Trophic Responses of the Asian Reservoir to Long-Term Seasonal and Interannual Dynamic Monsoon
Abstract
1. Introduction
2. Materials and Methods
2.1. Study Site Description
2.2. Analysis of Water Quality Parameters, Precipitation, and Hydrological Data
2.3. Trophic State Index Deviation and Non-Algal Light Attenuation Coefficient
- TSI (CHL-a, µgL−1) = 10 × [6 − (2.04 − 0.68 ln(CHL-a))/ln2]
- TSI (TP, µgL−1) = 10 × [6 − ln(48/TP)/ln2]
- TSI (SD, m) = 10 × [6 − ln(SD)/ln2]
- IV.
- Kna = 1/SD − 0.025 × CHL-a
2.4. Statistical Analysis
3. Results
3.1. Hydrology Pattern
3.2. Physicochemical Properties of Water Quality Parameters
3.3. Variations of Physicochemical Parameters during Drought and Flood Year and in Embankment and Mainstem
3.4. Pearson Correlation Analysis
3.5. Trend Analysis of Water Quality Parameters
3.6. Empirical Relationship of Chlorophyll-Nutrients
3.7. Relations of Water Clarity to Other Water Quality Parameters
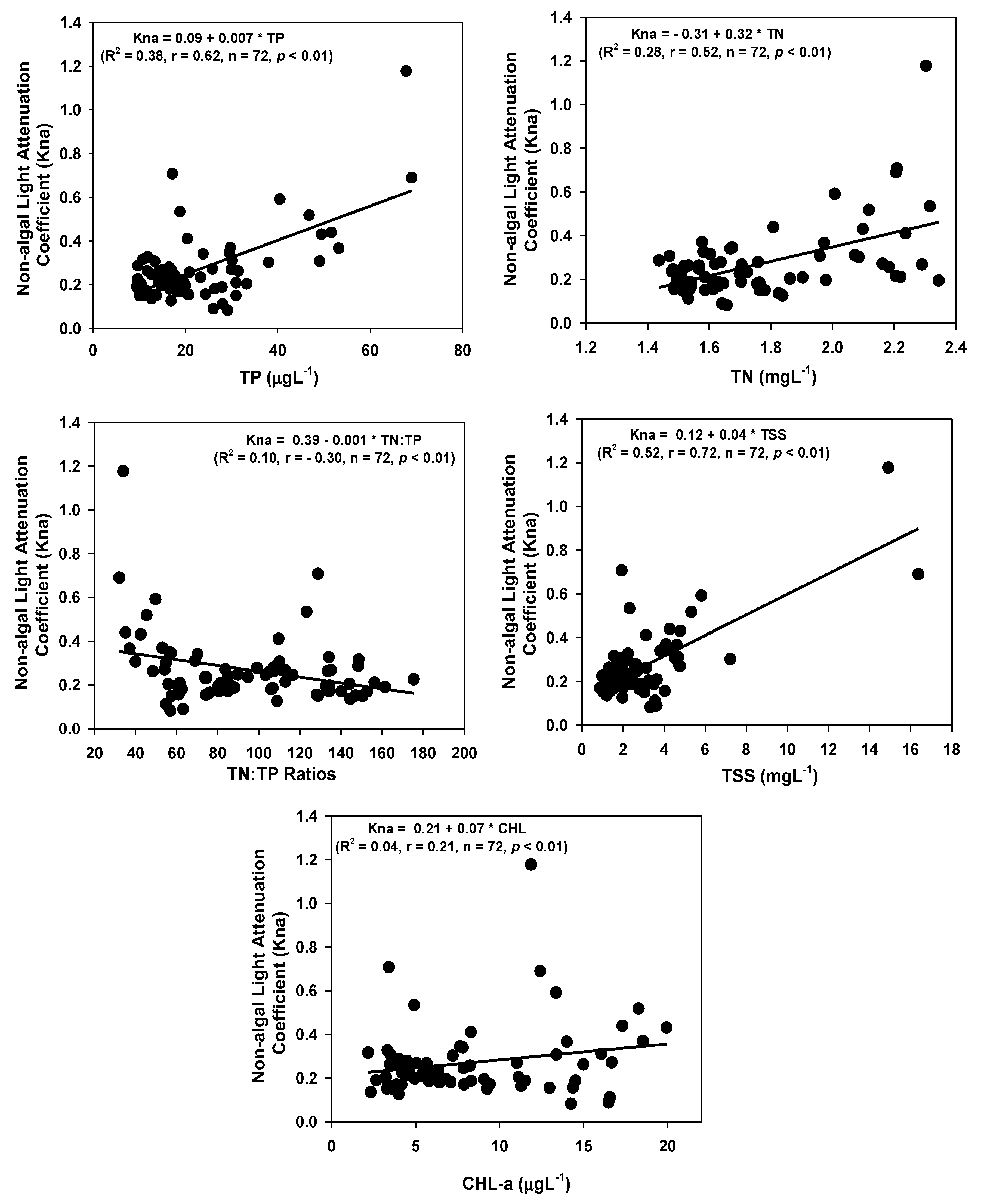
3.8. Non-Algal Light Attenuation
3.9. Trophic State Index and Its Deviation
4. Discussion
5. Conclusions
Supplementary Materials
Author Contributions
Funding
Acknowledgments
Conflicts of Interest
References
- Wetzel, R.G. Limnology Lake and River Ecosystem; Academic Press: Cambridge, MA, USA, 2001; ISBN 9780127447605. [Google Scholar]
- Atique, U.; An, K.G. Landscape heterogeneity impacts water chemistry, nutrient regime, organic matter and chlorophyll dynamics in agricultural reservoirs. Ecol. Indic. 2020, 110, 105813. [Google Scholar] [CrossRef]
- Markad, A.T.; Landge, A.T.; Nayak, B.B.; Inamdar, A.B.; Mishra, A.K. Trophic state modeling for shallow freshwater reservoir: A new approach. Environ. Monit. Assess. 2019, 191, 586. [Google Scholar] [CrossRef]
- Jones, J.R.; Knowlton, M.F.; An, K.G. Trophic state, seasonal patterns and empirical models in South Korean Reservoirs. Lake Reserv. Manag. 2003, 19, 64–78. [Google Scholar] [CrossRef]
- Ingole, N.P.; An, K.G. Modifications of nutrient regime, chlorophyll-a, and trophic state relations in daechung reservoir after the construction of an upper dam. J. Ecol. Environ. 2016, 40, 1–10. [Google Scholar] [CrossRef][Green Version]
- Atique, U.; An, K.G. Reservoir water quality assessment based on chemical parameters and the chlorophyll dynamics in relation to nutrient regime. Pol. J. Environ. Stud. 2019, 28, 1043–1061. [Google Scholar] [CrossRef]
- An, K.G.; Park, S.S. Influence of seasonal monsoon on the trophic state deviation in an Asian reservoir. Water Air Soil Pollut. 2003, 145, 267–287. [Google Scholar] [CrossRef]
- Calderon, M.S.; An, K.G. Spatio-temporal variabilities of nutrients and chlorophyll, and the trophic state index deviations on the relation of nutrients-chlorophyll–light availability. J. Ecol. Environ. 2016, 39, 31–42. [Google Scholar] [CrossRef]
- Mamun, M.; Lee, S.J.; An, K.G. Temporal and spatial variation of nutrients, suspended solids, and chlorophyll in Yeongsan watershed. J. Asia-Pacific Biodivers. 2018, 11, 206–216. [Google Scholar] [CrossRef]
