A Cusp Catastrophe Model for Alluvial Channel Pattern and Stability
Abstract
1. Introduction
2. The Cusp Catastrophe Model for Channel Regime
2.1. The Cusp Catastrophe Model
2.2. Determination of the Control Parameters and the State Parameter
2.3. The Cusp Catastrophe Model for Alluvial Channel Regime
2.4. The Cusp Catastrophe Model for the Channel Pattern Classification
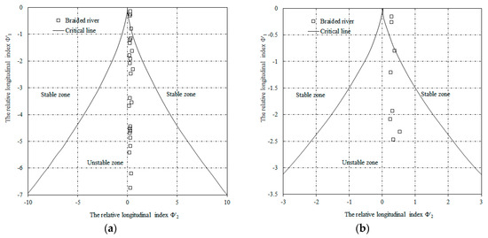
3. The Discriminant Function for the Alluvial Channel Stability
3.1. Establishment of the Discriminant Function
3.2. Verification of the Discriminant Function
4. Application to the Upstream of the Yangtze River, China
4.1. The Temporal Changes of the Channel Pattern
4.2. The Temporal Changes of the River Status
5. Conclusions
Author Contributions
Funding
Acknowledgments
Conflicts of Interest
References
- Hossein, A.; Mohammad, A.; Singh, V.P. Hydraulic Geometry Relations for Stable Channel Design. J. Hydrol. Eng. 2010, 15, 859–864. [Google Scholar]
 - Van der Berg, J.H. Prediction of alluvial channel pattern of perennial rivers. Geomorphology 1995, 12, 259–279. [Google Scholar] [CrossRef]
 - Millar, R. Theoretical regime equations for mobile gravel-bed rivers with stable banks. Geomorphology 2005, 64, 207–220. [Google Scholar] [CrossRef]
 - Farias, H.D.; Pilan, M.T.; Mattar, M.T.; Pece, F.J. Regime width of alluvial channels: Conciliation of several approaches. In Proceedings of the ICHE Conference, Cottbus, Germany, 1998. [Google Scholar]
 - Singh, V.P.; Yang, C.T.; Deng, Z.Q. Downstream hydraulic geometry relations: 1. Theoretical development. Water Resour. Res. 2003, 39, 2145–2161. [Google Scholar]
 - Bizzi, S.; Lerner, D.N. The Use of Stream Power as an Indicator of Channel Sensitivity to Erosion and Deposition Processes. River Res. Appl. 2013, 31, 16–27. [Google Scholar] [CrossRef]
 - Mao, L.L.; Chen, Y.M. Entropy-Based approach of hydraulic geometry of navigable canals. J. Hydrol. Eng. 2018, 23, 04018047. [Google Scholar] [CrossRef]
 - Song, X.L.; Zhong, D.Y.; Wang, G.Q. A study of the stochastic evolution of hydraulic geometry relationships. River Res. Appl. 2019, 33, 867–880. [Google Scholar] [CrossRef]
 - Alabyan, A.M.; Chalov, R.S. Types of river channel patterns and their natural controls. Earth Surf. Process. Landf. 1998, 23, 467–474. [Google Scholar] [CrossRef]
 - Nelson, A.; Dubé, K. Channel response to an extreme flood and sediment pulse in a mixed bedrock and gravel-bed river. Earth Surf. Process. Landf. 2015, 41, 178–195. [Google Scholar] [CrossRef]
 - Montgomery, D.R.; Buffington, J.M. Channel-reach morphology in mountain drainage basins. GSA Bull. 1997, 109, 596–611. [Google Scholar] [CrossRef]
 - Brierley, G.J.; Fryirs, K.A. River Styles, a geomorphic approach to catchment characterization: Implications for river rehabilitation in the Bega catchment, New South Wales, Australia. Environ. Manag. 2000, 25, 661–679. [Google Scholar] [CrossRef]
 - Gurnell, A.M.; Rinaldi, M.; Belletti, B.; Bizzi, S.; Blameur, B.; Braca, G. A multi-scale hierarchical framework for developing understanding of river behaviour to support river management. Aquat. Sci. 2016, 78, 1–16. [Google Scholar] [CrossRef]
 - Fryirs, K. River sensitivity: A lost foundation concept in fluvial geomorphology. Earth Surf. Process. Landf. 2017, 42, 55–70. [Google Scholar] [CrossRef]
