ. 2020, 6, 1581–1588. [Google Scholar] [CrossRef]
- Bilgin, A. Evaluation of surface water quality by using Canadian Council of Ministers, of the Environment Water Quality Index (CCME WQI) method and discriminant analysis method: A case study Coruh River Basin. Environ. Monit. Assess. 2018, 190, 554. [Google Scholar] [CrossRef] [PubMed]
- Mutea, F.G.; Nelson, H.K.; Au, H.V.; Huynh, T.G.; Vu, U.N. Assessment of Water Quality for Aquaculture in Hau River, Mekong Delta, Vietnam Using Multivariate Statistical Analysis. Water 2021, 13, 3307. [Google Scholar] [CrossRef]
- Nihalani, S.; Meeruty, A. Water quality index evaluation for major rivers in Gujarat. Environ. Sci. Pollut. Res. 2021, 28, 63523–63531. [Google Scholar] [CrossRef] [PubMed]
- Fathi, E.; Zamani-Ahmadmahmoodi, R.; Zare-Bidaki, R. Water quality evaluation using water quality index and multivariate methods, Beheshtabad River, Iran. Appl. Water Sci. 2018, 8, 210. [Google Scholar] [CrossRef] [Green Version]
- Thapa, R.; Gupta, S.; Kaur, H. Introducing an irrigation water quality index (IWQI) based on the case study of the Dwarka River basin, Birbhum, West Bengal, India. Sustain. Water Resour. Manag. 2020, 6, 86. [Google Scholar] [CrossRef]
- Singh, S.K.; Singh, P.; Gautam, S.K. Appraisal of urban lake water quality through numerical index, multivariate statistics and earth observation data sets. Int. J. Environ. Sci. Technol. 2016, 13, 445–456. [Google Scholar] [CrossRef] [Green Version]
- Sener, S.; Sener, E.; Davraz, A. Evaluation of water quality using water quality index (WQI) method and GIS in Aksu River (SWTurkey). Sci. Total Environ. 2017, 15, 131–144. [Google Scholar] [CrossRef]
- Nadikatla, S.K.; Mushini, V.S.; Mudumba, P.S.M. Water quality index method in assessing groundwater quality of Palakonda mandal in Srikakulam district, Andhra Pradesh, India. Appl. Water Sci. 2020, 10, 30. [Google Scholar] [CrossRef] [Green Version]
- Barakat, A.; Meddah, R.; Afdali, M.; Touhami, F. Physicochemical and microbial assessment of spring water quality for drinking supply in Piedmont of Béni-Mellal Atlas (Morocco). Phys. Chem. Earth Parts ABC 2018, 104, 39–46. [Google Scholar] [CrossRef]
- López-Gómez, E. The Delphi method in current educational research: A theoretical and methodological review. Educación XX1 2018, 21, 17–40. [Google Scholar]
- Smith, L.M.; Case, J.L.; Smith, H.M.; Harwell, L.C.; Summers, J.K. Relating ecoystem services to domains of human well-being: Foundation for a U.S. index. Ecol. Indic. 2013, 28, 79–90. [Google Scholar] [CrossRef]
- Hasson, F.; Keeney, S. Enhancing rigour in the Delphi technique research. Technol. Forecast. Soc. Chang. 2011, 78, 1695–1704. [Google Scholar] [CrossRef]
- Linstone, H.A.; Turoff, M. Delphi: A brief look backward and forward. Technol. Forecast. Soc. Chang. 2011, 78, 1712–1719. [Google Scholar] [CrossRef]
- Coleman, S.; Hurley, S.; Koliba, C.; Zia, A.; Exler, S. Building adaptive capacity with the delphi method and mediated modeling for water quality and climate change adaptation in Lake Champlain Basin. AGU Fall Meet. Abstr. 2014, 2014, H41D-0846. [Google Scholar]
- Yang, J.S. Development of drought vulnerability index using delphi method considering climate change and trend analysis in Nakdong river basin. J. Korean Soc. Civ. Eng. 2013, 33, 2245. [Google Scholar] [CrossRef] [Green Version]
- Lumb, A.; Sharma, T.C.; Bibeault, J.F. A Review of Genesis and Evolution of Water Quality Index (WQI) and Some Future Directions. Water Qual. Expo. Health 2011, 3, 11–24. [Google Scholar] [CrossRef]
- Banda, T.; Kumarasamy, M. Development of Water Quality Indices (WQIs): A Review. Polish J. Environ. Stud. 2020, 29, 2011–2021. [Google Scholar] [CrossRef]
