Sediment Management at Run-of-River Reservoirs Using Numerical Modelling
Abstract
1. Introduction
2. Methods
2.1. Study Area and Data Description
2.2. Numerical Modelling
2.2.1. TELEMAC-SISYPHE
2.2.2. Grid Mesh and Initial Bathymetry
2.2.3. Boundary Conditions
3. Results
3.1. Investigation of Event Based Flushing
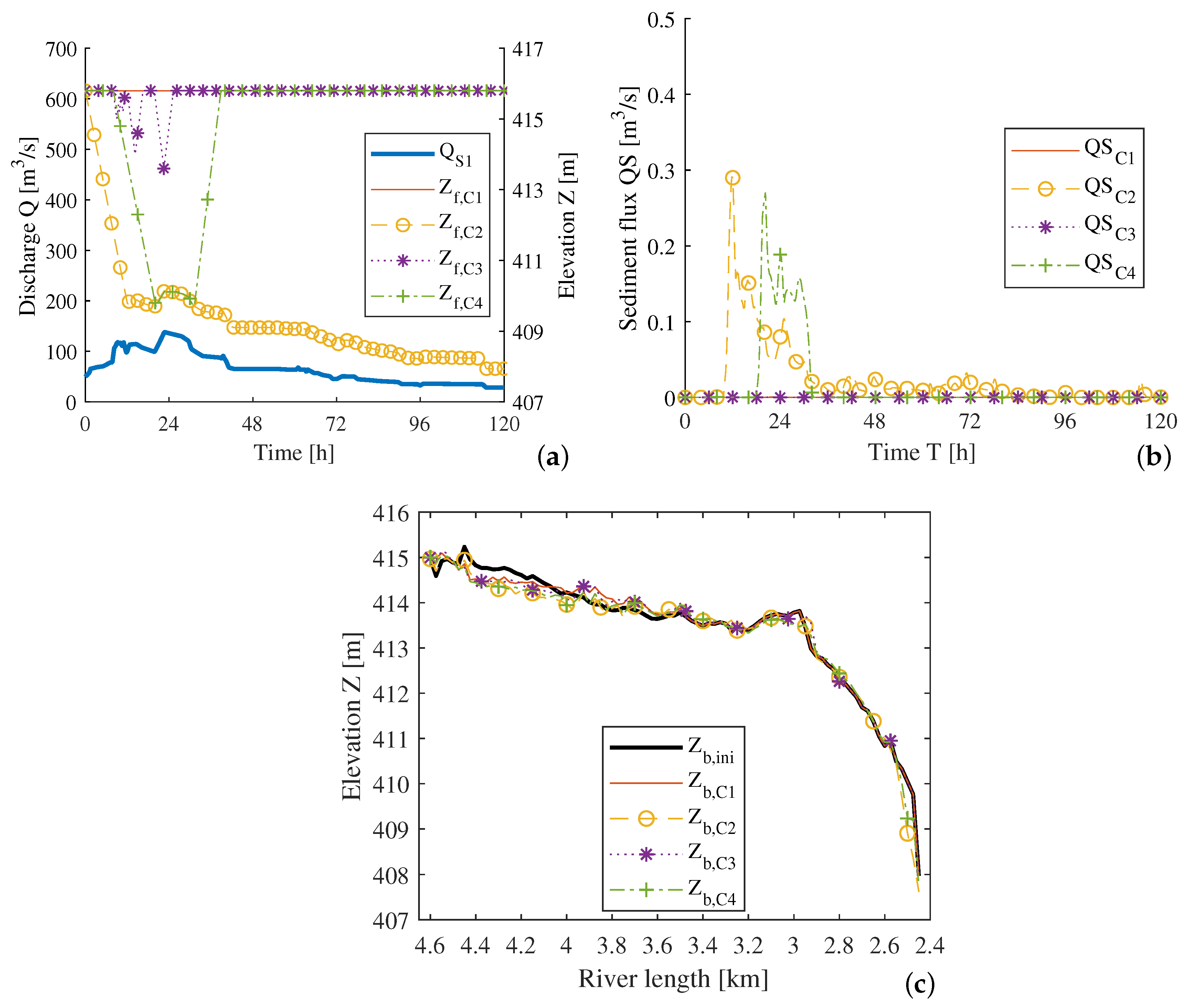
3.1.1. Normal Flow Events
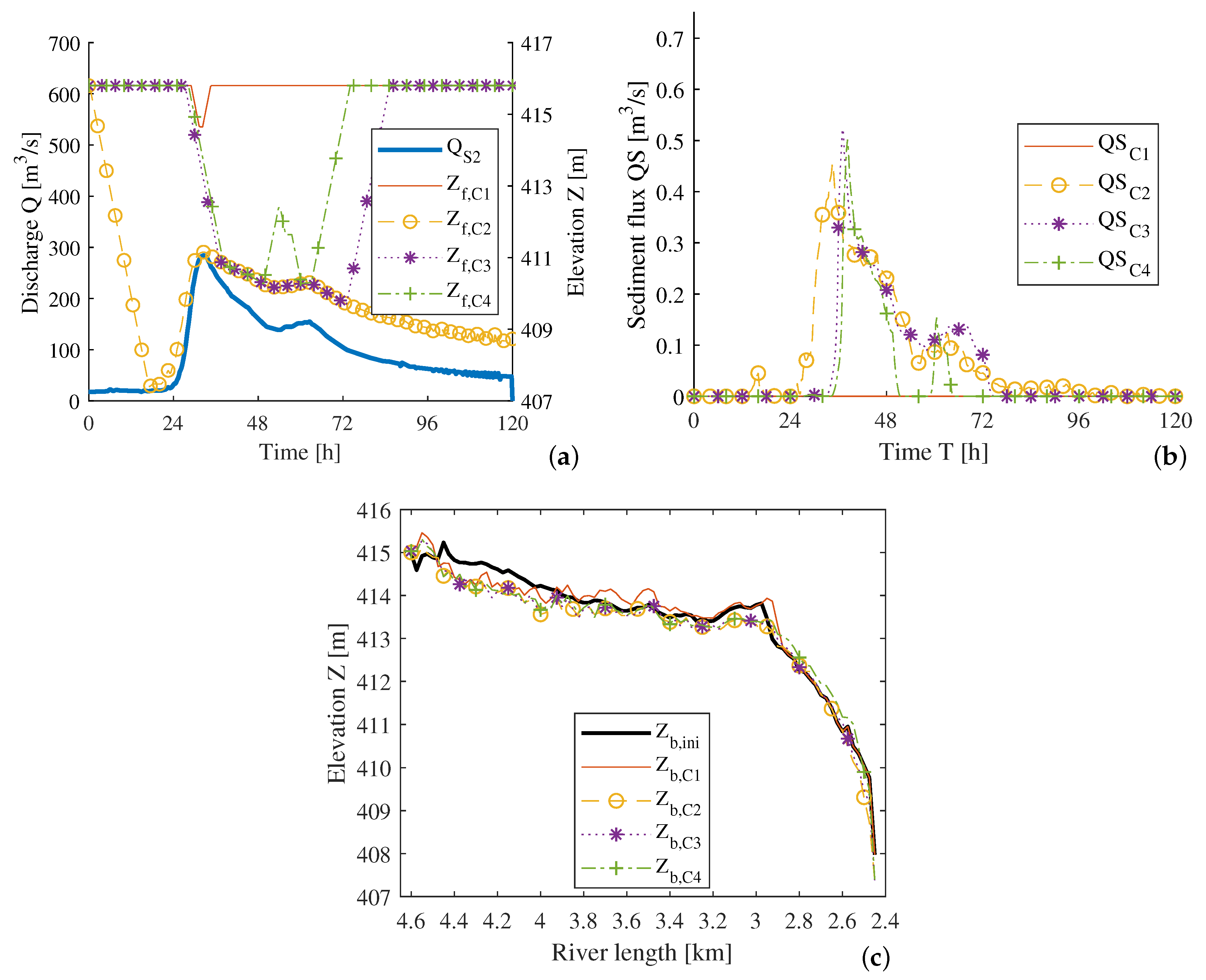
3.1.2. Medium Flood Events
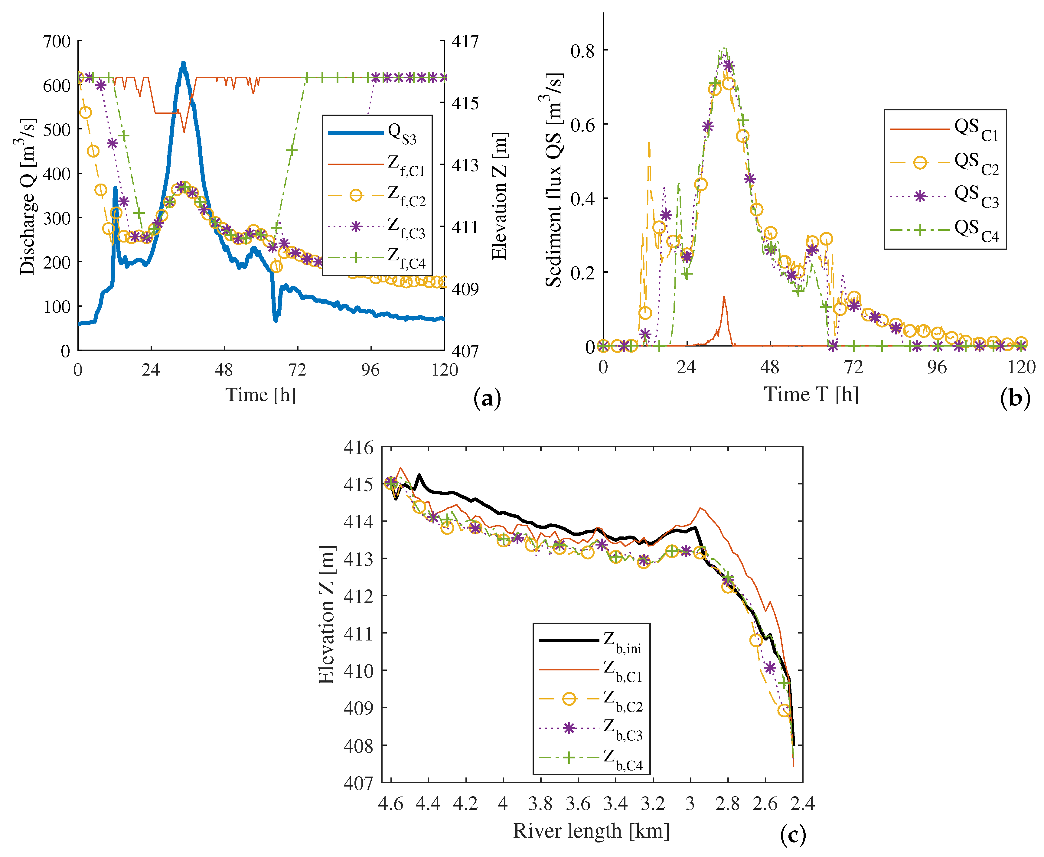
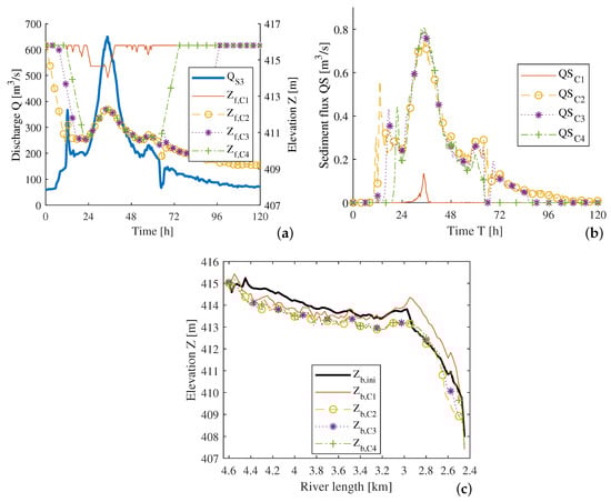
3.1.3. Extreme Flood Event
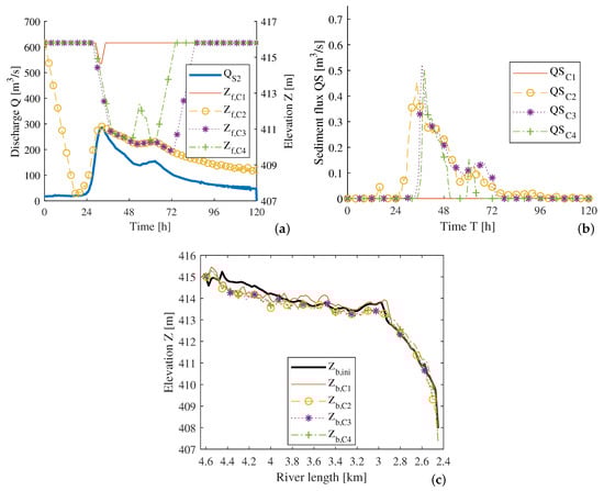
3.2. Scenario Application
4. Discussion
5. Conclusions
Author Contributions
Funding
Acknowledgments
Conflicts of Interest
Abbreviations
| HPP | Hydropower plant |
| GS | Ground sill |
| masl | metres above sea level |
| Zb | Elevation of the riverbed |
| Zf | Elevation of the free water surface |
| Zf,S | Storage level |
| Vf | flushing Volume |
| tf | flushing duration |
| 2D | two dimensional |
| 3D | three dimensional |
| QS | Sediment flux |
| Q | Discharge of water |
| HQ | flood peak discharge |
| MQ | Mean discharge |
| MHQ | Mean flood discharge |
References
- Assembly, U.G. Transforming Our World: The 2030 Agenda for Sustainable Development. 2015. Available online: https://www.refworld.org/docid/57b6e3e44.html (accessed on 12 December 2019).
- Schleiss, A.J.; Franca, M.J.; Juez, C.; De Cesare, G. Reservoir sedimentation. J. Hydraul. Res. 2016, 54, 595–614. [Google Scholar] [CrossRef]
- Dams, W.C.O. Dams and Development: A New Framework for Decision-Making; Earthscan Publications Ltd.: London, UK, 2000. [Google Scholar]