- An, K.G.; Park, S.S. Indirect influence of the summer monsoon on chlorophyll-total phosphorus models in reservoirs: A case study. Ecol. Model. 2002, 152, 191–203. [Google Scholar] [CrossRef]
- An, K.G.; Jones, J.R. Factors regulating bluegreen dominance in a reservoir directly influenced by the asian monsoon. Hydrobiologia 2000, 432, 37–48. [Google Scholar] [CrossRef]
- Zou, W.; Zhu, G.; Cai, Y.; Vilmi, A.; Xu, H.; Zhu, M.; Gong, Z.; Zhang, Y.; Qin, B. Relationships between nutrient, chlorophyll a and Secchi depth in lakes of the Chinese Eastern Plains ecoregion: Implications for eutrophication management. J. Environ. Manag. 2020, 260, 109923. [Google Scholar] [CrossRef]
- Cheng, K.S.; Lei, T.C. Reservoir trophic state evaluation using Landsat TM images. JAWRA J. Am. Water Resour. Assoc. 2001, 37, 1321–1334. [Google Scholar] [CrossRef]
- Rowland, F.E.; North, R.L.; McEachern, P.; Obrecht, D.V.; Gurung, T.B.; Jones, S.B.; Jones, J.R. Phytoplankton nutrient deficiencies vary with season in sub-tropical lakes of Nepal. Hydrobiologia 2019, 833, 157–172. [Google Scholar] [CrossRef]
- Khan, M.A.I.; Hossain, A.M.; Huda, M.; Islam, M.S.; Elahi, S.F. Physico-chemical and Biological Aspects of Monsoon Waters of AShulia for Economic and Aesthetic Applications: Preliminary Studies. Bangladesh J. Sci. Ind. Res. 2007, 42, 377–396. [Google Scholar] [CrossRef]
- Chung, S.W.; Lee, H.; Jung, Y. The effect of hydrodynamic flow regimes on the algal bloom in a monomictic reservoir. Water Sci. Technol. 2008, 58, 1291–1298. [Google Scholar] [CrossRef] [PubMed]
- Redfield, A.C. The biological control of chemical factors in the environment. Am. Sci. 1958, 46, 205–221. [Google Scholar]
- Grayson, R.B.; Gippel, C.J.; Finlayson, B.L.; Hart, B.T. Catchment-wide impacts on water quality: The use of “snapshot” sampling during stable flow. J. Hydrol. 1997, 199, 121–134. [Google Scholar] [CrossRef]
- Walker, J.L.; Younos, T.; Zipper, C.E. Nutrients in Lakes and Reservoirs—A Literature Review for Use in Nutrient Criteria Development; Virginia water resources research center: Blacksburg, VA, USA, 2007. [Google Scholar]
- Kim, B.; Park, J.H.; Hwang, G.; Jun, M.S.; Choi, K. Eutrophication of reservoirs in South Korea. Limnology 2001, 2, 223–229. [Google Scholar] [CrossRef]
- Morris, D.P.; Lewis, W.M. Phytoplankton nutrient limitation in Colorado mountain lakes. Freshw. Biol. 1988, 20, 315–327. [Google Scholar] [CrossRef]
- Maberly, S.C.; King, L.; Dent, M.M.; Jones, R.I.; Gibson, C.E. Nutrient limitation of phytoplankton and periphyton growth in upland lakes. Freshw. Biol. 2002, 47, 2136–2152. [Google Scholar] [CrossRef]
- Mamun, M.; An, K.G. Major nutrients and chlorophyll dynamics in Korean agricultural reservoirs along with an analysis of trophic state index deviation. J. Asia-Pacific Biodivers. 2017, 10, 183–191. [Google Scholar] [CrossRef]
