Simulation of Non-Gaussian Correlated Random Variables, Stochastic Processes and Random Fields: Introducing the anySim R-Package for Environmental Applications and Beyond
Abstract
1. Introduction
“Oh, Lord, please keep the world linear and Gaussian.”
1.1. Motivation
1.2. Modeling Rationale and Historical Overview
1.3. Contribution and Organization of the Paper
1.4. A Brief Note on Notation and Style Used
2. Methods
2.1. Theoretical Background of NDM Approach
2.2. Establishing Target-Equivalent Correlation Relationship
2.3. Developing Nataf-Based Stochastic Simulation Schemes
2.3.1. A Layman’s Step-by-Step Guide for the Simulation of Non-Gaussian Processes
2.3.2. A layman’s Step-by-Step Guide for the Simulation of Non-Gaussian Random Fields
2.4. Multi-Scale Stochastic Simulation Via Disaggregation
2.5. Technical Details
2.5.1. Marginal Distributions
2.5.2. Correlation Structures
3. The anySim R-Package
3.1. Package Structure
- R-functions prefixed by “cs” concern theoretical correlation structures, such as those presented in Section 2.5 (e.g., cscas corresponds to Cauchy-type autocorrelation structure).
- Prefix “Nataf” is used for the R-functions that support the solution of Equation (3) and the establishment of relationship between the target and equivalent (in Gaussian domain) correlation coefficient (see Section 2.2).
- Prefix “Est” indicates R-functions that support the estimation of parameters of the linear auxiliary Gaussian models (e.g., EstARTAp supports the parameterization of ARTA (p) models), wrapping also the functions of previous category for the estimation of equivalent correlation coefficients.
- The functions that support simulation and generation of synthetic data are prefixed by “Sim”. Finally, the package enables multi-scale stochastic simulation (see Section 2.4) via the functions prefixed by “Disagg”.
3.2. Package Simulation Modules
- Autoregressive To Anything model of order p (ARTA(p)): This model is used for the simulation of univariate stationary processes, employing a univariate AR(p) model for the auxiliary Gp (R-functions: EstARTAp and SimARTAp; see simulation example in Section 5.2). It is noted that a similar, yet lower-order (i.e., with p = 2), implementation of this modeling approach was demonstrated by Cario and Nelson [76], while the use of higher-order models (in combination with theoretical ACSs to ensure parsimony) is employed in [20,25,72,79].
- Stochastic Periodic Autoregressive To Anything model of order 1 (SPARTA) [21,77]: This model is used for the simulation of multivariate (or univariate) cyclostationary processes, employing the PAR(1) model for the auxiliary Gp (R-functions: EstSPARTA and SimSPARTA; see simulation example in Section 5.3).
- Symmetric Moving Average (neaRly) To Anything (SMARTA(q)) [78]: This model is used for the simulation of multivariate (or univariate) stationary processes, employing a Gaussian SMA(q) model for the simulation of the auxiliary Gp (R-functions: EstSMARTA and SimSMARTA; see simulation example in Section 5.4).
- Disagg_ARTAp enables the disaggregation of a given coarser-level series to a finer-level stationary series, using the ARTA(p) model for the simulation of the finer-level process (see also the simulation example in Section 5.6).
- Disagg_SPARTA enables the disaggregation of a given coarser-level series to a finer-level cyclostationary series, using the SPARTA model for the simulation of the finer-level process (see also the simulation example in Section 5.7).
4. Demonstration of anySim Capabilities
Simulation Examples
5. Results
5.1. Simulation of Correlated Non-Gaussian Random Variables
5.2. Simulation of Univariate Stationary Non-Gaussian Processes
5.3. Simulation of Univariate Cyclostationary Non-Gaussian Processes
5.4. Simulation of Multivariate Stationary Processes with Continuous and Zero-Inflated Marginal Distributions
5.5. Simulation of Spatiotemporal Random Fields with Zero-Inflated Marginal Distributions
5.6. Univariate Disaggregation of Coarser-Level Stationary Series to Finer-Level Stationary Series
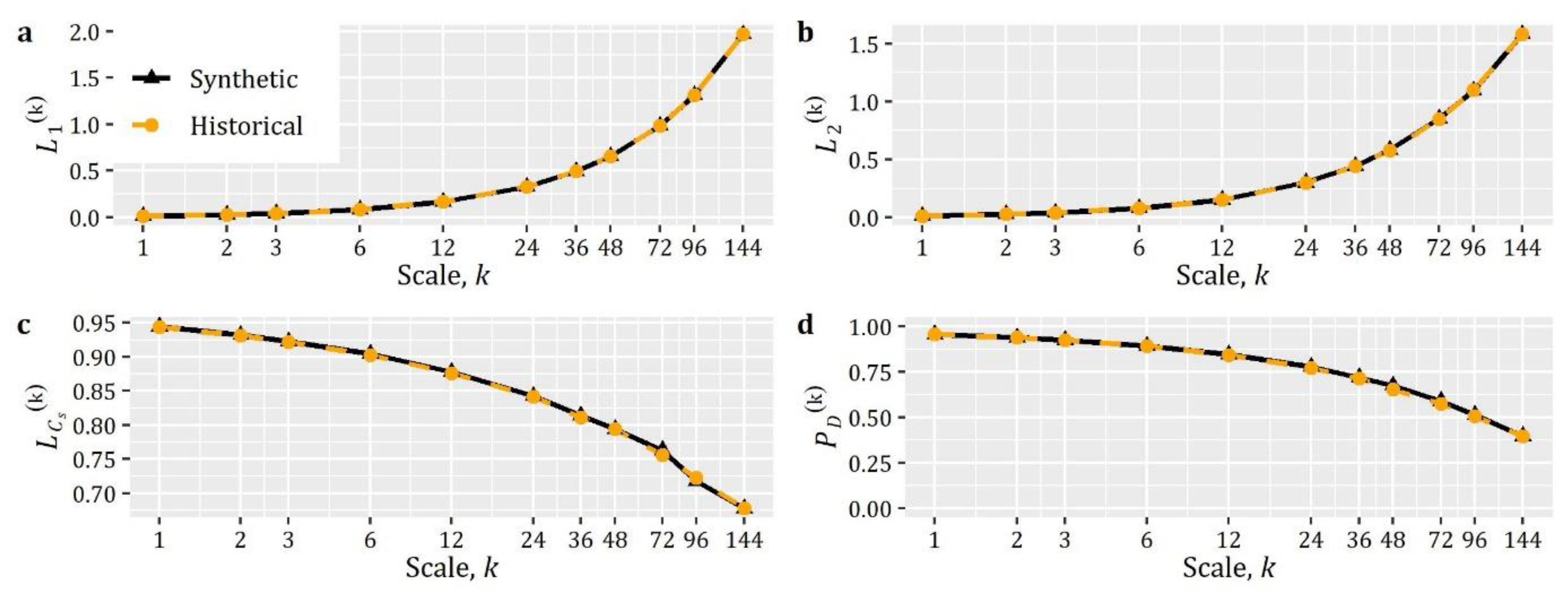
5.7. Univariate Disaggregation of Coarser-Level Stationary Series to Finer-Level Cyclostationary Series
6. Conclusions
- The simulation of non-Gaussian correlated random variables with target correlation matrix.
