How Do Eutrophication and Temperature Interact to Shape the Community Structures of Phytoplankton and Fish in Lakes?
Abstract
1. Introduction
2. Materials and Methods
2.1. Biological Data
2.2. Biological Characterization
2.3. Environmental Data
2.4. Data Analysis
3. Results
3.1. Environment and Pressures
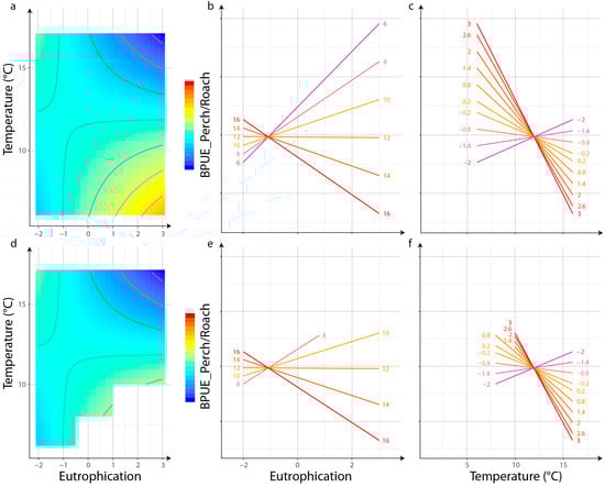
3.2. Pressure Effects
3.3. Interaction of Pressures
4. Discussion
Supplementary Materials
Author Contributions
Funding
Acknowledgments
Conflicts of Interest
References
- Dudgeon, D.; Arthington, A.H.; Gessner, M.O.; Kawabata, Z.-I.; Knowler, D.J.; Lévêque, C.; Naiman, R.J.; Prieur-Richard, A.-H.; Soto, D.; Stiassny, M.L.J.; et al. Freshwater biodiversity: Importance, threats, status and conservation challenges. Biol. Rev. 2006, 81, 163. [Google Scholar] [CrossRef]
- Lundberg, J.G.; Kottelat, M.; Smith, G.R.; Stiassny, M.L.J.; Gill, A.C. So Many Fishes, So Little Time: An Overview of Recent Ichthyological Discovery in Continental Waters. Ann. Mo. Bot. Gard. 2000, 87, 26. [Google Scholar] [CrossRef]
- Sala, O.E. Global Biodiversity Scenarios for the Year 2100. Science 2000, 287, 1770–1774. [Google Scholar] [CrossRef]
- Hering, D.; Carvalho, L.; Argillier, C.; Beklioglu, M.; Borja, A.; Cardoso, A.C.; Duel, H.; Ferreira, T.; Globevnik, L.; Hanganu, J.; et al. Managing aquatic ecosystems and water resources under multiple stress —An introduction to the MARS project. Sci. Total Environ. 2015, 503–504, 10–21. [Google Scholar] [CrossRef]
- Jackson, M.C.; Woodford, D.J.; Weyl, O.L.F. Linking key environmental stressors with the delivery of provisioning ecosystem services in the freshwaters of southern Africa: Environmental stress and ecosystem services. Geo Geogr. Environ. 2016, 3, e00026. [Google Scholar] [CrossRef]
- Ormerod, S.J.; Dobson, M.; Hildrew, A.G.; Townsend, C.R. Multiple stressors in freshwater ecosystems. Freshw. Biol. 2010, 55, 1–4. [Google Scholar] [CrossRef]
- Schinegger, R.; Palt, M.; Segurado, P.; Schmutz, S. Untangling the effects of multiple human stressors and their impacts on fish assemblages in European running waters. Sci. Total Environ. 2016, 573, 1079–1088. [Google Scholar] [CrossRef] [PubMed]
- Wagner, T.; Erickson, L.E. Sustainable Management of Eutrophic Lakes and Reservoirs. J. Environ. Prot. 2017, 8, 436–463. [Google Scholar] [CrossRef]
- Côté, I.M.; Darling, E.S.; Brown, C.J. Interactions among ecosystem stressors and their importance in conservation. Proc. R. Soc. B Biol. Sci. 2016, 283, 20152592. [Google Scholar] [CrossRef] [PubMed]
- Nõges, P.; Argillier, C.; Borja, Á.; Garmendia, J.M.; Hanganu, J.; Kodeš, V.; Pletterbauer, F.; Sagouis, A.; Birk, S. Quantified biotic and abiotic responses to multiple stress in freshwater, marine and ground waters. Sci. Total Environ. 2016, 540, 43–52. [Google Scholar] [CrossRef]
- Poikane, S.; Ritterbusch, D.; Argillier, C.; Białokoz, W.; Blabolil, P.; Breine, J.; Jaarsma, N.G.; Krause, T.; Kubečka, J.; Lauridsen, T.L.; et al. Response of fish communities to multiple pressures: Development of a total anthropogenic pressure intensity index. Sci. Total Environ. 2017, 586, 502–511. [Google Scholar] [CrossRef] [PubMed]
- Kristensen, P.; Whalley, C.; Zal, F.; Christiansen, T.; Schmedtje, U.; Solheim, A.; Austnes, K.; Kampa, E.; Rouillard, J.; Prchalova, H.; et al. 2018 EEA European Waters Assessment; European Waters Assessment; Office for Official Publications of the European Union: Copenhagen, Denmark, 2018; Volume 7. [Google Scholar]
- Kristensen, P.; Vanneuville, W. Climate Change, Impacts and Vulnerability in Europe 2012: An Indicator-Based Report Section 3.3: Freshwater Quantity and Quality; European Waters Assessment; Office for Official Publications of the European Union: Luxembourg, 2012; Volume 12, pp. 119–127. [Google Scholar]
