Numerical Research on the Resistance Reduction of Air Intake
Abstract
:1. Introduction
2. Numerical Setup
2.1. Physical Description of Hull Geometry
2.2. Mathematical and Numerical Method
2.3. Domain and Boundary Conditions
2.4. Mesh Generation
2.5. Validation of the Method
3. Drag-Reducing Effect and Mechanism
4. Influence of Camber on Hydrodynamic Performance
5. Conclusion
- The numerical method used here is credible for the simulation of a high-speed planing boat. The advantage is mainly reflected in the modelling of hull motion, which is implemented by the coupling iterative solving of the governing and motion equations. Therefore, it is not necessary to estimate the hull position before solving flow field and the dependence on experimental data is weakened.
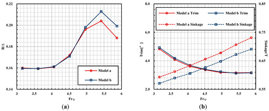
- Air intake could evidently decrease the resistance when the Froude number is above 4.97, indicating that this drag-reducing measurement is applicable for a high-speed stepped planing craft such as the planing trimaran. The drag-reducing effect of air intake depends mainly on its cambered configuration. Compared with the model without air intake, the air flow in front of the hull body can easily be sucked into the air cavity, which could further decrease the wetted area and frictional resistance.
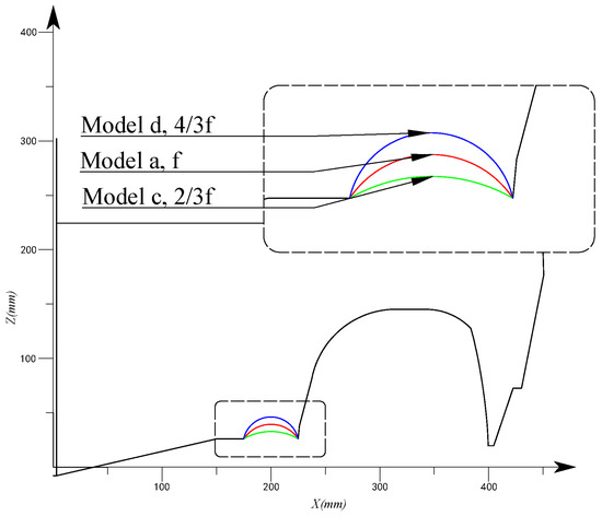
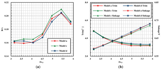
- Numerical results of models with various cambers show that shortening the camber has a negative influence on resistance and air cavity, while enlarging the camber could improve resistance performance at Froude numbers between 4.06 and 4.97 but the air cavity would get smaller. Therefore, in terms of the particular geometry of planing trimaran, the original air intake configuration possesses the best overall resistance performance and the design of air intake should be carefully considered.
Author Contributions
Funding
Acknowledgments
Conflicts of Interest
References
- Jiang, Y.; Sun, H.B.; Zou, J.; Hu, A.K.; Yang, J.L. Analysis of tunnel hydrodynamic characteristics for planing trimaran by model tests and numerical simulations. Ocean Eng. 2016, 113, 101–110. [Google Scholar] [CrossRef]
- Lee, E.; Pavkov, M.; Mccueweil, L. The Systematic Variation of Step Configuration and Displacement for a Double-step Planing Craft. J. Ship Prod. Des. 2014, 30, 89–97. [Google Scholar] [CrossRef]
- Taunton, D.J.; Hudson, D.A.; Shenoi, R.A. Characteristics of a series of high speed hard chine planing hulls-Part 1: Performance in calm water. Int. J. Small Craft Technol. 2010, 153, B1–B22. [Google Scholar]
- Taunton, D.J.; Hudson, D.A.; Shenoi, R.A. Characteristics of a series of high speed hard chine planing hulls-Part II: Performance in waves. Int. J. Small Craft Technol. 2011, 152, 55–75. [Google Scholar]
- Yousefi, R.; Shifaghat, R.; Shakeri, M. Hydrodynamic analysis techniques for high-speed planing hulls. Appl. Ocean Res. 2013, 42, 105–113. [Google Scholar] [CrossRef]
- Lotfi, P.; Ashrafizaadeh, M.; Esfahan, R.K. Numerical investigation of a stepped planing hull in calm water. Ocean Eng. 2015, 94, 103–110. [Google Scholar] [CrossRef]
- Veysi, S.T.G.; Bakhtiari, M.; Ghassemi, H. Toward numerical modeling of the stepped and non-stepped planing hull. J. Braz. Soc. Mech. Sci. 2015, 37, 1635–1645. [Google Scholar] [CrossRef]
- Bakhtiari, M.; Veysi, S.; Ghassemi, H. Numerical Modeling of the Stepped Planing Hull in Calm Water. Int. J. Eng. Trans. B Appl. 2016, 29, 236–245. [Google Scholar]