- Annandale, G.W.; Morris, G.L.; Karki, P. Extending the Life of Reservoirs: Sustainable Sediment Management for Dams and Run-of-River Hydropower; World Bank Group: Washington, DC, USA, 2016. [Google Scholar]
- Reisenbüchler, M.; Bui, M.D.; Skublics, D.; Rutschmann, P. An integrated approach for investigating the correlation between floods and river morphology: A case study of the Saalach River, Germany. Sci. Total Environ. 2019, 647, 814–826. [Google Scholar] [CrossRef] [PubMed]
- Schleiss, A.; de Cesare, G.; Franca, M.; Pfister, M. Reservoir Sedimentation; CRC Press: Boca Raton, FL, USA, 2014. [Google Scholar]
- Dépret, T.; Piégay, H.; Dugué, V.; Vaudor, L.; Faure, J.B.; Le Coz, J.; Camenen, B. Estimating and restoring bedload transport through a run-of-river reservoir. Sci. Total Environ. 2019, 654, 1146–1157. [Google Scholar] [CrossRef] [PubMed]
- Isaac, N.; Eldho, T.I. Sediment management studies of a run-of-the-river hydroelectric project using numerical and physical model simulations. Int. J. River Basin Manag. 2016, 14, 165–175. [Google Scholar] [CrossRef]
- Isaac, N.; Eldho, T.I. Sediment removal from run-of-the-river hydropower reservoirs by hydraulic flushing. Int. J. River Basin Manag. 2019, 1–14. [Google Scholar] [CrossRef]
- Gallerano, F.; Cannata, G. Compatibility of Reservoir Sediment Flushing and River Protection. J. Hydraul. Eng. 2011, 137, 1111–1125. [Google Scholar] [CrossRef]
- Ateeq-Ur-Rehman, S. Numerical Modeling of Sediment Transport in Dasu-Tarbela Reservoir Using Neural Networks and TELEMAC Model System; Technische Universität München: München, Germany, 2019. [Google Scholar]
- Chaudhary, H.P.; Isaac, N.; Tayade, S.B.; Bhosekar, V.V. Integrated 1D and 2D numerical model simulations for flushing of sediment from reservoirs. ISH J. Hydraul. Eng. 2019, 25, 19–27. [Google Scholar] [CrossRef]
