Meteorological and Hydrological Drought Risk Assessment Using Multi-Dimensional Copulas in the Wadi Ouahrane Basin in Algeria
Abstract
:1. Introduction
2. Materials and Methods
2.1. Study Area and Data Collection
2.2. Analysis Methods
2.2.1. Univariate Indices in Monitoring of Meteorological and Hydrological Drought
2.2.2. Drought Definition and Characteristics
2.2.3. Copula Functions
2.2.4. Joint Deficit Index (JDI)
2.3. Parametric Copula
2.4. Estimation of Parameters and Goodness of Fit Test
2.5. Conditional Return Period
3. Results
3.1. Calculation of Univariate Drought Indices and Fitting of Marginal Distribution Functions
3.2. Correlation Analysis of Two Variables of Modified Rainfall and Runoff Indices
3.3. Comparison of Multivariate Indices with Univariate Indices
3.4. Hydro-Meteorological Joint Deficit Drought Index
3.5. Correlation between Composite, Multivariate, and Univariate Indices
3.6. Correlation Structures of Drought Variables and Fitting of Marginal Functions
3.7. Fitting of Copula Functions to a Pair of Hydro-Meteorological Drought Variables
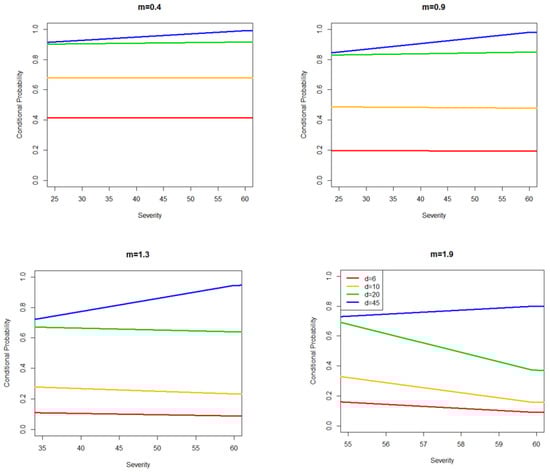
3.8. Conditional Trivariate Return Period and Risk Analysis
4. Discussion
5. Conclusions
Author Contributions
Funding
Institutional Review Board Statement
Informed Consent Statement
Data Availability Statement
Acknowledgments
Conflicts of Interest
References
- AghaKouchak, A.; Mirchi, A.; Madani, K.; Di Baldassarre, G.; Nazemi, A.; Alborzi, A.; Anjileli, H.; Azarderakhsh, M.; Chiang, F.; Hassanzadeh, E.; et al. Anthropogenic Drought: Definition, Challenges, and Opportunities. Rev. Geophys. 2021, 59, e2019RG000683. [Google Scholar] [CrossRef]
- Bissenbayeva, S.; Abuduwaili, J.; Saparova, A.; Ahmed, T. Long-term variations in runoff of the Syr Darya River Basin under climate change and human activities. J. Arid. Land 2021, 13, 56–70. [Google Scholar] [CrossRef]
- Dhaubanjar, S.; Lutz, A.F.; Gernaat, D.E.; Nepal, S.; Smoolenars, W.; Pradhanaga, S.; Biemans, H.; Shrestha, A.B.; Immerzeel, W.W.; Ludwig, F. A systematic framework for the assessment of sustainable hydropower potential in a river basin—The case of the upper Indus. Sci. Total Environ. 2021, 786, 147142. [Google Scholar] [CrossRef] [PubMed]
- Tomczyk, P.; Willems, P.; WIatkowski, M. Comparative analysis of changes in hydromorphological conditions upstream and downstream hydropower plants on selected rivers in Poland and Belgium. J. Clean. Prod. 2021, 328, 129524. [Google Scholar] [CrossRef]
- Liu, Q.; Niu, J.; Sivakumar, B.; Ding, R.; Li, S. Accessing future crop yield and crop water productivity over the Heihe River basin in northwest China under a changing climate. Geosci. Lett. 2021, 8, 2. [Google Scholar] [CrossRef]
- Brouziyne, Y.; De Girolamo, A.M.; Aboubdillah, A.; Benaabidate, L.; Bouchaou, L.; Chehbouni, A. Modeling alterations in flow regimes under changing climate in a Mediterranean watershed: An analysis of ecologically-relevant hydrological indicators. Ecol. Inform. 2021, 61, 101219. [Google Scholar] [CrossRef]