- Azcueta, R.; Rousselon, N. CFD Applied to Super and Mega Yacht Design. In Proceedings of the Design, Construction and Operation of Super and Mega Yachts Conference, Genova, Italy, 15 April 2009. [Google Scholar]
- Sheingart, Z. Hydrodynamics of High Speed Planing Hulls with Partially Ventilated Bottom and Hydrofoils. Master’s Thesis, Massachusetts Institute of Technology, Cambridge, MA, USA, 2014. [Google Scholar]
- Faison, L.A. Design of a High Speed Planing Hull with a Cambered Step and Surface Piercing Hydrofoils. Master’s Thesis, Massachusetts Institute of Technology, Cambridge, MA, USA, 2014. [Google Scholar]
- De Marco, A.; Mancini, S.; Miranda, S.; Scognamiglio, R.; Vitiello, L. Experimental and numerical hydrodynamic analysis of a stepped planing hull. Appl. Ocean Res. 2017, 64, 135–154. [Google Scholar]
- Ghassabzadeh, M.; Ghassemi, H. An innovative method for parametric design of planing tunnel vessel. Ocean Eng. 2013, 60, 14–27. [Google Scholar] [CrossRef]
- Yousefi, R.; Shfaghat, R.; Shakeri, M. High-speed hull drag reduction using tunnel. Ocean Eng. 2014, 84, 54–60. [Google Scholar] [CrossRef]
- Moghadam, H.K.; Shafaghat, R.; Yousefi, R. Numerical investigation of the tunnel aperture on drag reduction in a high-speed tunneled planing hull. J. Braz. Soc. Mech. Sci. Eng. 2015, 37, 1719–1731. [Google Scholar]
- Maronnier, V.; Picasso, M.; Rappaz, J. Numerical simulation of free surface flows. J. Comput. Phys. 1999, 155, 439–455. [Google Scholar] [CrossRef]

















| Main Dimension | Symbol | Value |
|---|---|---|
| Overall Length (m) | 2.5 | |
| Main hull beam (m) | B | 0.46 |
| Tunnel beam (m) | b | 0.125 |
| Tunnel height (m) | h | 0.175 |
| Longitudinal centre of gravity (m) | LCG | 0.75 |
| Displacement (kg) | Δ | 130 |
| Draft (m) | T | 0.17 |
| Deadrise angle (°) | β | 13 |
| Longitudinal location of 1st step (m) | L1 | 1 |
| Longitudinal location of 2nd step (m) | L2 | 0.55 |
| Step height (m) | H | 0.012 |
| Air intake camber (m) | f | 0.012 |
| Fr | R/Δ | Trim (deg) | Sinkage/T | ||||||
|---|---|---|---|---|---|---|---|---|---|
| Cpmt. | Exp. | Err. (%) | Cpmt. | Exp. | Err. (%) | Cpmt. | Exp. | Err. (%) | |
| 3.16 | 0.160 | 0.165 | 2.99 | 4.82 | 5.75 | 16.09 | 0.593 | 0.634 | 6.51 |
| 3.61 | 0.159 | 0.164 | 2.88 | 4.08 | 4.85 | 15.81 | 0.612 | 0.637 | 3.88 |
| 4.06 | 0.161 | 0.170 | 5.28 | 3.61 | 4.06 | 11.17 | 0.633 | 0.648 | 2.20 |
| 4.52 | 0.172 | 0.183 | 6.13 | 3.36 | 3.65 | 7.88 | 0.656 | 0.663 | 1.13 |
| 4.97 | 0.196 | 0.209 | 6.01 | 3.18 | 3.38 | 6.01 | 0.678 | 0.662 | −2.43 |
| 5.42 | 0.204 | 0.231 | 11.78 | 3.16 | 3.52 | 10.28 | 0.707 | 0.680 | −3.83 |
| 5.87 | 0.188 | 0.220 | 14.66 | 3.17 | 3.69 | 14.10 | 0.731 | 0.709 | −3.07 |
© 2019 by the authors. Licensee MDPI, Basel, Switzerland. This article is an open access article distributed under the terms and conditions of the Creative Commons Attribution (CC BY) license (http://creativecommons.org/licenses/by/4.0/).
Share and Cite
Du, L.; Sun, H.; Jiang, Y.; Li, P. Numerical Research on the Resistance Reduction of Air Intake. Water 2019, 11, 280. https://doi.org/10.3390/w11020280
Du L, Sun H, Jiang Y, Li P. Numerical Research on the Resistance Reduction of Air Intake. Water. 2019; 11(2):280. https://doi.org/10.3390/w11020280
Chicago/Turabian StyleDu, Lei, Hanbing Sun, Yi Jiang, and Ping Li. 2019. "Numerical Research on the Resistance Reduction of Air Intake" Water 11, no. 2: 280. https://doi.org/10.3390/w11020280
APA StyleDu, L., Sun, H., Jiang, Y., & Li, P. (2019). Numerical Research on the Resistance Reduction of Air Intake. Water, 11(2), 280. https://doi.org/10.3390/w11020280

