Removal of Microcystis aeruginosa through the Combined Effect of Plasma Discharge and Hydrodynamic Cavitation
Abstract
1. Introduction
2. Materials and Methods
2.1. Hydrodynamic Cavitation Device
2.2. Plasma Jet Generation in Liquid Gas Cavities
2.3. Cyanobacterial Strain and Culture Conditions
2.4. Determination of Hydrogen Peroxide
2.5. Growth Inhibition Test
2.6. Chlorophyll Quantification
2.7. Measurement of Photosynthetic Activity
2.8. Microcystin Analysis
2.9. Statistical Analysis
3. Results and Discussion
3.1. Plasma Generation
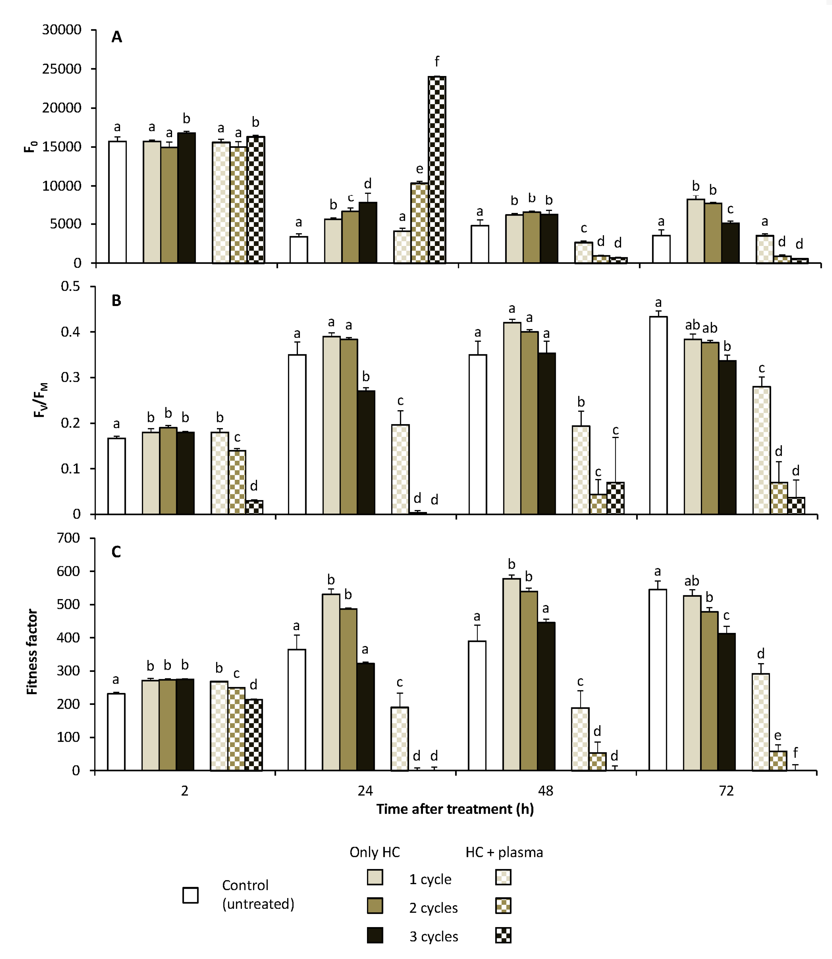
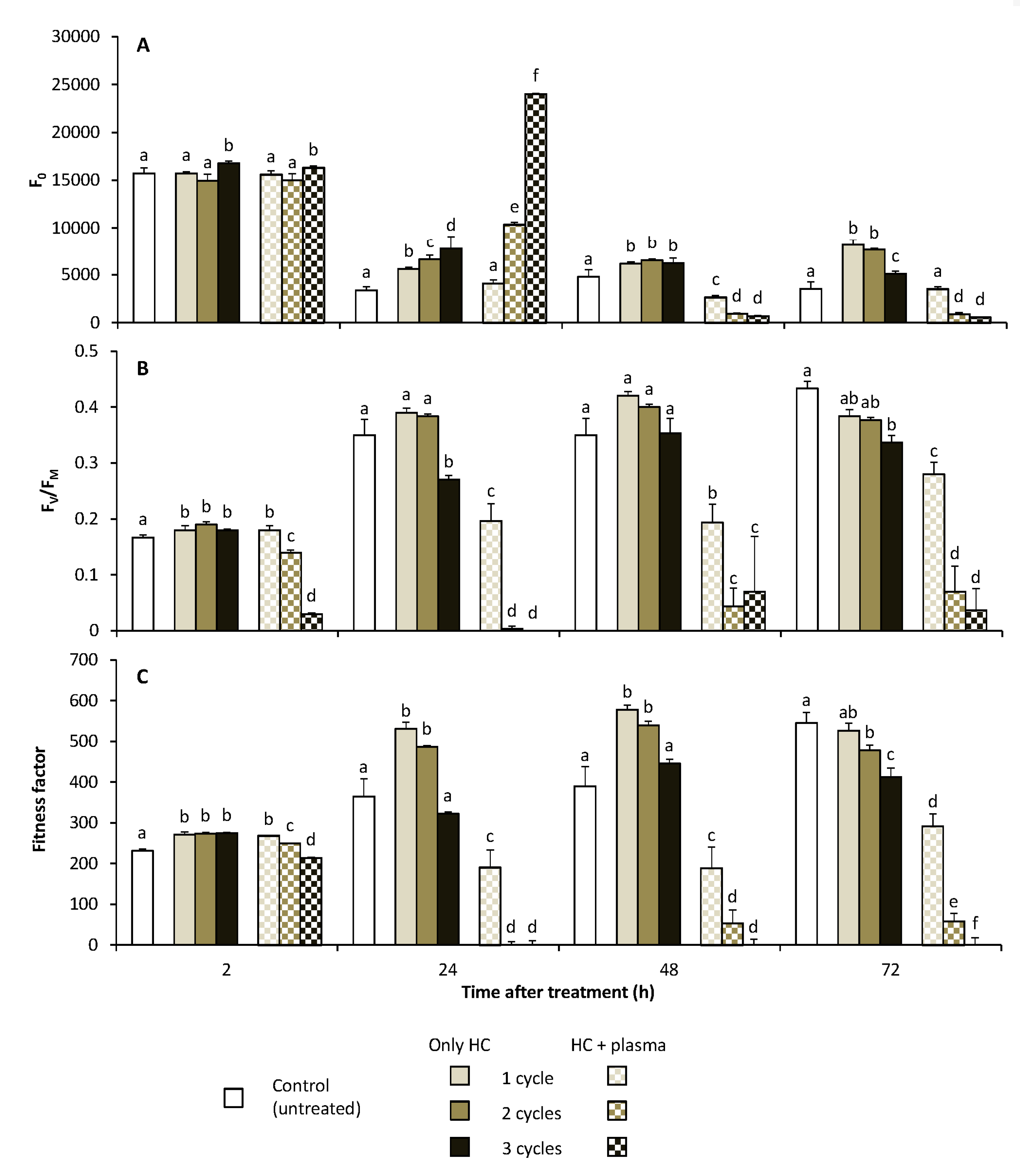
3.2. Microcystis Growth Inhibition under Optimal Conditions with Nutrient Enrichment
3.3. Mechanisms of Microcystis Biomass Removal
3.4. Release of Microcystins
3.5. Hydrogen Peroxide
4. Conclusions
Supplementary Materials
Author Contributions
Funding
Acknowledgments
Conflicts of Interest
References
- Huisman, J.; Codd, G.A.; Paerl, H.W.; Ibelings, B.W.; Verspagen, J.M.H.; Visser, P.M. Cyanobacterial blooms. Nat. Rev. Microbiol. 2018, 16, 471–483. [Google Scholar] [CrossRef]
- Matthijs, H.C.P.; Jancula, D.; Visser, P.M.; Marsalek, B. Existing and emerging cyanocidal compounds: New perspectives for cyanobacterial bloom mitigation. Aquat. Ecol. 2016, 50, 443–460. [Google Scholar] [CrossRef]
- Jancula, D.; Marsalek, B. Critical review of actually available chemical compounds for prevention and management of cyanobacterial blooms. Chemosphere 2011, 85, 1415–1422. [Google Scholar] [CrossRef]
- Bormans, M.; Marsalek, B.; Jancula, D. Controlling internal phosphorus loading in lakes by physical methods to reduce cyanobacterial blooms: A review. Aquat. Ecol. 2016, 50, 407–422. [Google Scholar] [CrossRef]
- Jancula, D.; Suchomelova, J.; Gregor, J.; Smutna, M.; Marsalek, B.; Taborska, E. Effects of aqueous extracts from five species of the family Papaveraceae on selected aquatic organisms. Environ. Toxicol. 2007, 22, 480–486. [Google Scholar] [CrossRef]
- Jancula, D.; Gregorova, J.; Marsalek, B. Algicidal and cyanocidal effects of selected isoquinoline alkaloids. Aquac. Res. 2010, 41, 598–601. [Google Scholar] [CrossRef]
- Lurling, M.; Waajen, G.; Domis, L.N.D. Evaluation of several end-of-pipe measures proposed to control cyanobacteria. Aquat. Ecol. 2016, 50, 499–519. [Google Scholar] [CrossRef]