- Musa, H.; Yacob, M.; Abdullah, A.; Ishak, M. Delphi Method of Developing Environmental Well-being Indicators for the Evaluation of Urban Sustainability in Malaysia. Procedia Environ. Sci. 2015, 30, 244–249. [Google Scholar] [CrossRef] [Green Version]
- Steurer, J. The Delphi method: An efficient procedure to generate knowledge. Skelet. Radiol. 2011, 40, 959–961. [Google Scholar] [CrossRef] [PubMed] [Green Version]
- Ewaid, S.H.; Abed, S.A.; Al-Ansari, N.; Salih, R.M. Development and Evaluation of a Water Quality Index for the Iraqi Rivers. Hydrology 2020, 7, 67. [Google Scholar] [CrossRef]
- Azhar, S.C.; Aris, A.Z.; Yusoff, M.K.; Ramli, M.F.; Juahir, H. Classification of river water quality using multivariate analysis. Procedia Environ. Sci. 2015, 30, 79–84. [Google Scholar] [CrossRef] [Green Version]
- Garcia, C.A.B.; Garcia, H.L.; Mendonca, M.C.S.; da Silva, A.F.; Alves, J.d.P.H.; da Costa, S.S.L.; Araujo, R.G.O.; Silva, I.S. Assessment of water quality using principal component analysis: A case study of the açude da Macela-Sergipe-Brazil. Water Resour. 2017, 7, 8. [Google Scholar]
- Chu, K.; Liu, W.; She, Y.; Hua, Z.; Tan, M.; Liu, X.; Gu, L.; Jia, Y. Modified principal component analysis for identifying key environmental indicators and application to a large-scale tidal flat reclamation. Water 2018, 10, 69. [Google Scholar] [CrossRef] [Green Version]
- De Carvalho, B.E.; Marques, R.C.; Netto, O.C. Delphi technique as a consultation method in regulatory impact assessment (RIA)—The Portuguese water sector. Water Policy 2017, 19, 423–439. [Google Scholar] [CrossRef]
- Saha, P.D. Water quality characteristics of different industrial wastewater by Delphi water quality index method. Int. J. Environ. Eng. 2014, 6, 1–14. [Google Scholar] [CrossRef]
- Liu, Z.; Zhu, H.; Cui, X.; Wang, W.; Luan, X.; Chen, L.; Cui, Z.; Zhang, L. Groundwater quality evaluation of the Dawu water source area based on water quality index (WQI): Comparison between Delphi method and multivariate statistical analysis method. Water 2021, 13, 1127. [Google Scholar] [CrossRef]
- Akinbile, C.O.; Omoniyi, O. Quality assessment and classification of Ogbese river using water quality index (WQI) tool. Sustain. Water Resour. Manag. 2018, 4, 1023–1030. [Google Scholar] [CrossRef] [Green Version]
- Mladenović-Ranisavljević, I.I.; Žerajić, S.A. Comparison of different models of water quality index in the assessment of surface water quality. Int. J. Environ. Sci. Technol. 2018, 15, 665–674. [Google Scholar] [CrossRef]
- Javid, A.; Maghsadi, N.; Rodbari, A.A. Using the IRWQIGT index to determine toxicity levels in groundwater resources: A case study of Semnan Province. Water Wastewater 2016, 27, 75–83. [Google Scholar]
- Benvenuti, T.; Kieling-Rubio, M.A.; Klauck, C.R.; Rodrigues, M.A.S. Evaluation of water quality at the source of streams of the Sinos River Basin, southern Brazil. Braz. J. Biol. 2015, 75, 98–104. [Google Scholar] [CrossRef] [PubMed] [Green Version]
- Venkatramanan, S.; Chung, S.Y.; Kim, T.H.; Prasanna, M.V.; Hamm, S.Y. Assessment and Distribution of Metals Contamination in Groundwater: A Case Study of Busan City, Korea. Water Qual. Expo. Health 2015, 7, 219–225. [Google Scholar] [CrossRef]
- Tyagi, S.; Sharma, B.; Singh, P.; Dobhal, R. Water Quality Assessment in Terms of Water Quality Index. Am. J. Water Resour. 2013, 1, 34–38. [Google Scholar] [CrossRef]
- ANA. Autoridad Nacional del Agua (ANA) and Ministerio de Agricultura y Riego-Protocolo Nacional Para el Monitoreo de Calidad de los Recursos Hidricos Superficiales; Tech. Rep. 010-2016-ANA; Ministerio de Agricultura y Riego: Lima, Perú, 2016.