- Jung, S.; Shin, M.; Kim, J.; Eum, J.; Lee, Y.; Lee, J.; Choi, Y.; You, K.; Owen, J.; Kim, B. The effects of Asian summer monsoons on algal blooms in reservoirs. Inl. Waters 2016, 6, 406–413. [Google Scholar] [CrossRef]
- Dillon, P.J. The phosphorus-chlorophyll in lakes. Limnol. Oceanogr. 1974, 19, 767–773. [Google Scholar] [CrossRef]
- Pothoven, S.A.; Fahnenstiel, G.L. Recent change in summer chlorophyll a dynamics of southeastern Lake Michigan. J. Great Lakes Res. 2013, 39, 287–294. [Google Scholar] [CrossRef]
- Nürnberg, G.K. Trophic state of clear and colored, soft- and hardwater lakes with special consideration of nutrients, anoxia, phytoplankton and fish. Lake Reserv. Manag. 1996, 12, 432–447. [Google Scholar] [CrossRef]
- Mamun, M.; Lee, S.J.; An, K.G. Roles of nutrient regime and N:P ratios on algal growth in 182 Korean agricultural reservoirs. Polish J. Environ. Stud. 2018, 27, 1175–1185. [Google Scholar] [CrossRef]
- An, K.G.; Jones, J.R. Reservoir response to the asian monsoon with an emphasis on longitudinal gradients. J. Freshw. Ecol. 2002, 17, 151–160. [Google Scholar] [CrossRef]
- Carlson, R.E. Expanding the Trophic State Concept to Identify Non-Nutrient Limited Lakes and Reservoirs. Enhancing States’s Lake Manag. Programs. 1992, pp. 59–71. Available online: https://www.researchgate.net/ (accessed on 19 July 2020).
- Carlson, R.E.; Havens, K.E. Simple graphical methods for the interpretation of relationships between trophic state variables. Lake Reserv. Manag. 2005, 21, 107–118. [Google Scholar] [CrossRef]
- Lee, H.S.; Chung, S.W.; Choi, J.K.; Min, B.H. Feasibility of curtain weir installation for water quality managementin Daecheong reservoir. Desalin. Water Treat. 2010, 19, 164–172. [Google Scholar] [CrossRef]
- MOE. Standard Methods for the Examination of Water Quality Contamination, 7th ed.; Ministry of Environemnt (MOE): Gwacheon, Korea, 2000; p. 435. (In Korean)
- Crumpton, W.G.; Isenhart, T.M.; Mitchell, P.D. Nitrate and organic N analyses with second-derivative spectroscopy. Limnol. Oceanogr. 1992, 37, 907–913. [Google Scholar] [CrossRef]
- Eaton, A.; Franson, M.A. Standard Methods for the Examination of Water and Wastewater; American Public Health Association: Washington, DC, USA, 2005. [Google Scholar]
- Carlson, R.E.; Simpson, J. A Coordinator’s Guide to Volunteer Lake Monitoring Methods; North American Lake Management Society: Madison, WI, USA, 1996. [Google Scholar]
- Carlson, R.E. A trophic state index for lakes. Limnol. Oceanogr. 1977, 22, 361–369. [Google Scholar] [CrossRef]
- Walker, W.W. An empirical analysis of phosphorus, nitrogen, and turbidity effects on reservoir chlorophyll-A levels. Can. Water Resour. J. 1982, 7, 88–107. [Google Scholar] [CrossRef][Green Version]
- Singh, A.; Maichle, R. ProUCL V. 5.1.Statistical Software for Environmental Applications for Data Sets with and without Nondetect Observations; USEPA: Washington, DC, USA, 2016.
