Evaluation of Temperature Profiling and Seepage Meter Methods for Quantifying Submarine Groundwater Discharge to Coastal Lagoons: Impacts of Saltwater Intrusion and the Associated Thermal Regime
Abstract
1. Introduction
2. Materials and Methods
2.1. Study Area
2.2. Fluxes from Seepage Meters
2.3. Fluxes from Temperature Profiling
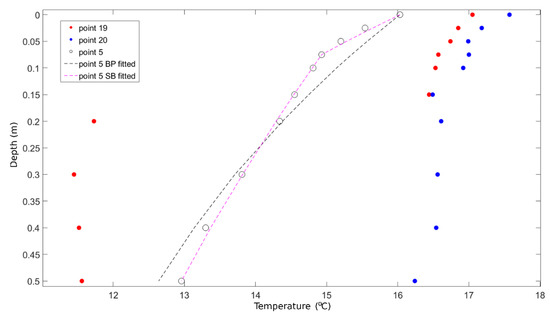
3. Results
3.1. Seepage Meter Fluxes
3.2. Fluxes Estimated with BP Solution to Heat Transport Equation
3.3. Fluxes Estimated with SB Solution to Heat Transport Equation
3.4. Fresh Groundwater and Lagoon Water Proportion in Exchange Fluxes
3.5. Method Comparison
4. Discussion
4.1. Comparison of Seepage Meter and Thermal Methods
4.2. Direct Measurements (Seepage Meters): Pros and Cons
4.3. Analytical Solutions for Temperature-Depth Profiles (BP and SB): Pros and Cons
5. Conclusions
Author Contributions
Funding
Acknowledgments
Conflicts of Interest
References
- Winter, T.C.; Harvey, J.W.; Lehn Franke, O.; Alley, W. Ground Water and Surface Water a Single Resource; DIANE Publishing Inc.: Darby, PA, USA, 1998; Volume 1139. [Google Scholar]
- Crawford, R.M.M. Eco-hydrology: Plants and Water in Terrestrial and Aquatic Environments. J. Ecol. 2000, 88, 1095–1096. [Google Scholar] [CrossRef]
- Hayashi, M.; Rosenberry, D. Effects of Ground Water Exchange on the Hydrology and Ecology of Surface Water. Ground Water 2002, 40, 309–316. [Google Scholar] [CrossRef]
- Brunner, P.; Therrien, R.; Renard, P.; Simmons, C.; Franssen, H.-J. Advances in understanding river—Groundwater interactions: River-groundwater interactions. Rev. Geophys. 2017, 55, 818–854. [Google Scholar] [CrossRef]
- Rosenberry, D.O.; Lewandowski, J.; Meinikmann, K.; Nützmann, G. Groundwater—The disregarded component in lake water and nutrient budgets. Part 1: Effects of groundwater on hydrology. Hydrol. Process. 2015, 29, 2895–2921. [Google Scholar] [CrossRef]
- Lewandowski, J.; Meinikmann, K.; Pöschke, F.; Nützmann, G.; Rosenberry, D.O. From submarine to lacustrine groundwater discharge. Proc. Int. Assoc. Hydrol. Sci. 2015, 365, 72–78. [Google Scholar] [CrossRef][Green Version]
- Duque, C.; Haider, K.; Sebok, E.; Sonnenborg, T.O.; Engesgaard, P. A conceptual model for groundwater discharge to a coastal brackish lagoon based on seepage measurements (Ringkøbing Fjord, Denmark). Hydrol. Process. 2018, 32, 3352–3364. [Google Scholar] [CrossRef]
- Lee, D. A Device for Measuring Seepage-Flux in Lakes and Estuaries. Limnol. Oceanogr. 1977, 22, 140–147. [Google Scholar] [CrossRef]
- Rosenberry, D.O. A seepage meter designed for use in flowing water. J. Hydrol. 2008, 359, 118–130. [Google Scholar] [CrossRef]
- Burnett, W.C.; Taniguchi, M.; Oberdorfer, J. Measurement and significance of the direct discharge of groundwater into the coastal zone. J. Sea Res. 2001, 46, 109–116. [Google Scholar] [CrossRef]
- Cable, J.; Burnett, W.C.; Chanton, J.P.; Corbett, D.; Cable, P.H. Field Evaluation of Seepage Meters in the Coastal Marine Environment. Estuar. Coast. Shelf Sci. 1997, 45, 367–375. [Google Scholar] [CrossRef]
- Cable, J.; Martin, J.; Jaeger, J. Exonerating Bernoulli? On evaluating the physical and biological process affecting marine seepage meter measurements. Limnol. Oceanogr. Methods 2006, 4, 172–183. [Google Scholar] [CrossRef]
- Rudnick, S.; Lewandowski, J.; Nutzmann, G. Investigating groundwater-lake interactions by hydraulic heads and a water balance. Ground Water 2015, 53, 227–237. [Google Scholar] [CrossRef]
- Anibas, C.; Buis, K.; Verhoeven, R.; Meire, P.; Batelaan, O. A simple thermal mapping method for seasonal spatial patterns of groundwater–surface water interaction. J. Hydrol. 2011, 397, 93–104. [Google Scholar] [CrossRef]