- Chen, X.; Yang, X.; Dong, X.; Liu, E. Environmental changes in Chaohu Lake (southeast, China) since the mid 20th century: The interactive impacts of nutrients, hydrology and climate. Limnologica 2013, 43, 10–17. [Google Scholar] [CrossRef]
- Salmaso, N. Interactions between nutrient availability and climatic fluctuations as determinants of the long-term phytoplankton community changes in Lake Garda, Northern Italy. Hydrobiologia 2011, 660, 59–68. [Google Scholar] [CrossRef]
- Scheffer, M.; van Nes, E.H. Shallow lakes theory revisited: Various alternative regimes driven by climate, nutrients, depth and lake size. Hydrobiologia 2007, 584, 455–466. [Google Scholar] [CrossRef]
- Shurin, J.B.; Winder, M.; Adrian, R.; Keller, W.; Matthews, B.; Paterson, A.M.; Paterson, M.J.; Pinel-Alloul, B.; Rusak, J.A.; Yan, N.D. Environmental stability and lake zooplankton diversity—Contrasting effects of chemical and thermal variability. Ecol. Lett. 2010, 13, 453–463. [Google Scholar] [CrossRef]
- Kosten, S.; Huszar, V.L.M.; Bécares, E.; Costa, L.S.; Donk, E.; Hansson, L.-A.; Jeppesen, E.; Kruk, C.; Lacerot, G.; Mazzeo, N.; et al. Warmer climates boost cyanobacterial dominance in shallow lakes. Glob. Chang. Biol. 2012, 18, 118–126. [Google Scholar] [CrossRef]
- Richardson, J.; Miller, C.; Maberly, S.C.; Taylor, P.; Globevnik, L.; Hunter, P.; Jeppesen, E.; Mischke, U.; Moe, S.J.; Pasztaleniec, A.; et al. Effects of multiple stressors on cyanobacteria abundance vary with lake type. Glob. Chang. Biol. 2018, 24, 5044–5055. [Google Scholar] [CrossRef]
- Jeppesen, E.; Mehner, T.; Winfield, I.J.; Kangur, K.; Sarvala, J.; Gerdeaux, D.; Rask, M.; Malmquist, H.J.; Holmgren, K.; Volta, P.; et al. Impacts of climate warming on the long-term dynamics of key fish species in 24 European lakes. Hydrobiologia 2012, 694, 1–39. [Google Scholar] [CrossRef]
- Crain, C.M.; Kroeker, K.; Halpern, B.S. Interactive and cumulative effects of multiple human stressors in marine systems. Ecol. Lett. 2008, 11, 1304–1315. [Google Scholar] [CrossRef]
- Piggott, J.J.; Townsend, C.R.; Matthaei, C.D. Reconceptualizing synergism and antagonism among multiple stressors. Ecol. Evol. 2015, 5, 1538–1547. [Google Scholar] [CrossRef] [PubMed]
- Folt, C.L.; Chen, C.Y.; Moore, M.V.; Burnaford, J. Synergism and antagonism among multiple stressors. Limnol. Oceanogr. 1999, 44, 864–877. [Google Scholar] [CrossRef]
- Rigosi, A.; Carey, C.C.; Ibelings, B.W.; Brookes, J.D. The interaction between climate warming and eutrophication to promote cyanobacteria is dependent on trophic state and varies among taxa. Limnol. Oceanogr. 2014, 59, 99–114. [Google Scholar] [CrossRef]
- Matthaei, C.D.; Piggott, J.J.; Townsend, C.R. Multiple stressors in agricultural streams: Interactions among sediment addition, nutrient enrichment and water abstraction: Sediment, nutrients & water abstraction. J. Appl. Ecol. 2010, 47, 639–649. [Google Scholar]
- Piggott, J.J.; Lange, K.; Townsend, C.R.; Matthaei, C.D. Multiple Stressors in Agricultural Streams: A Mesocosm Study of Interactions among Raised Water Temperature, Sediment Addition and Nutrient Enrichment. PLoS ONE 2012, 7, e49873. [Google Scholar] [CrossRef] [PubMed]
- Townsend, C.R.; Uhlmann, S.S.; Matthaei, C.D. Individual and combined responses of stream ecosystems to multiple stressors. J. Appl. Ecol. 2008, 45, 1810–1819. [Google Scholar] [CrossRef]
- Miguet, P.; Logez, M.; Argillier, C. Incertitudes Liées aux Interactions de Pressions. Effet des Interactions Entre les Pressions sur les Métriques Constitutives des Indicateurs IIL et IIR—Rapport AQUAREF. Personal Communication; Irstea: Aix-en-provence, France, 2018. [Google Scholar]
- Paine, R.T.; Tegner, M.J.; Johnson, E.A. Compounded Perturbations Yield Ecological Surprises. Ecosystems 1998, 1, 535–545. [Google Scholar] [CrossRef]