- APHA. Standard Methods for the Examination of Water and Wastewater, 22nd ed.; American Public Health Association (APHA): Washington, DC, USA, 2012. [Google Scholar]
- ISO. Water Quality—Enumeration of Escherichia Coli and Coliform Bacteria—Part 2: Most Probable Number Method—ISO 9308-2:2012; ISO: Geneva, Switzerland, 2014. [Google Scholar]
- Hallowell, M.R.; Gambatese, J.A. Population and Initial Validation of a Formal Model for Construction Safety Risk Management. J. Constr. Eng. Manag. 2010, 136, 981–990. [Google Scholar] [CrossRef] [Green Version]
- Hashemi, F.; Siong, H.C. Extracting Urban Sustainability Indicators for Tehran Metropolis by Fuzzy Delphi Method. Middle-East J. Sci Res. 2014, 22, 1411–1421. [Google Scholar] [CrossRef]
- MINAM. Estándares de Calidad Ambiental (ECA), Decreto Supremo N 004-2017-MINAM-Perú (10 p.); Ministerio del Ambiente: Lima, Perú, 2017.
- Boyacıoğlu, H.; Boyacıoğlu, H. Detection of seasonal variations in surface water quality using discriminant analysis. Environ. Monit. Assess. 2010, 162, 15–20. [Google Scholar] [CrossRef]
- UNEP. Global Drinking Water Quality Index Development and Sensitivity Analysis Report; UNEP: Ontario, ON, Canada, 2007. [Google Scholar]
- CETESB. Relatório de Qualidade das Águas Interiores no Estado de São Paulo, Anexo V; Companhia de Tecnologia de Saneamento Ambiental: São Paulo, Brazil, 2006.
- CVC. Corporación Autónoma Regional Del Valle Del Cauca, Estudio de la Calidad del Agua del Río Cauca y sus Principales Tributarios Mediante la Aplicación de Índices de Calidad y Contaminación; Reporte del Proyecto; CVC: Valle del Cauca, Colombia, 2004. [Google Scholar]
- CCME. Canadian Council of Ministers of the Environment For the protection of aquatic life. In Canadian Environmental Quality Guidelines, 1999; Canadian Council of Ministers of the Environment: Winnipeg, MB, Canada, 2007. [Google Scholar]
- León, L. Índices de Calidad del Agua (ICA), Formas de estimarlos y Aplicación en la Cuenca Lerma-Chapala; Instituto Mexicano de Tecnología del Agua: Morelos, México, 1998. [Google Scholar]
- Dinius, S.H. Design of an Index of Water Quality. JAWRA J. Am. Water Resour. Assoc. 1987, 23, 833–843. [Google Scholar] [CrossRef]
- Queralt, R. La calidad de las aguas en los ríos. Tecnol. Agua 1982, 4, 49–57. [Google Scholar]
- Brown, R.M.; McClelland, N.I.; Deininger, R.A.; Tozer, R.G. Water quality index-do we dare? Water Sew. Works 1970, 117, 339–343. [Google Scholar]
- Sutadian, A.D.; Muttil, N.; Yilmaz, A.G.; Perera, B. Development of river water quality indices—A review. Environ. Monit. Assess. 2016, 188, 58. [Google Scholar] [CrossRef] [Green Version]
- Sharma, P.; Meher, P.K.; Kumar, A.; Gautam, Y.P.; Mishra, K.P. Changes in water quality index of Ganges river at different locations in Allahabad. Sustain. Water Qual. Ecol. 2014, 3, 67–76. [Google Scholar] [CrossRef]
- Abdel-Satar, A.M.; Ali, M.H.; Goher, M.E. Indices of water quality and metal pollution of Nile River, Egypt. Egypt. J. Aquat. Res. 2017, 43, 21–29. [Google Scholar] [CrossRef]
- Vatkar, Y.S.; Vatkar, N.S.; Vatkar, A.S. Assessment of WQI by Weighted Arithmetic Index Method for Engineering Colleges in Kolhapur City, Maharashtra, India. Int. J. Eng. Sci. Comput. 2016, 6, 2919. [Google Scholar]
- Abtahi, M.; Golchinpour, N.; Yaghmaeian, K.; Rafiee, M.; Jahangiri-Rad, M.; Keyani, A.; Saeedi, R. A modified drinking water quality index (DWQI) for assessing drinking source water quality in rural communities of Khuzestan Province, Iran. Ecol. Indic. 2015, 53, 283–291. [Google Scholar] [CrossRef]
- CONAMA. Classification of the water bodies, Resolução CONAMA Nº 357; CONAMA: Brasília, Brazil, 2005.