- The simulation of non-Gaussian univariate and multivariate processes with given target auto-correlation and lag-0 cross-correlation structure.
- The simulation of non-Gaussian univariate processes (stationary and cyclostationary) at multiple temporal scales, preserving the target distributions, as well as the target auto-correlation structures at multiple temporal scales.
- The disaggregation of univariate coarser-level sequences to finer-level sequences exhibiting the target (non-Gaussian) distributions and auto-correlation structure.
- The simulation of non-Gaussian homogenous random fields with target spatiotemporal correlation structure (preserving the lag-0 contemporaneous spatial correlations, as well as autocorrelation up to large time lags).
- The implementation of alternative multivariate models (for stationary and cyclostationary processes) for both simulation and disaggregation purposes.
- The implementation of methods and functions for conditional simulations.
- The implementation of alternative correlation structures (i.e., spatial, temporal, or combination of them), as well as methods that correct potential non-positive definite correlation structures.
- The implementation of functions dedicated for fitting distribution functions and correlation structures to historical data.
- Introduction of stochastic methods that rely on alternative copulas [138,139], such as asymmetric ones (e.g., Clayton and Gumbel copulas). This way, beyond NDM-based methods (i.e., Gaussian copula), which are suitable for symmetric dependence structures, anySim could be employed to describe more complex dependencies and thus further extend the simulation capabilities of the package (e.g., reproduction of extremes; tail dependencies).
- The implementation of some part of the code, and especially the more time-consuming functions (e.g., those related with disaggregation), in other programming languages (e.g., C++) to speed-up the package’s run times.
Author Contributions
Funding

Acknowledgments
Conflicts of Interest
Appendix A. Distribution Functions Used to Demonstrate anySim
References
- Kisiel, C.C. Transformation of deterministic and stochastic processes in hydrology. In Proceedings of the International Symposium in Hydrology, Fort Collins, CO, USA, 11–14 September 1967; Volume 1, pp. 600–607. [Google Scholar]
- Klemeš, V. Water storage: Source of inspiration and desperation. In Reflections on Hydrology: Science and Practice; American Geophysical Union: Washington, DC, USA, 1997; ISBN 9781118668085. [Google Scholar]
- Koutsoyiannis, D.; Economou, A. Evaluation of the parameterization-simulation-optimization approach for the control of reservoir systems. Water Resour. Res. 2003, 39. [Google Scholar] [CrossRef]
- Celeste, A.B.; Billib, M. Evaluation of stochastic reservoir operation optimization models. Adv. Water Resour. 2009, 32, 1429–1443. [Google Scholar] [CrossRef]
- Haberlandt, U.; Hundecha, Y.; Pahlow, M.; Schumann, A.H. Rainfall generators for application in flood studies. In Flood Risk Assessment and Management; Springer: Berlin/Heidelberg, Germany, 2011; pp. 117–147. [Google Scholar]
- Giuliani, M.; Herman, J.D.; Castelletti, A.; Reed, P. Many-objective reservoir policy identification and refinement to reduce policy inertia and myopia in water management. Water Resour. Res. 2014, 50, 3355–3377. [Google Scholar] [CrossRef]
- Tsoukalas, I.; Makropoulos, C. A Surrogate Based Optimization Approach for the Development of Uncertainty-Aware Reservoir Operational Rules: the Case of Nestos Hydrosystem. Water Resour. Manag. 2015, 29, 4719–4734. [Google Scholar] [CrossRef]
- Tsoukalas, I.; Makropoulos, C. Multiobjective optimisation on a budget: Exploring surrogate modelling for robust multi-reservoir rules generation under hydrological uncertainty. Environ. Model. Softw. 2015, 69, 396–413. [Google Scholar] [CrossRef]
- Tsoukalas, I.; Kossieris, P.; Efstratiadis, A.; Makropoulos, C. Surrogate-enhanced evolutionary annealing simplex algorithm for effective and efficient optimization of water resources problems on a budget. Environ. Model. Softw. 2016, 77, 122–142. [Google Scholar] [CrossRef]
- Feng, M.; Liu, P.; Guo, S.; Gui, Z.; Zhang, X.; Zhang, W.; Xiong, L. Identifying changing patterns of reservoir operating rules under various inflow alteration scenarios. Adv. Water Resour. 2017, 104, 23–36. [Google Scholar] [CrossRef]
- Do, N.C.; Razavi, S. Correlation Effects? A Major but Often Neglected Component in Sensitivity and Uncertainty Analysis. Water Resour. Res. 2020, 56. [Google Scholar] [CrossRef]