 - Beechie, T.; Imaki, H. Predicting natural channel patterns based on landscape and geomorphic controls in the Columbia River basin, USA. Water Resour. Res. 2013, 44, 1390–1406. [Google Scholar]
 - Nicholas, A.P. Modelling the continuum of river channel patterns. Earth Surf. Process. Landf. 2013, 38, 1187–1196. [Google Scholar] [CrossRef]
 - Thom, R.; Fowler, D.H. Structural Stability and Morphogenesis; An Outline of a General Theory of Models; Translated from the French Ed., updated by the author, by D. H. Fowler. With a foreword by C. H.; Waddington, Reading, Mass.; W.A. Benjamin: Los Angeles, CA, USA, 1975. [Google Scholar]
 - Henley, S. Catastrophe theory models in geology. Math. Geol. 1976, 8, 649–655. [Google Scholar] [CrossRef]
 - Stewart, I.; Peregoy, P.L. Catastrophe Theory Modeling in Psychology. Psychol. Bull. 1983, 94, 336–362. [Google Scholar] [CrossRef]
 - Dennis Wesselbaum. Catastrophe theory and the financial crisis. Scott. J. Polit. Econ. 2017, 64, 376–391. [Google Scholar] [CrossRef]
 - Seo, S.N. Natural and Man-Made Catastrophes-Theories, Economics, and Policy Designs; John Wiley & Sons: Hoboken, NJ, USA, 2018. [Google Scholar]
 - Merli, M.; Pavese, A. Electron-density critical points analysis and catastrophe theory to forecast structure instability in periodic solids. Acta Crystallogr. Sect. A 2018, 74, 102–111. [Google Scholar] [CrossRef]
 - Thornes, J.B. Structural instability and ephemeral channel behavior. Z. Geomorphol. Suppl. Band 1980, 36, 233–244. [Google Scholar]
 - Richards, K.S. Rivers: Form and Process in Alluvial Channels; Methuen: London, UK, 1982. [Google Scholar]
 - Graf, W.L. Applications of catastrophe theory in fluvial geomorphology. In Modeling Geomorphologic Systems; John Wiley and Sons: New York, NY, USA, 1988; pp. 33–47. [Google Scholar]
 - Arnold, V.I. Dynamical Systems V: Bifurcation Theory and Catastrophe Theory; Springer-Verlag: Berlin/Heidelberg, Germany, 1994. [Google Scholar]
 - Kinghton, D. Fluvial Forms and Processes; John Wiley and Sons, Inc.: New York, NY, USA, 1984. [Google Scholar]
 - Bolla, M.; Pittaluga, R.; Luchi, G.S. On the equilibrium profile of river beds. J. Geophys. Res. Earth Surf. 2013, 119, 317–332. [Google Scholar] [CrossRef]
 - Kristin, B.; Steven, R.; Abt, K.W.; Swingle, D.A. Critical Shields values in coarse-bedded steep streams. Water Resour. Res. 2013, 49, 7427–7447. [Google Scholar]
 - Kaless, G.; Mao, L.; Lenzi, M.A. Regime theories in gravel-bed rivers: Models, controlling variables, and applications in disturbed Italian rivers. Hydrol. Process. 2013, 28, 2348–2360. [Google Scholar] [CrossRef]
 - Church, M.; Ferguson, R.I. Morphodynamics: Rivers beyond steady state. Water Resour. Res. 2015, 51, 1883–1897. [Google Scholar] [CrossRef]
 - Monegaglia, F.; Tubino, M. The Hydraulic Geometry of Evolving Meandering Rivers. J. Geophys. Res. Earth Surf. 2019, 124, 2723–2748. [Google Scholar] [CrossRef]
 - Andrews, E.D. Bed-material entrainment and hydraulic geometry of gravel-bed rivers in Colorado. Bull. Geol. Sot. Am. 1984, 95, 371–378. [Google Scholar] [CrossRef]
 - Church, M. Catalogue of Alluvial River Channel Regime Data; Department of Geography, University. of British Columbia: Vancouver, CA, USA, 1983. [Google Scholar]
