Decadal-Scale Variations of Thalweg Morphology and Riffle–Pool Sequences in Response to Flow Regulation in the Lowermost Mississippi River
Abstract
1. Introduction
1.1. Study Aims
1.2. Study Site
1.3. Previous Studies on Riffle–Pool Sequence
1.4. Relevant Studies in the LMR
2. Materials and Methods
2.1. Constructing Thalweg Profiles
2.2. Riffle–Pool Identification and Analysis
3. Results
3.1. Thalweg Profiles
3.2. Cumulative Elevation Changes
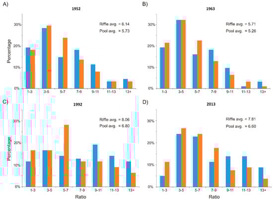
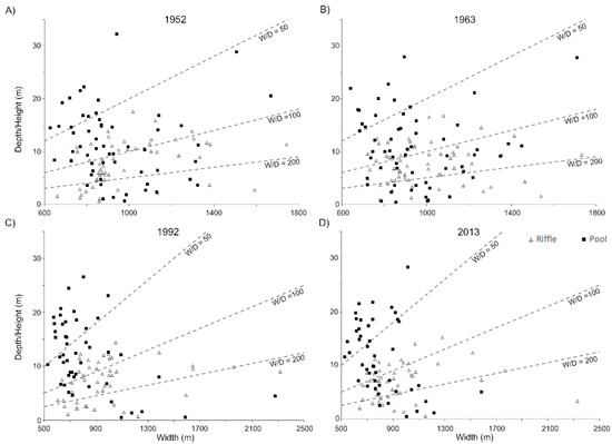
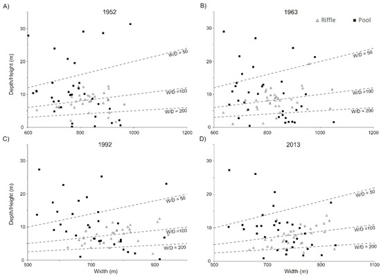
3.3. Riffle–Pool Amplitude, Length, and Ws Ratio
4. Discussion
4.1. Cumulative Elevation Changes
4.2. Statistical Results of Riffles and Pools
4.3. Cross-Sectional and Temporal Adjustments of Riffle–Pool Sequences
5. Conclusions
Supplementary Materials
Author Contributions
Funding
Acknowledgments
Conflicts of Interest
References
- Schumm, S.A.; Rutherfurd, I.D. Pre-Cutoff Morphology of the Lower Mississippi River; The University of Melbourne: Parkville, Australia, 1994; pp. 13–44. [Google Scholar]
 - Milliman, J.D.; Farnsworth, K.L. River Discharge to the Coastal Ocean: A global Synthesis; Cambridge University Press: Cambridge, UK, 2013. [Google Scholar]
 - Fisk, H.N. Geological Investigation of the Atchafalaya Basin and the Problem of Mississippi River Diversion; Waterways Experiment Station: Vicksburg, MS, USA, 1952. [Google Scholar]
 - Mossa, J. Sediment dynamics in the lowermost Mississippi River. Eng. Geol. 1996, 45, 457–479. [Google Scholar] [CrossRef]
 - Kesel, R.H. The decline in the suspended load of the lower Mississippi River and its influence on adjacent wetlands. Environ. Geol. Water Sci. 1988, 11, 271–281. [Google Scholar] [CrossRef]
 - Kesel, R.H. Human modifications to the sediment regime of the Lower Mississippi River flood plain. Geomorphology 2003, 56, 325–334. [Google Scholar] [CrossRef]
 - Blum, M.D.; Roberts, H.H. Drowning of the Mississippi Delta due to insufficient sediment supply and global sea-level rise. Nat. Geosci. 2009, 2, 488. [Google Scholar] [CrossRef]
 - Blum, M.D.; Roberts, H.H. The Mississippi delta region: Past, present, and future. Ann. Rev. Earth Planet. Sci. 2012, 40, 655–683. [Google Scholar] [CrossRef]
 - Meade, R.H.; Moody, J.A. Causes for the decline of suspended-sediment discharge in the Mississippi River system, 1940–2007. Hydrol. Process. Int. J. 2010, 24, 35–49. [Google Scholar] [CrossRef]
 - Couvillion, B.R.; Barras, J.A.; Steyer, G.D.; Sleavin, W.; Fischer, M.; Beck, H.; Trahan, N.; Griffin, B.; Heckman, D. Land Area Change in Coastal Louisiana from 1932 to 2010; U.S. Geological Survey: Reston, AV, USA, 2011.