- Robert, C.; Casella, G. Introducing Monte Carlo Methods with R; Springer: New York, NY, USA, 2010; ISBN 978-1-4419-1582-5. [Google Scholar]
- Kroese, D.P.; Taimre, T.; Botev, Z.I. Handbook of Monte Carlo Methods; John Wiley & Sons, Inc.: Hoboken, NJ, USA, 2011; ISBN 9781118014967. [Google Scholar]
- Kroese, D.P.; Brereton, T.; Taimre, T.; Botev, Z.I. Why the Monte Carlo method is so important today. Wiley Interdiscip. Rev. Comput. Stat. 2014, 6, 386–392. [Google Scholar] [CrossRef]
- Grigoriu, M. Applied Non-Gaussian Processes: Examples, Theory, Simulation, Linear Random Vibration, And Matlab Solutions; PTR Prentice Hall: Upper Saddle River, NJ, USA, 1995; ISBN 0133670953. [Google Scholar]
- Efstratiadis, A.; Dialynas, Y.G.; Kozanis, S.; Koutsoyiannis, D. A multivariate stochastic model for the generation of synthetic time series at multiple time scales reproducing long-term persistence. Environ. Model. Softw. 2014, 62, 139–152. [Google Scholar] [CrossRef]
- Koutsoyiannis, D. Stochastic Simulation of Hydrosystems. In Water Encyclopedia; John Wiley & Sons, Inc.: Hoboken, NJ, USA, 2005; ISBN 9780471478447. [Google Scholar]
- Moran, P.A.P. Simulation and Evaluation of Complex Water Systems Operations. Water Resour. Res. 1970, 6, 1737–1742. [Google Scholar] [CrossRef]
- Salas, J.D.; Delleur, J.W.; Yevjevich, V.; Lane, W.L. Applied modeling of hydrologic time series; 2nd Print; Water Resources Publication: Littleton, CO, USA, 1980; ISBN 0918334373. [Google Scholar]
- Kossieris, P.; Tsoukalas, I.; Makropoulos, C.; Savic, D. Simulating Marginal and Dependence Behaviour of Water Demand Processes at Any Fine Time Scale. Water 2019, 11, 885. [Google Scholar] [CrossRef]
- Tsoukalas, I.; Efstratiadis, A.; Makropoulos, C. Stochastic Periodic Autoregressive to Anything (SPARTA): Modeling and Simulation of Cyclostationary Processes With Arbitrary Marginal Distributions. Water Resour. Res. 2018, 54, 161–185. [Google Scholar] [CrossRef]
- Tsoukalas, I.; Papalexiou, S.; Efstratiadis, A.; Makropoulos, C. A Cautionary Note on the Reproduction of Dependencies through Linear Stochastic Models with Non-Gaussian White Noise. Water 2018, 10, 771. [Google Scholar] [CrossRef]
- Ailliot, P.; Allard, D.; Monbet, V.; Naveau, P. Stochastic weather generators: an overview of weather type models. J. la Société Française Stat. 2015, 156, 101–113. [Google Scholar]
- Wilks, D.S.; Wilby, R.L. The weather generation game: a review of stochastic weather models. Prog. Phys. Geogr. 1999, 23, 329–357. [Google Scholar] [CrossRef]
- Tsoukalas, I.; Efstratiadis, A.; Makropoulos, C. Building a puzzle to solve a riddle: A multi-scale disaggregation approach for multivariate stochastic processes with any marginal distribution and correlation structure. J. Hydrol. 2019, 575, 354–380. [Google Scholar] [CrossRef]
- Srikanthan, R.; McMahon, T.A. Stochastic generation of annual, monthly and daily climate data: A review. Hydrol. Earth Syst. Sci. 2001, 5, 653–670. [Google Scholar] [CrossRef]
- Onof, C.; Chandler, R.E.; Kakou, A.; Northrop, P.; Wheater, H.S.; Isham, V. Rainfall modelling using Poisson-cluster processes: a review of developments. Stoch. Environ. Res. Risk Assess. 2000, 14, 0384–0411. [Google Scholar] [CrossRef]
- Wheater, H.S.; Chandler, R.E.; Onof, C.J.; Isham, V.S.; Bellone, E.; Yang, C.; Lekkas, D.; Lourmas, G.; Segond, M.-L. Spatial-temporal rainfall modelling for flood risk estimation. Stoch. Environ. Res. Risk Assess. 2005, 19, 403–416. [Google Scholar] [CrossRef]
- Chen, J.; Brissette, F.P. Comparison of five stochastic weather generators in simulating daily precipitation and temperature for the Loess Plateau of China. Int. J. Climatol. 2014, 34, 3089–3105. [Google Scholar] [CrossRef]
- Waymire, E.; Gupta, V.K. The mathematical structure of rainfall representations: 1. A review of the stochastic rainfall models. Water Resour. Res. 1981, 17, 1261–1272. [Google Scholar] [CrossRef]
- Deodatis, G.; Micaletti, R.C. Simulation of highly skewed non-Gaussian stochastic processes. J. Eng. Mech. 2001, 127, 1284–1295. [Google Scholar] [CrossRef]
- Matalas, N.C. Mathematical assessment of synthetic hydrology. Water Resour. Res. 1967, 3, 937–945. [Google Scholar] [CrossRef]
- Thomas, H.A.; Fiering, M.B. The nature of the storage yield function. In Operations Research in Water Quality Management; Harvard University Water Program: Cambridge, MA, USA, 1963. [Google Scholar]
- Koutsoyiannis, D. Optimal decomposition of covariance matrices for multivariate stochastic models in hydrology. Water Resour. Res. 1999, 35, 1219–1229. [Google Scholar] [CrossRef]