 - Hey, R.D.; Thome, C.R. Stable channels with mobile gravel beds. J. Hydraul. Eng. 1986, 112, 671–689. [Google Scholar] [CrossRef]
 - Kellerhals, R.; Neill, C.R.; Bray, D.I. Hydraulic and geomorphic characteristics of rivers in Alberta. Alberta Coop. Res. Progr. Highw. River Eng. 1972, 52, 10003501080. [Google Scholar]
 - Lambeek, J.J.P. Haalbaarheidsstudie Grensmaas; Report 41437; Delft Hydraulics: Emmeloord, The Netherlands, 1994. [Google Scholar]
 - McCarthy, T.S.; Stanistreet, I.G.; Caimcross, B. The sedimentary dynamics of active fluvial channels on the Okavango fan, Botswana. Sedimentology 1991, 38, 471–487. [Google Scholar] [CrossRef]
 - Monsalve, G.C.; Silva, E.F. Characteristics of a natural meandering river in Colombia: Sinu River. In River Meandering; ASCE: Reston, VA, USA, 1983; pp. 77–88. [Google Scholar]
 - Morton, R.A.; Donaldson, A.C. The Guadelupe River and delta of Texas—A modem analogue for some ancient fluvial-deltaic systems. In Fluvial Sedimentology; Miall, A.D., Ed.; Cambridge University Press: England, UK, 1978; Volume 5, pp. 773–788. [Google Scholar]
 - Taylor, G.; Woodyer, K.D. Bank deposition in suspended load streams. In Fluvial Sedimentology; Miall, A.D., Ed.; Cambridge University Press: England, UK, 1978; Volume 5, pp. 257–275. [Google Scholar]
 - Mosley, M.P. Semi-deterministic hydraulic geometry of river channel, South Island, New Zealand. Earth Surf. Process. Landf. 1981, 6, 127–137. [Google Scholar] [CrossRef]
 - Williams, G.P. Bankfull discharge of rivers. Water Resour. Res. 1978, 14, 1141–1154. [Google Scholar] [CrossRef]
 - Williams, G.P. River meanders and channel size. J. Hydrol. 1986, 88, 147–164. [Google Scholar] [CrossRef]
 - Wang, S.; Ni, J. Straight river: Its formation and specialty. J. Geogr. Sci. 2002, 12, 72–80. [Google Scholar]
 - Hong-Wu, Z.; En-Hui, J.; Yong-Mei, B. The Scale Laws of Model Similarity of Hyper Concentrated Flow; He Nan Science and Technology Press: Zheng Zhou, China, 1994. [Google Scholar]
 - Tadaki, M.; Brierley, G.; Cullum, C. River classification: Theory, practice, politics. Wires Water 2014, 1, 349–367. [Google Scholar] [CrossRef]
 - Rust, B.R. A Classification of alluvial channel systems. In Fluvial Sedimentology Memoir No. 5; Miall, A.D., Ed.; Canadian Society Petroleum geologists: Calgary, AL, USA, 1978; pp. 187–198. [Google Scholar]
 - Singh, V.P. On the theories of hydraulic geometry. Int. J. Sediment Res. 2003, 18, 196–218. [Google Scholar]
 - Carson, M.A. Observations on the meandering-braided river transition the Canterbury Plains, New Zealand. N. Z. Geogr. 1984, 40, 89–99. [Google Scholar] [CrossRef]
 - Millar, R.G. Influence of bank vegetation on alluvial channel patterns. Water Resour. Res. 2000, 36, 1109–1118. [Google Scholar] [CrossRef]
 - Davidson, S.K.; Hey, R.D. Regime equations for natural meandering cobble and gravel bed rivers. J. Hydraul. Eng. 2011, 137, 894–910. [Google Scholar] [CrossRef]
 - Child Welfare Resource Center. Hydrological Data of Changjiang River Basin. Annual Hydrological Report of PR China; Chang-Jiang Water Resources Commission: Beijing, China, 2019; pp. 1980–2018. [Google Scholar]
 - Child Welfare Resource Center; Bulletin of Changjiang sediment Chang-Jiang Press: Wuhan, China, 1980–2018.