 - Nittrouer, J.A.; Allison, M.A.; Campanella, R. Bedform transport rates for the lowermost Mississippi River. J. Geophys. Res. Earth Surf. 2008, 113. [Google Scholar] [CrossRef]
 - Rosen, T.; Xu, Y. A hydrograph-based sediment availability assessment: Implications for Mississippi River sediment diversion. Water 2014, 6, 564–583. [Google Scholar] [CrossRef]
 - Rosen, T.; Xu, Y.J. Estimation of sedimentation rates in the distributary basin of the Mississippi River, the Atchafalaya River Basin, USA. Hydrol. Res. 2013, 46, 244–257. [Google Scholar] [CrossRef]
 - Wang, B.; Xu, Y.J. Decadal-Scale Riverbed Deformation and Sand Budget of the Last 500 km of the Mississippi River: Insights into Natural and River Engineering Effects on a Large Alluvial River. J. Geophys. Res. Earth Surf. 2018, 123, 874–890. [Google Scholar] [CrossRef]
 - Joshi, S.; Xu, Y.J. Assessment of Suspended Sand Availability under Different Flow Conditions of the Lowermost Mississippi River at Tarbert Landing during 1973–2013. Water 2015, 7, 7022–7044. [Google Scholar] [CrossRef]
 - Joshi, S.; Xu, Y.J. Bedload and Suspended Load Transport in the 140-km Reach Downstream of the Mississippi River Avulsion to the Atchafalaya River. Water 2017, 9, 716. [Google Scholar] [CrossRef]
 - Wang, B.; Xu, Y.J. Bedload Transport at the Mississippi-Atchafalaya River Diversion. Coast. Sediments 2019, 2930–2943. [Google Scholar] [CrossRef]
 - Curran, J.H.; Wohl, E.E. Large woody debris and flow resistance in step-pool channels, Cascade Range, Washington. Geomorphology 2003, 51, 141–157. [Google Scholar] [CrossRef]
 - Harmar, O.P.; Clifford, N.J.; Thorne, C.R.; Biedenharn, D.S. Morphological changes of the Lower Mississippi River: Geomorphological response to engineering intervention. River Res. Appl. 2005, 21, 1107–1131. [Google Scholar] [CrossRef]
 - Harmar, O.P.; Clifford, N.J. Geomorphological explanation of the long profile of the Lower Mississippi River. Geomorphology 2007, 84, 222–240. [Google Scholar] [CrossRef]
 - Knighton, D. Fluvial Forms and Processes: A New Perspective; Routledge: Abingdon, UK, 2014. [Google Scholar]
 - Hudson, P. Pool-Riffle Morphology in an Actively Migrating Alluvial Channel: The Lower Mississippi River. Phys. Geogr. 2002, 23, 154–169. [Google Scholar] [CrossRef]
 - Leopold, L.B.; Wolman, M.G.; Miller, J.P. Fluvial Processes in Geomorphology; Courier Corporation: Chelmsford, MA, USA, 2012. [Google Scholar]
 - Montgomery, D.R.; Buffington, J.M. Channel-reach morphology in mountain drainage basins. Geol. Soc. Am. Bull. 1997, 109, 596–611. [Google Scholar] [CrossRef]
 - Nelson, P.A.; Brew, A.K.; Morgan, J.A. Morphodynamic response of a variable-width channel to changes in sediment supply. Water Resour. Res. 2015, 51, 5717–5734. [Google Scholar] [CrossRef]
 - Leopold, L.B.; Wolman, M.G. River meanders. Geol. Soc. Am. Bull. 1960, 71, 769–793. [Google Scholar] [CrossRef]
 - Keller, E.A.; Melhorn, W.N. Rhythmic spacing and origin of pools and riffles. Geol. Soc. Am. Bull. 1978, 89, 723–730. [Google Scholar] [CrossRef]
 - Richards, K.S. Channel width and the riffle-pool sequence. Geol. Soc. Am. Bull. 1976, 87, 883–890. [Google Scholar] [CrossRef]
 - Richards, K.S. The morphology of riffle-pool sequences. Earth Surf. Process. 1976, 1, 71–88. [Google Scholar] [CrossRef]