- Villar-Argaiz, M.; Medina-Sánchez, J.M.; Biddanda, B.A.; Carrillo, P. Predominant Non-additive Effects of Multiple Stressors on Autotroph C:N:P Ratios Propagate in Freshwater and Marine Food Webs. Front. Microbiol. 2018, 9, 69. [Google Scholar] [CrossRef]
- Lange, K.; Townsend, C.R.; Matthaei, C.D. Inconsistent Relationships of Primary Consumer N Stable Isotope Values to Gradients of Sheep/Beef Farming Intensity and Flow Reduction in Streams. Water 2019, 11, 2239. [Google Scholar] [CrossRef]
- Walters, A.W.; Bartz, K.K.; Mcclure, M.M. Interactive Effects of Water Diversion and Climate Change for Juvenile Chinook Salmon in the Lemhi River Basin (U.S.A.): Water Diversion and Climate Change. Conserv. Biol. 2013, 27, 1179–1189. [Google Scholar] [CrossRef]
- Wenger, S.J.; Isaak, D.J.; Luce, C.H.; Neville, H.M.; Fausch, K.D.; Dunham, J.B.; Dauwalter, D.C.; Young, M.K.; Elsner, M.M.; Rieman, B.E.; et al. Flow regime, temperature, and biotic interactions drive differential declines of trout species under climate change. Proc. Natl. Acad. Sci. USA 2011, 108, 14175–14180. [Google Scholar] [CrossRef]
- Winder, M.; Reuter, J.E.; Schladow, S.G. Lake warming favours small-sized planktonic diatom species. Proc. R. Soc. B Biol. Sci. 2009, 276, 427–435. [Google Scholar] [CrossRef]
- Jeppesen, E.; Sondergaard, M.; Jensen, J.P.; Havens, K.E.; Anneville, O.; Carvalho, L.; Coveney, M.F.; Deneke, R.; Dokulil, M.T.; Foy, B.; et al. Lake responses to reduced nutrient loading—An analysis of contemporary long-term data from 35 case studies. Freshw. Biol. 2005, 50, 1747–1771. [Google Scholar] [CrossRef]
- Jeppesen, E.; Peder Jensen, J.; SØndergaard, M.; Lauridsen, T.; Landkildehus, F. Trophic structure, species richness and biodiversity in Danish lakes: Changes along a phosphorus gradient: A detailed study of Danish lakes along a phosphorus gradient. Freshw. Biol. 2000, 45, 201–218. [Google Scholar] [CrossRef]
- Kratina, P.; Greig, H.S.; Thompson, P.L.; Carvalho-Pereira, T.S.A.; Shurin, J.B. Warming modifies trophic cascades and eutrophication in experimental freshwater communities. Ecology 2012, 93, 1421–1430. [Google Scholar] [CrossRef] [PubMed]
- Bucak, T.; Saraoğlu, E.; Levi, E.E.; Nihan Tavşanoğlu, Ü.; İdİl Çakiroğlu, A.; Jeppesen, E.; Beklioğlu, M. The influence of water level on macrophyte growth and trophic interactions in eutrophic Mediterranean shallow lakes: A mesocosm experiment with and without fish: Effects of water level in warm shallow lakes. Freshw. Biol. 2012, 57, 1631–1642. [Google Scholar] [CrossRef]
- Downing, J.A.; Plante, C.; Lalonde, S. Fish Production Correlated with Primary Productivity, not the Morphoedaphic Index. Can. J. Fish. Aquat. Sci. 1990, 47, 1929–1936. [Google Scholar] [CrossRef]
- Kronvang, B.; Jeppesen, E.; Conley, D.J.; Søndergaard, M.; Larsen, S.E.; Ovesen, N.B.; Carstensen, J. Nutrient pressures and ecological responses to nutrient loading reductions in Danish streams, lakes and coastal waters. J. Hydrol. 2005, 304, 274–288. [Google Scholar] [CrossRef]
- Meerhoff, M.; Teixeira-de Mello, F.; Kruk, C.; Alonso, C.; González-Bergonzoni, I.; Pacheco, J.P.; Lacerot, G.; Arim, M.; Beklioğlu, M.; Brucet, S.; et al. Environmental Warming in Shallow Lakes. In Advances in Ecological Research; Elsevier: London, UK, 2012; Volume 46, pp. 259–349. [Google Scholar]
- Moss, B.; Stephen, D.; Balayla, D.M.; Becares, E.; Collings, S.E.; Fernandez-Alaez, C.; Fernandez-Alaez, M.; Ferriol, C.; Garcia, P.; Goma, J.; et al. Continental-scale patterns of nutrient and fish effects on shallow lakes: Synthesis of a pan-European mesocosm experiment. Freshw. Biol. 2004, 49, 1633–1649. [Google Scholar] [CrossRef]
- Persson, L.; Diehl, S.; Johansson, L.; Andersson, G.; Hamrin, S.F. Shifts in fish communities along the productivity gradient of temperate lakes-patterns and the importance of size-structured interactions. J. Fish Biol. 1991, 38, 281–293. [Google Scholar] [CrossRef]
