Comparison of Actuator Line Method and Full Rotor Geometry Simulations of the Wake Field of a Tidal Stream Turbine
Abstract
1. Introduction
2. Methods
2.1. Experimental Setup
2.2. The Actuator Line (AL) Model
2.3. The Full Rotor Geometry (FRG) Method
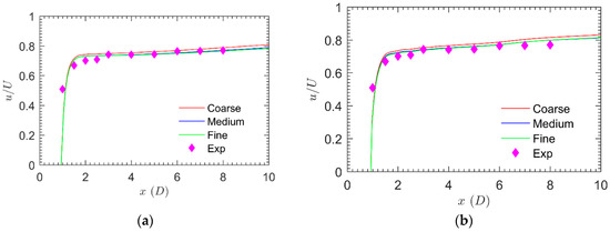
2.4. Mesh Refinement Study
3. Results
3.1. Velocity Distribution
3.1.1. Mean Velocity Distribution
3.1.2. Instantaneous Velocity Distribution
3.2. Turbulence Intensity (TI)
3.3. Vorticity
4. Discussion
5. Conclusions
- Both the AL method and the FRG method are capable of predicting mean stream-wise velocity distribution in the downstream filed with acceptable accuracy. Compared with the FRG method, the AL method generally gives a better agreement with experimental data, especially in the range of x = 2D to 6D.
- The AL method and the FRG method give similar predictions of flow features, including the circumferential velocity, TI level and vorticity, in the downstream field, although the AL method tends to underestimate them slightly.
- Considering that the AL method saves much more computing time and can also obtain key flow features in the wake, the AL method can be regarded as a useful and effective method in reproducing the wake of a TST.
- The existence of the supporting structure has a significant influence on wake properties of the TST, especially in the near wake region within 2D downstream. It results in a region behind it with a low velocity, and high TI and vorticity level.
Author Contributions
Funding
Acknowledgments
Conflicts of Interest
Nomenclature
| TST | tidal stream turbine |
| TI | turbulence intensity |
| CFD | computational fluid dynamics |
| AD | actuator discs |
| BEM | blade element momentum |
| FRG | full rotor geometry |
| AL | actuator line |
| LES | large eddy simulation |
| HPC | High Performance Computing |
| RAM | random access memory |
| RANS | Reynolds-averaged Navier-Stokes |
| SST | shear stress transport |
| ADV | acoustic Doppler velocimeter |
| SNR | signal to noise ratio |
| PISO | Pressure-Implicit with Splitting of Operators |
| CFL | Courant–Friedrichs–Lewy |
| NACA | the National Advisory Committee for Aeronautics |
| D | rotor diameter |
| R | rotor radius |
| r | radial location of local blade cross-sections |
| c | chord length of local blade cross-sections |
| h | water depth |
| TSR | tip speed ratio |
| source term in the i direction due to the blades’ forces | |
| axial forces imposed on a blade element | |
| rotational forces imposed on a blade element | |
| water density | |
| width of a blade element | |
| relative velocity | |
| lift coefficient | |
| drag coefficient | |
| sectional Reynolds number | |
| local angle of attack | |
| blade’s rotation speed | |
| blade element’s twist angle | |
| flow angle | |
| flow velocity in the Z direction | |
| flow velocity in the and direction | |
| projection width | |
| parameters | |
| projection distance | |
| local stream-wise flow velocity | |
| mean approach velocity | |
| Froude number | |
| acceleration due to gravity | |
| AMI | arbitrary mesh interface |
| y+ | non-dimensional wall distance |
| longitudinal distance away from the rotor center | |
| transverse distance away from the rotor center | |
| vertical distance away from the rotor center | |
| RMSE | root mean square error |
| vorticity |
References
- Mejia-Olivares, C.J.; Haigh, I.D.; Wells, N.C.; Coles, D.S.; Lewis, M.J.; Neill, S.P. Tidal-stream energy resource characterisation for the Gulf of California, México. Energy 2018, 156, 481–491. [Google Scholar] [CrossRef]