 - Clifford, N.J. Formation of riffle—Pool sequences: Field evidence for an autogenetic process. Sediment. Geol. 1993, 85, 39–51. [Google Scholar] [CrossRef]
 - Calderon, M.S.; An, K.-G. An influence of mesohabitat structures (pool, riffle, and run) and land-use pattern on the index of biological integrity in the Geum River watershed. J. Ecol. Environ. 2016, 40, 13. [Google Scholar] [CrossRef]
 - Jowett, I.G. A method for objectively identifying pool, run, and riffle habitats from physical measurements. N. Z. J. Mar. Freshw. Res. 1993, 27, 241–248. [Google Scholar] [CrossRef]
 - Keller, E.A. Pools, riffles, and channelization. Environ. Geol. 1978, 2, 119–127. [Google Scholar] [CrossRef]
 - Joshi, S.; Jun, X.Y. Recent changes in channel morphology of a highly engineered alluvial river—The Lower Mississippi River. Phys. Geogr. 2018, 39, 140–165. [Google Scholar] [CrossRef]
 - Milliman, J.D.; Meade, R.H. World-wide delivery of river sediment to the oceans. J. Geol. 1983, 91, 1–21. [Google Scholar] [CrossRef]
 - Meade, R.H. River-sediment inputs to major deltas. In Sea-Level Rise and Coastal Subsidence; Springer: Berlin, Germany, 1996; pp. 63–85. [Google Scholar]
 - Nittrouer, J.A.; Shaw, J.; Lamb, M.P.; Mohrig, D. Spatial and temporal trends for water-flow velocity and bed-material sediment transport in the lower Mississippi River. Geol. Soc. Am. Bull. 2012, 124, 400–414. [Google Scholar] [CrossRef]
 - Allison, M.A.; Demas, C.R.; Ebersole, B.A.; Kleiss, B.A.; Little, C.D.; Meselhe, E.A.; Powell, N.J.; Pratt, T.C.; Vosburg, B.M. A water and sediment budget for the lower Mississippi–Atchafalaya River in flood years 2008–2010: Implications for sediment discharge to the oceans and coastal restoration in Louisiana. J. Hydrol. 2012, 432, 84–97. [Google Scholar] [CrossRef]
 - Benke, A.C.; Cushing, C.E. Rivers of North America; Elsevier: Amsterdam, The Netherlands, 2011. [Google Scholar]
 - Nittrouer, J.A.; Mohrig, D.; Allison, M.A.; PEYRET, A.-P.B. The lowermost Mississippi River: A mixed bedrock-alluvial channel. Sedimentology 2011, 58, 1914–1934. [Google Scholar] [CrossRef]
 - Keown, M.P.; Dardeau, E.A., Jr.; Causey, E.M. Historic Trends in the Sediment Flow Regime of the Mississippi River. Water Resour. Res. 1986, 22, 1555–1564. [Google Scholar] [CrossRef]
 - Nittrouer, J.A.; Mohrig, D.; Allison, M. Punctuated sand transport in the lowermost Mississippi River. J. Geophys. Res. Earth Surf. 2011, 116, F04025. [Google Scholar] [CrossRef]
 - Seed, R.B.; Bea, R.G.; Abdelmalak, R.I.; Athanasopoulos, A.G.; Boutwell, G.P., Jr.; Bray, J.D.; Briaud, J.-L.; Cheung, C.; Cobos-Roa, D.; Cohen-Waeber, J. Investigation of the Performance of the New Orleans Flood Protection System in Hurricane Katrina on August 29, 2005: Volume 2; Independent Levee Investigation Team: New Orleans, MS, USA, 2006; Volume 2. [Google Scholar]
 - Elliott, D.O. Improvement of the Lower Mississippi River for Flood Control and Navigation; MRC Print: Louis, MO, USA, 1932. [Google Scholar]
 - Ferguson, H.B. History of the Improvement of the Lower Mississippi River for Flood Control and Navigation, 1932–1939; MRC Print: Louis, MO, USA, 1940. [Google Scholar]
 - Moore, N.R. Improvement of the Lower Mississippi River and Tributaries, 1931–1972; Mississippi River Commission: Vicksburg, MS, USA, 1972.