- European Committee for Standardization (CEN). Water Quality—Guidance on the Scope and Selection of Fish Sampling Methods (English Version EN 14757:2015); European Committee for Standardization; BSI Standards: Brussels, Belgium, 2015. [Google Scholar]
- Prchalová, M.; Mrkvička, T.; Kubečka, J.; Peterka, J.; Čech, M.; Muška, M.; Kratochvíl, M.; Vašek, M. Fish activity as determined by gillnet catch: A comparison of two reservoirs of different turbidity. Fish. Res. 2010, 102, 291–296. [Google Scholar] [CrossRef]
- Šmejkal, M.; Ricard, D.; Prchalová, M.; Říha, M.; Muška, M.; Blabolil, P.; Čech, M.; Vašek, M.; Jůza, T.; Monteoliva Herreras, A.; et al. Biomass and Abundance Biases in European Standard Gillnet Sampling. PLoS ONE 2015, 10, e0122437. [Google Scholar] [CrossRef] [PubMed]
- Laplace-Treyture, C.; Rimet, F.; Anneville, O.; Druart, J.-C.; Barbe, J.; Dutartre, A. Protocole Standardisé D’échantillonnage, de Conservation, D’observation et de Dénombrement du Phytoplancton en Plan D’eau Pour la Mise en Œuvre de la DCE: Version 3.3.1. Personal Communication; Cemagref: Cestas, France, 2009; p. 44. [Google Scholar]
- CEN-EN 15204. Water Quality. Guidance Standard on the Enumeration of Phytoplankton Using Inverted Microscopy (Utermöhl Technique); AFNOR Normalisation: La plaine Saint-Denis, France, 2006; p. 39. [Google Scholar]
- Derot, J.; Jamoneau, A.; Teichert, N.; Rosebery, J.; Morin, S.; Laplace-Treyture, C. Response of phytoplankton traits to environmental variables in French lakes: New perspectives for bioindication. Ecol. Indic. 2020, 108, 105659. [Google Scholar] [CrossRef]
- Laplace-Treyture, C.; Hadoux, E.; Plaire, M.; Dubertrand, A.; Esmieu, P. PHYTOBS v3.0: Outil de Comptage du Phytoplancton en Laboratoire et de Calcul de l’IPLAC. Version 3.0. Application JAVA. Personal Communication; Irstea: Cestas, France, 2017. [Google Scholar]
- Laplace-Treyture, C.; Feret, T. Performance of the Phytoplankton Index for Lakes (IPLAC): A multimetric phytoplankton index to assess the ecological status of water bodies in France. Ecol. Indic. 2016, 69, 686–698. [Google Scholar] [CrossRef]
- CEN-EN 90-117. Water Quality—Determination of Chlorophyll a and of a Pheopigments Index. Molecular Absorption Spectrometric Method; AFNOR Normalisation: Paris, France, 1999; p. 11. [Google Scholar]
- Bergström, L.; Karlsson, M.; Bergström, U.; Pihl, L.; Kraufvelin, P. Relative impacts of fishing and eutrophication on coastal fish assessed by comparing a no-take area with an environmental gradient. Ambio 2019, 48, 565–579. [Google Scholar] [CrossRef]
- Van Dorst, R.M.; Gårdmark, A.; Svanbäck, R.; Beier, U.; Weyhenmeyer, G.A.; Huss, M. Warmer and browner waters decrease fish biomass production. Glob. Chang. Biol. 2019, 25, 1395–1408. [Google Scholar] [CrossRef]
- Deceliere-Vergès, C.; Argillier, C.; Lanoiselée, C.; De Bortoli, J.; Guillard, J. Stability and precision of the fish metrics obtained using CEN multi-mesh gillnets in natural and artificial lakes in France. Fish. Res. 2009, 99, 17–25. [Google Scholar] [CrossRef]
- Irz, P.; Odion, M.; Argillier, C.; Pont, D. Comparison between the fish communities of lakes, reservoirs and rivers: Can natural systems help define the ecological potential of reservoirs? Aquat. Sci. 2006, 68, 109–116. [Google Scholar] [CrossRef]
- Daufresne, M.; Lengfellner, K.; Sommer, U. Global warming benefits the small in aquatic ecosystems. Proc. Natl. Acad. Sci. USA 2009, 106, 12788–12793. [Google Scholar] [CrossRef]
- Ohlberger, J. Climate warming and ectotherm body size—From individual physiology to community ecology. Funct. Ecol. 2013, 27, 991–1001. [Google Scholar] [CrossRef]
- White, E.P.; Ernest, S.K.M.; Kerkhoff, A.J.; Enquist, B.J. Relationships between body size and abundance in ecology. Trends Ecol. Evol. 2007, 22, 323–330. [Google Scholar] [CrossRef]
