Estimation of Precipitation Evolution from Desert to Oasis Using Information Entropy Theory: A Case Study in Tarim Basin of Northwestern China
Abstract
1. Introduction
2. Study Area, Data and Methodology
2.1. Study Area
2.2. Data
2.3. Information Entropy and Principle of Maximum Entropy
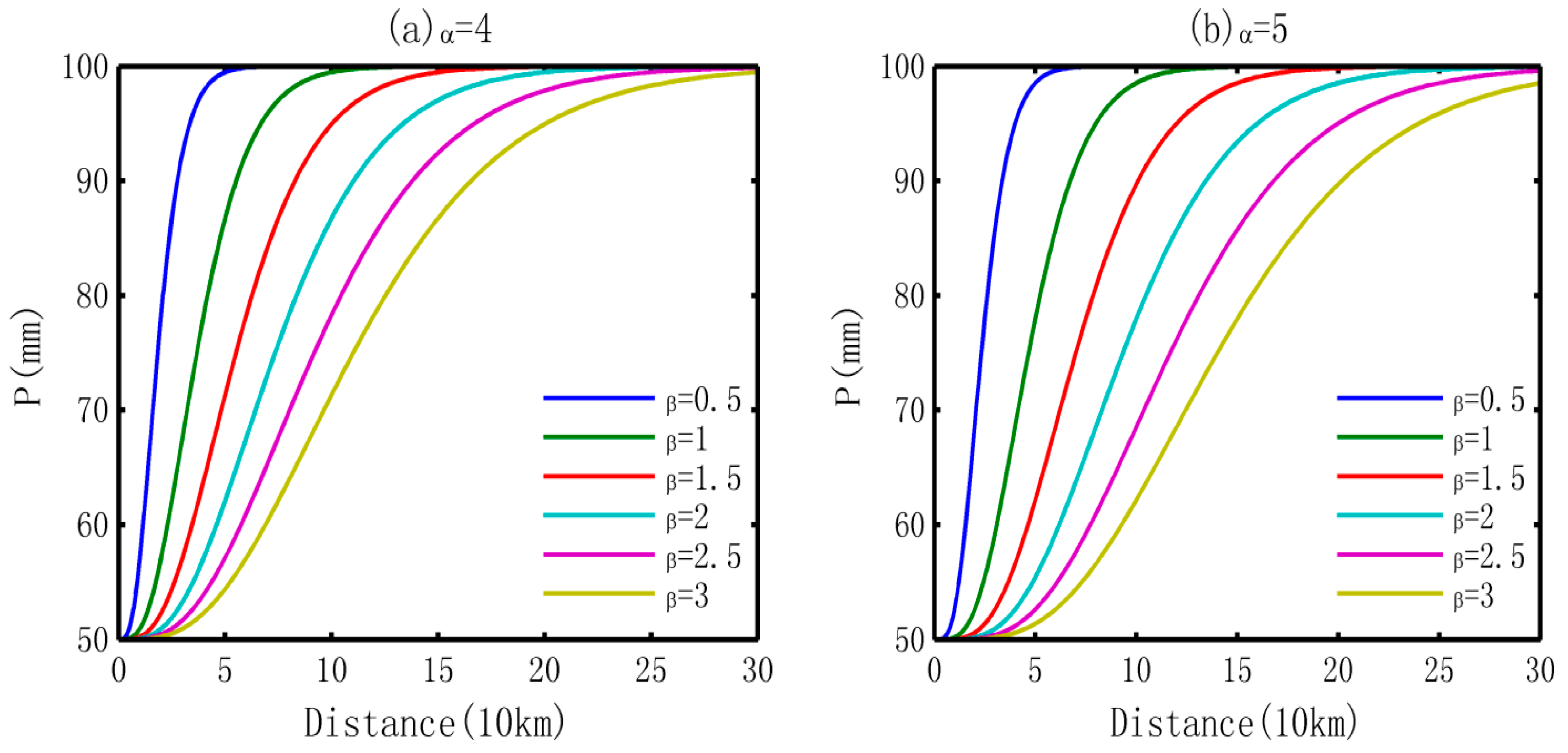
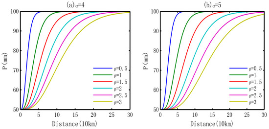
3. Establishment of the Model
4. Calibration of the Model and the Simulated Results
4.1. Calibration of the Model
4.1.1. Performance of the Model
4.1.2. Calibration of Model for Hetian Oasis
4.1.3. Parameter Inversion
4.1.4. Influence of the Local Terrain
4.1.5. Performance of the Model at Seasonal Scale
4.2. Simulated Results
4.2.1. Basic Patterns of Precipitation Evolution
- The first stage: Small increase rate. The oasis width of the first stage (small increase rate) is about 30–50 km. This means that, if the oasis width is less than the threshold value, the promotion of oasis’ cold-wet effect on local precipitation is not substantial. More specifically, this width is about 40, 50, 40 and 55 km for Kashi, Akesu, Kuerle and Hetian Oases, respectively.