 - Mossa, J.; Chen, Y.-H.; Wu, C.-Y. Geovisualization geoscience of large river floodplains. J. Maps 2019, 1–17. [Google Scholar] [CrossRef]
 - Copeland, R.R.; Thomas, W.A. Lower Mississippi River Tarbert Landing to East Jetty Sedimentation Study; Numerical Model Investigation; Army Engineer Waterways Experiment Station: Vicksburg, MS, USA, 1992. [Google Scholar]
 - Mossa, J. Historical changes of a major juncture: Lower Old River, Louisiana. Phys. Geogr. 2013, 34, 315–334. [Google Scholar] [CrossRef]
 - Biedenharn, D.S.; Thorne, C.R.; Watson, C.C. Recent morphological evolution of the Lower Mississippi River. Geomorphology 2000, 34, 227–249. [Google Scholar] [CrossRef]
 - Yang, C.T. Formation of Riffles and Pools. Water Resour. Res. 1971, 7, 1567–1574. [Google Scholar] [CrossRef]
 - Clifford, N.J.; Richards, K.S. The reversal hypothesis and the maintenance of riffle-pool sequences: A review and field appraisal. In Lowland Floodplain Rivers: Geomorphological Perspectives; Carling, P., Petts, G.E., Eds.; John Wiley: Chichester, UK, 1992; pp. 43–70. [Google Scholar]
 - Keller, E.A. Development of alluvial stream channels: A five-stage model. Geol. Soc. Am. Bull. 1972, 83, 1531–1536. [Google Scholar] [CrossRef]
 - Lisle, T. A sorting mechanism for a riffle-pool sequence. Geol. Soc. Am. Bull. 1979, 90, 1142–1157. [Google Scholar] [CrossRef]
 - Sear, D.A. Sediment transport processes in pool-riffle sequences. Earth Surf. Process. Landf. 1996, 21, 241–262. [Google Scholar] [CrossRef]
 - Milan, D.J.; Heritage, G.L.; Large, A.R.G.; Charlton, M.E. Stage dependent variability in tractive force distribution through a riffle–pool sequence. Catena 2001, 44, 85–109. [Google Scholar] [CrossRef]
 - Clifford, N.J. Differential bed sedimentology and the maintenance of riffle-pool sequences. Catena 1993, 20, 447–468. [Google Scholar] [CrossRef]
 - Thompson, D.M.; Wohl, E.E.; Jarrett, R.D. Velocity reversals and sediment sorting in pools and riffles controlled by channel constrictions. Geomorphology 1999, 27, 229–241. [Google Scholar] [CrossRef]
 - Milan, D.J.; Heritage, G.L.; Large, A.R.G. Tracer pebble entrainment and deposition loci: Influence of flow character and implications for riffle-pool maintenance. Geol. Soc. Lond. Spec. Publ. 2002, 191, 133–148. [Google Scholar] [CrossRef]
 - Thompson, D.M. Random controls on semi-rhythmic spacing of pools and riffles in constriction-dominated rivers. Earth Surf. Process. Landf. 2001, 26, 1195–1212. [Google Scholar] [CrossRef]
 - Leopold, A.C. Plant Growth and Development; Mcgraw-Hill Book Company: New York, NY, USA, 1964. [Google Scholar]
 - Bovee, K.D.; Milhous, R. Hydraulic Simulation in Instream Flow Studies: Theory and Techniques; IFIP No. 5; US Fish and Wildlife Service: Washington, DC, USA, 1978.
