Oxidation of Selected Trace Organic Compounds through the Combination of Inline Electro-Chlorination with UV Radiation (UV/ECl2) as Alternative AOP for Decentralized Drinking Water Treatment
Abstract
1. Introduction
2. Methodology
2.1. Lab Test Setting
2.2. Field Test Settings
2.3. Energy Demand and Energy Efficiency
2.4. Water Analysis
3. Results and Discussion
3.1. Lab Test
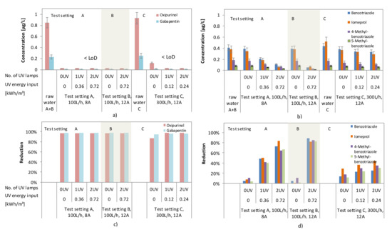
3.2. Field Tests
3.3. Behavior of DOC and Formation of Disinfection-by-Products and Metabolites (Toxicity) during Field Tests
3.4. Energy Efficiency
3.5. Operational Experience and Optimization
4. Conclusions
Author Contributions
Funding
Conflicts of Interest
Appendix A
| Field test | Literature values | |||||||||
|---|---|---|---|---|---|---|---|---|---|---|
| EEO-(ECl2) [kWh/(order·m³)] | Elimination [%] | EEO-(ECl2 + UV) [kWh/(Order·m³)] | Elimination [%] | EEO-UV/Cl2 [kWh/(Order·m³)] | ||||||
| min | max | min | max | min | max | min | max | |||
| Benzotriazole | 13.6 | 52.5 | 5% | 14% | 1.9 | 7.3 | 25% | 89% | 0.5 | [24] |
| 4-Methyl-benzotriazole | 1.3 | 23.6 | 11% | 18% | 0.6 | 1.5 | 29% | 85% | n.a. | |
| 5-Methyl-benzotriazole | 7.2 | 213.9 | 1% | 11% | 0.9 | 1.6 | 24% | 83% | n.a. | |
| Iomeprol | 16.1 | 996.2 | 0% | 29% | 1.7 | 9.3 | 37% | 83% | n.a. | |
| Gabapentin | 0.4 | ≤0.8 | 94% | ≥98% | ≤0.4 | 1.4 | ≥96% | ≥98% | n.a. | |
| Oxipurinol | ≤0.4 | ≤0.7 | 87% | ≥97% | ≤0.3 | ≤0.7 | ≥97% | ≥97% | n.a. | |
References
- Kümmerer, K. Pharmaceuticals in the Environment; Springer Berlin Heidelberg: Berlin/Heidelberg, Germany, 2008; ISBN 978-3-540-74663-8. [Google Scholar]
- Ternes, T.; Joss, A. (Eds.) Human Pharmaceuticals, Hormones and Fragrances. The Challenge of Micropollutants in Urban Water Management; IWA Publ: London, UK, 2008; ISBN 9781843390930. [Google Scholar]
- Houtman, C.J. Emerging contaminants in surface waters and their relevance for the production of drinking water in Europe. J. Integr. Environ. Sci. 2010, 7, 271–295. [Google Scholar] [CrossRef]
- Montes-Grajales, D.; Fennix-Agudelo, M.; Miranda-Castro, W. Occurrence of personal care products as emerging chemicals of concern in water resources: A review. Sci. Total Environ. 2017, 595, 601–614. [Google Scholar] [CrossRef] [PubMed]
- Mohapatra, S.; Huang, C.-H.; Mukherji, S.; Padhye, L.P. Occurrence and fate of pharmaceuticals in WWTPs in India and comparison with a similar study in the United States. Chemosphere 2016, 159, 526–535. [Google Scholar] [CrossRef] [PubMed]
- Tran, N.H.; Reinhard, M.; Gin, K.Y.-H. Occurrence and fate of emerging contaminants in municipal wastewater treatment plants from different geographical regions-a review. Water Res. 2018, 133, 182–207. [Google Scholar] [CrossRef]
- Kibuye, F.A.; Gall, H.E.; Elkin, K.R.; Ayers, B.; Veith, T.L.; Miller, M.; Jacob, S.; Hayden, K.R.; Watson, J.E.; Elliott, H.A. Fate of pharmaceuticals in a spray-irrigation system: From wastewater to groundwater. Sci. Total Environ. 2019, 654, 197–208. [Google Scholar] [CrossRef]