- Bui, M.D.; Rutschmann, P. Numerical modelling for reservoir sediment management. In Proceedings of the Sixth International Conference on Water Resources and Hydropower Development in Asia, Vientiane, Laos, 1–3 March 2016. [Google Scholar]
- Bieri, M.; Müller, M.; Boillat, J.L.; Schleiss, A.J. Modeling of Sediment Management for the Lavey Run-of-River HPP in Switzerland. J. Hydraul. Eng. 2012, 138, 340–347. [Google Scholar] [CrossRef]
- Esmaeili, T.; Sumi, T.; Kantoush, S.A.; Kubota, Y.; Haun, S.; Rüther, N. Three-Dimensional Numerical Study of Free-Flow Sediment Flushing to Increase the Flushing Efficiency: A Case-Study Reservoir in Japan. Water 2017, 9, 900. [Google Scholar] [CrossRef]
- Reisenbüchler, M.; Bui, M.D.; Skublics, D.; Rutschmann, P. Enhancement of a numerical model system for reliably predicting morphological development in the Saalach River. Int. J. River Basin Manag. 2019. [Google Scholar] [CrossRef]
- Weiss, F.H. Sediment monitoring, long-term loads, balances and management strategies in southern Bavaria. In Erosion and Sediment Yield: Global and Regional Perspectives; Walling, D.E., Webb, B.W., Eds.; IAHS: Wallingford, UK, 1996; Volume 236, pp. 575–582. [Google Scholar]
- BMLFUW. Hydrographisches Jahrbuch von Österreich 2015; The Austrian Federal Ministry of Agriculture, Forestry, Environment and Water Management: Vienna, Austria, 2015; Volume 123. [Google Scholar]
- Olsen, N.R.B.; Haun, S. Numerical modelling of bank failures during reservoir draw-down. E3S Web Conf. 2018, 40, 03001. [Google Scholar] [CrossRef]
- Reisenbüchler, M.; Bui, M.D.; Rutschmann, P. Implementation of a new layer-subroutine for fractional sediment transport in Sisype. In Proceedings of the XXIIIrd Telemac-Mascaret User Conference, Paris, France, 11–13 October 2016; pp. 215–220. [Google Scholar]
