Abstract
While the characteristics and origin of drusy calcite cement in carbonate deposits is well constrained in the literature, little attention is paid to drusy dolomite cement. Petrographic observations, stable isotopes, and fluid-inclusion microthermometry suggest that drusy dolomite cement in Permo-Triassic conglomerate/breccia dolostone beds in northern United Arab Emirates has precipitated as cement and not by dolomitization of drusy calcite cement. The low δ18OVPDB (−9.4‰ to −6.2‰) and high homogenization temperatures of fluid inclusions in drusy dolomite (Th = 73–233 °C) suggest that dolomitization was caused by hot basinal brines (salinity = 23.4 wt% NaCl eq.). The δ13CVPDB values (+0.18‰ to +1.6‰) and 87Sr/86Sr ratio (0.708106 to 0.708147) indicate that carbon and strontium were derived from the host marine Permo-Triassic carbonates. Following this dolomitization event, blocky calcite (Th = 148 °C; salinity = 20.8 wt% NaCl eq.) precipitated from the hot basinal brines. Unravelling the origin of drusy dolomite cement has important implications for accurate construction of paragenetic sequences in carbonate rocks and decipher the origin and chemistry of diagenetic waters in sedimentary basins.
1. Introduction
Calcite cement with a drusy mosaic texture, displaying crystal size growth from pore wall to pore center, is widely distributed in limestones [1,2]. Such cement commonly fills moldic pore and hence has been interpreted to be sourced by dissolution of aragonitic allochems [3,4,5,6,7]. The stable isotopic composition of drusy mosaic calcite cement coupled with the presence of moldic porosity have been interpreted to indicate a meteoric origin [8,9,10]. Dolomite cement in carbonate rocks commonly develops rhombic crystals that do not show systematic size variation within the pores [11]. Nevertheless, rare drusy mosaic dolomite cement has been reported in carbonate deposits too [12,13,14,15]. The origin of such dolomite is not fully explored, particularly regarding whether it is a primary precipitate or formed by dolomitization of precursor drusy calcite cement. The fluid flow and related diagenetic evolution, particularly dolomitization of carbonate succession in northern United Arab Emirates (UAE), is interpreted to be controlled by the tectonic evolution of the region [16,17].
In this paper, we constrain the origin of drusy mosaic dolomite cement in conglomerates/breccia of the Bih Formation (Permo-Triassic), Ras Al Khaima, northern UAE (Figure 1), using petrographic, stable isotopic, and fluid-inclusion microthermometric analyses. This study provides important insights into the conditions of formation of drusy dolomite cement and its associated diagenetic fluids. The presented data and discussions help in constructing more accurate paragenetic sequences in Permo-Triassic dolostones, northern UAE, and in other carbonate successions with similar depositional and diagenetic settings.
Figure 1.
Location of the study area, northwest of the UAE (marked in green). Modified from [18,19,20].
2. Geological Setting
The Bih Formation (Permo-Triassic) crops out in the Musandam Peninsula, Ras Al Khaimah, northern United Arab Emirates (Figure 1). The formation is suggested to be age-equivalent to the Khuff Formation [19] which is an important hydrocarbon reservoir in the Arabian Gulf region. Deposition of the Bih Formation occurred in subtidal to intertidal (shoals, lagoon, and mudflats) environments on a passive margin of the Arabian plate [20].
The formation is divided into two units separated by a marker interval, which is called mid-Bih conglomerates/breccias [21]. The origin of this interval is uncertain, being interpreted to have resulted from the collapse of evaporite beds [20] tectonic deformation [20] or are lag deposits formed owing to marine transgression [22]. Strohmenger et al. [20] proposed that the Bih Formation corresponds to sequence KS4 through KS7 of the Khuff Formation (Figure 2). Two main tectonic events have affected the study area [23] including: (i) The obduction of Oman ophiolite on the Arabian platform during the Late Cretaceous. During this tectonic phase, the passive northeastern margin of the Tethys ocean became compressive and resulted in the close of the Tethys ocean [24]; (ii) the Zagros orogeny (Paleocene to Middle Miocene) [25,26,27,28] which caused large scale folding and thrusting [26].
Figure 2.
(A) Chronostratigraphic framework of the Khuff Formation in the subsurface compared to the stratigraphic range of the Bih Formation [21]. (B) Logging graph showing the thickness of conglomerate/breccia beds in the field.
3. Samples and Methods
Fifty-six samples were collected from the conglomerate/breccia beds and associated dolostone beds. Thin sections were prepared for all the samples after impregnation with blue epoxy. Representative polished uncovered thin sections were prepared and examined by a Technosyn Cold cathodoluminescence microscope (CL), backscattered electron imaging (BSEI), and energy dispersive X-ray analyses (EDS) attached to a Quanta scanning electron microscope. Fluid-inclusion microthermometry was conducted on two representative double polished 50 μm thick sections using a pre-calibrated LINKAM THMS600G stage fitted onto the Nikon E600 microscope.
Synthetic pure H2O and CO2 inclusions standard were used to calibrate the thermocouple. Both homogenization (Th) and final ice melting temperatures (Tmice) were measured whenever the size of the inclusions permitted. The former is the minimum entrapment temperature of the inclusion (i.e., the temperature of mineral precipitation) [29]. The latter is the temperature at which the last ice melts in an aqueous fluid inclusion and reflects the trapped diagenetic fluid salinity [29]. The fluid salinity (wt% NaCl eq.) was inferred from Tmice using the Bodnar equation [30]. In order to avoid overheating, low heating rates were used for measuring homogenization temperatures (Th).