- Balakrishna, K.; Rath, A.; Praveenkumarreddy, Y.; Guruge, K.S.; Subedi, B. A review of the occurrence of pharmaceuticals and personal care products in Indian water bodies. Ecotoxicol. Environ. Saf. 2017, 137, 113–120. [Google Scholar] [CrossRef]
- Hellauer, K.; Mergel, D.; Ruhl, A.; Filter, J.; Hübner, U.; Jekel, M.; Drewes, J. Advancing Sequential Managed Aquifer Recharge Technology (SMART) using different intermediate oxidation processes. Water 2017, 9, 221. [Google Scholar] [CrossRef]
- Hirsch, R.; Ternes, T.; Haberer, K.; Kratz, K.-L. Occurrence of antibiotics in the aquatic environment. Sci. Total Environ. 1999, 225, 109–118. [Google Scholar] [CrossRef]
- Kolpin, D.W.; Furlong, E.T.; Meyer, M.T.; Thurman, E.M.; Zaugg, S.D.; Barber, L.B.; Buxton, H.T. Pharmaceuticals, hormones, and other organic wastewater contaminants in U.S. streams, 1999-2000: A national reconnaissance. Environ. Sci. Technol. 2002, 36, 1202–1211. [Google Scholar] [CrossRef]
- Schwab, B.W.; Hayes, E.P.; Fiori, J.M.; Mastrocco, F.J.; Roden, N.M.; Cragin, D.; Meyerhoff, R.D.; D’Aco, V.J.; Anderson, P.D. Human pharmaceuticals in US surface waters: A human health risk assessment. Regul. Toxicol. Pharmacol. 2005, 42, 296–312. [Google Scholar] [CrossRef]
- Avisar, D.; Levin, G.; Gozlan, I. The processes affecting oxytetracycline contamination of groundwater in a phreatic aquifer underlying industrial fish ponds in Israel. Environ. Earth Sci. 2009, 59, 939–945. [Google Scholar] [CrossRef]
- Ebele, A.J.; Abou-Elwafa Abdallah, M.; Harrad, S. Pharmaceuticals and personal care products (PPCPs) in the freshwater aquatic environment. Emerg. Contam. 2017, 3, 1–16. [Google Scholar] [CrossRef]
- Bolong, N.; Ismail, A.F.; Salim, M.R.; Matsuura, T. A review of the effects of emerging contaminants in wastewater and options for their removal. Desalination 2009, 239, 229–246. [Google Scholar] [CrossRef]
- Dolar, D.; Gros, M.; Rodriguez-Mozaz, S.; Moreno, J.; Comas, J.; Rodriguez-Roda, I.; Barceló, D. Removal of emerging contaminants from municipal wastewater with an integrated membrane system, MBR-RO. J. Hazard. Mater. 2012, 239–240, 64–69. [Google Scholar] [CrossRef] [PubMed]
- Snyder, S.A.; Adham, S.; Redding, A.M.; Cannon, F.S.; DeCarolis, J.; Oppenheimer, J.; Wert, E.C.; Yoon, Y. Role of membranes and activated carbon in the removal of endocrine disruptors and pharmaceuticals. Desalination 2007, 202, 156–181. [Google Scholar] [CrossRef]
- Yang, Y.; Pignatello, J.J.; Ma, J.; Mitch, W.A. Comparison of halide impacts on the efficiency of contaminant degradation by sulfate and hydroxyl radical-based advanced oxidation processes (AOPs). Environ. Sci. Technol. 2014, 48, 2344–2351. [Google Scholar] [CrossRef]
- Rosenfeldt, E.J.; Linden, K.G.; Canonica, S.; Gunten, U. von. Comparison of the efficiency of *OH radical formation during ozonation and the advanced oxidation processes O3/H2O2 and UV/H2O2. Water Res. 2006, 40, 3695–3704. [Google Scholar] [CrossRef]
- Fang, J.; Fu, Y.; Shang, C. The roles of reactive species in micropollutant degradation in the UV/free chlorine system. Environ. Sci. Technol. 2014, 48, 1859–1868. [Google Scholar] [CrossRef]