- Guiet, J.; Poggiale, J.-C.; Maury, O. Modelling the community size-spectrum: Recent developments and new directions. Ecol. Model. 2016, 337, 4–14. [Google Scholar] [CrossRef]
- Bartosiewicz, M.; Przytulska, A.; Deshpande, B.N.; Antoniades, D.; Cortes, A.; MacIntyre, S.; Lehmann, M.F.; Laurion, I. Effects of climate change and episodic heat events on cyanobacteria in a eutrophic polymictic lake. Sci. Total Environ. 2019, 693, 133414. [Google Scholar] [CrossRef] [PubMed]
- Korkonen, S.; Weckström, J.; Korhola, A. Biogeography and ecology of freshwater chrysophyte cysts in Finland. Hydrobiologia 2019, 847, 497–499. [Google Scholar] [CrossRef]
- Moss, B.; Kosten, S.; Meerhoff, M.; Battarbee, R.W.; Jeppesen, E.; Mazzeo, N.; Havens, K.; Lacerot, G.; Liu, Z.; De Meester, L.; et al. Allied attack: Climate change and eutrophication. Inland Waters 2011, 1, 101–105. [Google Scholar] [CrossRef]
- Ignatiades, L. Redefinition of cell size classification of phytoplankton—A potential tool for improving the quality and assurance of data interpretation. Mediterr. Mar. Sci. 2015, 17, 56. [Google Scholar] [CrossRef]
- Kruk, C.; Huszar, V.L.M.; Peeters, E.T.H.M.; Bonilla, S.; Costa, L.; LüRling, M.; Reynolds, C.S.; Scheffer, M. A morphological classification capturing functional variation in phytoplankton. Freshw. Biol. 2010, 55, 614–627. [Google Scholar] [CrossRef]
- Stephen, D.; Balayla, D.M.; Becares, E.; Collings, S.E.; Fernandez-Alaez, C.; Fernandez-Alaez, M.; Ferriol, C.; Garcia, P.; Goma, J.; Gyllstrom, M.; et al. Continental-scale patterns of nutrient and fish effects on shallow lakes: Introduction to a pan-European mesocosm experiment. Freshw. Biol. 2004, 49, 1517–1524. [Google Scholar] [CrossRef]
- Irz, P.; Michonneau, F.; Oberdorff, T.; Whittier, T.R.; Lamouroux, N.; Mouillot, D.; Argillier, C. Fish community comparisons along environmental gradients in lakes of France and north-east USA. Glob. Ecol. Biogeogr. 2007, 16, 350–366. [Google Scholar] [CrossRef]
- Mehner, T.; Holmgren, K.; Lauridsen, T.L.; Jeppesen, E.; Diekmann, M. Lake depth and geographical position modify lake fish assemblages of the European ‘Central Plains’ ecoregion. Freshw. Biol. 2007, 52, 2285–2297. [Google Scholar] [CrossRef]
- Danis, P.-A.; Ferrer, R.; Gevrey, M.; Argillier, C. Seuils des Paramètres Physicochimiques Soutenant la Biologie—Plans d’eau Naturels—Rapport D’avancement. Personal Communication; Irstea: Aix-en-Provence, France, 2012. [Google Scholar]
- FAO. CEMAGREF. In Crues et Apports: Manuel Pour L’estimation des Crues Décennales et des Apports Annuels Pour les Petits Bassins Versants non Jaugés de L’AFRIQUE Sahélienne et Tropicale Sèche; Food and Agriculture Organization of the United Nations: Rome, Italy, 1996; pp. 61–77. [Google Scholar]
- Livingstone, D.M.; Lotter, A.F. The relationship between air and water temperatures in lakes of the Swiss Plateau. J. Paleolimnol. 1998, 19, 181–198. [Google Scholar] [CrossRef]
- Prats, J.; Danis, P.-A. An epilimnion and hypolimnion temperature model based on air temperature and lake characteristics. Knowl. Manag. Aquat. Ecosyst. 2019, 8. [Google Scholar] [CrossRef]
- Quintana-Seguí, P.; Le Moigne, P.; Durand, Y.; Martin, E.; Habets, F.; Baillon, M.; Canellas, C.; Franchisteguy, L.; Morel, S. Analysis of Near-Surface Atmospheric Variables: Validation of the SAFRAN Analysis over France. J. Appl. Meteorol. Climatol. 2008, 47, 92–107. [Google Scholar] [CrossRef]
- Vidal, J.-P.; Martin, E.; Franchistéguy, L.; Baillon, M.; Soubeyroux, J.-M. A 50-year high-resolution atmospheric reanalysis over France with the Safran system. Int. J. Climatol. 2010, 30, 1627–1644. [Google Scholar] [CrossRef]
- Vollenweider, R.A. Global problems of eutrophication and its control. Symp. Biol. Hung 1989, 38, 19–41. [Google Scholar]
- European Union—SOeS Corine Land Cover. Available online: https://www.statistiques.developpement-durable.gouv.fr/corine-land-cover-0 (accessed on 2 December 2019).