- Liu, W.; Bailey, R.T.; Andersen, H.E.; Jeppesen, E.; Nielsen, A.; Peng, K.; Molina-Navarro, E.; Park, S.; Thodsen, H.; Trolle, D. Quantifying the effects of climate change on hydrological regime and stream biota in a groundwater-dominated catchment: A modelling approach combining SWAT-MODFLOW with flow-biota empirical models. Sci. Total Environ. 2020, 745, 140933. [Google Scholar] [CrossRef]
- Henriksen, H.J.; Jakobsen, A.; Pasten-Zapata, E.; Troldborg, L.; Sonnenborg, T.O. Assessing the impacts of climate change on hydrological regimes and fish EQR in two Danish catchments. J. Hydrol. Reg. Stud. 2021, 34, 100798. [Google Scholar] [CrossRef]
- Dahri, Z.H.; Ludwig, F.; Moors, E.; Ahmad, S.; Ahmad, B.; Ahmad, S.; Riaz, M.; Kabat, P. Climate change and hydrological regime of the high-altitude Indus basin under extreme climate scenarios. Sci. Total Environ. 2021, 768, 144467. [Google Scholar] [CrossRef]
- Saifullah, M.; Adnan, M.; Zaman, M.; Wałęga, A.; Liu, S.; Khan, M.I.; Gagnon, A.S.; Muhammad, S. Hydrological Response of the Kunhar River Basin in Pakistan to Climate Change and Anthropogenic Impacts on Runoff Characteristics. Water 2021, 13, 3163. [Google Scholar] [CrossRef]
- De Fries, R.S.; Foley, J.A.; Asner, G.P. Land-Use Choices: Balancing Human Needs and Ecosystem Function. Front. Ecol. Environ. 2004, 2, 249–257. [Google Scholar] [CrossRef]
- Wang, F.; Wang, Z.; Yang, H.; Di, D.; Zhao, Y.; Liang, Q.; Hussain, Z. Comprehensive evaluation of hydrological drought and its relationships with meteorological drought in the Yellow River basin, China. J. Hydrol. 2020, 584, 124751. [Google Scholar] [CrossRef]
- Viola, M.R.; Mello, C.R.; Beskow, S.; Norton, L.D. Impacts of land-use changes on the hydrology of the Grande river basin headwaters, Southeastern Brazil. Water Resour. Manag. 2014, 28, 4537–4550. [Google Scholar] [CrossRef]
- Lopes, T.R.; Zolin, C.A.; Mingoti, R.; Vendrusculo, L.G.; Terra de Almeida, F.; de Souza, A.P.; de Oliveira, R.F.; Paulino, J.; Uliana, E.M. Hydrological regime, water availability and land use/land cover change impact on the water balance in a large agriculture basin in the Southern Brazilian Amazon. J. S. Am. Earth Sci. 2021, 108, 103224. [Google Scholar] [CrossRef]
- Zhang, M.; Liu, N.; Harper, R.; Li, Q.; Liu, K.; Wei, X.; Ning, D.; Hou, Y.; Liu, S. A global review on hydrological responses to forest change across multiple spatial scales: Importance of scale, climate, forest type and hydrological regime. J. Hydrol. 2017, 546, 44–59. [Google Scholar] [CrossRef] [Green Version]
- Dorjsuren, B.; Batsaikhan, N.; Yan, D.; Yadamjav, O.; Qin, T.; Weng, B.; Bi, W.; Demberel, O.; Gombo, O.; Girma, A.; et al. Study on Relationship of Land Cover Changes and Ecohydrological Processes of the Tuul River Basin. Sustainability 2021, 13, 1153. [Google Scholar] [CrossRef]
- Wojkowski, J.; Młyński, D.; Lepeška, T.; Wałęga, A.; Radecki-Pawlik, A. Link between hydric potential and predictability of maximum flow for selected catchments in Western Carpathians. Sci. Total Environ. 2019, 683, 293–307. [Google Scholar] [CrossRef]
- Buttafuoco, G.; Caloiero, T.; Ricca, N.; Guagliardi, I. Assessment of drought and its uncertainty in a southern Italy area (Calabria region). Measurement 2018, 113, 205–210. [Google Scholar] [CrossRef]