- Li, J.; Li, C. Simulation of Non-Gaussian Stochastic Process with Target Power Spectral Density and Lower-Order Moments. J. Eng. Mech. 2012, 138, 391–404. [Google Scholar] [CrossRef]
- Lawrance, A.J.; Lewis, P.A.W. Modelling and residual analysis of nonlinear autoregressive time series in exponential variables. J. R. Stat. Soc. Ser. B 1985, 47, 165–183. [Google Scholar] [CrossRef]
- Dimitriadis, P.; Koutsoyiannis, D. Stochastic synthesis approximating any process dependence and distribution. Stoch. Environ. Res. risk Assess. 2018, 32, 1493–1515. [Google Scholar] [CrossRef]
- McMahon, T.A.; Miller, A.J. Application of the Thomas and Fiering Model to Skewed Hydrologic Data. Water Resour. Res. 1971, 7, 1338–1340. [Google Scholar] [CrossRef]
- Fiering, B.; Jackson, B. Synthetic Streamflows; Water Resources Monograph; American Geophysical Union: Washington, DC, USA, 1971; Volume 1, ISBN 0-87590-300-2. [Google Scholar]
- Moran, P.A.P. Statistical Inference with Bivariate Gamma Distributions. Biometrika 1969, 56, 627. [Google Scholar] [CrossRef]
- Lawrance, A.J.; Kottegoda, N.T. Stochastic Modelling of Riverflow Time Series. J. R. Stat. Soc. Ser. A 1977, 140, 1. [Google Scholar] [CrossRef]
- Vogel, R.M.; Stedinger, J.R. The value of stochastic streamflow models in overyear reservoir design applications. Water Resour. Res. 1988, 24, 1483–1490. [Google Scholar] [CrossRef]
- Koutsoyiannis, D.; Manetas, A. Simple disaggregation by accurate adjusting procedures. Water Resour. Res. 1996, 32, 2105–2117. [Google Scholar] [CrossRef]
- Koutsoyiannis, D. A generalized mathematical framework for stochastic simulation and forecast of hydrologic time series. Water Resour. Res. 2000, 36, 1519–1533. [Google Scholar] [CrossRef]
- Adeloye, A.J.; Soundharajan, B.-S.; Musto, J.N.; Chiamsathit, C. Stochastic assessment of Phien generalized reservoir storage–yield–probability models using global runoff data records. J. Hydrol. 2015, 529, 1433–1441. [Google Scholar] [CrossRef]
- Nataf, A. Statistique mathematique-determination des distributions de probabilites dont les marges sont donnees. C. R. Acad. Sci. Paris 1962, 255, 42–43. [Google Scholar]
- Liu, P.-L.; Der Kiureghian, A. Multivariate distribution models with prescribed marginals and covariances. Probabilistic Eng. Mech. 1986, 1, 105–112. [Google Scholar] [CrossRef]
- Mardia, K. V A Translation Family of Bivariate Distributions and Frechet’s Bounds. Sankhya Indian J. Stat. Ser. A 1970, 32, 119–122. [Google Scholar]
- Lebrun, R.; Dutfoy, A. An innovating analysis of the Nataf transformation from the copula viewpoint. Probabilistic Eng. Mech. 2009, 24, 312–320. [Google Scholar] [CrossRef]
- Chen, D.; Xu, D.; Ren, G.; Jiang, Q.; Liu, G.; Wan, L.; Li, N. Simulation of cross-correlated non-Gaussian random fields for layered rock mass mechanical parameters. Comput. Geotech. 2019, 112, 104–119. [Google Scholar] [CrossRef]
- Sudret, B.; Der Kiureghian, A. Stochastic finite element methods and reliability: A state-of-the-art report; Department of Civil and Environmental Engineering, University of California: Berkeley, CA, USA, 2000. [Google Scholar]
- Li, C.-C.; Der Kiureghian, A. Optimal discretization of random fields. J. Eng. Mech. 1993, 119, 1136–1154. [Google Scholar] [CrossRef]
- Melchers, R.E.; Beck, A.T. (Eds.) Structural Reliability Analysis and Prediction; John Wiley & Sons Ltd: Chichester, UK, 2017; ISBN 9781119266105. [Google Scholar]
- Ditlevsen, O.; Madsen, H.O. Structural Reliability Methods; Wiley: New York, NY, USA, 1996; Volume 178, ISBN 0471960861. [Google Scholar]
- Rebora, N.; Ferraris, L.; von Hardenberg, J.; Provenzale, A. RainFARM: Rainfall Downscaling by a Filtered Autoregressive Model. J. Hydrometeorol. 2006, 7, 724–738. [Google Scholar] [CrossRef]
- Vio, R.; Andreani, P.; Wamsteker, W. Numerical Simulation of Non-Gaussian Random Fields with Prescribed Correlation Structure. Publ. Astron. Soc. Pacific 2001, 113, 1009–1020. [Google Scholar] [CrossRef]
- Popescu, R.; Deodatis, G.; Prevost, J.H. Simulation of homogeneous nonGaussian stochastic vector fields. Probabilistic Eng. Mech. 1998, 13, 1–13. [Google Scholar] [CrossRef]
- Christakos, G. Random Field Models in Earth Sciences; Courier Corporation: North Chelmsford, MA, USA, 2012; ISBN 0486160912. [Google Scholar]
- Grigoriu, M. Crossings of Non-Gaussian Translation Processes. J. Eng. Mech. 1984, 110, 610–620. [Google Scholar] [CrossRef]
- Grigoriu, M. Simulation of stationary non-Gaussian translation processes. J. Eng. Mech. 1998, 124, 121–126. [Google Scholar] [CrossRef]