- Launois, L.; Veslot, J.; Irz, P.; Argillier, C. Selecting fish-based metrics responding to human pressures in French natural lakes and reservoirs: Towards the development of a fish-based index (FBI) for French lakes: Response of fish-based metrics to human pressures in French lakes. Ecol. Freshw. Fish 2011, 20, 120–132. [Google Scholar] [CrossRef]
- Logez, M.; Pont, D.; Ferreira, M.T. Do Iberian and European fish faunas exhibit convergent functional structure along environmental gradients? J. N. Am. Benthol. Soc. 2010, 29, 1310–1323. [Google Scholar] [CrossRef]
- Fox, J. Effect Displays in R for Generalised Linear Models. J. Stat. Softw. 2003, 8, 27. [Google Scholar] [CrossRef]
- Elser, J.J.; Bracken, M.E.S.; Cleland, E.E.; Gruner, D.S.; Harpole, W.S.; Hillebrand, H.; Ngai, J.T.; Seabloom, E.W.; Shurin, J.B.; Smith, J.E. Global analysis of nitrogen and phosphorus limitation of primary producers in freshwater, marine and terrestrial ecosystems. Ecol. Lett. 2007, 10, 1135–1142. [Google Scholar] [CrossRef]
- Rader, R.B.; Richardson, C.J. The effects of nutrient enrichment on algae and macroinvertebrates in the everglades: A review. Wetlands 1992, 12, 121–135. [Google Scholar] [CrossRef]
- Smith, V.H.; Tilman, G.D.; Nekola, J.C. Eutrophication: Impacts of excess nutrient inputs on freshwater, marine, and terrestrial ecosystems. Environ. Pollut. 1999, 100, 179–196. [Google Scholar] [CrossRef]
- Anderson, D.M.; Glibert, P.M.; Burkholder, J.M. Harmful algal blooms and eutrophication: Nutrient sources, composition, and consequences. Estuaries 2002, 25, 704–726. [Google Scholar] [CrossRef]
- Jeppesen, E.; Kronvang, B.; Meerhoff, M.; Søndergaard, M.; Hansen, K.M.; Andersen, H.E.; Lauridsen, T.L.; Liboriussen, L.; Beklioglu, M.; Özen, A.; et al. Climate Change Effects on Runoff, Catchment Phosphorus Loading and Lake Ecological State, and Potential Adaptations. J. Environ. Qual. 2009, 38, 1930. [Google Scholar] [CrossRef] [PubMed]
- Moss, B.; Mckee, D.; Atkinson, D.; Collings, S.E.; Eaton, J.W.; Gill, A.B.; Harvey, I.; Hatton, K.; Heyes, T.; Wilson, D. How important is climate? Effects of warming, nutrient addition and fish on phytoplankton in shallow lake microcosms: Climate change and phytoplankton. J. Appl. Ecol. 2003, 40, 782–792. [Google Scholar] [CrossRef]
- Pörtner, H.-O.; Roberts, D.C.; Masson-Delmotte, V.; Zhai, P.; Tignor, M.; Poloczanska, E.; Mintenbeck, K.; Alegría, A.; Nicolai, M.; Okem, A.; et al. IPCC Special Report on the Ocean and Cryosphere in a Changing Climate; IPCC: Geneva, Switzerland, 2019. [Google Scholar]
- Keller, W. Implications of climate warming for Boreal Shield lakes: A review and synthesis. Environ. Rev. 2007, 15, 99–112. [Google Scholar] [CrossRef]
- Binzer, A.; Guill, C.; Rall, B.C.; Brose, U. Interactive effects of warming, eutrophication and size structure: Impacts on biodiversity and food-web structure. Glob. Chang. Biol. 2016, 22, 220–227. [Google Scholar] [CrossRef]
- Downing, J.A.; Plante, C. Production of Fish Populations in Lakes. Can. J. Fish. Aquat. Sci. 1993, 50, 110–120. [Google Scholar] [CrossRef]
- Atkinson, D. Temperature and Organism Size—A Biological Law for Ectotherms. In Advances in Ecological Research; Elsevier: London, UK, 1994; Volume 25, pp. 1–58. [Google Scholar]
- Sentis, A.; Binzer, A.; Boukal, D.S. Temperature-size responses alter food chain persistence across environmental gradients. Ecol. Lett. 2017, 20, 852–862. [Google Scholar] [CrossRef]
- Dodson, S.I.; Arnott, S.E.; Cottingham, K.L. The Relationship in Lake Communities between Primary Productivity and Species Richness. Ecology 2000, 81, 19. [Google Scholar] [CrossRef]