- RAS. Reglamento Técnico del Sector de Agua Potable y Saneamiento Básico; Ministerio de Desarrollo Económico: Bogotá, Colombia, 2000.
- WHO. Guidelines for Drinking-Water Quality, 4th ed.; Recommendations, 564; World Health Organization: Geneva, Switzerland, 2011.
- PREQB. Puerto Rico Water Quality Inventory and List of Impaired Waters, 2004–305 (b) /303 (d) Final Report; Puerto Rico Enviromental Quality Board: Puerto Rico, PR, USA, 2004. [Google Scholar]
- CETESB. Variáveis de Qualidade de Agua; Companhia Ambiental do Estado de São Paulo: São Paulo, Brazil, 2009.
- Uddin, M.G.; Moniruzzaman, M.; Khan, M. Evaluation of groundwater quality using CCME water quality index in the Rooppur Nuclear Power Plant Area, Ishwardi, Pabna, Bangladesh. Am. J. Environ. Prot. 2017, 5, 33–43. [Google Scholar] [CrossRef] [Green Version]
- Mostafaei, A. Application of multivariate statistical methods and water quality index to evaluation of water quality in the Kashkan River. Environ. Manag. 2014, 53, 865–881. [Google Scholar] [CrossRef]
- Damo, R.; Icka, P. Evaluation of water quality index for drinking water. Polish J. Environ. Stud. 2013, 22, 1045–1051. [Google Scholar]
- Espejo, L.; Kretschmer, N.; Oyarzún, J.; Meza, F.; Núñez, J.; Maturana, H.; Soto, G.; Oyarzo, P.; Garrido, M.; Suckel, F.; et al. Application of water quality indices and analysis of the surface water quality monitoring network in semiarid North-Central Chile. Environ. Monit. Assess. 2012, 184, 5571–5588. [Google Scholar] [CrossRef]
- Ivanova, I.; Savichev, O.; Trifonov, N.; Kolubaeva, Y.V.; Volkova, N. Major-Ion Chemistry and Quality of Water in Rivers of Northern West Siberia. Water 2021, 13, 3107. [Google Scholar] [CrossRef]
- Solangi, G.S.; Siyal, A.A.; Babar, M.M.; Siyal, P. Application of water quality index, synthetic pollution index, and geospatial tools for the assessment of drinking water quality in the Indus Delta, Pakistan. Environ. Monit. Assess. 2019, 191, 731. [Google Scholar] [CrossRef] [PubMed]
- Dhawde, R.; Surve, N.; Macaden, R.; Wennberg, A.C.; Seifert-Dähnn, I.; Ghadge, A.; Birdi, T. Physicochemical and Bacteriological Analysis of Water Quality in Drought Prone Areas of Pune and Satara Districts of Maharashtra, India. Environments 2018, 5, 61. [Google Scholar] [CrossRef] [Green Version]
- Eguren, G.; Rivas-Rivera, N.; García, C.; Böcking, B.; Bandeira, S. Water quality index for agricultural systems in Northwest Uruguay. Environ. Monit. Assess. 2018, 190, 710. [Google Scholar] [CrossRef]
- Sivaranjani, S.; Rakshit, A.; Singh, S. Water Quality Assessment with Water Quality Indices. Int. J. Bioresour. Sci. 2015, 2, 85–94. [Google Scholar] [CrossRef] [Green Version]
- Boyacioglu, H. Development of a water quality index based on a European classification scheme. Water SA 2007, 33, 101–106. [Google Scholar] [CrossRef] [Green Version]