- Kelly, K.S.; Krzysztofowicz, R. A bivariate meta-Gaussian density for use in hydrology. Stoch. Hydrol. Hydraul. 1997, 11, 17–31. [Google Scholar] [CrossRef]
- Guillot, G.; Lebel, T. Approximation of Sahelian rainfall fields with meta-Gaussian random functions. Stoch. Environ. Res. Risk Assess. 1999, 13, 113–130. [Google Scholar] [CrossRef]
- Guillot, G. Approximation of Sahelian rainfall fields with meta-Gaussian random functions. Stoch. Environ. Res. Risk Assess. 1999, 13, 100–112. [Google Scholar] [CrossRef]
- Rasmussen, P.F. Multisite precipitation generation using a latent autoregressive model. Water Resour. Res. 2013, 49, 1845–1857. [Google Scholar] [CrossRef]
- Kleiber, W.; Katz, R.W.; Rajagopalan, B. Daily spatiotemporal precipitation simulation using latent and transformed Gaussian processes. Water Resour. Res. 2012, 48. [Google Scholar] [CrossRef]
- Glasbey, C.A.; Nevison, I.M. Rainfall Modelling Using a Latent Gaussian Variable. In Modelling Longitudinal and Spatially Correlated Data: Methods, Applications, and Future Directions; Springer: Berlin, Germany, 1997; pp. 233–242. [Google Scholar]
- Baxevani, A.; Lennartsson, J. A spatiotemporal precipitation generator based on a censored latent Gaussian field. Water Resour. Res. 2015, 51, 4338–4358. [Google Scholar] [CrossRef]
- Bell, T.L. A space-time stochastic model of rainfall for satellite remote-sensing studies. J. Geophys. Res. 1987, 92, 9631. [Google Scholar] [CrossRef]
- Lanza, L.G. A conditional simulation model of intermittent rain fields. Hydrol. Earth Syst. Sci. 2000, 4, 173–183. [Google Scholar] [CrossRef]
- Gong, R.; Haslauer, C.P.; Chen, Y.; Luo, J. Analytical relationship between Gaussian and transformed-Gaussian spatially distributed fields. Water Resour. Res. 2013, 49, 1735–1740. [Google Scholar] [CrossRef]
- Allard, D. Modeling spatial and spatio-temporal non Gaussian processes. In Advances and Challenges in Space-time Modelling of Natural Events; Springer: Berlin, Germany, 2012; pp. 141–164. [Google Scholar]
- Papalexiou, S.M. Unified theory for stochastic modelling of hydroclimatic processes: Preserving marginal distributions, correlation structures, and intermittency. Adv. Water Resour. 2018, 115, 234–252. [Google Scholar] [CrossRef]
- Papalexiou, S.M.; Serinaldi, F. Random Fields Simplified: Preserving Marginal Distributions, Correlations, and Intermittency, With Applications From Rainfall to Humidity. Water Resour. Res. 2020, 56. [Google Scholar] [CrossRef]
- Serinaldi, F.; Kilsby, C.G. Unsurprising Surprises: The Frequency of Record-breaking and Overthreshold Hydrological Extremes Under Spatial and Temporal Dependence. Water Resour. Res. 2018, 54, 6460–6487. [Google Scholar] [CrossRef]
- Cario, M.C.; Nelson, B.L. Modeling and Generating Random Vectors with Arbitrary Marginal Distributions and Correlation Matrix; Technical Report; Department of Industrial Engineering and Management Sciences, Northwestern University: Evanston, IL, USA, 1997. [Google Scholar]
- Cario, M.C.; Nelson, B.L. Autoregressive to anything: Time-series input processes for simulation. Oper. Res. Lett. 1996, 19, 51–58. [Google Scholar] [CrossRef]
- Tsoukalas, I.; Efstratiadis, A.; Makropoulos, C. Stochastic simulation of periodic processes with arbitrary marginal distributions. In Proceedings of the 15th International Conference on Environmental Science and Technology. CEST 2017, Rhodes, Greece, 31 August–2 September 2017. [Google Scholar]
- Tsoukalas, I.; Makropoulos, C.; Koutsoyiannis, D. Simulation of Stochastic Processes Exhibiting Any-Range Dependence and Arbitrary Marginal Distributions. Water Resour. Res. 2018, 54, 9484–9513. [Google Scholar] [CrossRef]
- Tsoukalas, I. Modelling and Simulation of Non-Gaussian Stochastic Processes for Optimization of Water-Systems under Uncertainty. Ph.D. Thesis, National Technical University of Athens, Athens, Greece, 20 December 2018. [Google Scholar]
- Biller, B.; Nelson, B.L. Modeling and generating multivariate time-series input processes using a vector autoregressive technique. ACM Trans. Model. Comput. Simul. 2003, 13, 211–237. [Google Scholar] [CrossRef]
- Yamazaki, F.; Shinozuka, M. Digital generation of non-Gaussian stochastic fields. J. Eng. Mech. 1988, 114, 1183–1197. [Google Scholar] [CrossRef]
- Li, S.T.; Hammond, J.L. Generation of Pseudorandom Numbers with Specified Univariate Distributions and Correlation Coefficients. IEEE Trans. Syst. Man. Cybern. 1975, SMC-5, 557–561. [Google Scholar] [CrossRef]
- van der Geest, P.A.G. An algorithm to generate samples of multi-variate distributions with correlated marginals. Comput. Stat. Data Anal. 1998, 27, 271–289. [Google Scholar] [CrossRef]