 - Hey, R.D.; Thorne, C.R. Stable channels with mobile gravel beds. J. Hydraul. Eng. 1986, 112, 671–689. [Google Scholar] [CrossRef]
 - Slocombe, M.L.; Davis, J.D. Morphology of small, discontinuous montane meadow streams in the Sierra Nevada. Geomorphology 2014, 219, 103–113. [Google Scholar] [CrossRef]
 - Gibson, S.; Osorio, A.; Creech, C.; Amorim, R.; Dircksen, M.; Dahl, T.; Koohafkan, M. Two pool-to-pool spacing periods on large sand-bed rivers: Mega-pools on the Madeira and Mississippi. Geomorphology 2019, 328, 196–210. [Google Scholar] [CrossRef]
 - Montgomery, D.R.; Buffington, J.M.; Smith, R.D.; Schmidt, K.M.; Pess, G. Pool spacing in forest channels. Water Resour. Res. 1995, 31, 1097–1105. [Google Scholar] [CrossRef]
 - Wohl, E.E.; Vincent, K.R.; Merritts, D.J. Pool and riffle characteristics in relation to channel gradient. Geomorphology 1993, 6, 99–110. [Google Scholar] [CrossRef]
 - Dury, G.H. A Re-Survey of Part of the Hawkesbury River, New South Wales, After One Hundred Years. Geogr. Res. 1970, 8, 121–132. [Google Scholar] [CrossRef]
 - Hudson, P.F.; Kesel, R.H. Spatial and temporal adjustment of the lower Mississippi River to major human impacts. Z. Geomorphol. Suppl. 2006, 143, 17–33. [Google Scholar]
 - Allison, M.A.; Meselhe, E.A. The use of large water and sediment diversions in the lower Mississippi River (Louisiana) for coastal restoration. J. Hydrol. 2010, 387, 346–360. [Google Scholar] [CrossRef]
 - Smith, L.M.; Winkley, B.R. The response of the Lower Mississippi River to river engineering. Eng. Geol. 1996, 45, 433–455. [Google Scholar] [CrossRef]
 - Biedenharn, D.S.; Watson, C.C. Stage adjustment in the lower Mississippi River, USA. Regul. Rivers Res. Manag. 1997, 13, 517–536. [Google Scholar] [CrossRef]
 - Meselhe, E.A.; Sadid, K.M.; Allison, M.A. Riverside morphological response to pulsed sediment diversions. Geomorphology 2016, 270, 184–202. [Google Scholar] [CrossRef]
 - Wang, B.; Xu, Y.J. Long-term geomorphic response to flow regulation in a 10-km reach downstream of the Mississippi–Atchafalaya River diversion. J. Hydrol. Reg. Stud. 2016, 8, 10–25. [Google Scholar] [CrossRef]
 - Ramirez, M.T.; Allison, M.A. Suspension of bed material over sand bars in the Lower Mississippi River and its implications for Mississippi delta environmental restoration. J. Geophys. Res. Earth Surf. 2013, 118, 1085–1104. [Google Scholar] [CrossRef]
 - Wang, B.; Xu, Y. Sediment trapping by emerged channel bars in the lowermost Mississippi River during a major flood. Water 2015, 7, 6079–6096. [Google Scholar] [CrossRef]
 - Kesel, R.H.; Yodis, E.G.; McCraw, D.J. An approximation of the sediment budget of the lower Mississippi River prior to major human modification. Earth Surf. Process. Landf. 1992, 17, 711–722. [Google Scholar] [CrossRef]
 - Wu, C.-Y.; Mossa, J.; Mao, L.; Almulla, M. Comparison of different spatial interpolation methods for historical hydrographic data of the lowermost Mississippi River. Ann. GIS 2019, 0, 1–19. [Google Scholar] [CrossRef]
 - Welch, R.; Homsey, A. Datum Shifts for UTM Coordinates. Photogramm. Eng. Remote Sens. 1997, 63, 371–375. [Google Scholar]
 - Carling, P.A.; Orr, H.G. Morphology of riffle–pool sequences in the River Severn, England. Earth Surf. Process. Landf. 2000, 25, 369–384. [Google Scholar] [CrossRef]
 - O’Neill, M.P.; Abrahams, A.D. Objective identification of pools and riffles. Water Resour. Res. 1984, 20, 921–926. [Google Scholar] [CrossRef]
 - Lofthouse, C.; Robert, A. Riffle–pool sequences and meander morphology. Geomorphology 2008, 99, 214–223. [Google Scholar] [CrossRef]
 - Harmar, O.P. Morphological and Process Dynamics of the Lower Mississippi River. Ph.D. Thesis, University of Nottingham, Nottingham, UK, 2004. [Google Scholar]
 - Milne, J.A. Bed-material size and the riffle-pool sequence. Sedimentology 1982, 29, 267–278. [Google Scholar] [CrossRef]
 - Knox, R.L.; Latrubesse, E.M. A geomorphic approach to the analysis of bedload and bed morphology of the Lower Mississippi River near the Old River Control Structure. Geomorphology 2016, 268, 35–47. [Google Scholar] [CrossRef]
 - Kesel, R.H.; Dunne, K.C.; McDonald, R.C.; Allison, K.R.; Spicer, B.E. Lateral erosion and overbank deposition on the Mississippi River in Louisiana caused by 1973 flooding. Geology 1974, 2, 461–464. [Google Scholar] [CrossRef]
 - Chatanantavet, P.; Lamb, M.P.; Nittrouer, J.A. Backwater controls of avulsion location on deltas. Geophys. Res. Lett. 2012, 39. [Google Scholar] [CrossRef]
 - Mossa, J. The changing geomorphology of the Atchafalaya River, Louisiana: A historical perspective. Geomorphology 2016, 252, 112–127. [Google Scholar] [CrossRef]
 - Day, J.; Hunter, R.; Keim, R.F.; DeLaune, R.; Shaffer, G.; Evers, E.; Reed, D.; Brantley, C.; Kemp, P.; Day, J. Ecological response of forested wetlands with and without large-scale Mississippi River input: Implications for management. Ecol. Eng. 2012, 46, 57–67. [Google Scholar] [CrossRef]
 - Lamb, M.P.; Nittrouer, J.A.; Mohrig, D.; Shaw, J. Backwater and river plume controls on scour upstream of river mouths: Implications for fluvio-deltaic morphodynamics. J. Geophys. Res. Earth Surf. 2012, 117, F01002. [Google Scholar] [CrossRef]
 - Lane, E.W. A Study of the Shape of Channels formed by Natural Streams Flowing in Erodible Material; US Army Corps of Engineers: Omaha, NE, USA, 1957.
