Freshwater Supply to Metropolitan Shanghai: Issues of Quality from Source to Consumers
Abstract
1. Introduction
2. Shanghai Water Supply System
3. Data Sources and Methods
4. Results
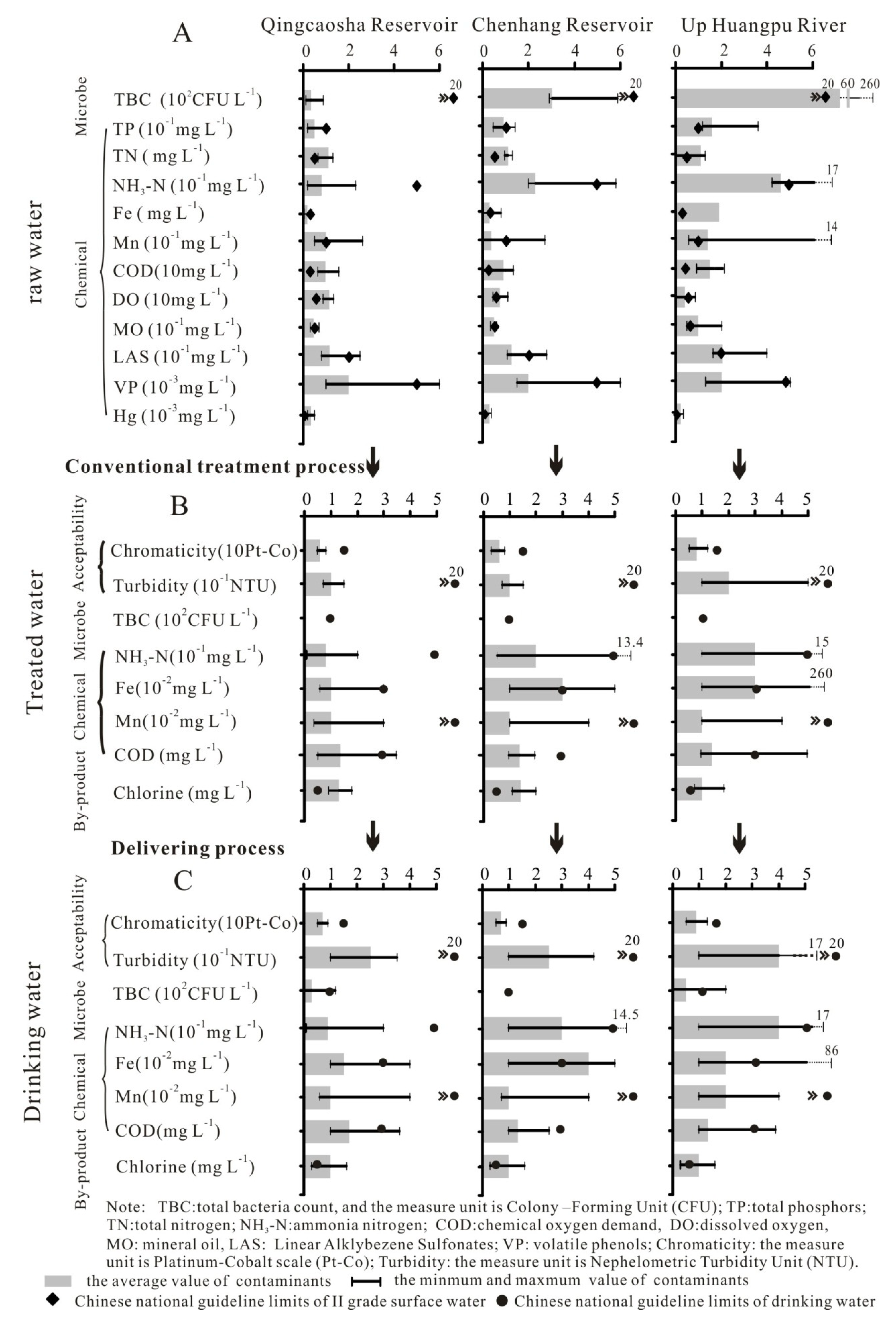
4.1. Variations in the Quality of Raw Water, Treated Water and Drinking Water
4.2. Variation of Eutrophication in the Changjiang Estuary and the Huangpu River
4.3. Salinity of Saltwater Intrusion Events in the Changjiang Estuary
4.4. Removal Rates of Contaminants in Treated Water
4.5. Changes to Chlorine, TBC, COD and Turbidity Levels in Delivery Pipes
5. Discussion
5.1. Water Quality: Pollutants in Raw Water
5.2. Eutrophication Threats to Raw Water
5.3. Salinity Threat to Estuarine Raw Water
5.4. Inadequacy of the Present Water Treatment Process
5.5. Deterioration of Drinking water
6. Conclusions
Author Contributions
Funding
Acknowledgments
Conflicts of Interest
References
- Covich, A.P.; Ewel, K.C.; Hall, R.O.; Giller, P.S.; Goedkoop, W.; Merritt, D.M. Ecosystem services provided by freshwater benthos. In Sustaining Biodiversity and Ecosystem Services in Soils and Sediments; Wall, D.H., Ed.; Sland Press: Washington, DC, USA, 2004; pp. 45–72. [Google Scholar]
- Jackson, R.B.; Carpenter, S.R.; Dahm, C.N.; McKnight, D.M.; Naiman, R.J.; Postel, S.L.; Running, S.W. Water in a changing world. Ecol. Appl. 2001, 11, 1027–1045. [Google Scholar] [CrossRef]
- Liu, J.; Diamond, J. China’s environment in a globalizing world. Nature 2005, 435, 1179–1186. [Google Scholar] [CrossRef] [PubMed]
- Vörösmarty, C.J.; McIntyre, P.B.; Gessner, M.O.; Dudgeon, D.; Prusevich, A.; Green, P.; Glidden, S.; Bunn, S.E.; Sullivan, C.A.; Liermann, C.R.; et al. Global threats to human water security and river biodiversity. Nature 2010, 467, 555–561. [Google Scholar] [CrossRef] [PubMed]