- The second stage: Large increase rate. The second threshold value is about 150–185 km. In this period, the increase rate of precipitation is much larger than before. Generally, precipitation exhibits a linear trend with the oasis width increase. Hence, the increase rate of precipitation is approximately constant. As shown in Table 3, the increase rate varies substantially in the four oases, with the value of 3.32, 2.86, 1.76 and 0.65 mm/10 km corresponding to Kashi Oasis, Akesu Oasis, Kuerle Oasis and Hetian Oasis, respectively.
- The third stage: Small increase rate again. The threshold value for the third stage is about 200–300 km. Two oases, Kashi and Hetian, display smaller value of about 200 km. The other two oases, Akesu and Kuerle, display larger values of 265 and 300, respectively. This means that Kashi and Hetian Oases would reach the maximum promotion on local precipitation easier than the other oases because of the smaller threshold value. However, the opposite direction between the cold effect of oasis and water vapor transportation lead to Hetian Oasis experiencing a longer first stage than the other three oases, as well as smaller precipitation locally.
- The fourth stage: Stable status. When the oasis width is larger than the threshold value of the third stage, the precipitation evolution reaches the fourth stage, which is almost constant.
4.2.2. Current Stages of Different Oases
- Kashi Oasis. Kashi Oasis is at the beginning of the fourth stage, in which the precipitation is stable with the oasis width increase. This implies that the annual precipitation will be the same as the maximum value (about 120 mm/year) if the oasis expands towards the desert.
- Akesu Oasis. The width of the Akesu Oasis is about 135 km. Hence, the evolution of precipitation in Akesu Oasis is at the first half of the second stage currently. The second stage means largest increase rate of precipitation with oasis width increase but the middle level precipitation amount. Hence, if the oasis expands towards the desert, the precipitation would increase substantially. However, the total increment of precipitation should be less than the increment precipitation in Kashi Oasis.
- Hetian Oasis. Different from the other three oases, the Hetian Oasis is at the end of the first stage. With the oasis width increase, the precipitation would increase at a slope of approximately 0.65 mm/km. That means the total increment of precipitation is the least if the oasis expanded toward desert in Hetian Oasis because of the much smaller initial condition of precipitation.
5. Discussions
5.1. The Simulated Results for Desertification Prevention
5.2. The Model for Multisource Data Fusion
6. Conclusions
- The model describing precipitation evolution from desert to oasis is based on information entropy theory: the evolution of precipitation is considered as a linear transformed cumulative distribution function, and the probability density function is obtained by solving the Lagrange conditioned extreme value with the objective function of maximum information entropy. The constraints are the constant arithmetic mean and geometric mean of precipitation evolution from desert to oasis when the oasis is wide enough. The general form of the model is a linear transformed cumulative distribution function of a gamma distribution.
- The model performs well when the oasis is wide enough. The R2 between the simulated result and the dataset is 0.99, 0.93 and 0.97 for the Kashi Oasis, Akesu Oasis and Kuerle Oasis, respectively. In the Hetian Oasis, however, the model performs poorly with the R2 of 0.47. The reason is mainly the opposite direction between the oasis cold effect and the water vapor transportation that results in a buffer zone in the first several tens of kilometers. After removing the buffer zone, the model shows a good accuracy with the R2 of 0.87. However, the model fails to describe the seasonal precipitation evolution because of the non-convergence problem solved by nonlinear fitting and the influence of upper boundary condition solved by the least square method.
- The simulated results indicate that the evolution of annual precipitation from desert to oasis includes four main stages: slow increase first, then fast increase, followed by a slow increase again and finally a stable stage. The threshold value of the first stage is 30–50 km, implying the promotion of local precipitation is very small if the width of the oasis is less than this value. The second stage can be approximated linearly, with the threshold value of 155–185 km and the slope of 3.32, 2.86, 1.76 and 0.65 mm/10 km for the Kashi Oasis, Akesu Oasis, Kuerle Oasis and Hetian Oasis, respectively. The upper boundary of the third stage is about 220–300 km, after which the precipitation evolution is almost constant.