 - Sediment-Panel. In Study on Sediment Problems in the Three Gorges Project on the Yangtze River; Construction Committee for the Three Gorges Project; State Council of China: Beijing, China, 2019.
 - Munoz, S.E.; Giosan, L.; Therrell, M.D.; Remo, J.W.; Shen, Z.; Sullivan, R.M.; Wiman, C.; O’Donnell, M.; Donnelly, J.P. Climatic control of Mississippi River flood hazard amplified by river engineering. Nature 2018, 556, 95–98. [Google Scholar] [CrossRef]
 


















| Data Source | No | Width (m)  | Discharge (m3/s)  | D50 (mm)  | Slope 1000)  | Depth (m)  | Sinuosity (-)  | 
|---|---|---|---|---|---|---|---|
| 1.Andrews [33] | 18 | 5.21–83.8 | 2.21–255 | 23–122 | 1.74–22.23 | 0.29–1.85 | 1.07–1.98 | 
| 2.Church and Rood [34] | 17 | 5–104 | 2.7–354 | 33–89 | 0.97–13.7 | 0.65–3.06 | 1.0–1.65 | 
| 3.Hey and Thorne [35] | 18 | 6.5–76.5 | 3.9–424 | 13.9–83.8 | 2.108–11.4 | 0.68–3.21 | 1.33–2.5 | 
| 4.Kellerhals et al. [36] | 24 | 18–442 | 7.93–2606 | 0.2–145 | 0.12–16.5 | 0.58–7.2 | 1.01–2.2 | 
| 5.Lambeek [37] | 4 | 111–450 | 1841–5320 | 12–73 | 0.22–1.6 | 3.8–10 | 1.1–1.7 | 
| 6.McCarthy et al. [38] | 1 | 137 | 630 | 0.35 | 0.4 | 4.1 | 1.86 | 
| 7.Monsalve and Silva [39] | 3 | 140–160 | 830–1200 | 0.4–6.2 | 0.24–0.8 | 3–5 | 1.2–2.5 | 
| 8.Morton and Donaldson [40] | 2 | 57–122 | 70–389 | 0.3–0.45 | 0.74–1.01 | 7–7.6 | 1.37–2.24 | 
| 9. Taylor and Woodyer [41] | 1 | 40 | 210 | 0.15 | 0.05 | 5.0 | 2.3 | 
| 10. Mosley [42] | 66 | 4.2–1753 | 1.73–3112 | 1.0–189 | 0.62–28.3 | 0.33–2.96 | 1.0–1.77 | 
| 11. Williams [43,44] | 4 | 13.7–57.9 | 12.2–365.3 | 2.7–42 | 1.52–6.9 | 0.7–3.38 | 1.32–1.93 | 
| River Reach | Width (M)  | Slope 1000)  | Depth (M)  | Width to Depth Ratio (-) | Control Parameters | |
|---|---|---|---|---|---|---|
| ϕ1 | ϕ2 | |||||
  | 1753 | 4.04 | 0.84 | 2086 | 3.69 | 3.50 | 
  | 124 | 3.41 | 1.86 | 66.7 | 1.34 | 4.26 | 
  | 1156 | 4.9 | 0.78 | 1482 | 3.4 | 3.90 | 
  | 390 | 5.9 | 0.67 | 573.5 | 2.8 | 3.50 | 
  | 109 | 6.9 | 0.84 | 129.7 | 1.71 | 3.55 | 
| River Section | Φ1 ′ | Φ2 ′ | Δ | 
|---|---|---|---|
| Selwyn River | −0.75 | 0.24 | −1.8 | 
| Buller River | 0.48 | 0.64 | 10.33 | 
| River Section | Φ1 ’ | Φ2 ’ | Δ | 
|---|---|---|---|
| Teviot at Hawick | 0.081652675 | 0.421672464 | 2.077705394 | 
| Exe at Stoodleigh | −0.146498713 | 0.479981148 | 3.157327172 | 
| Usk at Llandetty | 0.306517002 | 0.531238705 | 4.799550439 | 
| North Tyne at Tarset | 0.171287961 | 0.486915852 | 3.351635451 | 