- Ru, X.; Yu, Z.B.; Yang, F.; Huang, J.; Gao, L.H.; Sun, L.F. Remediation for Eutrophication by Integrated ECFLFAP-DBDHFP-OW Process. In 2011 International Conference on Environmental Technology and Management; Atlantis Press: Paris, France, 2011; pp. 99–107. [Google Scholar]
- Gagol, M.; Przyjazny, A.; Boczkaj, G. Wastewater treatment by means of advanced oxidation processes based on cavitation—A review. Chem. Eng. J. 2018, 338, 599–627. [Google Scholar] [CrossRef]
- Wu, Z.L.; Shen, H.F.; Ondruschka, B.; Zhang, Y.C.; Wang, W.M.; Bremner, D.H. Removal of blue-green algae using the hybrid method of hydrodynamic cavitation and ozonation. J. Hazard. Mater. 2012, 235, 152–158. [Google Scholar] [CrossRef]
- Fang, Y.; Hariu, D.; Yamamoto, T.; Komarov, S. Acoustic cavitation assisted plasma for wastewater treatment: Degradation of Rhodamine B in aqueous solution. Ultrason. Sonochem. 2019, 52, 318–325. [Google Scholar] [CrossRef]
- Kim, H.-J.; Nam, G.-S.; Jang, J.-S.; Won, C.-H.; Kim, H.-W. Cold Plasma Treatment for Efficient Control over Algal Bloom Products in Surface Water. Water 2019, 11, 1513. [Google Scholar] [CrossRef]
- Lee, S.J.; Ma, S.H.; Hong, Y.C.; Choi, M.C. Effects of pulsed and continuous wave discharges of underwater plasma on Escherichia coli. Sep. Purif. Technol. 2018, 193, 351–357. [Google Scholar] [CrossRef]
- Ihara, S.; Sakai, T.; Yoshida, Y.; Nishiyama, H. Fundamental characteristics of discharge plasma generated in a water cavitation field. J. Electrost. 2018, 93, 110–117. [Google Scholar]
- Jancula, D.; Mikula, P.; Marsalek, B.; Rudolf, P.; Pochyly, F. Selective method for cyanobacterial bloom removal: Hydraulic jet cavitation experience. Aquac. Int. 2014, 22, 509–521. [Google Scholar]
- Lukes, P. Colorimetric Determination of H2O2; Institute of Plasma Physics: Prague, Czech Republic, 2001. [Google Scholar]
- ISO. ISO 8692. In Water Quality—Fresh Water Algal Growth Inhibition Test with Unicellular Green Algae; ISO: London, UK, 2012. [Google Scholar]
- Organisation for Economic Co-operation and Development. Test No. 201: Freshwater Alga and Cyanobacteria, Growth Inhibition Test; OECD Guidelines for the Testing of Chemicals, Section 2, No. 201; OECD Publishing: Paris, France, 2011. [Google Scholar] [CrossRef]
- Pearse, R.W.B.; Gaydon, A.G. The Identification of Molecular Spectra; Chapman & Hall: London, UK, 1950. [Google Scholar]
- Maxwell, K.; Hudson, M. Spectral study of metallic molecular bands in hybrid rocket plumes. In 36th AIAA/ASME/SAE/ASEE Joint Propulsion Conference and Exhibit; American Institute of Aeronautics and Astronautics: Reston, VA, USA, 2000. [Google Scholar]