- Johnson, D.L.; Ambrose, S.H.; Bassett, T.J.; Bowen, M.L.; Crummey, D.E.; Isaacson, J.S.; Johnson, D.N.; Lamb, P.; Saul, M.; Nelson, A.E.W. Meanings of environmental terms. J. Environ. Qual. 1997, 26, 581–589. [Google Scholar] [CrossRef]
- GB3838 Environmental Quality Standards for Surface Water State Environmental Protection Administration of China; China Environmental Science Press: Beijing, China, 2002; p. 12. (In Chinese)
- MEPC. Report on the State of the Environment in China; Ministry of Environmental Protection of China: Beijing, China, 2016. Available online: http://www.zhb.gov.cn/hjzl/ (accessed on 16 August 2018).
- Jiang, Y. China’s water scarcity. J. Environ. Manag. 2009, 90, 3185–3196. [Google Scholar] [CrossRef]
- World Water Assessment Program. The United Nations World Water Development Report 3: Water in a Changing World; UNESCO Publishing: Paris, France, 2009; Available online: http://www.unesco.org/new/en/ (accessed on 16 August 2018).
- Zhen, N. Political Trust in China: Evidence from Water Consumption in Shanghai. Unpublished Ph.D. Thesis, School of Geography, University of Melbourne, Melbourne, Australia, 2017. Available online: https://minerva-access.unimelb.edu.au/handle/11343/191624 (accessed on 26 August 2018).
- Webber, M.; Barnett, J.; Finlayson, B.; Wang, M. Water Supply in a Mega-City: A Political Ecology Analysis of Shanghai; Edward Elgar: Cheltenham, UK, 2018; p. 286. [Google Scholar]
- OSLC. Chorography of Shanghai Public Utilities; The Office of Shanghai Local Chronical Shanghai: Shanghai, China, 2012. Available online: http://shtong.gov.cn/node2/node2245/node4516/node55029/node55075/index.html (accessed on 16 August 2018).
- SWA. Report of the 12th Five-Year Plan of Renovation and Construction of Urban Water Supply Facilities in Shanghai; Shanghai Water Authority: Shanghai, China, 2012; p. 21. Available online: http://www.wsa.gov.cn/1125/manage_view.asp?type_id=218,499&id =3507 (accessed on 16 August 2018).