Stable carbon and oxygen isotopes were obtained for the 36 micro-drilled drusy dolomite cement with a GVI IsoPrime continuous flow isotope ratio mass spectrometer system (CF-IRMS). The δ13C and δ18O isotopic values are determined on carbon dioxide (CO2) from carbonate minerals by the reaction with 100% phosphoric acid (H3PO4) at 90 °C in a vacuum using standard procedures based on the principles reported in [31]. Samples and standards are weighed into Exetainer™ septum vials, sealed and flushed with pure helium. In addition, 100% phosphoric acid is injected into the vial, which is then placed in an aluminum tray maintained at 90 °C for more than 1 h. The CO2 is extracted automatically with a double-hole needle Gilson auto-sampler connected to a GVI MultiFlow. The MultiFlow contains a 500-uL sample loop, and a GC column that separates CO2, N2, O2, and H2O. Helium carrier gas then transports the purified CO2 into the GVI IsoPrime continuous flow isotope ratio mass spectrometer system (CF-IRMS) that measures the isotope ratios. Four representative micro-drilled drusy dolomite cement samples were analyzed for Sr isotopes. One mg of each sample is collected to react with suprapure HCl for 24 h. Purified Sr is obtained by chromatographic separation with 2.5 mL of AGW 50 × 8 (Biorad) cation exchange resin [32]. The analysis equipment is a Finnigan MAT 262 7-collector solid-source mass spectrometer with a single Re filament applying 1 μL of ionization enhancing solution [32].
4. Results
4.1. Field Observations
The base of the Bih Formation does not crop out, and the lowest stratigraphic part consists of a medium-to-thick-bedded brown dolomitized packstone–grainstones with locally well-developed coarse-crystalline dolostone and vuggy textures. About 180 m above the base of the exposed Bih Formation, the mid-Bih conglomerate/breccia occurs (approx. 20 m thick; Figure 2B and Figure 3A). The conglomerate/breccia beds of Wadi Bih, which are interbedded with dolograinstones, are massive overall but locally show a low-angle, through cross stratification (Figure 3B). The beds are cross cut by a series of normal faults (Figure 3A). The basal contact between conglomerate/breccia and underlying dolograinstone beds is sharp and erosional (Figure 3C). The lower contact between dolograinstone beds with the conglomerate/breccia beds is marked by the presence of rip-up dolomudstone intraclasts (Figure 3D).
Figure 3.
Field photographs showing: (A) The conglomerate/breccia beds are cut across by a series of normal faults, the conglomerate/breccia beds are shown by white lines, the faults are shown by orange lines. (B) Parallel lamination occurs at 14 cm above the basal contact in the conglomerate/breccia beds. (C) The contact (yellow line) between conglomerate/breccia and underlying massive dolostone bed. (D) The conglomerate/breccia beds have a gradational contact with overlying dolograinstone bed (arrows).
Stylolites occur within as well as along boundaries between the conglomerate/dolostone beds. Above the mid-Bih breccia, there are cycles of interbedded dolostones and dolomitic limestones, with algal laminations, bird-eye structures, and dissolution molds. The succession continues with 90 m cliff-forming, dark gray coarse-crystalline dolostones.
4.2. Petrography of the Drusy Dolomite
The conglomerate/breccia dolostone beds are cemented by drusy mosaic dolomite with a crystal size increasing progressively from 20 µm along the pore wall to 2 mm in the pore center (Figure 4A–D). In some cases, the centermost parts of the pore are occupied by blocky calcite (500–700 µm across). Dolomite crystals adjacent to this blocky calcite are partly calcitized (Figure 5A,B). The drusy dolomite crystals display sector CL zoning with alternating non-luminescent and bright orange luminescent zones (Figure 5C,D). The microcrystalline equant to bladed dolomite crystals (20–100 µm across) along the pore walls are dull luminescent. The blocky calcite crystals are dull luminescent with a local thin orange luminescent zone.
Figure 4.
Optical photomicrographs (PPL) showing: (A) The fine dolomite crystals (arrows) in mosaic dolomite between pebbles are considered to be relics of fine-crystalline dolostone pebbles. The distribution of the fine dolomite crystals shows the rounded shape of pebble (dashed line). (B) The fine-crystalline dolostone pebble is partly replaced by the medium-crystalline dolomite (40 µm). Parts (arrows) of the pebble are not subjected to replacement. (C) Fracture cutting across the mosaic dolomite cement between pebbles was filled by the mosaic calcite cement (5 to 60 µm). The average width of this fracture is 70 µm. (D) Fracture-filling calcite along a pebble.
Figure 5.
Optical (A; PPL) and companion CL (B) photomicrographs showing several generations of dolomite cement, which filled intergranular pores between pebbles are characterized by a distinguishable luminescent degree. Optical (C; PPL) and companion CL (D) photomicrographs showing: Coarse mosaic dolomite cement and coarse calcite cement, which is reddish stained in intergranular pores between pebbles; concentric growth pattern of planar-e to planar-s mosaic dolomite and non-luminescent calcite cements precipitated in pore space, where precursor dolomite was dissolved. Four generations of dolomite cement have been identified in the companion CL (D) photomicrograph. Optical (E; PPL) and companion CL photomicrographs (F) showing the calcite precipitated in intercrystalline pores between pebbles (white arrow) and within stylolite (yellow arrow) is characterized by a non-luminescent zone.