- Emrich, L.J.; Piedmonte, M.R. A Method for Generating High-Dimensional Multivariate Binary Variates. Am. Stat. 1991, 45, 302–304. [Google Scholar]
- Gujar, U.; Kavanagh, R. Generation of random signals with specified probability density functions and power density spectra. IEEE Trans. Automat. Contr. 1968, 13, 716–719. [Google Scholar] [CrossRef]
- Klemeš, V.; Borůvka, L. Simulation of Gamma-Distributed First-Order Markov Chain. Water Resour. Res. 1974, 10, 87–91. [Google Scholar] [CrossRef]
- Harms, A.A.; Campbell, T.H. An extension to the Thomas-Fiering Model for the sequential generation of streamflow. Water Resour. Res. 1967, 3, 653–661. [Google Scholar] [CrossRef]
- Koutsoyiannis, D. Coupling stochastic models of different timescales. Water Resour. Res. 2001, 37, 379–391. [Google Scholar] [CrossRef]
- Vanmarcke, E. Random Fields; USA MIT Press: Cambridge, MA, USA, 1983; p. 372. ISBN 0-262-72045-0. [Google Scholar]
- Vanmarcke, E. Random fields: analysis and synthesis; World Scientific: Singapore, 2010; ISBN 9812563539. [Google Scholar]
- Rosenblatt, M. Stationary Sequences and Random Fields; Springer Science & Business Media: Berlin, Germany, 2012; ISBN 1461251567. [Google Scholar]
- Gioffrè, M.; Gusella, V.; Grigoriu, M. Simulation of non-Gaussian field applied to wind pressure fluctuations. Probabilistic Eng. Mech. 2000, 15, 339–345. [Google Scholar] [CrossRef]
- Kossieris, P. Multi-Scale Stochastic Analysis and Modelling of Residential Water Demand Processes. Ph.D. Thesis, National Technical University of Athens, Athens, Grace, 2020. [Google Scholar]
- Embrechts, P.; McNeil, A.J.; Straumann, D. Correlation and Dependence in Risk Management: Properties and Pitfalls. In Risk Management; Dempster, M.A.H., Ed.; Cambridge University Press: Cambridge, MA, USA, 1999; pp. 176–223. ISBN 9780521169639. [Google Scholar]
- Fréchet, M. Sur les tableaux de corrélation dont les marges sont données. Ann. Univ. Lyon, 3^ e Ser. Sci. Sect. A 1951, 14, 53–77. [Google Scholar]
- Whitt, W. Bivariate Distributions with Given Marginals. Ann. Stat. 1976, 4, 1280–1289. [Google Scholar] [CrossRef]
- Hoeffding, W. Scale—invariant correlation theory. In The collected works of Wassily Hoeffding; Fisher, N.I., Sen, P.K., Eds.; Springer: New York, NY, USA, 1994; pp. 57–107. ISBN 978-1-4612-0865-5. [Google Scholar]
- Armstrong, M. Positive definiteness is not enough. Math. Geol. 1992, 24, 135–143. [Google Scholar] [CrossRef]
- Pires, C.A.; Perdigão, R.A.P. Non-Gaussianity and Asymmetry of the Winter Monthly Precipitation Estimation from the NAO. Mon. Weather Rev. 2007, 135, 430–448. [Google Scholar] [CrossRef]
- Pires, C.A.L.; Perdigão, R.A.P. Minimum Mutual Information and Non-Gaussianity Through the Maximum Entropy Method: Theory and Properties. Entropy 2012, 14, 1103–1126. [Google Scholar] [CrossRef]
- Chen, H. Initialization for NORTA: Generation of Random Vectors with Specified Marginals and Correlations. INFORMS J. Comput. 2001, 13, 312–331. [Google Scholar] [CrossRef]
- Xiao, Q. Evaluating correlation coefficient for Nataf transformation. Probabilistic Eng. Mech. 2014, 37, 1–6. [Google Scholar] [CrossRef]
- Baum, R. The correlation function of smoothly limited Gaussian noise. IEEE Trans. Inf. Theory 1957, 3, 193–197. [Google Scholar] [CrossRef]
- Mostafa, M.D.; Mahmoud, M.W. On the problem of estimation for the bivariate lognormal distribution. Biometrika 1964, 51, 522–527. [Google Scholar] [CrossRef]
- Mejía, J.M.; Rodríguez-Iturbe, I. Correlation links between normal and log normal processes. Water Resour. Res. 1974, 10, 689–690. [Google Scholar] [CrossRef]
- Esscher, F. On a method of determining correlation from the ranks of the variates. Scand. Actuar. J. 1924, 1924, 201–219. [Google Scholar] [CrossRef]
- Kruskal, W.H. Ordinal measures of association. J. Am. Stat. Assoc. 1958, 53, 814–861. [Google Scholar] [CrossRef]
- Salas, J.D. Analysis and modeling of hydrologic time series. In Handbook of hydrology; Maidment, D.R., Ed.; Mc-Graw-Hill, Inc.: London, UK, 1993; p. Ch. 19.1-19.72. ISBN 0070397325. [Google Scholar]
- Eriksson, M.; Siska, P.P. Understanding anisotropy computations. Math. Geol. 2000. [Google Scholar] [CrossRef]
- Allard, D.; Senoussi, R.; Porcu, E. Anisotropy Models for Spatial Data. Math. Geosci. 2016, 48, 305–328. [Google Scholar] [CrossRef]
- Zhu, H.; Zhang, L.M. Characterizing geotechnical anisotropic spatial variations using random field theory. Can. Geotech. J. 2013, 50, 723–734. [Google Scholar] [CrossRef]