 - Chow, V.T. Open-Channel Hydraulics; McGraw-Hill: New York, NY, USA, 1959; Volume 1. [Google Scholar]
 - Fagerburg, T.L.; Alexander, M.P. Underwater Sill Construction for Mitigating Salt Wedge Migration on the Lower Mississippi River; Army Engineer Waterways Experiment Station: Vicksburg, MS, USA, 1994. [Google Scholar]
 - McAnally, W.H.; Pritchard, D.W. Salinity control in Mississippi River under drought flows. J. Waterw. Port Coast. Ocean Eng. 1997, 123, 34–40. [Google Scholar] [CrossRef]
 - Saucier, R.T. Geomorphology and Quarternary Geologic History of the Lower Mississippi Valley; Army Engineer Waterways Experiment Station: Vicksburg, MS, USA, 1994; Volume 2. [Google Scholar]
 - Galler, J.J.; Allison, M.A. Estuarine controls on fine-grained sediment storage in the Lower Mississippi and Atchafalaya Rivers. Geol. Soc. Am. Bull. 2008, 120, 386–398. [Google Scholar] [CrossRef]
 - Chin, E.H.; Skelton, J.; Guy, H.P. The 1973 Mississippi River basin flood; compilation and analyses of meteorologic, streamflow, and sediment data. US Govt. Print. Off. 1975, 937. [Google Scholar] [CrossRef]
 - Schumm, S.A. The effect of sediment type on the shape and stratification of some modern fluvial deposits. Am. J. Sci. 1960, 258, 177–184. [Google Scholar] [CrossRef]
 - Kolb, C.R. Sediments forming the bed and banks of the lower Mississippi River and their effect on river migration. Sedimentology 1963, 2, 227–234. [Google Scholar] [CrossRef]
 - Krinitzsky, E.L. Geological Influences on Bank Erosion along Meanders of the Lower Mississippi River; Army Engineer Waterways Experiment Station: Vicksburg, MS, USA, 1965. [Google Scholar]
 - Schumm, S.A.; Spitz, W.J. Geological influences on the Lower Mississippi River and its alluvial valley. Eng. Geol. 1996, 45, 245–261. [Google Scholar] [CrossRef]
 - Edmonds, D.A.; Slingerland, R.L. Significant effect of sediment cohesion on delta morphology. Nat. Geosci. 2009, 3, 105. [Google Scholar] [CrossRef]
 - Knighton River Channel Adjustment—The Downstream Dimension. In River Channels: Environment and Process; Blackwell: Oxford, UK, 1987; pp. 95–128.