- Bonar, P.A.J.; Schnabl, A.M.; Lee, W.K.; Adcock, T.A.A. Assessment of the Malaysian tidal stream energy resource using an upper bound approach. J. Ocean Eng. Mar. Energy 2018, 4, 99–109. [Google Scholar] [CrossRef]
- Lamy, J.V.; Azevedo, I.L. Do tidal stream energy projects offer more value than offshore wind farms? A case study in the United Kingdom. Energy Policy 2018, 113, 28–40. [Google Scholar] [CrossRef]
- Lin, J.; Lin, B.L.; Sun, J.; Chen, Y.L. Modelling hydrodynamic processes in tidal stream energy extraction. J. Hydrodyn. 2016, 28, 1058–1064. [Google Scholar] [CrossRef]
- Zheng, J.; Dai, P.; Zhang, J. Tidal stream energy in China. Procedia Eng. 2015, 116, 880–887. [Google Scholar] [CrossRef][Green Version]
- Payne, G.S.; Stallard, T.; Martinez, R. Design and manufacture of a bed supported tidal turbine model for blade and shaft load measurement in turbulent flow and waves. Renew. Energy 2017, 107, 312–326. [Google Scholar] [CrossRef]
- Martinez, R.; Payne, G.S.; Bruce, T. The effects of oblique waves and currents on the loadings and performance of tidal turbines. Ocean Eng. 2018, 164, 55–64. [Google Scholar] [CrossRef]
- Lewis, M.; Neill, S.P.; Robins, P.E.; Hashemi, M.R. Resource assessment for future generations of tidal-stream energy arrays. Energy 2015, 83, 403–415. [Google Scholar] [CrossRef]
- González-Gorbeña, E.; Qassim, R.Y.; Rosman, P.C.C. Optimisation of hydrokinetic turbine array layouts via surrogate modelling. Renew. Energy 2016, 93, 45–57. [Google Scholar] [CrossRef]
- Funke, S.W.; Kramer, S.C.; Piggott, M.D. Design optimisation and resource assessment for tidal-stream renewable energy farms using a new continuous turbine approach. Renew. Energy 2016, 99, 1046–1061. [Google Scholar] [CrossRef]
- Funke, S.W.; Farrell, P.E.; Piggott, M.D. Tidal turbine array optimisation using the adjoint approach. Renew. Energy 2014, 63, 658–673. [Google Scholar] [CrossRef]
- Stansby, P.; Stallard, T. Fast optimisation of tidal stream turbine positions for power generation in small arrays with low blockage based on superposition of self-similar far-wake velocity deficit profiles. Renew. Energy 2016, 92, 366–375. [Google Scholar] [CrossRef]
- McCombie, P.; Sullivan, P. Optimisation of tidal power arrays using a genetic algorithm. Proc. ICE-Energy 2013, 166, 19–28. [Google Scholar]
- Funke, S.W.; Thyng, K.M.; Roc, T. Standard methodology for tidal array project optimisation: An idealized study of the Minas Passage. In Proceedings of the 11th European Wave and Tidal Energy Conference—EWTEC, Nantes, France, 6–11 September 2015. [Google Scholar]
- Myers, L.E.; Bahaj, A.S. An experimental investigation simulating flow effects in first generation marine current energy converter arrays. Renew. Energy 2012, 37, 28–36. [Google Scholar] [CrossRef]
- Ahmadian, R.; Falconer, R.A. Assessment of array shape of tidal stream turbines on hydro-environmental impacts and power output. Renew. Energy 2012, 44, 318–327. [Google Scholar] [CrossRef]
- Nash, S.; Phoenix, A. A review of the current understanding of the hydro-environmental impacts of energy removal by tidal turbines. Renew. Sustain. Energy Rev. 2017, 80, 648–662. [Google Scholar] [CrossRef]
- Mycek, P.; Gaurier, B.; Germain, G.; Pinon, G.; Rivoalen, E. Experimental study of the turbulence intensity effects on marine current turbines behaviour. Part I: One single turbine. Renew. Energy 2014, 66, 729–746. [Google Scholar] [CrossRef]