Dull luminescent calcite occurs along stylolites and fills fractures varying in width from 5 to 60 µm (Figure 5E,F). The stylolites (amplitudes up to 2 cm) and dissolution seams cut across the dolostone pebbles and have bed-parallel and bed-oblique orientations. Some of the stylolites are cutting across both pebbles and dolomite between pebbles (Figure 6A–D). The drusy mosaic dolomite has Fe and Mn contents below the EDS detection limits. Fe and Mn contents as low as few ppm can still generate zoning in dolomite [33,34,35].
Figure 6.
BSE images showing: (A) The presence of dolomite along a dissolution seam within a pebble. The core of rhombic dolomite crystals is dissolved while the rim is preserved. (B) Calcite cement (Ca) along the dissolution seam within the pebble, which precipitates after dissolution of dolomite (shown by an irregular boundary of dolomite crystal, yellow arrows). (C,D) stylolite/seams (S1 and S2) cutting across each other and the clay mineral and TiO2 occur along the stylolite/solution seam within a pebble.
4.3. C, O, and Sr Isotopic Composition of Dolomite Cement
The δ13CVPDB values of drusy dolomite vary from +0.2‰ to +1.6‰ and δ18OVPDB from −9.4‰ to −6.2‰. The δ13CVPDB values of fracture-filling calcite cement vary between −3.8‰ and +1.9‰ and δ18OVPDB from −7.6‰ to −4.0‰. The 87Sr/86Sr ratios of two drusy and mosaic dolomite samples are 0.708106 and 0.708147, respectively (Figure 7 and Figure 8A,B).
Figure 7.
Cross plot of stable δ13CVPDB versus δ18OVPDB values of samples from the conglomerate/breccia beds and the dolograinstone beds in the conglomerate/breccia interval, as well as isotope values of Permian to Triassic marine carbonates. Stable oxygen isotope values of drusy dolomite are lower compared to other dolomites and slightly lower than sea coeval marine carbonates.
Figure 8.
(A) Cross-plot of 87Sr/86Sr against δ18OVPDB showing two samples from the pebble have a slightly higher Sr isotope value than coeval marine carbonates. Two samples from drusy and mosaic dolomites are within the isotopic range of Permian to Triassic marine carbonates. The sample from drusy dolomite showing a lower δ18OVPDB value than coeval marine carbonates. (B) Measured 87Sr/86Sr ratios of different types of dolomite cements in the Bih Formation (Permo-Triassic) plotted on the sea water 87Sr/86Sr curve [31].
4.4. Fluid-Inclusion Microthermometry of Carbonate Cement
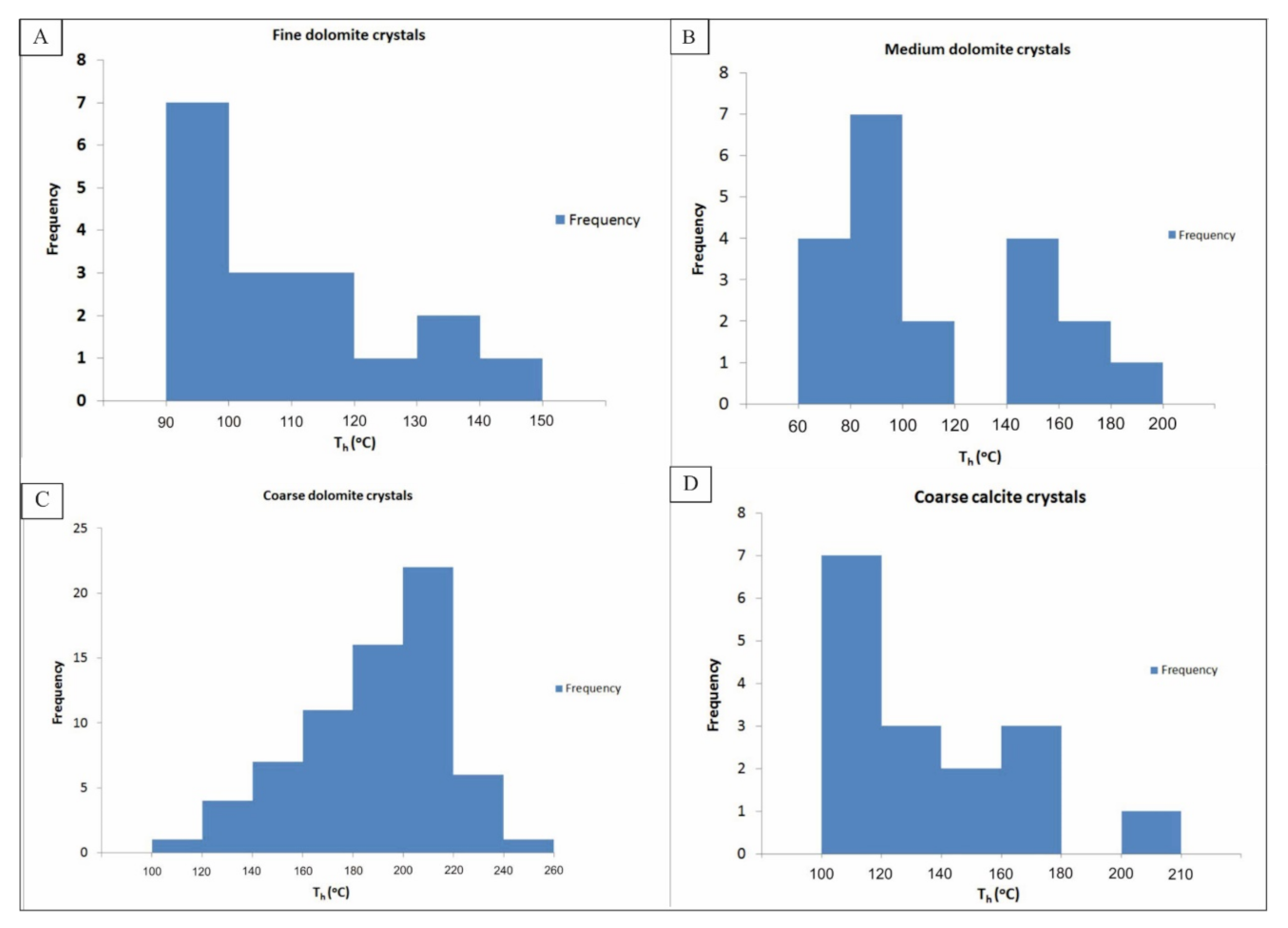
Fluid inclusions (1–20 µm across) in the drusy mosaic dolomite cement display two-phases (liquid and vapor). The crystal sizes of drusy dolomite are divided into fine (50–100 µm), medium (>100–500 µm), and coarse crystals (>500 µm). Results can be summarized as follows: (1) Homogenization temperatures (Th) of fine-sized dolomite crystals (50–100 µm), range from 93 to 143 °C (av. 118 °C); (2) Th of medium-sized dolomite crystals (100–500 µm) varies from 73 to 188 °C (av. 130.5 °C). The salinity of these fluid inclusions could not be measured owing to the small size of the inclusions (<2–3 µm); (3) Th values of coarse crystalline dolomite (>500 µm) filling the centermost part of the pores vary from 118 to 233 °C (av. 175.5 °C), while salinity ranges from 21.8 to 25.1 wt% NaCl eq.; and (4) the calcite cement that postdates dolomite has a Th value of 148 °C and salinity of 20.8 wt% NaCl eq. The distribution of Th in calcite and drusy dolomite is shown in histograms (Figure 9).