- Caloiero, T.; Veltri, S. Drought Assessment in the Sardinia Region (Italy) During 1922–2011 Using the Standardized Precipitation Index. Pure Appl. Geophys. 2019, 176, 925–935. [Google Scholar] [CrossRef]
- Zhu, U.; Liu, Y.; Wang, W.; Singh, V.P.; Ma, X.; Yu, Z. Three dimensional characterization of meteorological and hydrological droughts and their probabilistic links. J. Hydrol. 2019, 578, 124016. [Google Scholar] [CrossRef]
- Li, Q.; He, P.; He, Y.; Han, X.; Zeng, T.; Lu, G.; Wang, H. Investigation to the relation between meteorological drought and hydrological drought in the upper Shaying River Basin using wavelet analysis. Atmos. Res. 2020, 234, 104743. [Google Scholar] [CrossRef]
- Jehanzaib, M.; Yoo, J.; Kwon, H.-H.; Kim, T.-W. Reassessing the frequency and severity of meteorological drought considering non-stationarity and copula-based bivariate probability. J. Hydrol. 2021, 603, 126948. [Google Scholar] [CrossRef]
- Ding, Y.; Xu, J.; Wanga, X.; Cai, H.; Zhou, Z.; Sun, Y.; Shi, H. Propagation of meteorological to hydrological drought for different climate regions in China. J. Environ. Manage. 2021, 283, 111980. [Google Scholar] [CrossRef] [PubMed]
- Bevacqua, A.G.; Chaffe, P.L.B.; Chagas, V.B.P.; AghaKouchak, A. Spatial and temporal patterns of propagation from meteorological to hydrological droughts in Brazil. J. Hydrol. 2021, 603, 126902. [Google Scholar] [CrossRef]
- Zhang, T.; Su, X.; Feng, K. The development of a novel nonstationary meteorological and hydrological drought index using the climatic and anthropogenic indices as covariates. Sci. Total Environ. 2021, 786, 147385. [Google Scholar] [CrossRef]
- Ho, S.; Tian, L.; Disse, M.; Tuo, Y. A new approach to quantify propagation time from meteorological to hydrological drought. J. Hydrol. 2021, 603, 127056. [Google Scholar] [CrossRef]
- Gu, L.; Chen, J.; Yin, J.; Xu, C.; Chen, H. Drought hazard transferability from meteorological to hydrological propagation. J. Hydrol. 2020, 585, 124761. [Google Scholar] [CrossRef]
- Farrokhi, A.; Farzin, S.; Mousavi, S.-H. Meteorological drought analysis in response to climate change conditions, based on combined four-dimensional vine copulas and data mining (VC-DM). J. Hydrol. 2021, 603, 127135. [Google Scholar] [CrossRef]
- Wang, Y.; Zhang, X.; Peng, P. Spatio-Temporal Changes of Land-Use/Land Cover Change and the Effects on Ecosystem Service Values in Derong County, China, from 1992–2018. Sustainability 2021, 13, 827. [Google Scholar] [CrossRef]
- Achite, M.; Krakauer, N.Y.; Wałęga, A.; Caloiero, T. Spatial and Temporal Analysis of Dry and Wet Spells in the Wadi Cheliff Basin, Algeria. Atmosphere 2021, 12, 798. [Google Scholar] [CrossRef]
- Achite, M.; Wałęga, A.; Toubal, A.K.; Mansour, H.; Krakauer, N. Spatiotemporal Characteristics and Trends of Meteorological Droughts in the Wadi Mina Basin, Northwest Algeria. Water 2021, 13, 3103. [Google Scholar] [CrossRef]
- Fellag, M.; Achite, M.; Walega, A. Spatial-temporal characterization of meteorological drought using the Standardized precipitation index. Case study in Algeria. Acta Sci. Pol. Form. Circumiectus 2021, 20, 19–31. [Google Scholar] [CrossRef]