- Mycek, P.; Gaurier, B.; Germain, G.; Pinon, G.; Rivoalen, E. Experimental study of the turbulence intensity effects on marine current turbines behaviour. Part II: Two interacting turbines. Renew. Energy 2014, 68, 876–892. [Google Scholar] [CrossRef]
- Chamorro, L.P.; Hill, C.; Morton, S.; Ellis, C.; Arndt, R.E.A.; Sotiropoulos, F. On the interaction between a turbulent open channel flow and an axial-flow turbine. J. Fluid Mech. 2013, 716, 658–670. [Google Scholar] [CrossRef]
- Tedds, S.C.; Owen, I.; Poole, R.J. Near-wake characteristics of a model horizontal axis tidal stream turbine. Renew. Energy 2014, 63, 222–235. [Google Scholar] [CrossRef]
- Stallard, T.; Feng, T.; Stansby, P.K. Experimental study of the mean wake of a tidal stream rotor in a shallow turbulent flow. J. Fluids Struct. 2015, 54, 235–246. [Google Scholar] [CrossRef]
- Chen, Y.; Lin, B.; Lin, J.; Wang, S. Experimental study of wake structure behind a horizontal axis tidal stream turbine. Appl. Energy 2017, 196, 82–96. [Google Scholar] [CrossRef]
- Harrison, M.E.; Batten, W.M.J.; Myers, L.E.; Bahaj, A.S. A comparison between CFD simulations and experiments for predicting the far wake of horizontal axis tidal turbines. IET Renew. Power Gener. 2010, 4, 613. [Google Scholar] [CrossRef]
- Thiébot, J.; Guillou, S.; Nguyen, V.T. Modelling the effect of large arrays of tidal turbines with depth-averaged Actuator Disks. Ocean Eng. 2016, 126, 265–275. [Google Scholar] [CrossRef]
- Shives, M.; Crawford, C. Adapted two-equation turbulence closures for actuator disk RANS simulations of wind & tidal turbine wakes. Renew. Energy 2016, 92, 273–292. [Google Scholar]
- Batten, W.M.; Harrison, M.E.; Bahaj, A.S. Accuracy of the actuator disc-RANS approach for predicting the performance and wake of tidal turbines. Philos. Trans. 2013, 371, 20120293. [Google Scholar] [CrossRef] [PubMed]
- Edmunds, M.; Williams, A.J.; Masters, I.; Croft, T.N. An enhanced disk averaged CFD model for the simulation of horizontal axis tidal turbines. Renew. Energy 2017, 101, 67–81. [Google Scholar] [CrossRef]
- Guo, Q.; Zhou, L.; Wang, Z. Comparison of BEM-CFD and full rotor geometry simulations for the performance and flow field of a marine current turbine. Renew. Energy 2015, 75, 640–648. [Google Scholar] [CrossRef]
- Liu, J.; Lin, H.; Purimitla, S.R. Wake field studies of tidal current turbines with different numerical methods. Ocean Eng. 2016, 117, 383–397. [Google Scholar] [CrossRef]
- Nuernberg, M.; Tao, L. Three dimensional tidal turbine array simulations using OpenFOAM with dynamic mesh. Ocean Eng. 2018, 147, 629–646. [Google Scholar] [CrossRef]
- Chen, L.; Lam, W.H. Slipstream between marine current turbine and seabed. Energy 2014, 68, 801–810. [Google Scholar] [CrossRef]
- Baba-Ahmadi, M.H.; Dong, P. Numerical simulations of wake characteristics of a horizontal axis tidal stream turbine using actuator line model. Renew. Energy 2017, 113, 669–678. [Google Scholar] [CrossRef]
- Baratchi, F.; Jeans, T.L.; Gerber, A.G. Actuator line simulation of a tidal turbine in straight and yawed flows. Int. J. Mar. Energy 2017, 19, 235–255. [Google Scholar] [CrossRef]
- Bachant, P.; Goude, A.; Wosnik, M. Actuator line modeling of vertical-axis turbines. arXiv, 2016; arXiv:1605.01449. [Google Scholar]
- Weller, H.G.; Tabor, G.; Jasak, H.; Fureby, C. A tensorial approach to computational continuum mechanics using object-oriented techniques. Comput. Phys. 1998, 12, 620–631. [Google Scholar] [CrossRef]
- The OpenFOAM Foundation OpenFOAM v6 User Guide. Available online: https://cfd.direct/openfoam/user-guide (accessed on 5 November 2018).