- Wang, W.-L.; Wu, Q.-Y.; Huang, N.; Wang, T.; Hu, H.-Y. Synergistic effect between UV and chlorine (UV/chlorine) on the degradation of carbamazepine: Influence factors and radical species. Water Res. 2016, 98, 190–198. [Google Scholar] [CrossRef]
- Xiang, Y.; Fang, J.; Shang, C. Kinetics and pathways of ibuprofen degradation by the UV/chlorine advanced oxidation process. Water Res. 2016, 90, 301–308. [Google Scholar] [CrossRef]
- Rott, E.; Kuch, B.; Lange, C.; Richter, P.; Kugele, A.; Minke, R. Removal of emerging contaminants and estrogenic activity from wastewater treatment plant effluent with UV/chlorine and UV/H₂O₂ advanced oxidation treatment at pilot scale. Int. J. Environ. Res. Public Health 2018, 15, 935. [Google Scholar] [CrossRef] [PubMed]
- Sichel, C.; Garcia, C.; Andre, K. Feasibility studies: UV/chlorine advanced oxidation treatment for the removal of emerging contaminants. Water Res. 2011, 45, 6371–6380. [Google Scholar] [CrossRef] [PubMed]
- Latimer, W.M. The Oxidation States of the Elements and Their Potentials in Aqueous Solutions, 2nd ed.; Prentice-Hall: New York, NY, USA, 1952. [Google Scholar]
- Watts, M.J.; Linden, K.G. Chlorine photolysis and subsequent OH radical production during UV treatment of chlorinated water. Water Res. 2007, 41, 2871–2878. [Google Scholar] [CrossRef] [PubMed]
- Baxendale, J.H.; Wilson, J.A. The photolysis of hydrogen peroxide at high light intensities. Trans. Faraday Soc. 1957, 53, 344. [Google Scholar] [CrossRef]
- Feng, Y.; Smith, D.W.; Bolton, J.R. Photolysis of aqueous free chlorine species (HOCl and OCl) with 254 nm ultraviolet light. J. Environ. Eng. Sci. 2007, 6, 277–284. [Google Scholar] [CrossRef]
- Kishimoto, N. State of the art of UV/chlorine Advanced Oxidation Processes: Their mechanism, byproducts formation, process variation, and applications. J. Wat. Environ. Tech. 2019, 17, 302–335. [Google Scholar] [CrossRef]
- Grebel, J.E.; Pignatello, J.J.; Mitch, W.A. Effect of halide ions and carbonates on organic contaminant degradation by hydroxyl radical-based advanced oxidation processes in saline waters. Environ. Sci. Technol. 2010, 44, 6822–6828. [Google Scholar] [CrossRef]
- Haaken, D.; Dittmar, T.; Schmalz, V.; Worch, E. Influence of operating conditions and wastewater-specific parameters on the electrochemical bulk disinfection of biologically treated sewage at boron-doped diamond (BDD) electrodes. Desalin. Water Treat. 2012, 46, 160–167. [Google Scholar] [CrossRef]
- Haaken, D.; Dittmar, T.; Schmalz, V.; Worch, E. Disinfection of biologically treated wastewater and prevention of biofouling by UV/electrolysis hybrid technology: Influence factors and limits for domestic wastewater reuse. Water Res. 2014, 52, 20–28. [Google Scholar] [CrossRef]
- Kraft, A. Electrochemical water disinfection: A short review. Platinum Metals Review 2008, 52, 177–185. [Google Scholar] [CrossRef]