- Hammer, Ø.; Harper, D.; Ryan, P. PAST: Paleontological statistics software package for education and data analysis. Palaeontol. Electron. 2001, 4, 9. [Google Scholar]
- An, K.G.; Kim, D.S. Response of reservoir water quality to nutrient inputs from streams and in-lake fishfarms. Water Air Soil Pollut. 2003, 149, 27–49. [Google Scholar] [CrossRef]
- Knowlton, M.F.; Jones, J.R. Temporal and spatial dynamics of suspended sediment, nutrients, and algal biomass in Mark Twain Lake, Missouri. Arch. fur Hydrobiol. 1995, 135, 145–178. [Google Scholar]
- Jones, J.R.; Knowlton, M.F. Chlorophyll response to nutrients and non-algal seston in missouri reservoirs and oxbow lakes. Lake Reserv. Manag. 2005, 21, 361–371. [Google Scholar] [CrossRef]
- An, K.G.; Jones, J.R. Temporal and spatial patterns in salinity and suspended solids in a reservoir influenced by the Asian monsoon. Hydrobiologia 2000, 436, 179–189. [Google Scholar] [CrossRef]
- Jones, J.R.; Obrecht, D.V.; Perkins, B.D.; Knowlton, M.F.; Thorpe, A.P.; Watanabe, S.; Bacon, R.R. Nutrients, seston, and transparency of missouri reservoirs and oxbow lakes: An analysis of regional limnology. Lake Reserv. Manag. 2008, 24, 155–180. [Google Scholar] [CrossRef]
- Lee, J.H.; Kim, J.M.; Kim, D.S.; Hwang, S.J.; An, K.G. Nutrients and chlorophyll-a dynamics in a temperate reservoir influenced by Asian monsoon along with in situ nutrient enrichment bioassays. Limnology 2010, 11, 49–62. [Google Scholar] [CrossRef]
- Qian, S.S. Environmental and Ecological Statistics with R, 2nd ed.; Chapman and Hall/CRC: London, UK, 2016; ISBN 9781498728720. [Google Scholar]
- Dörnhöfer, K.; Oppelt, N. Remote sensing for lake research and monitoring - Recent advances. Ecol. Indic. 2016, 64, 105–122. [Google Scholar] [CrossRef]
- USEPA. Guideline for Data Quality Assessment; USEPA: Washington, DC, USA, 2007.









| Sites | TP (µgL−1) Mean ± SD (Min–Max) CV | TN (mgL−1) Mean ± SD (Min–Max) CV | TN:TP Mean ± SD (Min–Max) CV | CHL-a (µgL−1) Mean ± SD (Min–Max) CV | SD (m) Mean ± SD (Min–Max) CV | TSS (mgL−1) Mean ± SD Min–Max CV | BOD (mgL−1) Mean ± SD (Min–Max) CV | COD (mgL−1) Mean ± SD (Min–Max) CV | EC (µScm−1) Mean ± SD (Min–Max) CV | WT (°C) Mean ± SD (Min–Max)CV | pH Mean ± SD(Min–Max) CV | DO (mgL−1) Mean ± SD (Min–Max) CV |
|---|---|---|---|---|---|---|---|---|---|---|---|---|
| Rz | 28.15 ± 22.62 (5–196) 0.80 | 1.91 ± 0.54 (0.54–3.61) 0.28 | 97.07 ± 64.97 (12.57–433.6) 0.66 | 10.6 ± 8.38 (1.3–50.65) 0.79 | 2.35 ± 1.06 (0.3–6.15) 0.45 | 3.51 ± 3.37 (0.3–30.95) 0.96 | 1.27 ± 0.39 (0.55–3.05) 0.31 | 3.17 ± 0.53 (2–5.6) 0.16 | 155.1 ± 39.17 (48.5–316) 0.25 | 14.91 ± 7.58 (3–27.55) 0.50 | 7.80 ± 0.37 (6.8–8.9) 0.04 | 9.41 ± 2.69 (2.95–17.55) 0.28 |