Figure 9.
Histograms of fluid-inclusion homogenization temperatures (Th) in fine-crystalline dolomite (A), medium-crystalline dolomite (B), coarse-crystalline dolomite (C), and calcite (D).
5. Discussion
Constraining the origin of the drusy dolomite in terms of whether it has been precipitated as cement, which is a common cement in limestones [13,14] or formed by the replacement of precursor drusy calcite [15] has implications for unravelling the role of diagenetic paleofluids, as well as for improvements in the definition of paragenetic sequences in carbonate rocks and related reservoir-quality features. There are two possible interpretations of the formation of drusy dolomite cement: (1) Precipitation as cement, and (2) fabric-preserving dolomitization of precursor drusy mosaic calcite. Evidence supporting precipitation as drusy dolomite includes the sector cathodoluminescence zoning and its close association with the latter precipitated blocky calcite.
Fluid-inclusion microthermometry of drusy mosaic dolomite and the subsequently precipitated calcite cement indicate formation from hot brines during compressional tectonic events in conjunction with the obduction of Oman ophiolites [16,36]. However, it is not immediately clear whether the drusy mosaic dolomite has been precipitated as cement [13] or formed by dolomitization of drusy mosaic calcite by the hot basinal brines [15,37]. Drusy calcite is a common cement in limestones [1,5,6,7,38]. Thus, the common presence of drusy mosaic dolomite in totally dolomitized limestones may suggest formation by fabric-preserving dolomitization [15]. The latter process suggests similar dissolution rates of drusy calcite and precipitation rate of dolomite during the dolomitization process. A similar fabric-preserving dolomite of Bih Formation has been reported in earlier studies of carbonate reservoirs in the world [39,40,41].
The high Th (73 to 233 °C) and salinity (20.8 to 25.1 wt% NaCl eq.) of drusy mosaic dolomite and subsequently precipitated cement indicates that they have precipitated either during deep-burial diagenesis or by upward flux of hydrothermal/hot basinal fluids [42]. The increase in Th with the increase in dolomite crystal size (av. 118 to 175.5 °C) is interpreted to indicate that the drusy dolomite precipitated with the increase in temperature during progressive burial. The maximum burial temperatures reached by the Bih Formation is approximately 190 to 200 °C [22]. The wide range of Th of different carbonate phases indicates that some fluid inclusions have been subjected to re-equilibration during burial processes [29]. The relatively systematic Th zoning from pore walls inwards (i.e., increase in crystal size) supports the formation of drusy dolomite by precipitation from pore fluids than by dolomitization of precursor drusy calcite cement. Apparently, the chemistry of the dolomitizing fluids has changed with time and reflected on the variation of Fe-rich and Fe-poor zoning of CL pattern of the drusy dolomite cement (cf., [2,36]).