- Kraft, A.; Stadelmann, M.; Blaschke, M.; Kreysig, D.; Sandt, B.; Schröder, F.; Rennau, J. Electrochemical water disinfection: Part I: Hypochlorite production from very dilute chloride solutions. J. Appl. Electrochem. 1999, 29, 859–866. [Google Scholar] [CrossRef]
- Buxton, G.V.; Subhani, M.S. Radiation chemistry and photochemistry of oxychlorine ions. Part 2. Photodecomposition of aqueous solutions of hypochlorite ions. J. Chem. Soc. Faraday Trans. 1972, 68, 958. [Google Scholar] [CrossRef]
- Asmus, K.D.; Moeckel, H.; Henglein, A. Pulse radiolytic study of the site of hydroxyl radical attack on aliphatic alcohols in aqueous solution. J. Phys. Chem. 1973, 77, 1218–1221. [Google Scholar] [CrossRef]
- Abdelraheem, W.H.; Nadagouda, M.N.; Dionysiou, D.D. Solar light-assisted remediation of domestic wastewater by NB-TiO2 nanoparticles for potable reuse. Applied Catalysis B Environ. 2020, 269, 118807. [Google Scholar] [CrossRef]
- LfULG, online data base iDA, Saxon State Authority for Environment, Agriculture and Geology. 2020. Available online: https://www.umwelt.sachsen.de/umwelt/infosysteme/ida/ (accessed on 5 August 2020).
- Bolton, J.R.; Bircher, K.G.; Tumas, W.; Tolman, C.A. Figures-of-merit for the technical development and application of advanced oxidation technologies for both electric- and solar-driven systems. Pure Appl. Chem. 2001, 2001, 627–637. [Google Scholar] [CrossRef]
- Bolton, J.R.; Stefan, M.I. Fundamental photochemical approach to the concepts of fluence (UV dose) and electrical energy efficiency in photochemical degradation reactions. Res. Chem. Intermed. 2002, 28, 857–870. [Google Scholar] [CrossRef]
- Monod, A.; Chebbi, A.; Durand-Jolibois, R.; Carlier, P. Oxidation of methanol by hydroxyl radicals in aqueous solution under simulated cloud droplet conditions. Atmos. Environ. 2000, 34, 5283–5294. [Google Scholar] [CrossRef]
- Nash, T. Colorimetric determination of formaldehyde under mild conditions. Nature 1952, 170, 976. [Google Scholar] [CrossRef]
- Payne, W.A.; Brunning, J.; Mitchell, M.B.; Stief, L.J. Kinetics of the reactions of atomic chlorine with methanol and the hydroxymethyl radical with molecular oxygen at 298 K. Int. J. Chem. Kinet. 1988, 20, 63–74. [Google Scholar] [CrossRef]
- Kraft, A.; Blaschke, M.; Kreysig, D.; Sandt, B.; Schröder, F.; Rennau, J. Electrochemical water disinfection. Part II: Hypochlorite production from potable water, chlorine consumption and the problem of calcareous deposits. J. Appl. Electrochem. 1999, 29, 895–902. [Google Scholar] [CrossRef]
- Jin, J.; El-Din, M.G.; Bolton, J.R. Assessment of the UV/chlorine process as an advanced oxidation process. Water Res. 2011, 45, 1890–1896. [Google Scholar] [CrossRef] [PubMed]
- Paufler, S.; Grischek, T.; Benso, M.; Seidel, N.; Fischer, T. The impact of river discharge and water temperature on manganese release from the riverbed during riverbank filtration: A case study from Dresden, Germany. Water 2018, 10, 1476. [Google Scholar] [CrossRef]
- Houk, L.L.; Johnson, S.K.; Feng, J.; Houk, R.S.; Johnson, D.C. Electrochemical incineration of benzoquinone in aqueous media using a quaternary metal oxide electrode in the absence of a soluble supporting electrolyte. J. Appl. Electrochem. 1998, 28, 1167–1177. [Google Scholar] [CrossRef]