- GB5749 Standards for Drinking Water Quality; Ministry of Public Health of China: Beijing, China, 2006; p. 12. (In Chinese)
- WHO. Global Annual Assessment of Sanitation and Drinking-Water UN-Water; World Health Organization Press: Geneva, Switzerland, 2010; p. 16. [Google Scholar]
- Sun, J.; Zhou, Y. The water quality of traditional water plants sourced from the Qingchaosha Reservoir. Water Wastwater Eng. 2011, 37, 39–43. (In Chinese) [Google Scholar]
- Le, C.; Zhang, H. Research on the water quality of Qingcaosha water resources. Guangzhou Chem. Ind. 2012, 40, 135–140. (In Chinese) [Google Scholar]
- Dong, B.; Fan, J.; Sun, Y.; Le, L.; Mo, X.; Zhou, Y. Water quality and treatment technology of raw water sourced from the Changjiang estuary. Water Wastewater Eng. 1998, 24, 6–10. (In Chinese) [Google Scholar]
- Chen, G.; Shen, Y.; Meng, M.; Chen, Y. Characters of water quality of Shanghai and measures of improving water quality to guideline standard until 2012. Water Wastewater Eng. 2010, 36, 24–31. (In Chinese) [Google Scholar]
- Gao, N.; Le, L.; Fan, J.; Mo, X.; Chen, W.; Tang, Y. Water quality investigation of Huangpujiang River and Minhang waterworks. Water Wastwater Eng. 1998, 24, 22–24. (In Chinese) [Google Scholar]
- Le, L.; Bao, S.; Kang, L.; Zhang, D. Water quality and treatment strategy of raw water from the up Huangpu River. Water Wastewater Eng. 2005, 31, 26–31. (In Chinese) [Google Scholar]
- Mao, J.; Zhou, Y.; Zhou, X.; Ying, L.; Yu, S.; Cai, Y.; Ni, S.; Yu, X.; Jiang, C. Impact of source water and water treatment process on drinking water quality in Shanghai. J. Environ. Occup. Med. 2013, 30, 928–930. (In Chinese) [Google Scholar]
- SWA. Report of Supply Water Quality; Shanghai Water Authority: Shanghai, China, 2013–2016. Available online: http://www.shanghaiwater.gov.cn/shwaterweb/gb/sswj/n32/ (accessed on 20 July 2018).
- Le, L.; Chen, G.; Kang, L.; Qian, J. The Study and measure on water quality for urban distribution system in Shanghai. In Proceedings of the International Conference on Novel Technology and Management for dring Water Safety, Tianjin, China, 6 September 2005. [Google Scholar]
- Sun, J.; Lu, Y.; Zhou, Y.; Tao, C. Investigation on water quality status of secondary water supply in Shanghai City. Water Wastewater Eng. 2009, 35, 9–12. (In Chinese) [Google Scholar]
- Chen, G.; Chen, J.; Le, L. Water quality of treatment water of Shanghai. Public Util. 2000, 14, 17–19. (In Chinese) [Google Scholar]
- Liu, H.; Wu, J.; Yao, Z.; Ge, Z.; Lao, B.; Pan, W.; Jiang, F.; Tang, Y.; Wang, Y. Investigation of harmful factors to the quality of water supply in Luwan district of Shanghai. In Proceedings of the International Forum for Public Health, Shanghai, China, 6 November 2007; pp. 137–140. (In Chinese). [Google Scholar]
- Chen, H.; Sun, C.; Xu, Y. Analysis of trend of nutrient structure and influencing factors in Changjiang Estuary and its adjacent sea during 23 years. Mar. Environ. Sci. 2011, 30, 551–553. (In Chinese) [Google Scholar]
- Wang, J.; Zhu, Y.; Cheng, C. Nitrogen change of Chenhang Reservior during recent 10 years. China Water Transp. 2014, 14, 201–202. (In Chinese) [Google Scholar]
- WRPBTB. Water Quality Report of Taihu Basin and Southeast Rivers; Water Resources Protection Bureau of Taihu Basin: Shanghai, China, 2000–2016. Available online: http://www.tba.gov.cn/tba/content/TBA/lygb/sjsztb/ (accessed on 10 June 2017).