- Opafola, O.T.; Oladepo, K.T.; Ajibade, F.O.; David, A.O. Potability assessment of packaged sachet water sold within a tertiary institution in southwestern Nigeria. J. King Saud Univ.-Sci. 2020, 32, 1999–2004. [Google Scholar] [CrossRef]
- Kahal, A.Y.; Alfaifi, H.J.; Abdelrahman, K.; Zaidi, F.K. Physio-chemical properties of groundwater and their environmental hazardous impact: Case study of Southwestern Saudi Arabia. J. King Saud Univ.-Sci. 2021, 33, 101292. [Google Scholar] [CrossRef]
- Bharti, N.; Katyal, S. Water quality indices used for surface water vulnerability assessment. Int. J. Environ. Sci. 2011, 2, 154–173. [Google Scholar]
- Ahmed, S.; Khurshid, S.; Madan, R.; Abu, A.; Naushad, M. Water Quality Assessment of Shallow Aquifer based on Canadian Council of Ministers of the Environment Index and its Impact on Irrigation of Mathura District, Uttar Pradesh. J. King Saud Univ.-Sci. 2019, 32, 1218–1225. [Google Scholar] [CrossRef]
- Macwan, E.; Patel, R.L. Drinking Water Quality Index. Int. J. Latest Technol. Eng. Manag. Appl. Sci. 2018, 7, 25–28. [Google Scholar]
- Salla, M.R.; Paredes-Arquiola, J.; Solera, A.; Álvarez, J.A.; Pereira, C.E.; Alamy, J.E.; De Oliveira, A.L. Integrated modeling of water quantity and quality in the Araguari River basin, Brazil. Lat. Am. J. Aquat. Res. 2014, 42, 224–244. [Google Scholar] [CrossRef]
- Aldana, M.L.; Zacarias, E.E. Water quality index of cucabaj river located in the municipality of Santa Cruz del Quiché, Quiché and influence in treatment costs purification. Cienc. Tecnol. Salud 2014, 1, 21–34. [Google Scholar] [CrossRef]
- Rizk, R.; Juzsakova, T.; Ali, M.B.; Rawash, M.A.; Domokos, E.; Hedfi, A.; Almalki, M.; Boufahja, F.; Shafik, H.M.; Rédey, A. Comprehensive environmental assessment of heavy metal contamination of surface water, sediments and Nile Tilapia in Lake Nasser, Egypt. J. King Saud Univ.-Sci. 2022, 34, 101748. [Google Scholar] [CrossRef]
- Pino, E.; Tacora, P.; Steenken, A.; Alfaro, L.; Valle, A.; Chávarri, E.; Mejía Marcacuzco, J.A. Effect of environmental and geological characteristics on water quality in the Caplina river basin, Tacna, Perú. Tecnol. Cienc. Agua 2017, 8, 77–99. [Google Scholar] [CrossRef]
- Perrin, J.L.; Raïs, N.; Chahinian, N.; Moulin, P.; Ijjaali, M. Water quality assessment of highly polluted rivers in a semi-arid Mediterranean zone Oued Fez and Sebou River (Morocco). J. Hydrol. 2014, 510, 26–34. [Google Scholar] [CrossRef]
Publisher’s Note: MDPI stays neutral with regard to jurisdictional claims in published maps and institutional affiliations. |
© 2022 by the authors. Licensee MDPI, Basel, Switzerland. This article is an open access article distributed under the terms and conditions of the Creative Commons Attribution (CC BY) license (https://creativecommons.org/licenses/by/4.0/).