- Klemeš, V. Applied stochastic theory of storage in evolution. In Advances in hydroscience; Elsevier: Amsterdam, The Netherlands, 1981; Volume 12, pp. 79–141. ISBN 0065-2768. [Google Scholar]
- Tsoukalas, I.; Kossieris, P.; Efstratiadis, A.; Makropoulos, C.; Koutsoyiannis, D. CastaliaR: An R package for multivariate stochastic simulation at multiple temporal scales. In Proceedings of the European Geosciences Union General Assembly 2018, Geophysical Research Abstracts, Vol. 20, Vienna, Austria, 8–13 April 2018. EGU2018-18433. [Google Scholar]
- Kossieris, P.; Makropoulos, C.; Onof, C.; Koutsoyiannis, D. A rainfall disaggregation scheme for sub-hourly time scales: Coupling a Bartlett-Lewis based model with adjusting procedures. J. Hydrol. 2016, 556, 980–992. [Google Scholar] [CrossRef]
- Bárdossy, A.; Pegram, G. Copula based multisite model for daily precipitation simulation. Hydrol. Earth Syst. Sci. Discuss. 2009, 6, 4485–4534. [Google Scholar] [CrossRef]
- Serinaldi, F. A multisite daily rainfall generator driven by bivariate copula-based mixed distributions. J. Geophys. Res. 2009, 114, D10103. [Google Scholar] [CrossRef]
- Williams, P. Modelling seasonality and trends in daily rainfall data. Adv. Neural Inf. Process. Syst. 1998, 10, 985–991. [Google Scholar]
- Cannon, A.J. Probabilistic Multisite Precipitation Downscaling by an Expanded Bernoulli–Gamma Density Network. J. Hydrometeorol. 2008, 9, 1284–1300. [Google Scholar] [CrossRef]
- Bárdossy, A.; Pegram, G.G.S. Space-time conditional disaggregation of precipitation at high resolution via simulation. Water Resour. Res. 2016, 52, 920–937. [Google Scholar] [CrossRef]
- Kedem, B.; Chiu, L.S.; North, G.R. Estimation of mean rain rate: Application to satellite observations. J. Geophys. Res. 1990, 95, 1965. [Google Scholar] [CrossRef]
- Aitchison, J. On the Distribution of a Positive Random Variable Having a Discrete Probability Mass at the Origin. J. Am. Stat. Assoc. 1955, 50, 901–908. [Google Scholar]
- Koutsoyiannis, D.; Montanari, A. Statistical analysis of hydroclimatic time series: Uncertainty and insights. Water Resour. Res. 2007, 43, 1–9. [Google Scholar] [CrossRef]
- Hurst, H.E. Long-term storage capacity of reservoirs. Trans. Amer. Soc. Civ. Eng. 1951, 116, 770–808. [Google Scholar]
- O’Connell, P.E.; Koutsoyiannis, D.; Lins, H.F.; Markonis, Y.; Montanari, A.; Cohn, T. The scientific legacy of Harold Edwin Hurst (1880–1978). Hydrol. Sci. J. 2016, 61, 1571–1590. [Google Scholar] [CrossRef]
- Molz, F.J.; Liu, H.H.; Szulga, J. Fractional Brownian motion and fractional Gaussian noise in subsurface hydrology: A review, presentation of fundamental properties, and extensions. Water Resour. Res. 1997, 33, 2273–2286. [Google Scholar] [CrossRef]
- Mandelbrot, B.B.; Wallis, J.R. Noah, Joseph, and Operational Hydrology. Water Resour. Res. 1968, 4, 909–918. [Google Scholar] [CrossRef]
- Koutsoyiannis, D. The Hurst phenomenon and fractional Gaussian noise made easy. Hydrol. Sci. J. 2002, 47, 573–595. [Google Scholar] [CrossRef]
- Beran, J.; Feng, Y.; Ghosh, S.; Kulik, R. Long-Memory Processes; Springer: Berlin/Heidelberg, Germany, 2013; ISBN 978-3-642-35511-0. [Google Scholar]
- Beran, J. Statistics for long-memory processes; CRC press: Boca Raton, FL, USA, 1994; Volume 61, ISBN 0412049015. [Google Scholar]
- MacKay, D.J.C. Introduction to Gaussian processes. NATO ASI Ser. F Comput. Syst. Sci. 1998, 168, 133–166. [Google Scholar]
- Chilès, J.-P.; Delfiner, P. Geostatistics: Modeling Spatial Uncertainty; Jhon Wiley Sons Inc.: New York, NY, USA, 1999; Volume 695. [Google Scholar]
- Gneiting, T.; Genton, M.G.; Guttorp, P. Geostatistical space-time models, stationarity, separability, and full symmetry. Monogr. Stat. Appl. Probab. 2006, 107, 151. [Google Scholar]
- Genton, M.G.; Kleiber, W. Cross-Covariance Functions for Multivariate Geostatistics. Stat. Sci. 2015, 30, 147–163. [Google Scholar] [CrossRef]
- Gneiting, T.; Kleiber, W.; Schlather, M. Matérn Cross-Covariance Functions for Multivariate Random Fields. J. Am. Stat. Assoc. 2010, 105, 1167–1177. [Google Scholar] [CrossRef]
- Genton, M.G. Separable approximations of space-time covariance matrices. Environmetrics 2007, 18, 681–695. [Google Scholar] [CrossRef]
- Rodríguez-Iturbe, I.; Mejía, J.M. The design of rainfall networks in time and space. Water Resour. Res. 1974, 10, 713–728. [Google Scholar] [CrossRef]
- Mardia, K.V.; Goodall, C.R. Spatial-temporal analysis of multivariate environmental monitoring data. Multivar. Environ. Stat. 1993, 6, 347–385. [Google Scholar]
- Sklar, A. Random variables, joint distribution functions, and copulas. Kybernetika 1973, 9, 449–460. [Google Scholar]