 















| Name Adopted in the Article | Dates of Survey | Number of Maps in Series | Cross-Section Numbers Used | 
|---|---|---|---|
| 1952 | 1949–1952 | 80 | 1892 | 
| 1963 | 1961–1963 | 86 | 1829 | 
| 1975 | 1973–1975 | 86 | 1831 | 
| 1992 | 1991–1992 | 86 | 1831 | 
| 2004 | 2003–2004 | 104 | 1832 | 
| 2013 | 2013 | 86 | 1832 | 
| Method | Description | Studies Advocating This Method | 
|---|---|---|
| Zero-crossing analysis | Fitting a regression model for the bed profiles to identify positive (riffle) and negative (pool) residuals departures from zero (regression line). | [28,68,84] | 
| Bed-form differencing technique | This method identifies pools and riffles by checking if cumulative elevation changes exceed a certain tolerance value. The tolerance value is usually based on the standard deviation of successive differences in bed elevations. | [81] | 
| Power spectral analysis | Similar to spectral analysis, describing thalweg data as both periodic and random fluctuations. A second-order recreation is used for autoregressive process. | [29] | 
| Control-point method | Extending the base flow water surface upstream from the low point in each riffle crest until it intersects the bed upstream; then, the pool lengths can be defined. | [51] | 
| Period | Degradation | Aggradation | Slight/No Change | 
|---|---|---|---|
| 1952–1963 | – | 490–205, 120–0 | 205–120 | 
| 1963–1975 | 205–0 | 490–360, 40–0 | 360–205 | 
| 1975–1992 | 270–0 | 360–270 | 490–360 | 
| 1992–2004 | – | 490–205, 120–0 | 205–120 | 
| 2004–2013 | 310–40 | 40–0 | 490–310 | 
| Year | UR | UP | LR | LP | |
|---|---|---|---|---|---|
| Length (m) | 2013 | 6099 | 6099 | 5220 | 5209 | 
| 1992 | 5890 | 5918 | 5534 | 5563 | |
| 1963 | 4781 | 4728 | 5056 | 5046 | |
| 1952 | 4932 | 4972 | 5373 | 5389 | |
| Amplitude (m) | 2013 | 6.67 | 11.33 | 6.97 | 9.11 | 
| 1992 | 6.84 | 11.99 | 7.04 | 10.66 | |
| 1963 | 7.25 | 9.86 | 7.89 | 10.17 | |
| 1952 | 7.41 | 10.89 | 7.59 | 11.15 | |
| W/D ratio | 2013 | 141.00 | 70.10 | 107.86 | 78.71 | 
| 1992 | 136.93 | 68.38 | 103.42 | 65.80 | |
| 1963 | 130.99 | 88.96 | 104.92 | 76.31 | |
| 1952 | 125.94 | 82.64 | 106.60 | 69.48 | 
| Year † | Dates Spillway Opened | Max. Number of Bays Open | Max. Discharge (m3/s) | Sediment Deposition (106 × m3) | 
|---|---|---|---|---|
| 1950 | February 10–March 19 | 350 | 6315 | 3.8 | 
| 1973 | April 8–June 21 | 350 | 5523 | 11.5 | 
| 1975 | April 14–26 | 225 | 3115 | 1.5 | 
| 1979 | April 17–May 31 | 350 | 6457 | 3.8 | 
| 1983 | May 20–June 23 | 350 | 7590 | 3.8 | 
| 1997 | March 17–April 18 | 298 | 6797 | 6.9 | 
| 2008 | April 11–May 8 | 160 | 4531 | 1.5 | 
| 2011 | May 9–June 20 | 330 | 8949 | 7.2 | 
© 2019 by the authors. Licensee MDPI, Basel, Switzerland. This article is an open access article distributed under the terms and conditions of the Creative Commons Attribution (CC BY) license (http://creativecommons.org/licenses/by/4.0/).
Share and Cite
Wu, C.-Y.; Mossa, J. Decadal-Scale Variations of Thalweg Morphology and Riffle–Pool Sequences in Response to Flow Regulation in the Lowermost Mississippi River. Water 2019, 11, 1175. https://doi.org/10.3390/w11061175
Wu C-Y, Mossa J. Decadal-Scale Variations of Thalweg Morphology and Riffle–Pool Sequences in Response to Flow Regulation in the Lowermost Mississippi River. Water. 2019; 11(6):1175. https://doi.org/10.3390/w11061175
Chicago/Turabian StyleWu, Chia-Yu, and Joann Mossa. 2019. "Decadal-Scale Variations of Thalweg Morphology and Riffle–Pool Sequences in Response to Flow Regulation in the Lowermost Mississippi River" Water 11, no. 6: 1175. https://doi.org/10.3390/w11061175
APA StyleWu, C.-Y., & Mossa, J. (2019). Decadal-Scale Variations of Thalweg Morphology and Riffle–Pool Sequences in Response to Flow Regulation in the Lowermost Mississippi River. Water, 11(6), 1175. https://doi.org/10.3390/w11061175
        