| Tweed at Peebles | −0.025386507 | 0.565425868 | 4.885953245 | 
| Yscir at Pontaryscir | 0.185434467 | 0.480383884 | 3.268241467 | 
| Sprint at Sprint Mill | −0.151169956 | 0.353716859 | 1.377717415 | 
| Yarrow Water at Philiphaugh | −0.211474561 | 0.359206172 | 1.609168992 | 
| Alwin at Clennel | −1.279978326 | 0.254689138 | 13.55281793 | 
| Coquet at Bygate | −1.953615324 | 0.3461899 | 31.65313202 | 
| Snaizeholme Beck | −0.633915741 | 0.425806949 | 5.299293804 | 
| Rede at Rede’s Bridge | −0.924715868 | 0.427212477 | 8.946006101 | 
| Glaslyn at Beddlegert u/s | −0.037797355 | 0.37255358 | 1.407572393 | 
| Glaslyn at Beddlegert d/s | −0.893945136 | 0.37186106 | 7.78147533 | 
| Tarsetburn at Greenhaugh | 0.150349187 | 0.478402527 | 3.137109449 | 
| Fowey at Restormel | −0.076519308 | 0.535205284 | 4.186122941 | 
| Hodder at Hodderplace | −0.045766839 | 0.480741662 | 3.016603416 | 
| Esk at Cropple How d/s | −0.109785644 | 0.486580798 | 3.206912053 | 
| Erme at Ermington | 0.200651184 | 0.269685306 | 0.85167211 | 
| Otter at Dotton | −0.022693634 | 0.42746865 | 2.113119973 | 
| Dyfyrdwy at New Inn | 0.123405107 | 0.484106991 | 3.185118538 | 
| Alwen at Druid | −0.189059856 | 0.427541334 | 2.396024985 | 
| Lugg at Byton u/s | −0.36688634 | 0.41404418 | 2.993322602 | 
| Lugg at Byton d/s | −0.048668144 | 0.418682887 | 2.000564222 | 
| Manifold at Hulme End | −0.803954047 | 0.373945434 | 6.582586586 | 
| Glendaramackin at Threlkeld | 0.302536456 | 0.376950845 | 2.178391725 | 
| Tweed at Lyneford | −0.068990566 | 0.530561351 | 4.070542484 | 
© 2020 by the authors. Licensee MDPI, Basel, Switzerland. This article is an open access article distributed under the terms and conditions of the Creative Commons Attribution (CC BY) license (http://creativecommons.org/licenses/by/4.0/).
Share and Cite
Xiao, Y.; Yang, S.; Li, M. A Cusp Catastrophe Model for Alluvial Channel Pattern and Stability. Water 2020, 12, 780. https://doi.org/10.3390/w12030780
Xiao Y, Yang S, Li M. A Cusp Catastrophe Model for Alluvial Channel Pattern and Stability. Water. 2020; 12(3):780. https://doi.org/10.3390/w12030780
Chicago/Turabian StyleXiao, Yi, Shengfa Yang, and Mi Li. 2020. "A Cusp Catastrophe Model for Alluvial Channel Pattern and Stability" Water 12, no. 3: 780. https://doi.org/10.3390/w12030780
APA StyleXiao, Y., Yang, S., & Li, M. (2020). A Cusp Catastrophe Model for Alluvial Channel Pattern and Stability. Water, 12(3), 780. https://doi.org/10.3390/w12030780
        