The similar Th (148 °C) and salinity values (20.8 wt% NaCl eq.) of late blocky calcite and fracture-filling medium to coarse calcite cement is attributed to the circulation of hot brines [17]. The considerably lower δ13CVPDB values (−3.8‰ and −0.9‰) of fracture-filling calcite cement than drusy dolomite samples might indicate the deviation of dissolved carbon from degradation of hydrocarbons or organic matter [42]. Using the δ18OVPDB values (−9.4‰ to −6.2‰) and Th (73 to 233 °C) of drusy dolomite, the fractionation equation of Land [43] it is inferred that precipitation has occurred from evolved brines (δ18OVSMOW = +0.29‰ to +10.96‰). The wide extent of variations in the degree of geochemical evolution of the brines could be related to variable fluid sources and variable degrees of interaction with the host rocks in the basin. The positive correlation between C and O isotopes of drusy mosaic dolomite (Figure 7) suggests increasing input of 12C into the formation waters with the increasing temperature [44]. The small variations in Sr isotopic compositions between the various types of carbonate cements suggest a related origin (Figure 8A,B). The 87Sr/86Sr ratios in one of the pebbles (0.708202) is within the isotopic range of Permian to Triassic seawater values (0.7069 to 0.7083) [31]. The slightly higher ratio in another pebble sample (0.708424) than the range for Permo-Triassic seawater (Figure 8B) suggests that the hot basinal fluids have interacted with siliciclastic rocks [45,46]. The similar carbon isotope and 87Sr/86Sr ratio of drusy dolomite and coeval marine carbonates ([31]; 0.708106 and 0.708147, respectively) suggests that dissolved carbon and Sr were derived from the dissolution of marine carbonates and/or marine pore waters. The slightly lower oxygen isotope value of drusy dolomite than coeval marine carbonates (Figure 8A) is attributed to precipitation at elevated temperatures.
The development of stylolites and dissolution seams along the rim of pebbles or cutting across both pebbles and dolomite between pebbles indicate that stylolitization postdates the drusy dolomite cement. This complex relationship between fracturing, stylolitization, and dolomite cementation may be caused by multiple phases of tectonic movements. The cross-cutting of low amplitude seams by high amplitude stylolites in conglomerate/breccia samples could be a result of increasing compressive stress by tectonic movements generated during the obduction of Oman ophiolites [47,48]. The presence of dolomite cement (Th up to 190 °C; salinity up to 20.8 wt% NaCl eq.) along the stylolites suggests the flux of hot basinal brines and may indicate that the dolomite was precipitated by dolomitization of the host limestones prior to stylolitization. Dolomite cement apparently has been concentrated in the vicinity of the stylolitization surface as an insoluble residue (cf., [49]). Similar observations and interpretations have been presented for carbonate successions elsewhere [49,50,51]. The presence of clay minerals (locally pigmented by TiO2) along stylolites suggests that these minerals promoted the pressure dissolution of carbonates [52,53].
Constraining the depths at which the flux of hot dolomitizing basinal brines occurred is difficult without radiometric dating of dolomite [54,55]. However, the cross-cutting relationship between the stylolites and dolomite cement suggests that dolomitization took place at shallow depths [36].
6. Conclusions
The puzzling origin of pore-filling drusy mosaic dolomite cement in Permo-Triassic conglomerate/breccia beds outcropping in northern United Arab Emirates is constrained using the integrated field, petrographic, isotopic, and fluid-inclusion microthermometric analyses. There are two possible interpretations of the formation of drusy dolomite cement: (1) Precipitation as cement, and (2) fabric-preserving dolomitization of precursor drusy mosaic calcite. Fluid-inclusion microthermometry indicates the formation of this dolomite from hot basinal brines (Th = 73 to 233 °C; salinity = 21.8% to 25.1% wt% NaCl eq.). Using the average homogenization temperature and oxygen isotope of dolomite δ18OVPDB (−9.4‰ to −6.2‰) the brines are inferred to be geochemically evolved with δ18OVSMOW (+0.29‰ to +10.96‰). Lines of evidence supporting precipitation as drusy dolomite from pore waters include the sector cathodoluminescence zoning, the relatively systematic Th zoning, and with the presence of the latter precipitated blocky calcite, which has also precipitated from hot basinal brines (Th = 148 °C salinity = 20.8 wt% NaCl eq.). The construction of accurate paragenetic sequences is important for establishing exploration and production models for carbonate reservoirs. To achieve this goal, diagenesis should be linked to fluid history and tectonic evolution of the basin.
Author Contributions
H.M.: Conceptualization, Writing—original draft. M.A.: Writing—review & editing. S.D.: Formal analysis, Methodology. S.S.: Writing—review & editing, Visualization. S.M.: Writing—review & editing, Supervision, Resources, Investigation. All authors have read and agreed to the published version of the manuscript.
Funding
This research received no external funding.
Institutional Review Board Statement
Not applicable.
Informed Consent Statement
Not applicable.
Data Availability Statement
Not applicable.
Acknowledgments
The fluid inclusion analyses were performed by Daniel Morad at the French Petroleum Institute, Paris, France, the carbon and oxygen isotope analyses at the Environmental Isotope laboratory, University of Waterloo, Canada, and the strontium isotope analyses at Bochum University, Germany.
Conflicts of Interest
The authors declare no conflict of interest.