- Johnson, S.K.; Houk, L.L.; Feng, J.; Houk, R.S.; Johnson, D.C. Electrochemical incineration of 4-chlorophenol and the identification of products and intermediates by mass spectrometry. Environ. Sci. Technol. 1999, 33, 2638–2644. [Google Scholar] [CrossRef]
- Wang, D.; Bolton, J.R.; Andrews, S.A.; Hofmann, R. Formation of disinfection by-products in the ultraviolet/chlorine advanced oxidation process. Sci. Total Environ. 2015, 518–519, 49–57. [Google Scholar] [CrossRef]
- Yang, X.; Sun, J.; Fu, W.; Shang, C.; Li, Y.; Chen, Y.; Gan, W.; Fang, J. PPCP degradation by UV/chlorine treatment and its impact on DBP formation potential in real waters. Water Res. 2016, 98, 309–318. [Google Scholar] [CrossRef]
- Bundesministerium für Justiz und Verbraucherschutz. Verordnung über die Qualität von Wasser für den menschlichen Gebrauch (Trinkwasserverordnung-TrinkwV). 2001. Gesetze im Internet. Available online: https://www.gesetze-im-internet.de/trinkwv_2001/BJNR095910001.html (accessed on 18 November 2020).
- European Commission. COUNCIL DIRECTIVE 98/83/EC of 3 November 1998 on the quality of water intended for human consumption. 1998. EUR-lex. Available online: https://eur-lex.europa.eu/legal-content/en/TXT/?uri=CELEX:52017PC0753 (accessed on 18 November 2020).
- IS 10500. Drinking Water—Specification; Indian Standard; Bureau of Indian Standards: New Delhi, India, (Second Revision); 2012; Law-resource; Available online: https://law.resource.org/pub/in/bis/S06/is.10500.2012.pdf (accessed on 18 November 2020)Law-resource.
- Guidelines for Drinking-Water Quality, 4th ed; World Health Organization: Geneva, Switzerland, Incorporating 1st Addendum; 2017; Available online: https://apps.who.int/iris/bitstream/handle/10665/44584/9789241548151_eng.pdf;jsessionid=592F2A53BA42E1A3A26CABA04706353E?sequence=1ISBN 978-9241549950.
- Otter, P.; Malakar, P.; Jana, B.; Grischek, T.; Benz, F.; Goldmaier, A.; Feistel, U.; Jana, J.; Lahiri, S.; Alvarez, J. Arsenic removal from groundwater by solar driven inline-electrolytic induced co-precipitation and filtration—A long term field test conducted in West Bengal. IJERPH 2017, 14, 1167. [Google Scholar] [CrossRef]













| Pump | ECl2 | UV | ECl2/UV | |||||||
|---|---|---|---|---|---|---|---|---|---|---|
| Test Setting | Flow Rate (L/h) | Energy Input (kWh/m3) | Linear Flow Velocity (m/h) | Current (A) | Voltage (V) | Current Density (mA/cm2) | Energy Input (kWh/m3) | No. of UV Lamps | Energy Input (kWh/m3) | Total Energy Input (kWh/m3) |
| A | 100 | 0.07 | 42 | 8 | 7.1 | 8.4 | 0.57 | 0 | 0.00 | 0.64 |
| 1 | 0.36 | 0.99 | ||||||||
| 2 | 0.72 | 1.35 | ||||||||
| B | 100 | 0.07 | 42 | 12 | 9.5 | 12.6 | 1.14 | 0 | 0.00 | 1.21 |
| 2 | 0.72 | 1.93 | ||||||||
| C | 300 | 0.20 | 126 | 12 | 11.7 | 12.6 | 0.47 | 0 | 0.00 | 0.67 |
| 1 | 0.12 | 0.79 | ||||||||
| 2 | 0.24 | 0.91 | ||||||||
| Parameter | Initial Concentrations/Values | Description |
|---|---|---|
| TOrC | 1st and 2nd trial | |