- Bosse, K.R.; Sayers, M.J.; Shuchman, R.A.; Fahnenstiel, G.L.; Ruberg, S.A.; Fanslow, D.L.; Stuart, D.G.; Johengen, T.H.; Burtner, A.M. Spatial-temporal variability of in situ cyanobacteria vertical structure in Western Lake Erie: Implications for remote sensing observations. J. Gt. Lakes Res. 2019, 45, 480–489. [Google Scholar] [CrossRef]
- Dalu, T.; Wasserman, R.J. Cyanobacteria dynamics in a small tropical reservoir: Understanding spatio-temporal variability and influence of environmental variables. Sci. Total Environ. 2018, 643, 835–841. [Google Scholar] [CrossRef]
- Emmrich, M.; Pédron, S.; Brucet, S.; Winfield, I.J.; Jeppesen, E.; Volta, P.; Argillier, C.; Lauridsen, T.L.; Holmgren, K.; Hesthagen, T.; et al. Geographical patterns in the body-size structure of European lake fish assemblages along abiotic and biotic gradients. J. Biogeogr. 2014, 41, 2221–2233. [Google Scholar] [CrossRef]
- Pickering, A.D. Growth and stress in fish production. Aquaculture 1993, 111, 51–63. [Google Scholar] [CrossRef]
- O’Gorman, E.J.; Ólafsson, Ó.P.; Demars, B.O.L.; Friberg, N.; Guðbergsson, G.; Hannesdóttir, E.R.; Jackson, M.C.; Johansson, L.S.; McLaughlin, Ó.B.; Ólafsson, J.S.; et al. Temperature effects on fish production across a natural thermal gradient. Glob. Chang. Biol. 2016, 22, 3206–3220. [Google Scholar] [CrossRef] [PubMed]
- Logez, M.; Pont, D. Global warming and potential shift in reference conditions: The case of functional fish-based metrics. Hydrobiologia 2013, 704, 417–436. [Google Scholar] [CrossRef]
- Mondy, C.P.; Villeneuve, B.; Archaimbault, V.; Usseglio-Polatera, P. A new macroinvertebrate-based multimetric index (I2M2) to evaluate ecological quality of French wadeable streams fulfilling the WFD demands: A taxonomical and trait approach. Ecol. Indic. 2012, 18, 452–467. [Google Scholar] [CrossRef]
- Argillier, C.; Caussé, S.; Gevrey, M.; Pédron, S.; De Bortoli, J.; Brucet, S.; Emmrich, M.; Jeppesen, E.; Lauridsen, T.; Mehner, T.; et al. Development of a fish-based index to assess the eutrophication status of European lakes. Hydrobiologia 2013, 704, 193–211. [Google Scholar] [CrossRef]
- Blabolil, P.; Logez, M.; Ricard, D.; Prchalová, M.; Říha, M.; Sagouis, A.; Peterka, J.; Kubečka, J.; Argillier, C. An assessment of the ecological potential of Central and Western European reservoirs based on fish communities. Fish. Res. 2016, 173, 80–87. [Google Scholar] [CrossRef]
- Teichert, N.; Lepage, M.; Sagouis, A.; Borja, A.; Chust, G.; Ferreira, M.T.; Pasquaud, S.; Schinegger, R.; Segurado, P.; Argillier, C. Functional redundancy and sensitivity of fish assemblages in European rivers, lakes and estuarine ecosystems. Sci. Rep. 2017, 7, 17611. [Google Scholar] [CrossRef]
- Turner, B.L.; Kasperson, R.E.; Matson, P.A.; McCarthy, J.J.; Corell, R.W.; Christensen, L.; Eckley, N.; Kasperson, J.X.; Luers, A.; Martello, M.L.; et al. A framework for vulnerability analysis in sustainability science. Proc. Natl. Acad. Sci. USA 2003, 100, 8074–8079. [Google Scholar] [CrossRef]
- Parravicini, V.; Villéger, S.; McClanahan, T.R.; Arias-González, J.E.; Bellwood, D.R.; Belmaker, J.; Chabanet, P.; Floeter, S.R.; Friedlander, A.M.; Guilhaumon, F.; et al. Global mismatch between species richness and vulnerability of reef fish assemblages. Ecol. Lett. 2014, 17, 1101–1110. [Google Scholar] [CrossRef]
- Teichert, N.; Argillier, C.; Lepage, M.; Segouis, A.; Schinegger, R.; Palt, M.; Schmutz, S.; Segurado, P.; Ferreira, M.T.; Chust, G.; et al. Deliverable D5.1-5: Reports on Stressor Classification and Effects at the European Scale: New Functional Diversity Indices Allowing Assessing Vulnerability in Abiotic Multi-Stressor Context; MARS Project, Department of Aquatic Ecology/Faculty of Biology, Centre for Water and Environmental Research (ZWU): Duisburg-Essen, Germany, 2016; pp. 515–543. [Google Scholar]