- Benzater, B.; Elouissi, A.; Dabanli, I.; Harkat, S.; Hamimed, A. New approach to detect trends in extreme rain categories by the ITA method in northwest Algeria. Hydrol. Sci. J. 2021, 66, 2298–2311. [Google Scholar] [CrossRef]
- McKee, T.B.; Doesken, N.J.; Kleist, J. The relationship of drought frequency and duration to time scales. In Proceedings of the 8th Conference of Applied Climatology, Anaheim, CA, USA, 17–22 January 1993; pp. 179–184. [Google Scholar]
- Shukla, S.; Wood, A.W. Use of a standardized runoff index for characterizing hydrologic drought. Geophys. Res. Lett. 2008, 35, 226–236. [Google Scholar] [CrossRef] [Green Version]
- Kao, S.C.; Govindaraju, R.S. A copula based joint deficit index for droughts. J. Hydrol. 2010, 380, 121–134. [Google Scholar] [CrossRef]
- Loukas, A.; Vasiliades, L. Probabilistic analysis of drought spatiotemporal characteristics in Thessaly region, Greece. Natl. Hazards Earth Syst. Sci. 2004, 4, 719–731. [Google Scholar] [CrossRef]
- Xiao, H.; Siddiqua, M.; Braybrook, S.; Nassuth, A. Three grape CBF/DREB1 genes respond to low temperature, drought and abscisic acid. Plant Cell Environ. 2006, 29, 410–1421. [Google Scholar] [CrossRef] [Green Version]
- Shiau, J.T.; Modarres, R. Copula-based drought severity-duration-frequency analysis in Iran. Met. Apps. 2009, 16, 481–489. [Google Scholar] [CrossRef]
- Mirabbasi, R.; Anagnostou, E.N.; Fakheri-Fard, A.; Dinpashoh, Y.; Eslamian, S. Analysis of meteorological drought in northwest Iran using the joint deficit index. J. Hydrol. 2013, 492, 35–48. [Google Scholar] [CrossRef]
- Caloiero, T.; Caroletti, G.N.; Coscarelli, R. IMERG-Based Meteorological Drought Analysis over Italy. Climate 2021, 9, 65. [Google Scholar] [CrossRef]
- Sklar, A. Fonctions de repartition a n dimensions et leurs marges. Publ. Inst. Stat. Univ. Paris 1959, 8, 229–231. [Google Scholar]
- Bazrafshan, O.; Zamani, H.; Shekari, M. A copula-based index for drought analysis in arid and semi-arid regions of Iran. Nat. Resour. Model. 2020, 33, e12237. [Google Scholar] [CrossRef]
- Bazrafshan, O.; Zamani, H.; Shekari, M.; Singh, V.P. Regional risk analysis and derivation of copula-based drought for severity-duration curve in arid and semi-arid regions. Theor. Appl. Climatol. 2020, 141, 889–905. [Google Scholar] [CrossRef]
- Li, X.; Babovic, V. Multi-site multivariate downscaling of global climate model outputs: An integrated framework combining quantile mapping, stochastic weather generator and Empirical Copula approaches. Clim. Dyn. 2019, 52, 5775–5799. [Google Scholar] [CrossRef]
- Schefzik, R.; Thorarinsdottir, T.L.; Gneiting, T. Uncertainty quantification in complex simulation models using Ensemble Copula coupling. Stat. Sci. 2013, 28, 616–640. [Google Scholar] [CrossRef]
- Kao, S.C.; Govindaraju, R.S. Trivariate statistical analysis of extreme rainfall events via the Plackett family of copulas. Water Resour. Res. 2008, 44, 102–115. [Google Scholar] [CrossRef]
- Durrleman, V.; Nikeghbali, A.; Roncalli, T. Which Copula is the Right One? Available online: https://ssrn.com/abstract=10325 (accessed on 9 January 2022).