| Tz | 23.45 ± 20.55 (4–159) 0.87 | 1.82 ± 0.51 (0.75–3.41) 0.28 | 118.6 ± 72.9 (18.11–394.7) 0.61 | 7.39 ± 6.95 (1–43.9) 0.93 | 3.17 ± 1.34 (0.2–7.3) 0.42 | 2.56 ± 3.03 (0.4–33.1) 1.18 | 1.18 ± 0.39 (0.5–2.8) 0.33 | 3.02 ± 0.53 (1.7–5.2) 0.17 | 151.3 ± 37.37 (50–299) 0.24 | 13.53 ± 6.71 (3–24.5) 0.49 | 7.07 ± 0.38 (6.5–8.7) 0.05 | 9.06 ± 3.01 (2–16.5) 0.33 |
| Lz | 17.75 ± 13.79 (3–79) 0.77 | 1.69 ± 0.46 (1.02–3.75) 0.27 | 144.3 ± 94.92 (19.52–660) 0.65 | 5.01 ± 4.96 (0.2–28.1) 0.99 | 3.75 ± 1.55 (1–11) 0.41 | 1.93 ± 2.02 (0.3–13) 1.04 | 1.06 ± 0.31 (0.4–2.0) 0.29 | 2.85 ± 0.49 (1.6–5.3) 0.17 | 146.9 ± 34.53 (66–267) 0.23 | 11.76 ± 5.16 (3.3–23) 0.43 | 7.58 ± 0.36 (6.6–8.5) 0.04 | 8.56 ± 3.0 (2.2–15.7) 0.35 |
| IT1 | 18.93 ± 12.9 (4–109) 0.68 | 1.57 ± 0.43 (0.65–4.4) 0.27 | 110.4 ± 63.15 (15.9–468.5) 0.57 | 7.25 ± 5.07 (1.6–31) 0.7 | 2.56 ± 0.92 (0.9–5.7) 0.36 | 3 ± 1.78 (0.8–12.3) 0.59 | 1 ± 0.23 (0.5–2.3) 0.23 | 3.75 ± 0.76 (2.2–6.7) 0.20 | 132.4 ± 23.33 (71–200) 0.17 | 15.21 ± 7.77 (3–31) 0.51 | 7.82 ± 0.41 (6.8–9.2) 0.05 | 9.92 ± 2.39 (4.4–15.2) 0.24 |
| IT2 | 19.23 ± 10.83 (2.8–68) 0.56 | 1.58 ± 0.43 (0.87–3.30) 0.27 | 106.5 ± 64.72 (24.52–468) 0.60 | 7.91 ± 9.88 (0.4–86.9)1.25 | 2.70 ± 0.92 (0.7–5.3) 0.34 | 2.28 ± 1.48 (0.3–10) 0.64 | 1.21 ± 0.39 (0.5–2.8) 0.32 | 3.09 ± 0.59 (1.4–5.9) 0.19 | 146.1 ± 34.24 (58–276) 0.23 | 16.13 ± 8.29 (2.3–30.2) 0.51 | 8.02 ± 0.54 (6.9–9.5) 0.06 | 10.11 ± 2.24 (2.5–16.9) 0.22 |
| pH | DO (mgL−1) | BOD (mgL−1) | COD (mgL−1) | TSS (mgL−1) | TN (mgL−1) | TP (µgL−1) | TN:TP | WT (°C) | EC (µScm−1) | CHL-a (µgL−1) | SD (m) | Kna | RF (mm) | IF (m3S−1) | OF (m3s−1) | |
|---|---|---|---|---|---|---|---|---|---|---|---|---|---|---|---|---|
| pH | 1.00 | |||||||||||||||
| DO (mgL−1) | 0.12 | 1.00 | ||||||||||||||
| BOD (mgL−1) | 0.28 | −0.46 | 1.00 | |||||||||||||
| COD (mgL−1) | 0.15 | −0.53 | 0.30 | 1.00 | ||||||||||||
| TSS (mgL−1) | −0.08 | −0.54 | 0.58 | 0.56 | 1.00 | |||||||||||
| TN (mgL−1) | −0.07 | −0.26 | 0.59 | 0.02 | 0.42 | 1.00 | ||||||||||
| TP(µgL−1) | −0.03 | −0.70 | 0.74 | 0.59 | 0.85 | 0.46 | 1.00 | |||||||||
| TN:TP | −0.12 | 0.75 | −0.55 | −0.66 | −0.63 | −0.13 | −0.83 | 1.00 | ||||||||
| WT (°C) | 0.36 | −0.82 | 0.54 | 0.69 | 0.55 | 0.18 | 0.71 | −0.83 | 1.00 | |||||||
| EC (µScm−1) | 0.15 | 0.42 | 0.17 | −0.66 | −0.24 | 0.46 | −0.34 | 0.52 | −0.45 | 1.00 | ||||||
| CHL-a (µgL−1) | 0.18 | −0.64 | 0.64 | 0.64 | 0.51 | 0.22 | 0.71 | −0.78 | 0.76 | −0.39 | 1.00 | |||||
| SD (m) | −0.24 | 0.51 | −0.55 | −0.67 | −0.57 | −0.26 | −0.67 | 0.73 | −0.69 | 0.38 | −0.77 | 1.00 | ||||
| Kna | 0.00 | −0.16 | 0.51 | 0.32 | 0.72 | 0.53 | 0.62 | −0.31 | 0.24 | 0.03 | 0.21 | −0.46 | 1.00 | |||
| RF (mm) | 0.74 | −0.21 | 0.37 | 0.30 | 0.37 | 0.27 | 0.23 | −0.27 | 0.58 | 0.11 | 0.17 | −0.23 | 0.35 | 1.00 | ||