References
- Bathurst, R.G.C. Diagenesis in Mississippian Calcilutites and Pseudobreccias. J. Sediment. Res. 1959, 29, 365–376. [Google Scholar] [CrossRef]
- Tucker, M.E.; Wright, V.P. Diagenetic Processes, Products and Environments. Carbonate Sedimentol. 2009, 482, 314–364. [Google Scholar] [CrossRef]
- Friedman, G.M. Early Diagenesis and Lithification in Carbonate Sediments. J. Sediment. Res. 1964, 34, 777–813. [Google Scholar] [CrossRef]
- Gavish, E.; Friedman, G.M. Progressive diagenesis in Quaternary to Late Tertiary carbonate sediments: Sequence and time scale. J. Sediment. Res. 1969, 39, 980–1006. [Google Scholar]
- Dodd, J.R. Processes of Conversion of Aragonite to Calcite with Examples from the Cretaceous of Texas. J. Sediment. Res. 1966, 36, 36. [Google Scholar] [CrossRef]
- Rousseau, M.; Dromart, G.; Garcia, J.-P.; Atrops, F.; Guillocheau, F. Jurassic evolution of the Arabian carbonate platform edge in the central Oman Mountains. J. Geol. Soc. 2005, 162, 349–362. [Google Scholar] [CrossRef] [Green Version]
- Tackett, L.S.; Bottjer, D.J. Paleoecological succession of norian (late triassic) benthic fauna in eastern panthalassa (luning and gabbs formations, west-central nevada). PALAIOS 2016, 31, 190–202. [Google Scholar] [CrossRef]
- Lohmann, K.C.; Walker, J.C.G. Secular variation in 13C and 16O composittion of phamerozoic oceans. Geol. Soc. Am. Abstr. Prog. 1984, 16, 578. [Google Scholar]
- Carpenter, S.J.; Lohmann, K.C. Delta 18 and delta 13 C variations in Late Devonian marine cements from the Golden Spike and Nevis reefs, Alberta, Canada. J. Sediment. Res. 1989, 59, 792–814. [Google Scholar] [CrossRef]
- Scholle, P.A.; Ulmer-Scholle, D.S. A Color Guide to the Petrography of Carbonate Rocks: Grains, Textures, Porosity, Dia-Genesis, AAPG Memoir 77; AAPG: Tulsa, OK, USA, 2003. [Google Scholar]
- Morad, S.; Al-Aasm, I.S.; Nader, F.H.; Ceriani, A.; Gasparrini, M.; Mansurbeg, H. Impact of diagenesis on the spatial and temporal distribution of reservoir quality in the Jurassic Arab D and C members, offshore Abu Dhabi oilfield, United Arab Emirates. GeoArabia 2010, 17, 17–56. [Google Scholar]
- Mattavelli, L.; Chilingarian, G.; Storer, D. Petrography and diagenesis of the taormina formation, gela oil field, sicily (Italy). Sediment. Geol. 1969, 3, 59–86. [Google Scholar] [CrossRef]
- Chatalov, A.; Bonev, N.; Ivanova, D. Depositional characteristics and constraints on the mid-Valanginian demise of a car-bonate platform in the intra-Tethyan domain, Circum- Rhodope Belt, northern Greece. Cretaceous Res. 2015, 55, 84–115. [Google Scholar] [CrossRef]
- Gariboldi, K.; Gioncada, A.; Bosio, G.; Malinverno, E.; Di Celma, C.; Tinelli, C.; Cantalamessa, G.; Landini, W.; Urbina, M.; Bianucci, G. The dolomite nodules enclosing fossil marine vertebrates in the East Pisco Basin, Peru: Field and petrographic insights into the Lagerstätte formation. Palaeogeogr. Palaeoclim. Palaeoecol. 2015, 438, 81–95. [Google Scholar] [CrossRef]
- Mansurbeg, H.; Morad, D.; Othman, R.; Morad, S.; Ceriani, A.; Al-Aasm, I.; Kolo, K.; Spirov, P.; Proust, J.N.; Preat, A.; et al. Hydrothermal dolomitization of the Bekhme formation (Upper Cretaceous), Zagros Basin, Kurdistan Region of Iraq: Record of oil migration and degradation. Sediment. Geol. 2016, 341, 147–162. [Google Scholar] [CrossRef]
- Callot, J.P.; Breesch, L.; Guilhaumou, N.; Roure, F.; Swennen, R.; Vilasi, N. Paleo-fluids characterisation and fluid flow modelling along a regional transect in Northern United Arab Emirates (UAE). Arab. J. Geosci. 2010, 4, 413–437. [Google Scholar] [CrossRef] [Green Version]
- Fontana, S.; Nader, F.; Morad, S.; Ceriani, A.; Daniel, J.-M.; Mengus, J.-M.; Al-Aasm, I.S. Fluid-rock interactions associated with regional tectonics and basin evolution. Sedimentology 2013, 61, 660–690. [Google Scholar] [CrossRef]
- Maurer, F.; Rettori, R.; Martini, R. Triassic stratigraphy, facies and evolution of the Arabian shelf in the northern United Arab Emirates. Int. J. Earth Sci. 2008, 97, 765. [Google Scholar] [CrossRef]
- Searle, M.P. Thrust tectonics of the Dibba zone and the structural evolution of the Arabian continental margin along the Musandam Mountains (Oman and United Arab Emirates). J. Geol. Soc. 1988, 145, 43–53. [Google Scholar] [CrossRef]
- Strohmenger, C.J.; Alway, R.H.; Broomhall, R.W.; Hulstrand, R.F.; Al-Mansoori, A.; Abdalla, A.A.; Al-Aidarous, A. Sequence stratigraphy of the Khuff Formation comparing subsurface and outcrop data. In Proceedings of the Abu Dhabi International Petroleum Exhibition and Conference, Abu Dhabi, United Arab Emirates, 13 October 2002. [Google Scholar]