- Hervouet, J.M. Hydrodynamics of Free Surface Flows: Modelling with the Finite Element Method; John Wiley and Sons: Chichester, UK, 2007. [Google Scholar]
- Villaret, C.; Hervouet, J.M.; Kopmann, R.; Merkel, U.; Davies, A.G. Morphodynamic modeling using the Telemac finite-element system. Comput. Geosci. 2013, 53, 105–113. [Google Scholar] [CrossRef]
- Ata, R. Telemac2d User Manual. Available online: http://www.opentelemac.org/ (accessed on 12 December 2019).
- Tassi, P.; Villaret, C. Sisyphe User’s Manual; EDF: Paris, France, 2014; Volume 6.3. [Google Scholar]
- Hunziker, R.P. Fraktionsweiser Geschiebetransport; Laboratory of Hydraulics, Hydrology and Glaciology (VAW), ETH Zürich: Zürich, Switzerland, 1995; Volume 11037, p. 191. [Google Scholar]
- WWA-TS. Dataset for the Analysis of the Saalach Flood in 2013; WWA Traunstein: Traunstein, Germany, 2013. [Google Scholar]
- Beckers, F.; Sadid, N.; Haun, S.; Noack, M.; Wieprecht, S. Contribution of numerical modelling of sediment transport processes in river engineering: An example of the river Saalach. In Proceedings of the 36th IAHR World Congress 2015, The Hague, The Netherlands, 28 June–3 July 2015. [Google Scholar]
- Stephan, U.; Hengl, M. Physical and numerical modelling of sediment transport in river Salzach. In River Flow 2010; Dittrich, A., Koll, K., Aberle, J., Geisenhainer, P., Eds.; Federal Waterways Engineering and Resarch Institute: Karlsruhe, Germany, 2010; pp. 1259–1265. [Google Scholar]
- Bui, M.D.; Kaveh, K.; Penz, P.; Rutschmann, P. Contraction scour estimation using data-driven methods. J. Appl. Water Eng. Res. 2015, 3, 143–156. [Google Scholar] [CrossRef]