| IF (m3S−1) | 0.84 | −0.03 | 0.33 | 0.37 | 0.33 | 0.04 | 0.15 | −0.20 | 0.46 | 0.06 | 0.07 | −0.34 | 0.59 | 0.88 | 1.00 | |
| OF (m3S−1) | 0.81 | −0.11 | 0.45 | 0.33 | 0.33 | 0.13 | 0.21 | −0.20 | 0.50 | 0.14 | 0.08 | −0.31 | 0.56 | 0.84 | 0.98 | 1.00 |
| Sites | Parameters | M-K Test Value (S) | Critical Value (0.05) | Standard Deviation of S | Standardized Value of S | Approximate p-Value | Slope | Intercept | Trend |
|---|---|---|---|---|---|---|---|---|---|
| Rz | TP | −1717 | −1.645 | 1018 | −1.686 | 0.0459 | −0.02 | 31.59 | DT |
| TN | 3875 | 1.645 | 1018 | 3.806 | 0.0001 | 0.002 | 1.61 | IT | |
| TN:TP | 3165 | 1.645 | 1018 | 3.108 | 0.0009 | 0.23 | 72.59 | IT | |
| BOD | 4803 | 1.645 | 1017 | 4.724 | 0.00 | 0.002 | 1.07 | IT | |
| COD | 2196 | 1.645 | 1017 | 2.159 | 0.0154 | 0.001 | 3.01 | IT | |
| TSS | −2855 | −1.645 | 1018 | −2.804 | 0.002 | −0.06 | 4.51 | DT | |
| EC | 6998 | 1.645 | 1018 | 6.874 | 0.00 | 0.20 | 133.20 | IT | |
| CHL-a | −1923 | −1.645 | 1018 | −1.888 | 0.02 | −0.02 | 12.92 | DT | |
| SD | 2843 | 1.645 | 1018 | 2.793 | 0.002 | 0.003 | 1.966 | IT | |
| Tz | TP | −761 | −1.645 | 1150 | −0.661 | 0.254 | −0.01 | 25.09 | NT |
| TN | 6945 | 1.645 | 1151 | 6.031 | 0.00 | 0.003 | 1.44 | IT | |
| TN:TP | 3988 | 1.645 | 1136 | 3.509 | 0.002 | 0.27 | 87.31 | IT | |
| BOD | 6059 | 1.645 | 1146 | 5.285 | 0.00 | 0.001 | 0.97 | IT | |
| COD | 1870 | 1.645 | 1147 | 1.629 | 0.05 | 0.005 | 2.96 | NT | |
| TSS | −4395 | −1.645 | 1151 | −3.819 | 0.0001 | 0.008 | 3.543 | DT | |
| EC | 8852 | 1.645 | 1144 | 7.74 | 0.00 | 0.20 | 127.51 | IT | |
| CHL-a | −3732 | −1.645 | 1151 | −3.241 | 0.006 | −0.02 | 9.80 | DT | |
| SD | 2770 | 1.645 | 1151 | 2.406 | 0.008 | 0.003 | 2.74 | IT | |
| Lz | TP | −1863 | −1.645 | 1149 | −1.62 | 0.05 | −0.01 | 18.96 | NT |
| TN | 8862 | 1.645 | 1151 | 7.696 | 0.00 | 0.03 | 1.29 | IT | |
| TN:TP | 4857 | 1.645 | 1136 | 4.274 | 0.00 | 0.44 | 93.79 | IT | |
| BOD | 7551 | 1.645 | 1144 | 6.601 | 0.00 | 0.001 | 0.824 | IT | |
| COD | 2309 | 1.645 | 1147 | 2.012 | 0.02 | 0.0004 | 2.81 | IT | |
| TSS | −3894 | −1.645 | 1150 | −3.385 | 0.0004 | −0.007 | 2.7354 | DT | |
| EC | 11032 | 1.645 | 1151 | 9.583 | 0.00 | 0.24 | 119.14 | IT | |
| CHL-a | −3210 | −1.645 | 1151 | −2.788 | 0.002 | −0.01 | 6.32 | DT | |
| SD | 3156 | 1.645 | 1151 | 2.742 | 0.003 | 0.003 | 3.35 | IT | |
| IT1 | TP | 466 | 1.645 | 1150 | 0.404 | 0.34 | −0.01 | 20.09 | NT |
| TN | −7491 | −1.645 | 1151 | −6.506 | 0.00 | −0.002 | 1.86 | DT | |
| TN:TP | −3562 | −1.645 | 1151 | −3.093 | 0.00 | −0.27 | 141.43 | DT | |
| BOD | −3721 | −1.645 | 1137 | −3.271 | .005 | −0.005 | 1.05 | DT | |
| COD | 10571 | 1.645 | 1150 | 9.194 | 0.00 | 0.006 | 2.98 | IT | |