- Allan, J.D.; McIntyre, P.B.; Smith, S.D.P.; Halpern, B.S.; Boyer, G.L.; Buchsbaum, A.; Burton, G.A.; Campbell, L.M.; Chadderton, W.L.; Ciborowski, J.J.H.; et al. Joint analysis of stressors and ecosystem services to enhance restoration effectiveness. Proc. Natl. Acad. Sci. USA 2013, 110, 372–377. [Google Scholar] [CrossRef] [PubMed]
- Brown, C.J.; Saunders, M.I.; Possingham, H.P.; Richardson, A.J. Managing for Interactions between Local and Global Stressors of Ecosystems. PLoS ONE 2013, 8, e65765. [Google Scholar] [CrossRef] [PubMed]



| Environmental Variable | Minimum–Maximum | Mean (SD) |
|---|---|---|
| Altitude (m) | 0–2061 | 404.8 (382.4) |
| Perimeter (m) | 1.5 × 103–1.9 × 105 | 1.7 × 104 (2.1 × 104) |
| Depth (m) | 0.3–154.2 | 12.7 (16.6) |
| Area (km2) | 0.1–577.1 | 6.1 (40.9) |
| Volume (m3) | 1.3 × 105–8.9 × 1010 | 5 × 108 (6.2 × 109) |
| Ig (m/km) | 0.1–155.7 | 8.1 (16.8) |
| Temperature (°C) | 2.9–16.3 | 11.1 (2.2) |
| Eutrophication | −2.0–3.1 | −0.01 (1.1) |
| Environmental Variable | Temperature | Eutrophication |
|---|---|---|
| Depth (m) | −0.22 | −0.43 |
| Area (km2) | 0.14 | −0.21 |
| Volume (m3) | −0.01 | −0.37 |
| Ig | −0.39 | −0.41 |
| Temperature(°C) | − | 0.32 |
| Eutrophication | 0.32 | − |
| Metric | Model 2 vs. Model 3 | Model 1 vs. Model 2 | Selected Model | R2 |
|---|---|---|---|---|
| BPUE | F1,196 = 1.06 | F1,197 = 11.86 *** | Model 2 | 0.47 |
| CPUE | F1,196 = 0.88 | F1,197 = 10.67 *** | Model 2 | 0.32 |
| BPUE_Perch/Roach | F1,174 = 6.69 ** | F1,175 = 1.11 | Model 3 | 0.22 |
| CPUE_Perch/Roach | F1,174 = 2.58 | F1,175 = 0.70 | Model 1 | 0.15 |
| Average Perch/Roach Body-Size | F1,174 = 0.27 | F1,175 = 0.91 | − | 0 |
| Average Fish Body Size | F1,196 = 8.30 ** | F1,197 = 5.72 ** | Model 3 | 0.12 |
| CSS_Midpoint | F1,196 = 0 | F1,197 = 4.40 * | Model 2 | 0.26 |
| CSS_Slope | F1,196 = 0.35 | F1,197 = 0.02 | − | 0.04 |
| Chl-a | F1,196 = 0.19 | F1,197 = 20.32 *** | Model 2 | 0.41 |
| Cyano_Biovolume | F1,196 = 2.06 | F1,197 = 1.60 | − | 0.09 |
| Chryso_Biovolume | F1,196 = 0.28 | F1,197 = 9.90 *** | Model 2 | 0.10 |
| Phytoplankton size class | F1,196 = 0.27 | F1,197 = 4.57 * | − | 0.07 |
| Metric | Temperature | Eutrophication | Interaction |
|---|---|---|---|
| BPUE | +0.03 | +0.14 | No interaction |
| CPUE | +0.06 | +0.22 | No interaction |
| BPUE_Perch/Roach | −0.17 | +1.91 | −0.16 |
| Average Fish Body-Size | −0.43 | −50.56 | +4.04 |
| CSS_Midpoint | +0.04 | +0.13 | No interaction |
| Chl-a | +0.05 | +0.43 | No interaction |
| Chryso_Biovolume | +0.06 | −0.90 | No interaction |
© 2020 by the authors. Licensee MDPI, Basel, Switzerland. This article is an open access article distributed under the terms and conditions of the Creative Commons Attribution (CC BY) license (http://creativecommons.org/licenses/by/4.0/).
Share and Cite
Bouraï, L.; Logez, M.; Laplace-Treyture, C.; Argillier, C. How Do Eutrophication and Temperature Interact to Shape the Community Structures of Phytoplankton and Fish in Lakes? Water 2020, 12, 779. https://doi.org/10.3390/w12030779
Bouraï L, Logez M, Laplace-Treyture C, Argillier C. How Do Eutrophication and Temperature Interact to Shape the Community Structures of Phytoplankton and Fish in Lakes? Water. 2020; 12(3):779. https://doi.org/10.3390/w12030779
Chicago/Turabian StyleBouraï, Liess, Maxime Logez, Christophe Laplace-Treyture, and Christine Argillier. 2020. "How Do Eutrophication and Temperature Interact to Shape the Community Structures of Phytoplankton and Fish in Lakes?" Water 12, no. 3: 779. https://doi.org/10.3390/w12030779
APA StyleBouraï, L., Logez, M., Laplace-Treyture, C., & Argillier, C. (2020). How Do Eutrophication and Temperature Interact to Shape the Community Structures of Phytoplankton and Fish in Lakes? Water, 12(3), 779. https://doi.org/10.3390/w12030779