- Currently, the four main oases in the Tarim basin are at different stages. The Kashi Oasis has reached the fourth stage, the Akesu and Kuerle Oases are at the first half of the second stage, and the Hetian Oasis is at the end of the first stage. These current stages reflect different local hydrological effect when prevent desertification in the four main oases: maximum promotion on precipitation in the Kashi Oasis, middle promotion in the Akesu Oasis and Kuerle Oasis, and the least promotion in the Hetian Oasis.
Author Contributions
Funding
Acknowledgments
Conflicts of Interest
References
- Taha, H.; Akbari, H.; Rosenfeld, A. Heat island and oasis effects of vegetative canopies: Micro-meteorological field-measurements. Theor. Appl. Climatol. 1991, 44, 123–138. [Google Scholar] [CrossRef]
- Kai, K.; Matsuda, M.; Sato, R. Oasis Effect Observed at Zhangye Oasis in the Hexi Corridor, China. J. Meteorol. Soc. Jpn. 1997, 75, 1171–1178. [Google Scholar] [CrossRef]
- Chu, P.C.; Lu, S.; Chen, Y. A numerical modeling study on desert oasis self-supporting mechanisms. J. Hydrol. 2005, 312, 256–276. [Google Scholar] [CrossRef]
- Feng, Q.; Si, J.; Zhang, Y.; Yao, J.; Liu, W.; Su, Y.H. Microclimatic characteristics of the Heihe oasis in the hyperarid zone of China. J. Geogr. Sci. 2006, 16, 34–44. [Google Scholar] [CrossRef]
- Potchter, O.; Goldman, D.; Kadish, D.; Iluz, D. The oasis effect in an extremely hot and arid climate: The case of southern Israel. J. Arid. Environ. 2008, 72, 1721–1733. [Google Scholar] [CrossRef]
- Li, X.M.; Yang, J.S.; Liu, M.X.; Liu, G.M.; Yu, M. Spatiotemporal changes of soil salinity in arid areas of south Xinjiang using electromagnetic induction. J. Integr. Agr. 2012, 11, 1365–1376. [Google Scholar] [CrossRef]
- Hao, X.; Li, W. Oasis cold island effect and its influence on air temperature: A case study of Tarim Basin, Northwest China. J. Arid. Land 2016, 8, 172–183. [Google Scholar] [CrossRef]
- Li, X.; Yang, K.; Zhou, Y. Progress in the study of oasis-desert interactions. Agric. Forest. Meteorol. 2016, 230–231, 1–7. [Google Scholar] [CrossRef]
- Li, X.; Cheng, G.D.; Ge, Y.M.; Li, H.Y.; Han, F.; Hu, X.L.; Tian, W.; Tian, Y.; Pan, X.D.; Nian, Y.Y. Hydrological Cycle in the Heihe River Basin and Its Implication for Water Resource Management in Endorheic Basins. J. Geophys. Res. Atmos. 2018, 123, 890–914. [Google Scholar] [CrossRef]
- Zhang, H.; Wu, J.W.; Zheng, Q.H.; Yu, Y.Y. A preliminary study of oasis evolution in the Tarim Basin, Xinjiang, China. J. Arid. Environ. 2003, 55, 545–553. [Google Scholar]
- Qiu, G.Y.; Li, H.Y.; Zhang, Q.T.; Chen, W.; Liang, X.J.; Li, X.Z. Effects of evapotranspiration on mitigation of urban temperature by vegetation and urban agriculture. J. Integr. Agric. 2013, 12, 1307–1315. [Google Scholar] [CrossRef]
- Jin, X.M.; Hu, G.C.; Li, W.M. Hysteresis effect of runoff of the Heihe River on vegetation cover in the Ejina Oasis in Northwestern China. Earth Sci. Front. 2008, 15, 198–203. [Google Scholar] [CrossRef]
- Kong, Y.; Pang, Z.; Froehlich, K. Quantifying recycled moisture fraction in precipitation of an arid region using deuterium excess. Tellus B 2013, 65, 19251. [Google Scholar] [CrossRef]
- Gat, J.R.; Klein, B.; Kushnir, Y.; Roether, W.; Wernli, H.; Yam, R.; Shemesh, A. Isotope composition of air moisture over the Mediterranean Sea: An index of the air-sea interaction pattern. Tellus B 2003, 55, 953–965. [Google Scholar] [CrossRef]
- Worden, J.; Noone, D.; Bowman, K.; Beer, R.; Eldering, A.; Fisher, B.; Gunson, M.; Goldman, A.; Herman, R.; Kulawik, S.S. Importance of rain evaporation and continental convection in the tropical water cycle. Nature 2007, 445, 528–532. [Google Scholar] [CrossRef] [PubMed]