- Kazmierczak, J.; Müller, S.; Nilsson, B.; Postma, D.; Czekaj, J.; Sebok, E.; Jessen, S.; Karan, S.; Stenvig Jensen, C.; Edelvang, K.; et al. Groundwater flow and heterogeneous discharge into a seepage lake: Combined use of physical methods and hydrochemical tracers. Water Resour. Res. 2016, 52, 9109–9130. [Google Scholar] [CrossRef]
- Sebok, E.; Duque, C.; Kazmierczak, J.; Engesgaard, P.; Nilsson, B.; Karan, S.; Frandsen, M. High-resolution distributed temperature sensing to detect seasonal groundwater discharge into Lake Væng, Denmark. Water Resour. Res. 2013, 49, 5355–5368. [Google Scholar] [CrossRef]
- Burnett, W.C.; Aggarwal, P.K.; Aureli, A.; Bokuniewicz, H.; Cable, J.E.; Charette, M.A.; Kontar, E.; Krupa, S.; Kulkarni, K.M.; Loveless, A.; et al. Quantifying submarine groundwater discharge in the coastal zone via multiple methods. Sci. Total Environ. 2006, 367, 498–543. [Google Scholar] [CrossRef] [PubMed]
- Befus, K.M.; Cardenas, M.B.; Erler, D.V.; Santos, I.R.; Eyre, B.D. Heat transport dynamics at a sandy intertidal zone. Water Resour. Res. 2013, 49, 3770–3786. [Google Scholar] [CrossRef]
- Luce, C.; Tonina, D.; Gariglio, F.; Applebee, R. Solutions for the diurnally forced advection-diffusion equation to estimate bulk fluid velocity and diffusivity in streambeds from temperature time series. Water Resour. Res. 2013, 49, 488–506. [Google Scholar] [CrossRef]
- Duque, C.; Müller, S.; Sebok, E.; Haider, K.; Engesgaard, P. Estimating groundwater discharge to surface waters using heat as a tracer in low flux environments: The role of thermal conductivity. Hydrol. Process. 2016, 30, 383–395. [Google Scholar] [CrossRef]
- Land, L.; Paull, C. Thermal gradients as a tool for estimating groundwater advective rates in a coastal estuary: White Oak River, North Carolina, USA. J. Hydrol. 2001, 248, 198–215. [Google Scholar] [CrossRef]
- Kirkegaard, C.; Sonnenborg, T.O.; Auken, E.; Jørgensen, F. Salinity Distribution in Heterogeneous Coastal Aquifers Mapped by Airborne Electromagnetics. Vadose Zone J. 2011, 10, 125. [Google Scholar] [CrossRef]
- Haider, K.; Engesgaard, P.; Sonnenborg, T.O.; Kirkegaard, C. Numerical modeling of salinity distribution and submarine groundwater discharge to a coastal lagoon in Denmark based on airborne electromagnetic data. Hydrogeol. J. 2014, 23, 217–233. [Google Scholar] [CrossRef]
- Müller, S.; Jessen, S.; Duque, C.; Sebök, É.; Neilson, B.; Engesgaard, P. Assessing seasonal flow dynamics at a lagoon saltwater–freshwater interface using a dual tracer approach. J. Hydrol. Reg. Stud. 2018, 17, 24–35. [Google Scholar] [CrossRef]
- Holzbecher, E. Modeling Density-Driven Flow in Porous Media: Principles, Numerics, Software; Springer Science & Business Media: Berlin, Germany, 1998. [Google Scholar]
- Bredehoeft, J.D.; Papaopulos, I.I. Rates of Vertical Groundwater Movement Estimated From the Earth’s Thermal Profile. Water Resour. Res. 1965, 1, 325–328. [Google Scholar] [CrossRef]
- Sebok, E.; Müller, S. The effect of sediment thermal conductivity on vertical groundwater flux estimates. Hydrol. Earth Syst. Sci. 2018, in press. [Google Scholar] [CrossRef]
- Shan, C.; Bodvarsson, G. An analytical solution for estimating percolation rate by fitting temperature profiles in the vadose zone. J. Contam. Hydrol. 2004, 68, 83–95. [Google Scholar] [CrossRef]
- Kurylyk, B.; Irvine, D.; Carey, S.K.; Briggs, M.; Werkema, D.; Bonham, M. Heat as a groundwater tracer in shallow and deep heterogeneous media: Analytical solution, spreadsheet tool, and field applications. Hydrol. Process. 2017, 31, 2648–2661. [Google Scholar] [CrossRef] [PubMed]
- Shinn, E.A.; Reich, C.; Donald Hickey, T. Seepage meters and Bernoulli’s Revenge. Estuaries 2002, 25, 126–132. [Google Scholar] [CrossRef]
- McBride, M.S.; Pfannkuch, H.O. Distribution of seepage within lakebeds. J. Res. US Geol. Surv. 1975, 3, 505–512. [Google Scholar]