- Akaike, H. Information Theory and an Extension of the Maximum Likelihood Principle. In Proceedings of the 2nd International Symposium on Information Theory, Tsahkadsor, Armenia, 2–8 September 1971; Petrov, B.N., Csaki, F., Eds.; Akademiai Kiado: Budapest, Hungary, 1973; pp. 267–281. [Google Scholar]
- Schweizer, B.; Wolff, E.F. On Nonparametric Measures of Dependence for Random Variables. Ann. Stat. 1981, 9, 879–885. [Google Scholar] [CrossRef]
- Burnham, K.P.; Anderson, D.R. Model Selection and Multimodel Inference: A Practical Information-Theoretical Approach, 2nd ed.; Springer: New York, NY, USA, 2002. [Google Scholar]
- Azhdari, Z.; Bazrafshan, O.; Shekari, M. Three-dimensional risk analysis of hydro-meteorological drought using multivariate nonlinear index. Theor. Appl. Climatol. 2020, 142, 1311–1327. [Google Scholar] [CrossRef]
- Azhdari, Z.; Bazrafshan, O.; Zamani, H.; Shekari, M.; Singh, V.P. Hydro-meteorological drought risk assessment using linear and nonlinear multivariate methods. Phys. Chem. Earth 2021, 123, 103046. [Google Scholar] [CrossRef]
- Hofert, M.; Mächler, M. Nested Archimedean copulas meet R: The nacopula package. J. Stat. Softw. 2011, 39, 1–20. [Google Scholar] [CrossRef] [Green Version]
- Kao, S.C.; Govindaraju, R.S. Reply to comment by T. P. Hutchinson on “Trivariate statistical analysis of extreme rainfall events via the Plackett family of copulas”. Water Resour. Res. 2010, 46, W04802. [Google Scholar] [CrossRef]
- Azam, M.; Maeng, S.J.; Kim, H.S.; Murtazaev, A. Copula-Based Stochastic Simulation for Regional Drought Risk Assessment in South Korea. Water 2018, 10, 359. [Google Scholar] [CrossRef] [Green Version]
- Fisher, N.I.; Switzer, P. Chi-Plots for Assessing Dependence. Biometrika 1985, 72, 253–265. [Google Scholar] [CrossRef]
- Yusof, F.; Hui-Mean, F.; Suhaila, J.; Yusof, Z. Characterisation of Drought Properties with Bivariate Copula Analysis. Water Resour. Manag. 2013, 27, 4183–4207. [Google Scholar] [CrossRef]
- Liu, S.; Huang, S.; Xie, Y.; Wang, H.; Huang, Q.; Leng, G.; Li, P.; Wang, L. Spatial-temporal changes in vegetation cover in a typical semi-humid and semi-arid region in China: Changing patterns, causes and implications. Ecol. Indic. 2019, 98, 462–475. [Google Scholar] [CrossRef]
- Dehghani, M.; Saghafian, B.; Zargar, M. Probabilistic hydrological drought index forecasting based on meteorological drought index using Archimedean copulas. Hydrol. Res. 2019, 50, 1230–1250. [Google Scholar] [CrossRef]
- Singh, V.P.; Zhang, L. Copula–entropy theory for multivariate stochastic modeling in water engineering. Geosci. Lett. 2018, 5, 6. [Google Scholar] [CrossRef]
- Chen, L.; Singh, V.P.; Asce, F.; Guo, S.; Mishra, A.K.; Guo, J. Drought Analysis Using Copulas. J. Hydrol. Eng. 2013, 18, 797–808. [Google Scholar] [CrossRef]