| TSS | −5920 | −1.645 | 1151 | −5.144 | 0.00 | −0.009 | 4.12 | DT | |
| EC | 13119 | 1.645 | 1151 | 11.4 | 0.00 | 0.24 | 104.91 | IT | |
| CHL-a | 1429 | 1.645 | 1151 | 1.24 | 0.10 | 0.00 | 6.44 | NT | |
| SD | 6228 | 1.645 | 1150 | 5.415 | 0.00 | 0.004 | 2.02 | IT | |
| IT2 | TP | −861 | −1.645 | 1150 | −0.748 | 0.22 | −0.0071 | 20.04 | NT |
| TN | 7591 | 1.645 | 1151 | 6.593 | 0.00 | 0.003 | 1.24 | IT | |
| TN:TP | 4124 | 1.645 | 1136 | 3.629 | 0.0001 | 0.22 | 81.00 | IT | |
| BOD | 7300 | 1.645 | 1145 | 6.375 | 0.000 | 0.002 | 0.94 | IT | |
| COD | 2683 | 1.645 | 1147 | 2.338 | 0.009 | 0.0005 | 3.03 | IT | |
| TSS | −4180 | −1.645 | 1151 | −3.632 | 0.0001 | −0.005 | 2.91 | DT | |
| EC | 9518 | 1.645 | 1151 | 8.267 | 0.00 | 0.20 | 122.20 | IT | |
| CHL-a | −3222 | −1.645 | 1151 | −2.798 | 0.002 | −0.0172 | 9.87 | DT | |
| SD | 4041 | 1.645 | 1150 | 3.512 | 0.0002 | 0.0032 | 2.33 | IT |
| Empirical Models | Sites | Equations | R2 | RMSE | p-Value |
|---|---|---|---|---|---|
| Spring Log10(TP) vs. Summer Log10(CHL-a) | Rz | Log10(CHL-a) = 0.84 + 0.15 × Log10(TP) | 0.007 | 0.30 | <0.001 |
| Tz | Log10(CHL-a) = 0.71 + 0.05 × Log10(TP) | 0.001 | 0.37 | 0.02 | |
| Lz | Log10(CHL-a) = 0.16 + 0.32 × Log10(TP) | 0.01 | 0.37 | 0.5 | |
| IT1 | Log10(CHL-a) = 0.97 − 0.12 × Log10(TP) | 0.01 | 0.19 | <0.001 | |
| IT2 | Log10(CHL-a) = 0.58 + 0.11 × Log10(TP) | 0.003 | 0.35 | 0.06 | |
| Spring Log10(TN) vs. Summer Log10(CHL-a) | Rz | Log10(CHL-a) = 1.41 − 1.10 × Log10(TN) | 0.15 | 0.28 | <0.001 |
| Tz | Log10(CHL-a) = 0.74 + 0.11 × Log10(TN) | 0.001 | 0.37 | <0.01 | |
| Lz | Log10(CHL-a) = 0.53 − 0.37 × Log10(TN) | 0.01 | 0.37 | <0.001 | |
| IT1 | Log10(CHL-a) = 0.78 + 0.35 × Log10(TN) | 0.02 | 0.19 | <0.001 | |
| IT2 | Log10(CHL-a) = 0.71 + 0.01 × Log10(TN) | 0.00 | 0.36 | <0.001 | |
| Summer Log10(TP) vs. Fall Log10(CHL-a) | Rz | Log10(CHL-a) = 1.26 − 0.11 × Log10(TP) | 0.009 | 0.27 | <0.001 |
| Tz | Log10(CHL-a) = 1.24 − 0.18 × Log10(TP) | 0.03 | 0.31 | <0.001 | |
| Lz | Log10(CHL-a) = 1.16 − 0.27 × Log10(TP) | 0.07 | 0.32 | <0.01 | |
| IT1 | Log10(CHL-a) = 1.06 − 0.01 × Log10(TP) | 0.001 | 0.20 | <0.001 | |
| IT2 | Log10(CHL-a) = 1.52 − 0.38 × Log10(TP) | 0.05 | 0.33 | <0.001 | |
| Summer Log10(TN) vs. Fall Log10(CHL-a) | Rz | Log10(CHL-a) = 1.34 − 0.78 × Log10(TN) | 0.09 | 0.26 | <0.001 |
| Tz | Log10(CHL-a) = 1.25 − 0.88 × Log10(TN) | 0.07 | 0.30 | <0.001 | |
| Lz | Log10(CHL-a) = 1.25 − 0.88 × Log10(TN) | 0.13 | 0.31 | <0.001 | |
| IT1 | Log10(CHL-a) = 0.99 + 0.24 × Log10(TN) | 0.02 | 0.20 | <0.001 | |
| IT2 | Log10(CHL-a) = 1.19 − 0.72 × Log10(TN) | 0.06 | 0.33 | <0.001 | |
| Summer Log10(TP) vs. Summer Log10(CHL-a) | Rz | Log10(CHL-a) = 0.75 + 0.17 × Log10(TP) | 0.01 | 0.30 | 0.008 |
| Tz | Log10(CHL-a) = −0.04 + 0.57 × Log10(TP) | 0.24 | 0.32 | <0.001 | |