- Navratil, Z.; Trunec, D.; Šmíd, R.; Lazar, L. A software for optical emission spectroscopy—Problem formulation and application to plasma diagnostics. Czechoslov. J. Phys. Praha Acad. Sci. Czech Repub. 2006, 56, B944–B951. [Google Scholar]
- Douat, C.; Hübner, S.; Engeln, R.; Benedikt, J. Production of nitric/nitrous oxide by an atmospheric pressure plasma jet. Plasma Sources Sci. Technol. 2016, 25, 025027. [Google Scholar]
- Machala, Z.; Tarabova, B.; Sersenova, D.; Janda, M.; Hensel, K. Chemical and antibacterial effects of plasma activated water: correlation with gaseous and aqueous reactive oxygen and nitrogen species, plasma sources and air flow conditions. J. Phys. D Appl. Phys. 2019, 52, 340–349. [Google Scholar] [CrossRef]
- David, B.G. The emerging role of reactive oxygen and nitrogen species in redox biology and some implications for plasma applications to medicine and biology. J. Phys. D Appl. Phys. 2012, 45, 263001. [Google Scholar]
- Reuter, S.; Tresp, H.; Wende, K.; Hammer, M.U.; Winter, J.; Masur, K.; Schmidt-Bleker, A.; Weltmann, K.D. From RONS to ROS: Tailoring Plasma Jet Treatment of Skin Cells. IEEE Technol. Plasma Sci. 2012, 40, 2986–2993. [Google Scholar]
- Chauvin, J.; Judee, F.; Yousfi, M.; Vicendo, P.; Merbahi, N. Analysis of reactive oxygen and nitrogen species generated in three liquid media by low temperature helium plasma jet. Sci. Rep. UK 2017, 7, 4562. [Google Scholar]
- Schmidt-Bleker, A.; Winter, J.; Bosel, A.; Reuter, S.; Weltmann, K.D. On the plasma chemistry of a cold atmospheric argon plasma jet with shielding gas device. Plasma Sources Sci. Technol. 2016, 25, 015005. [Google Scholar] [CrossRef]
- Dular, M.; Griessler-Bulc, T.; Gutierrez-Aguirre, I.; Heath, E.; Kosjek, T.; Klemencic, A.K.; Oder, M.; Petkovsek, M.; Racki, N.; Ravnikar, M.; et al. Use of hydrodynamic cavitation in (waste)water treatment. Ultrason. Sonochem. 2016, 29, 577–588. [Google Scholar] [CrossRef]
- Kana, R.; Kotabova, E.; Komarek, O.; Sediva, B.; Papageorgiou, G.C.; Prasil, O. The slow S to M fluorescence rise in cyanobacteria is due to a state 2 to state 1 transition. BBA Bioenerg. 2012, 1817, 1237–1247. [Google Scholar] [CrossRef]
- Samuilov, V.D.; Bezryadnov, D.B.; Gusev, M.V.; Kitashov, A.V.; Fedorenko, T.A. Hydrogen peroxide inhibits photosynthetic electron transport in cells of cyanobacteria. Biochem. Mosc. 2001, 66, 640–645. [Google Scholar] [CrossRef]