- Maurer, F.; Martini, R.; Rettori, R.; Hillgärtner, H.; Cirilli, S. The geology of Khuff outcrop analogues in the Musandam Peninsula, United Arab Emirates and Oman. GeoArabia 2009, 14, 125–158. [Google Scholar]
- Fontana, S.; Morad, S.; Nader, F.H.; Ceriani, A.; Al-Aasm, I.S. Breccia beds in the Khuff (Permian–Triassic) in Ras Al Khaimah, United Arab Emirates: Collapse or transgressive in origin? In the Permo–Triassic Sequence of the Arabian Plate, Abstracts of the EAGE’s Third Arabian Plate Geology Workshop, Kuwait. Abstract. GeoArabia J. Middle East Pet. Geosci-Ences. 2012, 17, 225–230. [Google Scholar]
- Fontana, S.; Morad, S.; Nader, F.H.; Al-Aasm, I.S.; Ceriani, A. Diagenesis of the Permo-triassic Succession of the Northeastern UAE, an Outcrop Analogue of the Khuff Formation. In Proceedings of the 73rd EAGE Conference and Exhibition Incorporating SPE EUROPEC, Vienna, Austria, 23–26 May 2011; p. 238. [Google Scholar] [CrossRef]
- Warburton, J.; Burnhill, T.; Graham, R.; Isaac, K. The Evolution of the Oman Mountains Foreland Basin; Geological Society, Special Publications: London, UK, 1990; Volume 49, pp. 419–427. [Google Scholar]
- Breesch, L.; RSwennen, B.; Dewever, F.; Roure, B. Vincent. Diagenesis and fluid system evolution in the northern Oman Mountains, United Arab Emirates: Implications for petroleum exploration. GeoArabia 2011, 16, 111–148. [Google Scholar]
- Breesch, L.; Swennen, R.; Vincent, B. Fluid flow reconstruction in hanging and footwall carbonates: Compartmentalization by Cenozoic reverse faulting in the Northern Oman Mountains (UAE). Mar. Pet. Geol. 2009, 26, 113–128. [Google Scholar] [CrossRef]
- Michaelis, P.; Pauken, R. Seismic Interpretation of the Structure and Stratigraphy of the Strait of Hormuz; Geological Society, Special Publications: London, UK, 1990; Volume 49, pp. 387–395. [Google Scholar]
- Searle, M.P.; James, N.P.; Calon, T.J.; Smewing, J.D. Sedimentological and structural evolution of the Arabian continental margin in the Musandam Mountains and Dibba zone, United Arab Emirates. GSA Bull. 1983, 94, 1381. [Google Scholar] [CrossRef]
- Goldstein, R.H.; Reynolds, T.J. Systematics of fluid inclusions in diagenetic minerals. SEPM Short Course 1994, 31, 199. [Google Scholar]
- Bodnar, R. Revised equation and table for determining the freezing point depression of H2O-Nacl solutions. Geochim. Cosmochim. Acta 1993, 57, 683–684. [Google Scholar] [CrossRef]
- Veizer, J.; Ala, D.; Azmy, K.; Bruckschen, P.; Buhl, D.; Bruhn, F.; Godderis, Y. 87Sr/86Sr, δ13C and δ18O evolution of Phan-erozoic seawater. Chem. Geol. 1999, 161, 59–88. [Google Scholar] [CrossRef] [Green Version]
- Epstein, S.; Buchsbaum, R.; Lowenstam, H.A.; Urey, H.C. Revised carbonate-water Isotopic Temperature Scale. Geol. Soc. Am. Bull. 1953, 64, 1315–1326. [Google Scholar] [CrossRef]
- Savard, M.M.; Veizer, J.; Hinton, R. Cathodoluminescene at low Fe and Mn concentrations; a SIMS study of zones in natural calcites. J. Sediment. Res. 1995, 65, 208–213. [Google Scholar] [CrossRef]
- Pierson, B.J. The control of cathodoluminescence in dolomite by iron and manganese. Sedimentology 1981, 28, 601–610. [Google Scholar] [CrossRef]
- Carmichael, S.K.; Ferry, J.M. Formation of replacement dolomite in the Latemar carbonate buildup, Dolomites, northern Italy: Part Origin of the dolomitizing fluid and the amount and duration of fluid flow. Am. J. Sci. 2008, 308, 885–904. [Google Scholar] [CrossRef] [Green Version]
- Fontana, S.; Nader, F.H.; Morad, S.; Ceriani, A.; Al-Aasm, I.S. Diagenesis of the Khuff Formation (Permian–Triassic), Northern United Arab Emirates. In Frontiers in Earth Sciences; Springer: Berlin/Heidelberg, Germany, 2013; pp. 203–220. [Google Scholar]
- Philip, J.M.; Gari, J. Late Cretaceous heterozoan carbonates: Palaeoenvironmental setting, relationships with rudist carbonates (Provence, south-east France). Sediment. Geol. 2005, 175, 315–337. [Google Scholar] [CrossRef]
- Fairchild, I.J.; Humbrey, M.J. The Vendian succession of northeastern Spitsbergen: Petrogenesis of a dolomite-tillite association. Precambrian Res. 1984, 26, 111–167. [Google Scholar] [CrossRef]
- Kimbell, T.N. Sedimentology and Diagenesis of Late Pleistocene Fore-Reef Calcarenites, Barbados, West Indies: A Geo-Chemical and Petrographic Investigation of Mixing Zone Diagenesis. Ph.D. Thesis, The University of Texas at Dallas, Dallas, TX, USA, 1993; p. 296. [Google Scholar]