| Lz | Log10(CHL-a) = −0.38 + 0.71 × Log10(TP) | 0.40 | 0.29 | <0.01 | |
| IT1 | Log10(CHL-a) = 0.67 + 0.13 × Log10(TP) | 0.03 | 0.18 | <0.001 | |
| IT2 | Log10(CHL-a) = −0.28 + 0.76 × Log10(TP) | 0.18 | 0.32 | <0.001 | |
| Summer Log10(TN) vs. Summer Log10(CHL-a) | Rz | Log10(CHL-a) = 1.12 − 0.28 × Log10(TN) | 0.01 | 0.30 | <0.01 |
| Tz | Log10(CHL-a) = 0.82 − 0.16 × Log10(TN) | 0.002 | 0.37 | <0.01 | |
| Lz | Log10(CHL-a) = 0.38 + 0.29 × Log10(TN) | 0.008 | 0.38 | 0.003 | |
| IT1 | Log10(CHL-a) = 0.84 + 0.01 × Log10(TN) | 0.00 | 0.19 | <0.001 | |
| IT2 | Log10(CHL-a) = 0.71 + 0.01 × Log10(TN) | 0.00 | 0.36 | <0.001 | |
| Fall Log10(TP) vs. Fall Log10(CHL-a) | Rz | Log10(CHL-a) = 1.04 + 0.03 × Log10(TP) | 0.001 | 0.27 | <0.001 |
| Tz | Log10(CHL-a) = 0.98 − 0.006 × Log10(TP) | 0.00 | 0.32 | <0.001 | |
| Lz | Log10(CHL-a) = 0.95 − 0.08 × Log10(TP) | 0.003 | 0.33 | 0.001 | |
| IT1 | Log10(CHL-a) = 1.14 − 0.07 × Log10(TP) | 0.007 | 0.20 | <0.001 | |
| IT2 | Log10(CHL-a) = 1.35 − 0.23 × Log10(TP) | 0.01 | 0.34 | <0.001 | |
| Fall Log10(TN) vs. Fall Log10(CHL-a) | Rz | Log10(CHL-a) = 1.15 − 0.28 × Log10(TN) | 0.01 | 0.27 | <0.001 |
| Tz | Log10(CHL-a) = 1.11 − 0.64 × Log10(TN) | 0.05 | 0.31 | <0.01 | |
| Lz | Log10(CHL-a) = 1.09 − 1.07 × Log10(TN) | 0.11 | 0.31 | <0.001 | |
| IT1 | Log10(CHL-a) = 1.08 − 0.23 × Log10(TN) | 0.02 | 0.20 | <0.001 | |
| IT2 | Log10(CHL-a) = 1.20 − 1.00 × Log10(TN) | 0.08 | 0.33 | <0.001 | |
| Entire ReservoirsLog10(TP) vs. Log10(CHL-a) | Log10(CHL-a) = −0.45 + 0.98 × Log10(TP) | 0.69 | 0.14 | <0.001 | |
| Entire ReservoirsLog10(TN) vs. Log10(CHL-a) | Log10(CHL-a) = 0.58 + 1.04 × Log10(TN) | 0.06 | 0.25 | <0.001 | |
© 2020 by the authors. Licensee MDPI, Basel, Switzerland. This article is an open access article distributed under the terms and conditions of the Creative Commons Attribution (CC BY) license (http://creativecommons.org/licenses/by/4.0/).
Share and Cite
Mamun, M.; Kim, J.Y.; An, K.-G. Trophic Responses of the Asian Reservoir to Long-Term Seasonal and Interannual Dynamic Monsoon. Water 2020, 12, 2066. https://doi.org/10.3390/w12072066
Mamun M, Kim JY, An K-G. Trophic Responses of the Asian Reservoir to Long-Term Seasonal and Interannual Dynamic Monsoon. Water. 2020; 12(7):2066. https://doi.org/10.3390/w12072066
Chicago/Turabian StyleMamun, Md, Ji Yoon Kim, and Kwang-Guk An. 2020. "Trophic Responses of the Asian Reservoir to Long-Term Seasonal and Interannual Dynamic Monsoon" Water 12, no. 7: 2066. https://doi.org/10.3390/w12072066
APA StyleMamun, M., Kim, J. Y., & An, K.-G. (2020). Trophic Responses of the Asian Reservoir to Long-Term Seasonal and Interannual Dynamic Monsoon. Water, 12(7), 2066. https://doi.org/10.3390/w12072066