| Benzotriazole (ng/L) CAS 95-14-7 | 410 and 440 | Corrosion inhibitor |
| 4-Methylbenzotriazole (ng/L) CAS 29878-31-7 | 190 and 170 | Benzotriazole derivative used as a corrosion inhibitor |
| 5-Methylbenzotriazole (ng/L) CAS 136-85-6 | 82 and 80 | Antifreeze agent, corrosion inhibitor |
| Gabapentin (ng/L) CAS 60142-96-3 | 230 and 250 | Anticonvulsant (Antiepileptic) |
| Iomeprol (ng/L) CAS 78649-41-9 | 380 and 520 | X-ray contrast media |
| Oxipurinol (ng/L) CAS 2465-59-0 | 850 and 930 | Active metabolite of Allopurinol (uricostatic) |
| Standard water quality parameters | ||
| pH | 8.1 and 7.9 | |
| Temperature (°C) | 18 and 25 | |
| DOC (mg/L) | 5.5 and 6.7 | |
| Nitrate (mg/L NO3−) * | 13 ± 2.7 | |
| Nitrite (mg/L NO2−)* | 0.043 ± 0.02 | |
| Ammonium (mg/L NH4) * | 0.082 ± 0.07 | |
| Total Hardness (mg/L CaCO3) | 67.5 ± 3.8 | |
| Chloride (mg/L) | 22.6 ± 3.7 |
| Parameter | Germany [51] | EU [52] | India [53] | WHO [54] |
|---|---|---|---|---|
| THM (µg/L) | 10 a/50 b | 100 | - | |
| Bromoform (µg/L) | 100 | 100 | ||
| Dibromochloromethane (µg/L) | 100 | 100 | ||
| Bromodichloromethane (µg/L) | 60 | 60 | ||
| Chloroform (µg/L) | 200 | 300 |
Publisher’s Note: MDPI stays neutral with regard to jurisdictional claims in published maps and institutional affiliations. |
© 2020 by the authors. Licensee MDPI, Basel, Switzerland. This article is an open access article distributed under the terms and conditions of the Creative Commons Attribution (CC BY) license (http://creativecommons.org/licenses/by/4.0/).
Share and Cite
Otter, P.; Mette, K.; Wesch, R.; Gerhardt, T.; Krüger, F.-M.; Goldmaier, A.; Benz, F.; Malakar, P.; Grischek, T. Oxidation of Selected Trace Organic Compounds through the Combination of Inline Electro-Chlorination with UV Radiation (UV/ECl2) as Alternative AOP for Decentralized Drinking Water Treatment. Water 2020, 12, 3275. https://doi.org/10.3390/w12113275
Otter P, Mette K, Wesch R, Gerhardt T, Krüger F-M, Goldmaier A, Benz F, Malakar P, Grischek T. Oxidation of Selected Trace Organic Compounds through the Combination of Inline Electro-Chlorination with UV Radiation (UV/ECl2) as Alternative AOP for Decentralized Drinking Water Treatment. Water. 2020; 12(11):3275. https://doi.org/10.3390/w12113275
Chicago/Turabian StyleOtter, Philipp, Katharina Mette, Robert Wesch, Tobias Gerhardt, Frank-Marc Krüger, Alexander Goldmaier, Florian Benz, Pradyut Malakar, and Thomas Grischek. 2020. "Oxidation of Selected Trace Organic Compounds through the Combination of Inline Electro-Chlorination with UV Radiation (UV/ECl2) as Alternative AOP for Decentralized Drinking Water Treatment" Water 12, no. 11: 3275. https://doi.org/10.3390/w12113275
APA StyleOtter, P., Mette, K., Wesch, R., Gerhardt, T., Krüger, F.-M., Goldmaier, A., Benz, F., Malakar, P., & Grischek, T. (2020). Oxidation of Selected Trace Organic Compounds through the Combination of Inline Electro-Chlorination with UV Radiation (UV/ECl2) as Alternative AOP for Decentralized Drinking Water Treatment. Water, 12(11), 3275. https://doi.org/10.3390/w12113275