- Lu, N. Primary Study on Water Quality Variation and Algal Population Dynamics in Qingcaosha Reservior, Postdoctoral Report; Tongji University: Shanghai, China, 2011; p. 173. (In Chinese) [Google Scholar]
- Zhang, H. The Study on Algae Growth and the Formation of Toxins in Qingcaosha Researvoir. Master’s Thesis, Fudan University, Shanghai, China, 2012; p. 85. (In Chinese). [Google Scholar]
- Mao, Z.; Shen, H.; Yao, Y. Analysis of sources of saltwater intrusion along south bank of south branch of the Yangtze River estuary. Mar. Sci. Bull. 1993, 12, 17–26. (In Chinese) [Google Scholar]
- Mao, Z. The salt intrusion character of the South Channel in the Changjiang mouth. Shanghai Water Conserv. 1994, 4, 22–32. (In Chinese) [Google Scholar]
- Mao, Z.; Shen, H.; Xu, P. The pattern of saltwater intruding into the Changjiang Estuary and the utilization of freshwater resources. Acta Geogr. Sin. 2000, 55, 243–250. (In Chinese) [Google Scholar]
- Wu, H. Saltwater Intrusion in the Changjiang Estuary. Ph.D. Dissertation, East China Normal University, Shanghai, China, 2006; p. 205. (In Chinese). [Google Scholar]
- Xu, J.; Yuan, J. The research on salt-water intrusion into the south branch of the Yangtze estuary. Hydrology 1994, 5, 1–5. [Google Scholar]
- Zhu, J.; Wu, H.; Li, L.; Wang, B. Saltwater intrusion in the Changjiang Estuary in the extremely drought hydrological year 2006. J. East China Norm. Univ. 2010, 4, 1–4. (In Chinese) [Google Scholar]
- Tang, J.; Xu, J.; Zhao, S.; Liu, W. Research on saltwater intrusion of the south branch on the Changjiang Estuary based on measured data. Resour. Environ. Yangtze Basin 2011, 20, 677–685. (In Chinese) [Google Scholar]
- Li, L. Spatial-Temporal Dynamic Characteristics of Saltwater Intrusion in the Changjiang Estuary. Ph.D. Thesis, East China Normal University, Shanghai, China, 2006; p. 161. (In Chinese). [Google Scholar]
- Zhang, L.; Bai, X. Variation Rule of Water Quality Indexes in a Waterworks and Its Water Supply System in Shanghai. China Water Wastwater 2008, 24, 64–69. (In Chinese) [Google Scholar]
- Conley, D.J.; Paerl, H.W.; Howarth, R.W.; Boesch, D.F.; Seitzinger, S.P.; Havens, K.E.; Lancelot, C.; Likens, G.E. Controlling eutrophication: Nitrogen and phosphorus. Science 2009, 323, 1014–1015. [Google Scholar] [CrossRef] [PubMed]
- Smith, V.H.; Schindler, D.W. Eutrophication science: Where do we go from here? Trends Ecol. Evol. 2009, 24, 201–207. [Google Scholar] [CrossRef] [PubMed]
- WHO. Guidelines for Drinking-Water Quality; World Health Organization Press: Geneva, Switzerland, 2011; p. 564. [Google Scholar]
- Li, M.; Chen, Z.; Finlayson, B.; Wei, T.; Chen, J.; Wu, X.; Xu, H.; Webber, M.; Barnett, J.; Wang, M. Water diversion and sea-level rise: Potential threats to freshwater supplies in the Changjiang River estuary. Estuarine Coast. Shelf Sci. 2015, 156, 52–60. [Google Scholar] [CrossRef]
- Finlayson, B.L.; Barnett, J.; Wei, T.; Webber, M.; Li, M.; Wang, M.Y.; Chen, J.; Xu, H.; Chen, Z. The drivers of risk to water security in Shanghai. Reg. Environ. Chang. 2013, 13, 329–340. [Google Scholar] [CrossRef]
- Wei, Z.X.; Zai, G.Y.; Yan, X.X. Shanghai Urban Geology; Geology Press: Beijing, China, 2010. [Google Scholar]
- Chai, J.C.; Shen, S.L.; Zhu, H.H.; Zhang, X.L. Land subsidence due to groundwater drawdown in Shanghai. Géotechnique 2004, 54, 143–147. [Google Scholar] [CrossRef]
- Li, M.; Xu, K.; Watanabe, M.; Chen, Z. Long-term variation of dissolved silicate flux from the Yangtze River into the East China Sea and impact of estuarine ecosystem. Estuary Coast. Shelf Sci. 2007, 71, 3–12. [Google Scholar] [CrossRef]