- Ateeq-Ur-Rehman, S.; Bui, M.; Rutschmann, P. Variability and Trend Detection in the Sediment Load of the Upper Indus River. Water 2018, 10, 16. [Google Scholar] [CrossRef]
- Azmathullah, H.M.; Deo, M.C.; Deolalikar, P.B. Neural Networks for Estimation of Scour Downstream of a Ski-Jump Bucket. J. Hydraul. Eng. 2005, 131, 898–908. [Google Scholar] [CrossRef]
- Liu, J.; Minami, S.; Otsuki, H.; Liu, B.; Ashida, K. Environmental impacts of coordinated sediment flushing. J. Hydraul. Res. 2004, 42, 461–472. [Google Scholar] [CrossRef]
- Capra, H.; Plichard, L.; Bergé, J.; Pella, H.; Ovidio, M.; McNeil, E.; Lamouroux, N. Fish habitat selection in a large hydropeaking river: Strong individual and temporal variations revealed by telemetry. Sci. Total Environ. 2017, 578, 109–120. [Google Scholar] [CrossRef] [PubMed]
- Kondolf, G.M.; Gao, Y.; Annandale, G.W.; Morris, G.L.; Jiang, E.; Zhang, J.; Cao, Y.; Carling, P.; Fu, K.; Guo, Q.; et al. Sustainable sediment management in reservoirs and regulated rivers: Experiences from five continents. Earth’s Future 2014, 2, 256–280. [Google Scholar] [CrossRef]
- Reckendorfer, W.; Badura, H.; Schütz, C. Drawdown flushing in a chain of reservoirs—Effects on grayling populations and implications for sediment management. Ecol. Evol. 2019, 9, 1437–1451. [Google Scholar] [CrossRef] [PubMed]
- Tritthart, M.; Haimann, M.; Habersack, H.; Hauer, C. Spatio-temporal variability of suspended sediments in rivers and ecological implications of reservoir flushing operations. River Res. Appl. 2019, 35, 918–931. [Google Scholar] [CrossRef]














| Parameter | Value |
|---|---|
| Timestep | 3 s |
| Riverbed roughness (Strickler) kst | 35 |