| Stations | Type | ID | Name | Longitude | Latitude | Elevation (m) |
|---|---|---|---|---|---|---|
| S1 | H | 012201 | LARBAT OULED FARES | 01°13′56″ | 36°14′14″ | 173 |
| S1 | R | 012201 | LARBAT OULED FARES | 01°09′18″ | 36°16′20″ | 116 |
| S2 | R | 012224 | BOUZGHAIA | 01°14′27″ | 36°20′15″ | 217 |
| S3 | R | 012205 | BENAIRIA | 01°22′28″ | 36°21′04″ | 320 |
| S4 | R | 012221 | MEDJAJA | 01°20′53″ | 36°16′39″ | 487 |
| S5 | R | 012209 | CHETIA | 01°15′53″ | 36°12′56″ | 108 |
| S6 | R | NMO | Airport, Chlef | 01°19′28″ | 36°13′31″ | 158 |
| Soil Occupation | 1979 | 1989 | 1999 | 2009 | 2017 | |||||
|---|---|---|---|---|---|---|---|---|---|---|
| Area (km2) | Area (%) | Area (km2) | Area (%) | Area (km2) | Area (%) | Area (km2) | Area (%) | Area (km2) | Area (%) | |
| Dense vegetation | 0.00 | 0.00 | 0.25 | 0.09 | 1.30 | 0.48 | 0.17 | 0.06 | 0.24 | 0.09 |
| Moderate vegetation | 10.46 | 3.87 | 39.87 | 14.77 | 56.48 | 20.92 | 93.08 | 34.47 | 187.80 | 69.56 |
| Sparse vegetation | 86.68 | 32.10 | 94.73 | 35.08 | 72.52 | 26.86 | 96.85 | 35.87 | 77.00 | 28.52 |
| Bare soil | 172.86 | 64.02 | 135.05 | 50.02 | 139.68 | 51.73 | 79.90 | 29.59 | 4.90 | 1.81 |
| Water surface | 0.00 | 0.00 | 0.10 | 0.04 | 0.02 | 0.01 | 0.00 | 0.00 | 0.06 | 0.02 |
| Total | 270 | 100 | 270 | 100 | 270 | 100 | 270 | 100 | 270 | 100 |
| SPI Values | Drought Category |
|---|---|
| 2.00 or more | Extremely wet |
| 1.50 to 1.99 | Very wet |
| 1.00 to 1.49 | Moderately wet |
| 0 to 0.99 | Near normal |
| −0.99 to 0 | Mild drought |
| −1.00 to −1.49 | Moderate drought |
| −1.50 to −1.99 | Severe drought |
| −2.00 or less | Extreme drought |
| Copulas | Bivariate Copula C (u, v) | Parameters |
|---|---|---|
| Elliptical copulas | ||
| Student’s t | ||
| Gaussian | ||
| Archimedean copulas | ||
| Clayton | ||
| Frank | ||
| Joe |
| Distribution | Statistics | Evaluation Index | |
|---|---|---|---|
| SPImod (1,2, …, 12) | Gamma | K–S = 0.16; CM = 4.79; A–D = 27.37 | AIC = 4656; BIC = 4665 |
| SRImod (1,2, …, 12) | Log-normal | K–S = 0.15; CM = 1.26; A–D = 7.83 | AIC = −788; BIC = −780 |
| i | |||||||||||||
| j | 1 | 2 | 3 | 4 | 5 | 6 | 7 | 8 | 9 | 10 | 11 | 12 | |
| Spearman’s ri,j between vimod and vjmod | 1 | 0.84 | 0.70 | 0.57 | 0.42 | 0.28 | 0.17 | 0.07 | 0.00 | 0.00 | 0.08 | 0.19 | |
| 2 | 0.87 | 0.90 | 0.77 | 0.64 | 0.49 | 0.35 | 0.24 | 0.15 | 0.11 | 0.16 | 0.26 | ||
| 3 | 0.76 | 0.92 | 0.92 | 0.81 | 0.68 | 0.53 | 0.41 | 0.30 | 0.24 | 0.24 | 0.32 | ||
| 4 | 0.65 | 0.83 | 0.94 | 0.93 | 0.83 | 0.70 | 0.56 | 0.44 | 0.36 | 0.33 | 0.35 | ||
| 5 | 0.53 | 0.71 | 0.84 | 0.94 | 0.94 | 0.83 | 0.71 | 0.58 | 0.47 | 0.41 | 0.40 | ||
| 6 | 0.42 | 0.58 | 0.72 | 0.85 | 0.94 | 0.94 | 0.84 | 0.71 | 0.58 | 0.49 | 0.45 | ||
| 7 | 0.34 | 0.48 | 0.62 | 0.75 | 0.86 | 0.95 | 0.94 | 0.83 | 0.71 | 0.59 | 0.51 | ||