- Perron, M.C.; Juneau, P. Effect of endocrine disrupters on photosystem II energy fluxes of green algae and cyanobacteria. Environ. Res. 2011, 111, 520–529. [Google Scholar] [CrossRef]
- Zhang, H.; Huang, Q.; Ke, Z.; Yang, L.; Wang, X.; Yu, Z. Degradation of microcystin-LR in water by glow discharge plasma oxidation at the gas–solution interface and its safety evaluation. Water Res. 2012, 46, 6554–6562. [Google Scholar] [CrossRef]
- Jiang, X.; Lee, S.; Mok, C.; Lee, J. Sustainable Methods for Decontamination of Microcystin in Water Using Cold Plasma and UV with Reusable TiO2 Nanoparticle Coating. Int. J. Environ. Res. Public Health 2017, 14, 480. [Google Scholar] [CrossRef]
- Drabkova, M.; Admiraal, W.; Marsalek, B. Combined exposure to hydrogen peroxide and light—Selective effects on cyanobacteria, green algae, and diatoms. Environ. Sci. Technol. 2007, 41, 309–314. [Google Scholar] [CrossRef]
















© 2019 by the authors. Licensee MDPI, Basel, Switzerland. This article is an open access article distributed under the terms and conditions of the Creative Commons Attribution (CC BY) license (http://creativecommons.org/licenses/by/4.0/).
Share and Cite
Maršálek, B.; Maršálková, E.; Odehnalová, K.; Pochylý, F.; Rudolf, P.; Stahel, P.; Rahel, J.; Čech, J.; Fialová, S.; Zezulka, Š. Removal of Microcystis aeruginosa through the Combined Effect of Plasma Discharge and Hydrodynamic Cavitation. Water 2020, 12, 8. https://doi.org/10.3390/w12010008
Maršálek B, Maršálková E, Odehnalová K, Pochylý F, Rudolf P, Stahel P, Rahel J, Čech J, Fialová S, Zezulka Š. Removal of Microcystis aeruginosa through the Combined Effect of Plasma Discharge and Hydrodynamic Cavitation. Water. 2020; 12(1):8. https://doi.org/10.3390/w12010008
Chicago/Turabian StyleMaršálek, Blahoslav, Eliška Maršálková, Klára Odehnalová, František Pochylý, Pavel Rudolf, Pavel Stahel, Jozef Rahel, Jan Čech, Simona Fialová, and Štěpán Zezulka. 2020. "Removal of Microcystis aeruginosa through the Combined Effect of Plasma Discharge and Hydrodynamic Cavitation" Water 12, no. 1: 8. https://doi.org/10.3390/w12010008
APA StyleMaršálek, B., Maršálková, E., Odehnalová, K., Pochylý, F., Rudolf, P., Stahel, P., Rahel, J., Čech, J., Fialová, S., & Zezulka, Š. (2020). Removal of Microcystis aeruginosa through the Combined Effect of Plasma Discharge and Hydrodynamic Cavitation. Water, 12(1), 8. https://doi.org/10.3390/w12010008