| Form roughness (Strickler) kst,r | manually, sectional adapted |
| Bedload transport formula | Hunziker [25] |
| Shields-parameter | 0.04 |
| Active layer thickness | 0.14 m = dmax |
| Number of grain fractions | 8 |
| Case | Flushing Duration tf (h) | Flushed Volume Vf () |
|---|---|---|
| 1 | 0 | 0 |
| 2 | 120 | 10.24 |
| 3 | 13.5 | 0 |
| 4 | 31 | 7.05 |
| Case | Flushing Duration tf (h) | Flushed Volume Vf () |
|---|---|---|
| 1 | 5.75 | 0 |
| 2 | 120 | 32.06 |
| 3 | 58 | 25.11 |
| 4 | 46 | 14.82 |
| Case | Flushing Duration tf (h) | Flushed Volume Vf () |
|---|---|---|
| 1 | 16 | 1.18 |
| 2 | 120 | 81.83 |
| 3 | 90.5 | 72.16 |
| 4 | 63.5 | 59.80 |
© 2020 by the authors. Licensee MDPI, Basel, Switzerland. This article is an open access article distributed under the terms and conditions of the Creative Commons Attribution (CC BY) license (http://creativecommons.org/licenses/by/4.0/).
Share and Cite
Reisenbüchler, M.; Bui, M.D.; Skublics, D.; Rutschmann, P. Sediment Management at Run-of-River Reservoirs Using Numerical Modelling. Water 2020, 12, 249. https://doi.org/10.3390/w12010249
Reisenbüchler M, Bui MD, Skublics D, Rutschmann P. Sediment Management at Run-of-River Reservoirs Using Numerical Modelling. Water. 2020; 12(1):249. https://doi.org/10.3390/w12010249
Chicago/Turabian StyleReisenbüchler, Markus, Minh Duc Bui, Daniel Skublics, and Peter Rutschmann. 2020. "Sediment Management at Run-of-River Reservoirs Using Numerical Modelling" Water 12, no. 1: 249. https://doi.org/10.3390/w12010249
APA StyleReisenbüchler, M., Bui, M. D., Skublics, D., & Rutschmann, P. (2020). Sediment Management at Run-of-River Reservoirs Using Numerical Modelling. Water, 12(1), 249. https://doi.org/10.3390/w12010249