- Anderson, R.B.; Naftz, D.L.; Day-Lewis, F.D.; Henderson, R.D.; Rosenberry, D.O.; Stolp, B.J.; Jewell, P. Quantity and quality of groundwater discharge in a hypersaline lake environment. J. Hydrol. 2014, 512, 177–194. [Google Scholar] [CrossRef]
- Belanger, T.; Mikutel, D.F.; Churchill, P.A. Groundwater seepage nutrient loading in a Florida Lake. Water Res. 1985, 19, 773–781. [Google Scholar] [CrossRef]
- Rosenberry, D.; LaBaugh, J.W.; Hunt, R. Use of Monitoring Wells, Portable Piezometers, and Seepage Meters to Quantify Flow between Surface Water and Ground Water. In Field Techniques for Estimating Water Fluxes Between Surface Water and Ground Water; US Department of the Interior, US Geological Survey: Washington, DC, USA; Reston, VA, USA, 2008; pp. 39–70. [Google Scholar]
- Rosenberry, D. Integrating seepage heterogeneity with the use of ganged seepage meters. Limnol. Oceanogr. Methods 2005, 3, 131–142. [Google Scholar] [CrossRef]
- Shaw, R.D.; Prepas, E.E. Groundwater-Lake Interactions: I. Accuracy of Seepage Meter Estimates of Lake Seepage. J. Hydrol. 1990, 119, 105–120. [Google Scholar] [CrossRef]
- Shaw, R.D.; Prepas, E.E. Groundwater Lake Interactions: 2. Nearshore Seepage Patterns and the Contribution of Ground-Water to Lakes in Central Alberta. J. Hydrol. 1990, 119, 121–136. [Google Scholar] [CrossRef]
- Murdoch, L.C.; Kelly, S.E. Factors affecting the performance of conventional seepage meters. Water Resour. Res. 2003, 39. [Google Scholar] [CrossRef]








| Parameter | Value | Unit | Symbol | 
|---|---|---|---|
| Density of the fluid (assuming discharging fresh water dominated) | 1000.8 | kg m−3 | ρ | 
| Specific heat capacity of the fluid | 4192 | J kg−1 °C−1 | cf | 
| Distance to stable groundwater temperature | 5 | m | L | 
| Effective thermal conductivity (homogeneous scenario) | 1.84 | W m−1 °C−1 | Ke | 
| Effective thermal conductivity (heterogeneous scenario): | |||
| Zone 1 (points 1 to 11) | 0.72 | W m−1 °C−1 | Ke | 
| Zone 2 (points 12 to 17) | 1.46 | W m−1 °C−1 | |
| Zone 3 (points 18 to 30) | 1.82 | W m−1 °C−1 | |
| Groundwater temperature (annual mean) | 9.8 | °C | Tg | 
| Lagoon temperature | Top sensor | °C | Ts | 
© 2019 by the authors. Licensee MDPI, Basel, Switzerland. This article is an open access article distributed under the terms and conditions of the Creative Commons Attribution (CC BY) license (http://creativecommons.org/licenses/by/4.0/).
Share and Cite
Tirado-Conde, J.; Engesgaard, P.; Karan, S.; Müller, S.; Duque, C. Evaluation of Temperature Profiling and Seepage Meter Methods for Quantifying Submarine Groundwater Discharge to Coastal Lagoons: Impacts of Saltwater Intrusion and the Associated Thermal Regime. Water 2019, 11, 1648. https://doi.org/10.3390/w11081648
Tirado-Conde J, Engesgaard P, Karan S, Müller S, Duque C. Evaluation of Temperature Profiling and Seepage Meter Methods for Quantifying Submarine Groundwater Discharge to Coastal Lagoons: Impacts of Saltwater Intrusion and the Associated Thermal Regime. Water. 2019; 11(8):1648. https://doi.org/10.3390/w11081648
Chicago/Turabian StyleTirado-Conde, Joel, Peter Engesgaard, Sachin Karan, Sascha Müller, and Carlos Duque. 2019. "Evaluation of Temperature Profiling and Seepage Meter Methods for Quantifying Submarine Groundwater Discharge to Coastal Lagoons: Impacts of Saltwater Intrusion and the Associated Thermal Regime" Water 11, no. 8: 1648. https://doi.org/10.3390/w11081648
APA StyleTirado-Conde, J., Engesgaard, P., Karan, S., Müller, S., & Duque, C. (2019). Evaluation of Temperature Profiling and Seepage Meter Methods for Quantifying Submarine Groundwater Discharge to Coastal Lagoons: Impacts of Saltwater Intrusion and the Associated Thermal Regime. Water, 11(8), 1648. https://doi.org/10.3390/w11081648
 
        


 
       