- Goring, D.G.; Nikora, V.I. Despiking acoustic Doppler velocimeter data. J. Hydraul. Eng. 2002, 128, 117–126. [Google Scholar] [CrossRef]
- Mcnaughton, J.; Afgan, I.; Apsley, D.D.; Rolfo, S.; Stallard, T.; Stansby, P.K. A simple sliding-mesh interface procedure and its application to the CFD simulation of a tidal-stream turbine. Int. J. Numer. Methods Fluids 2014, 74, 250–269. [Google Scholar] [CrossRef]
- Lam, W.H.; Chen, L.; Hashim, R. Analytical wake model of tidal current turbine. Energy 2015, 79, 512–521. [Google Scholar] [CrossRef]
- Rogan, C.; Miles, J.; Simmonds, D.; Iglesias, G. The turbulent wake of a monopile foundation. Renew. Energy 2016, 93, 180–187. [Google Scholar] [CrossRef]
- Tatum, S.C.; Frost, C.H.; Allmark, M.; O’Doherty, D.M.; Mason-Jones, A.; Prickett, P.W.; Grosvenor, R.I.; Byrne, C.B.; O’Doherty, T. Wave—Current interaction effects on tidal stream turbine performance and loading characteristics. Int. J. Mar. Energy 2016, 14, 161–179. [Google Scholar] [CrossRef]























| r/R | c/R | Twist (deg) | r/R | c/R | Twist (deg) |
|---|---|---|---|---|---|
| 0.05 | 0.33 | 47.94 | 0.55 | 0.61 | 27.79 |
| 0.10 | 0.33 | 47.94 | 0.60 | 0.61 | 26.05 |
| 0.15 | 0.33 | 45.81 | 0.65 | 0.61 | 24.36 |
| 0.20 | 0.36 | 43.68 | 0.70 | 0.60 | 22.69 |
| 0.25 | 0.43 | 40.78 | 0.75 | 0.58 | 21.01 |
| 0.30 | 0.51 | 37.25 | 0.80 | 0.57 | 19.29 |
| 0.35 | 0.55 | 35.26 | 0.85 | 0.53 | 17.47 |
| 0.40 | 0.58 | 33.31 | 0.90 | 0.49 | 15.43 |
| 0.45 | 0.60 | 31.41 | 0.95 | 0.42 | 12.91 |
| 0.50 | 0.61 | 29.57 | 1.00 | 0.16 | 9.50 |
| Mesh Density | AL Method | FRG Method |
|---|---|---|
| Coarse | 1.51 | 2.45 |
| Medium | 2.39 | 5.04 |
| Fine | 4.26 | 8.21 |
| Mesh Density | AL Method | FRG Method |
|---|---|---|
| Coarse | 5.1% | 4.4% |
| Medium | 0.2% | 1.3% |
| Fine | - | - |
© 2019 by the authors. Licensee MDPI, Basel, Switzerland. This article is an open access article distributed under the terms and conditions of the Creative Commons Attribution (CC BY) license (http://creativecommons.org/licenses/by/4.0/).
Share and Cite
Lin, X.-f.; Zhang, J.-s.; Zhang, Y.-q.; Zhang, J.; Liu, S. Comparison of Actuator Line Method and Full Rotor Geometry Simulations of the Wake Field of a Tidal Stream Turbine. Water 2019, 11, 560. https://doi.org/10.3390/w11030560
Lin X-f, Zhang J-s, Zhang Y-q, Zhang J, Liu S. Comparison of Actuator Line Method and Full Rotor Geometry Simulations of the Wake Field of a Tidal Stream Turbine. Water. 2019; 11(3):560. https://doi.org/10.3390/w11030560
Chicago/Turabian StyleLin, Xiang-feng, Ji-sheng Zhang, Yu-quan Zhang, Jing Zhang, and Sheng Liu. 2019. "Comparison of Actuator Line Method and Full Rotor Geometry Simulations of the Wake Field of a Tidal Stream Turbine" Water 11, no. 3: 560. https://doi.org/10.3390/w11030560
APA StyleLin, X.-f., Zhang, J.-s., Zhang, Y.-q., Zhang, J., & Liu, S. (2019). Comparison of Actuator Line Method and Full Rotor Geometry Simulations of the Wake Field of a Tidal Stream Turbine. Water, 11(3), 560. https://doi.org/10.3390/w11030560