| 8 | 0.28 | 0.40 | 0.52 | 0.65 | 0.77 | 0.87 | 0.95 | 0.94 | 0.82 | 0.70 | 0.60 | ||
| 9 | 0.25 | 0.35 | 0.46 | 0.56 | 0.68 | 0.79 | 0.88 | 0.96 | 0.93 | 0.81 | 0.70 | ||
| 10 | 0.24 | 0.33 | 0.41 | 0.50 | 0.61 | 0.71 | 0.81 | 0.90 | 0.96 | 0.93 | 0.82 | ||
| 11 | 0.26 | 0.33 | 0.40 | 0.47 | 0.56 | 0.65 | 0.74 | 0.83 | 0.91 | 0.97 | 0.93 | ||
| 12 | 0.31 | 0.36 | 0.41 | 0.47 | 0.54 | 0.62 | 0.70 | 0.79 | 0.86 | 0.93 | 0.97 | ||
| Indices | SPI-12 | SRI-12 | JDMI | JDHI | JDHMI |
|---|---|---|---|---|---|
| SPI-12 | 1.00 | 0.52 | 0.60 | 0.32 | 0.51 |
| SRI-12 | 0.52 | 1.00 | 0.28 | 0.52 | 0.58 |
| JDMI | 0.60 | 0.28 | 1.00 | 0.61 | 0.89 |
| JDHI | 0.32 | 0.52 | 0.61 | 1.00 | 0.86 |
| JDHMI | 0.51 | 0.58 | 0.89 | 0.86 | 1.00 |
| Characteristics | Value | |
|---|---|---|
| Number of months less than zero | 261 | |
| Maximum | severity | 65.19 |
| duration | 45 | |
| magnitude | 1.57 | |
| Average | severity | 10.19 |
| duration | 9.65 | |
| magnitude | 0.93 | |
| Minimum | severity | 0.88 |
| duration | 2 | |
| magnitude | 0.41 |
| Indices | Functions | Parameters | K–S Test | Evaluation Index | |
|---|---|---|---|---|---|
| S | p | ||||
| Severity | Weibull | λ = 0.95, k = 9.88 | 0.05 | 0.15 | AIC = 249.55; BIC = 252.77 |
| Gamma | α = 1.05; β = 0.10 | 0.07 | 0.17 | AIC = 249.72; BIC = 252.94 | |
| Log-normal | µ = 1.77; σ = 0.99 | 0.06 | 0.10 | AIC = 239.85; BIC = 243.07 | |
| Normal | µ = 10.19; σ = 13.80 | 0.02 | 0.28 | AIC = 303.27; BIC = 306.49 | |
| Logistic | λ = 7.40; k = 5.40 | 0.05 | 0.23 | AIC = 285.31; BIC = 288.53 | |
| Exponential | λ = 0.098 | 0.08 | 0.17 | AIC = 247.78; BIC = 249.39 | |
| Duration | Weibull | λ = 1.1, k = 10.30 | 0.08 | 0.21 | AIC = 243.96; BIC = 247.19 |
| Gamma | α = 1.61; β = 0.17 | 0.06 | 0.22 | AIC = 241.30; BIC = 244.52 | |
| Log-normal | µ = 1.92; σ = 0.77 | 0.14 | 0.17 | AIC = 231.80; BIC = 235.02 | |
| Normal | µ = 9.64; σ = 9.98 | 0.15 | 0.31 | AIC = 143.86; BIC = 146.38 | |
| Logistic | λ = 7.52; k = 4.31 | 0.11 | 0.22 | AIC = 267.30; BIC = 270.52 | |
| Exponential | λ = 0.10 | 0.09 | 0.19 | AIC = 243.74; BIC = 245.35 | |
| Magnitude | Weibull | λ = 2.94, k = 1.04 | 0.09 | 0.14 | AIC = 28.48; BIC = 31.70 |
| Gamma | α = 7.01; β = 7.67 | 0.091 | 0.14 | AIC = 27.19; BIC = 30.42 | |
| Log-normal | µ = −0.14; σ = 0.38 | 0.11 | 0.14 | AIC = 27.32; BIC = 30.54 | |
| Normal | µ = 0.93; σ = 0.34 | 0.09 | 0.14 | AIC = 30.36; BIC = 33.58 | |
| Logistic | λ = 0.90; k = 0.21 | 0.08 | 0.15 | AIC = 33.42; BIC = 36.65 | |
| Exponential | λ = 1.08 | 0.05 | 0.35 | AIC = 70.32; BIC = 71.93 |
| Variables | Function | Sn | Parameter | p-Value | ML |
|---|---|---|---|---|---|
| Severity-Duration | Frank | 0.03 | 13.93 | 0.76 | 33.59 |
| Joe | 0.022 | 5.30 | 0.95 | 34.83 | |
| Clayton | 0.060 | 3.65 | 0.053 | 26.25 | |