- Cantrell, D.; Peter, S.; Royal, H. Genesis and characterization of dolomite, Arab-D reservoir, Ghawar field, Saudi Arabia. GeoArabia 2004, 9, 11–36. [Google Scholar]
- Hutsky, A.J.; Fielding, C.R.; Frank, T.D. Evidence for a petroleum subsystem in the Frontier Formation of the Uinta–Piceance Basin petroleum province. AAPG Bull. 2016, 100, 1033–1059. [Google Scholar] [CrossRef]
- Morad, S.; De Ros, L.F.; Nystuen, J.P.; Bergan, M. Carbonate Diagenesis and Porosity Evolution in Sheet-Flood Sandstones: Evidence from the Middle and Lower Lunde Members (Triassic) in the Snorre Field, Norwegian North Sea. In Carbonate Cementation in Sandstones; Wiley: Hoboken, NJ, USA, 2009; Volume 26, pp. 53–85. [Google Scholar]
- Land, L.S. The application of stable isotopes to studies of the origin of dolomite and to problems of diagenesis of clastic sedi-ments. In Stable Isotopes in Sedimentary Geology; Arthur, M.A., Anderson, T.F., Kaplan, I.R., Veizer, J., Land, L.S., Eds.; Special Publications of SEPM: Tulsa, OK, USA, 1983; Volume 10, pp. 41–422. [Google Scholar]
- Morad, S. Carbonate Cementation in Sandstones: Distribution Patterns and Geochemical Evolution (Special Publication 26 of the IAS); John Wiley & Sons: Hoboken, NJ, USA, 2008; p. 72. [Google Scholar]
- Davies, G.R.; Smith, L.B. Structurally controlled hydrothermal dolomite reservoir facies: An overview. AAPG Bull. 2006, 90, 1641–1690. [Google Scholar] [CrossRef]
- Gasparrini, M.; Bechstädt, T.; Boni, M. Massive hydrothermal dolomites in the southwestern Cantabrian Zone (Spain) and their relation to the Late Variscan evolution. Mar. Pet. Geol. 2006, 23, 543–568. [Google Scholar] [CrossRef]
- Sirat, M.; Al-Aasm, I.; Morad, S.; Aldahan, A.; Al-Jallad, O.; Ceriani, A.; Morad, D.; Mansurbeg, H.; Al Suwaidi, A. Saddle dolomite and calcite cements as records of fluid flow during basin evolution: Paleogene carbonates, United Arab Emirates. Mar. Pet. Geol. 2016, 74, 71–91. [Google Scholar] [CrossRef]
- Morad, D.; Nader, F.; Gasparrini, M.; Morad, S.; Rossi, C.; Marchionda, E.; Al Darmaki, F.; Martines, M.; Hellevang, H. Comparison of the diagenetic and reservoir quality evolution between the anticline crest and flank of an Upper Jurassic carbonate gas reservoir, Abu Dhabi, United Arab Emirates. Sediment. Geol. 2018, 367, 96–113. [Google Scholar] [CrossRef] [Green Version]
- Paganoni, M.; Al Harthi, A.; Morad, D.; Morad, S.; Ceriani, A.; Mansurbeg, H.; Al Suwaidi, A.; Al-Aasm, I.S.; Ehrenberg, S.N.; Sirat, M. Impact of stylolitization on diagenesis of a Lower Cretaceous carbonate reservoir from a giant oilfield, Abu Dhabi, United Arab Emirates. Sediment. Geol. 2016, 335, 70–92. [Google Scholar] [CrossRef]
- Braithwaite, C. Stylolites as open fluid conduits. Mar. Pet. Geol. 1989, 6, 93–96. [Google Scholar] [CrossRef]
- Neilson, J.E.; Oxtoby, N.H.; Simmons, M.D.; Simpson, I.R.; Fortunatova, N.K. The relationship between petroleum emplace-ment and carbonate reservoir quality: Examples from Abu Dhabi and the Amu Darya Basin. Mar. Pet. Geol. 1998, 15, 57–72. [Google Scholar] [CrossRef]
- Aharonov, E.; Katsman, R. Interaction between pressure solution and clays in stylolite development: Insights from modeling. Am. J. Sci. 2009, 309, 607–632. [Google Scholar] [CrossRef]
- Ehrenberg, S.N.; Morad, S.; Yaxin, L.; Chen, R. Stylolites and Porosity in A Lower Cretaceous Limestone Reservoir, Onshore Abu Dhabi, U.A.E. J. Sediment. Res. 2016, 86, 1228–1247. [Google Scholar] [CrossRef]
- Salih, N.; Mansurbeg, H.; Kolo, K.; Préat, A. Hydrothermal Carbonate Mineralization, Calcretization, and Microbial Diagenesis Associated with Multiple Sedimentary Phases in the Upper Cretaceous Bekhme Formation, Kurdistan Region-Iraq. Geoscience 2019, 9, 459. [Google Scholar] [CrossRef] [Green Version]
- Mansurbeg, H.; Alsuwaidi, M.; Salih, N.; Shahrokhi, S.; Morad, S. Integration of stable isotopes, radiometric dating and mi-crothermometry of saddle dolomite and host dolostones (Cretaceous carbonates, Kurdistan, Iraq): New insights into hydro-thermal dolomitization. Mar. Pet. Geol. 2021, 127, 104989. [Google Scholar] [CrossRef]
Publisher’s Note: MDPI stays neutral with regard to jurisdictional claims in published maps and institutional affiliations. |
© 2021 by the authors. Licensee MDPI, Basel, Switzerland. This article is an open access article distributed under the terms and conditions of the Creative Commons Attribution (CC BY) license (https://creativecommons.org/licenses/by/4.0/).