- Xu, H.; Chen, Z.; Finlayson, B.; Webber, M.; Wu, X.; Li, M.; Chen, J.; Wei, T.; Barnett, J.; Wang, M. Assessing dissolved inorganic nitrogen flux in the Yangtze River, China: Sources and scenarios. Glob. Planet. Chang. 2013, 106, 84–89. [Google Scholar] [CrossRef]
- Heisler, J.; Glibert, P.M.; Burkholder, J.M.; Anderson, D.M.; Cochlan, W.; Dennison, W.C.; Dortch, Q.; Gobler, C.J.; Heil, C.A.; Humphries, E.; et al. Eutrophication and harmful algal blooms: A scientific consensus. Harmful Algae 2008, 8, 3–13. [Google Scholar] [CrossRef] [PubMed]
- Smith, V.H.; Joye, S.B.; Howarth, R.W. Eutrophication of freshwater and marine ecosystems. Limnol. Oceanogr. 2006, 51, 351–355. [Google Scholar] [CrossRef]
- Ye, W.; Tan, J.; Liu, X.; Lin, S.; Pan, J.; Li, D.; Yang, H. Temporal variability of cyanobacterial populations in the water and sediment samples of Lake Taihu as determined by DGGE and real-time PCR. Harmful Algae 2011, 10, 472–479. [Google Scholar] [CrossRef]
- Cheung, M.Y.; Liang, S.; Lee, J. Toxin-producing cyanobacteria in freshwater: A review of the problems, impact on drinking water safety, and efforts for protecting public health. J. Microbiol. 2013, 51, 1–10. [Google Scholar] [CrossRef]
- Merel, S.; Walker, D.; Chicana, R.; Snyder, S.; Baurèsd, E.; Thomas, O. State of knowledge and concerns on cyanobacterial blooms and cyanotoxins. Environ. Int. 2013, 59, 303–327. [Google Scholar] [CrossRef] [PubMed]
- Hong, B.; Shen, J. Responses of estuarine salinity and transport processes to potential future sea-level rise in the Chesapeake Bay. Estuar. Coast. Shelf Sci. 2012, 104–105, 33–45. [Google Scholar] [CrossRef]
- Huang, W.; Foo, S. Neural network modeling of salinity variation in Apalachicola River. Water Res. 2002, 36, 356–362. [Google Scholar] [CrossRef]
- Shen, H.; Mao, Z.; Zhu, J. Saltwater Intrusion in the Changjiang Estuary; China Ocean Press: Beijing, China, 2003; p. 175. (In Chinese) [Google Scholar]
- Xue, P.; Chen, C.; Ding, P.; Beardsley, R.C.; Lin, H.; Ge, J.; Kong, Y. Saltwater intrusion into the Changjiang River: A model-guided mechanism study. J. Geophys. Res. 2009, 114, 1–15. [Google Scholar] [CrossRef]
- Chen, X.; Zong, Y.; Zhang, E.; Xu, J.; Li, S. Human impacts on the Changjiang Yangtze River basin, China, with special reference to the impacts on the dry season water discharges into the sea. Geomorphology 2001, 41, 111–123. [Google Scholar] [CrossRef]
- Zhang, E.; Savenije, H.H.G.; Chen, S.; Chen, J. Water abstraction along the lower Yangtze River, China, and its impact on water discharge into the estuary. Phys. Chem. Earth 2012, 47–48, 76–85. [Google Scholar] [CrossRef]
- Dong, B.; Cao, D.; Fan, J.; Li, J.; Xu, Q. Characteristics of changes in distribution of molecular weight of dissolved organics in Huangpu River water source. Acta Sci. Circumstantiae 2001, 21, 553–556. (In Chinese) [Google Scholar]
- Chong, M.N.; Jin, B.; Chow, C.W.K.; Saint, C. Recent developments in photocatalytic water treatment technology: A review. Water Res. 2010, 44, 2997–3027. [Google Scholar] [CrossRef] [PubMed]
- Lee, M.C.; Snoeyink, L.V.; Crittenden, J.C. Activated carbon adsorption of humic substances. Am. Water Works Assoc. J. 1988, 73, 440–446. [Google Scholar] [CrossRef]
- Li, L.; Zhou, Y.; Wang, Z. Effect of advanced drinking-water treatment techniques on removal of organic pollutants. China Environ. Sci. 2012, 22, 542–545. (In Chinese) [Google Scholar]