| Normal | 0.081 | 0.94 | 0.011 | 38.59 | |
| T | 0.080 | 0.94 | 0.01 | 38.59 | |
| Gumbel | 0.048 | 4.05 | 0.95 | 38.63 | |
| Severity-Magnitude | Frank | 0.064 | 5.67 | 0.015 | 12.3 |
| Joe | 0.049 | 1.64 | 0.22 | 4.54 | |
| Clayton | 0.04 | 2.19 | 0.78 | 17.22 | |
| Normal | 0.08 | 0.70 | 0.019 | 12.46 | |
| T | 0.04 | 0.70 | 0.08 | 12.52 | |
| Gumbel | 0.04 | 1.66 | 0.55 | 8.14 | |
| Duration-Magnitude | Frank | 0.04 | 2.51 | 0.67 | 3.18 |
| Joe | 0.10 | 1.20 | 0.01 | 0.99 | |
| Clayton | 0.10 | 0.89 | 0.461 | 4.58 | |
| Normal | 0.032 | 0.40 | 0.12 | 3.30 | |
| T | 0.038 | 0.41 | 0.11 | 3.40 | |
| Gumbel | 0.039 | 1.22 | 0.29 | 1.85 | |
| Severity-Duration-Magnitude | Frank | 0.046 | 5.30 | 0.18 | 25.04 |
| Joe | 0.04 | 1.63 | 0.27 | 12.53 | |
| Clayton | 0.032 | 1.77 | 0.83 | 29.28 | |
| Normal | 0.02 | 0.68 | 0.22 | 26.28 | |
| T | 0.050 | 0.67 | 0.97 | 30.42 | |
| Gumbel | 0.081 | 1.62 | 0.03 | 18.98 |
| Scenario 1 | Scenario 2 | Scenario 3 | Scenario 4 | |
|---|---|---|---|---|
| S | 50.00 | 50.00 | 50.00 | 50.00 |
| D | 45.00 | 45.00 | 45.00 | 45.00 |
| M | 0.30 | 0.90 | 1.30 | 1.90 |
| Return Period conditional | 10.00 | 6.60 | 5.26 | 4.16 |
| Risk conditional (N = 10 years) | 0.65 | 0.81 | 0.88 | 0.94 |
| Risk conditional (N = 20 years) | 0.88 | 0.96 | 0.99 | 1.00 |
Publisher’s Note: MDPI stays neutral with regard to jurisdictional claims in published maps and institutional affiliations. |
© 2022 by the authors. Licensee MDPI, Basel, Switzerland. This article is an open access article distributed under the terms and conditions of the Creative Commons Attribution (CC BY) license (https://creativecommons.org/licenses/by/4.0/).
Share and Cite
Achite, M.; Bazrafshan, O.; Wałęga, A.; Azhdari, Z.; Krakauer, N.; Caloiero, T. Meteorological and Hydrological Drought Risk Assessment Using Multi-Dimensional Copulas in the Wadi Ouahrane Basin in Algeria. Water 2022, 14, 653. https://doi.org/10.3390/w14040653
Achite M, Bazrafshan O, Wałęga A, Azhdari Z, Krakauer N, Caloiero T. Meteorological and Hydrological Drought Risk Assessment Using Multi-Dimensional Copulas in the Wadi Ouahrane Basin in Algeria. Water. 2022; 14(4):653. https://doi.org/10.3390/w14040653
Chicago/Turabian StyleAchite, Mohammed, Ommolbanin Bazrafshan, Andrzej Wałęga, Zahra Azhdari, Nir Krakauer, and Tommaso Caloiero. 2022. "Meteorological and Hydrological Drought Risk Assessment Using Multi-Dimensional Copulas in the Wadi Ouahrane Basin in Algeria" Water 14, no. 4: 653. https://doi.org/10.3390/w14040653
APA StyleAchite, M., Bazrafshan, O., Wałęga, A., Azhdari, Z., Krakauer, N., & Caloiero, T. (2022). Meteorological and Hydrological Drought Risk Assessment Using Multi-Dimensional Copulas in the Wadi Ouahrane Basin in Algeria. Water, 14(4), 653. https://doi.org/10.3390/w14040653