- Nelsen, R.B. An introduction to copulas; Springer Science & Business Media: Berlin, Germany, 2007; ISBN 0387286780. [Google Scholar]
- Koutsoyiannis, D. Generic and parsimonious stochastic modelling for hydrology and beyond. Hydrol. Sci. J. 2016, 61, 225–244. [Google Scholar] [CrossRef]
- Wickham, H. ggplot2: Elegant Graphics for Data Analysis; Statistics and Computing; Springer: New York, NY, USA, 2016. [Google Scholar]
- Elsayed, H.; Djordjevic, S.; Savic, D.; Tsoukalas, I.; Christos, M. The Nile Water-Food-Energy Nexus under Uncertainty: Impacts of the Grand Ethiopian Renaissance Dam. J. Water Resour. Plan. Manag. 2020, in press. [Google Scholar]
- Burr, I.W. Cumulative Frequency Functions. Ann. Math. Stat. 1942, 13, 215–232. [Google Scholar] [CrossRef]
- Tadikamalla, P.R. A look at the Burr and related distributions. Int. Stat. Rev. Int. Stat. 1980, 337–344. [Google Scholar] [CrossRef]
- Hipel, K.W.; McLeod, A.I. Time series modelling of water resources and environmental systems; Elsevier: Amsterdam, The Netherlands, 1994; Volume 45, ISBN 0080870368. [Google Scholar]
- Higham, N.J. Computing the nearest correlation matrix--a problem from finance. IMA J. Numer. Anal. 2002, 22, 329–343. [Google Scholar] [CrossRef]
- Matalas, N.C.; Wallis, J.R. Generation of synthetic flow sequences, Systems Approach to Water Management; Biswas, A.K., Ed.; McGraw-Hill: New York, NY, USA, 1976. [Google Scholar]
- Stacy, E.W. A Generalization of the Gamma Distribution. Ann. Math. Stat. 1962, 33, 1187–1192. [Google Scholar] [CrossRef]














| Section | Simulation Example | Marginal Distribution | Correlation Structure | anySim Functions |
|---|---|---|---|---|
| 5.1 | Simulation of correlated RVs | Gamma, Beta, Log-Normal | Predefined correlation matrix | EstCorrRVs SimCorrRVs |
| 5.2 | Simulation of univariate stationary processes | Gamma | Product of CAS and periodic ACS | EstARTAp SimARTAp |
| Beta-Binomial | CAS ACS | |||
| Zero-inflated Burr Type-XII 1 | CAS ACS | |||
| 5.3 | Simulation of univariate cyclostationary (12 seasons) process 2 | Generalized Gamma, Burr Type-XII | Periodic autoregressive of order 1 | EstSPARTA SimSPARTA |
| 5.4 | Simulation of multivariate stationary process | Beta, Zero-inflated Generalized Gamma, Normal | CAS ACS | EstSMARTA SimSMARTA |
| 5.5 | Simulation of spatiotemporal RF 3 | Zero-inflated Burr Type-XII | Separable (product of two CAS) | EstSMARTA_RFs SimSMARTA |
| 5.6 | Disaggregation of a given coarser-level univariate timeseries to a lower level sequence, assuming stationarity 4 | Lower time scale: Zero-inflated Burr Type-XII | Lower time scale: CAS ACS | Lower time scale: EstARTAp Disagg_ARTAp |
| 5.7 | Multi-scale simulation of univariate timeseries via disaggregation 5: A two-level scheme, assuming stationarity in the coarser time scale and cyclostationarity in the lower time scale | Coarse time scale: Gamma Lower time scale: Generalized Gamma, Burr Type-XII | Coarser time scale: CAS ACS Lower time scale: Periodic autoregressive of order 1 | Coarser time scale: EstARTAp SimARTAp Lower time scale: EstSPARTA Disagg_SPARTA |
© 2020 by the authors. Licensee MDPI, Basel, Switzerland. This article is an open access article distributed under the terms and conditions of the Creative Commons Attribution (CC BY) license (http://creativecommons.org/licenses/by/4.0/).
Share and Cite
Tsoukalas, I.; Kossieris, P.; Makropoulos, C. Simulation of Non-Gaussian Correlated Random Variables, Stochastic Processes and Random Fields: Introducing the anySim R-Package for Environmental Applications and Beyond. Water 2020, 12, 1645. https://doi.org/10.3390/w12061645
Tsoukalas I, Kossieris P, Makropoulos C. Simulation of Non-Gaussian Correlated Random Variables, Stochastic Processes and Random Fields: Introducing the anySim R-Package for Environmental Applications and Beyond. Water. 2020; 12(6):1645. https://doi.org/10.3390/w12061645
Chicago/Turabian StyleTsoukalas, Ioannis, Panagiotis Kossieris, and Christos Makropoulos. 2020. "Simulation of Non-Gaussian Correlated Random Variables, Stochastic Processes and Random Fields: Introducing the anySim R-Package for Environmental Applications and Beyond" Water 12, no. 6: 1645. https://doi.org/10.3390/w12061645
APA StyleTsoukalas, I., Kossieris, P., & Makropoulos, C. (2020). Simulation of Non-Gaussian Correlated Random Variables, Stochastic Processes and Random Fields: Introducing the anySim R-Package for Environmental Applications and Beyond. Water, 12(6), 1645. https://doi.org/10.3390/w12061645