- Li, M.; Finlayson, B.; Webber, M.; Barnett, J.; Webber, S.; Rogers, S.; Chen, Z.; Wei, T.; Chen, J.; Wu, X.; et al. Estimating urban water demand under conditions of rapid growth: The case of Shanghai. Region. Environ. Chang. 2017, 17, 1153–1161. [Google Scholar] [CrossRef]
- Lee, Y. An evaluation of microbial and chemical contamination sources related to the deterioration of tap water quality in the household water supply system. Int. J. Environ. Res. Public Health 2013, 10, 4143–4160. [Google Scholar] [CrossRef]






| Database Name | Water Type | Data | Water Source | Station | Time | Sampling Frequency | Data Source | |
|---|---|---|---|---|---|---|---|---|
| Water quality indicators | Raw water | 12 indicators (Figure 2) | YRE | QR | IV | 2010–2011 | annual | [16,17] |
| CR | III | 1992–1996 | annual | [18] | ||||
| III | 2005–2009 | annual | [19] | |||||
| UHR | V | 1991–1996 | annual | [20] | ||||
| V | 1998–2003 | annual | [21] | |||||
| V | 2005–2009 | annual | [19] | |||||
| Treatment water & drinking water | 8 indicators (Figure 2) | YRE | QR | 15, 16 | 2010–2011 | annual | [16] | |
| 15, 16 | 2012 | annual | [22] | |||||
| 15, 16, 17 | 2013–2016 | annual | [23] | |||||
| CR | 8, 9, 10 | 2003–2004 | annual | [24] | ||||
| 8, 9, 10 | 2007 | annual | [25] | |||||
| 8, 9, 10 | 2012 | annual | [22] | |||||
| 8, 9, 10 | 2013–2016 | annual | [23] | |||||
| UHR | 23, 23, 24 | 1991–1996 | annual | [20] | ||||
| 17, 22 | 1996–1998 | annual | [26] | |||||
| 23, 23, 24 | 2003–2004 | annual | [24] | |||||
| 23, 23, 24 | 2005 | annual | [27] | |||||
| 23, 23, 24 | 2007 | annual | [25] | |||||
| 23, 23, 24 | 2012 | annual | [22] | |||||
| 31, 32, 33 | 2013–2016 | annual | [23] | |||||
| Treatment factors | Raw water | Eutrophication | TN, TP, COD | YRE | III | 1984–2012 | annual | [18,28,29] |
| UHR | V | 1986–2016 | annual | [30] | ||||
| Algae | YRE | III | 2002–2003 | daily | [19] | |||
| IV | 2010 | daily | [31] | |||||
| IV | 2010–2011 | daily | [32] | |||||
| UHR | V | 2004–2005 | [19] | |||||
| Salinity | YRE | Chongtou | 1979–2011 | daily | [33,34,35,36,37,38,39,40] | |||
| Chenhang | 1979–2011 | daily | ||||||
| Gaoqiao | 1979–2011 | daily | ||||||
| Treatment water | Remove rate of 14 indicators | CR | 8 | 1992–1996 | annual | [18] | ||
| UHR | 24 | 1991–1996 | annual | [20] | ||||
| 24 | 2005 | annual | [41] | |||||
| Drinking water | Deterioration of 4 indicators | UHR | 24 | 2005 | daily | [41] | ||
© 2019 by the authors. Licensee MDPI, Basel, Switzerland. This article is an open access article distributed under the terms and conditions of the Creative Commons Attribution (CC BY) license (http://creativecommons.org/licenses/by/4.0/).
Share and Cite
Li, M.; Chen, J.; Finlayson, B.; Chen, Z.; Webber, M.; Barnett, J.; Wang, M. Freshwater Supply to Metropolitan Shanghai: Issues of Quality from Source to Consumers. Water 2019, 11, 2176. https://doi.org/10.3390/w11102176
Li M, Chen J, Finlayson B, Chen Z, Webber M, Barnett J, Wang M. Freshwater Supply to Metropolitan Shanghai: Issues of Quality from Source to Consumers. Water. 2019; 11(10):2176. https://doi.org/10.3390/w11102176
Chicago/Turabian StyleLi, Maotian, Jing Chen, Brian Finlayson, Zhongyuan Chen, Michael Webber, Jon Barnett, and Mark Wang. 2019. "Freshwater Supply to Metropolitan Shanghai: Issues of Quality from Source to Consumers" Water 11, no. 10: 2176. https://doi.org/10.3390/w11102176
APA StyleLi, M., Chen, J., Finlayson, B., Chen, Z., Webber, M., Barnett, J., & Wang, M. (2019). Freshwater Supply to Metropolitan Shanghai: Issues of Quality from Source to Consumers. Water, 11(10), 2176. https://doi.org/10.3390/w11102176