- Ueta, A.; Sugimoto, A.; Iijima, Y.; Yabuki, H.; Maximov, T.C. Contribution of transpiration to the atmospheric moisture in eastern Siberia estimated with isotopic composition of water vapor. Ecohydrology 2014, 7, 197–208. [Google Scholar] [CrossRef]
- Vallet-Coulomb, C.; Gasse, F.; Sonzogni, C. Seasonal evolution of the isotopic composition of atmospheric water vapour above a tropical lake: Deuterium excess and implication for water recycling. Geochim. Cosmochim. Acta 2008, 72, 4661–4674. [Google Scholar] [CrossRef]
- Li, X.; Liu, S.M.; Xiao, Q.; Ma, M.G.; Jin, R.; Che, T.; Wang, W.Z.; Hu, X.L.; Xu, Z.W.; Wen, J.G. A multiscale dataset for understanding complex eco-hydrological processes in a heterogeneous oasis system. Sci. Data 2017, 4, 170083. [Google Scholar] [CrossRef] [PubMed]
- Robinson, A.R.; Leslie, W.G. Estimation and prediction of oceanic eddy fields. Prog. Oceanogr. 1985, 14, 385–510. [Google Scholar] [CrossRef]
- Moore, A.M.; Cooper, N.S.; Anderson, D.L.T. Initialization and data assimilation in models of the Indian Ocean. J. Phys. Oceanogr. 1987, 17, 1965–1977. [Google Scholar] [CrossRef]
- Balsamo, G.; Mahfouf, J.F.; Belair, S. A land data assimilation system for soil moisture and temperature: An information content study. J. Hydrometeorol. 2007, 8, 1225–1242. [Google Scholar] [CrossRef]
- Moore, A.M. Some Challenges and Advances in Regional Ocean Data Assimilation. Seminar on Data Assimilation for Atmosphere and Ocean; European Centre for Medium-Range Weather Forecasts: Reading, UK, 2011. [Google Scholar]
- Yang, K.; He, J.; Tang, W.; Qin, J.; Cheng, C.C.K. On downward shortwave and long wave radiations over high altitude regions: Observation and modeling in the Tibetan Plateau. Agric. For. Meteorol. 2010, 150, 38–46. [Google Scholar] [CrossRef]
- Chen, Y.; Yang, K.; He, J.; Qin, J.; Shi, J.C.; Du, J.Y.; He, Q. Improving land surface temperature modeling for dry land of China. J. Geophys. Res. Atmos. 2011, 116, 132–147. [Google Scholar] [CrossRef]
- Dai, Y. The Impact of Lake Effects on the Temporal and Spatial Distribution of Precipitation at Nam Co, on the Tibetan Plateau; AGU: Washington, DC, USA, 2015. [Google Scholar]
- Ma, N.; Szilagyi, J.; Niu, G.Y.; Zhang, Y.S.; Zhang, T.; Wang, B.B.; Wu, Y.H. Evaporation variability of Nam Co Lake in the Tibetan Plateau and its role in recent rapid lake expansion. J. Hydrol. 2016, 537, 27–35. [Google Scholar] [CrossRef]
- Gao, S.; Wu, Q.; Zhang, Z.; Xu, X. Impact of climatic factors on permafrost of the Qinghai-Xizang Plateau in the time-frequency domain. Quatern. Int. 2015, 374, 110–117. [Google Scholar] [CrossRef]
- Singh, V.P. The use of entropy in hydrology and water resources. J. Hydrol. Process 1997, 11, 587–626. [Google Scholar] [CrossRef]
- Avseth, P.; Mukerji, T.; Mavko, G. Quantitative Seismic Interpretation. Episodes 2005, 3, 236–237. [Google Scholar]
- Ebrahimi, N. Stochastic properties of a cumulative damage threshold crossing model. J. Appl. Probab. 1999, 36, 720–732. [Google Scholar] [CrossRef]
- Crutchfield, J.; Feldman, D.P. Regularities unseen, randomness observed: Levels of entropy convergence. Chaos 2003, 13, 25–54. [Google Scholar] [CrossRef] [PubMed]
- Chapman, T.G. Entropy as a measure of hydrologic data uncertainty and model performance. J. Hydrol. 1986, 85, 111–126. [Google Scholar] [CrossRef]
- Maruyama, T.; Kawachi, T.; Singh, V.P. Entropy-based assessment and clustering of potential water resources availability. J. Hydrol. 2005, 309, 104–113. [Google Scholar] [CrossRef]
- Brunsell, N.A. A multiscale information theory approach to assess spatial-temporal variability of daily precipitation. J. Hydrol. 2010, 385, 165–172. [Google Scholar] [CrossRef]
- Hasan, M.M.; Dunn, P.K. Entropy consistency in rainfall distribution and potential water resource availability in Australia. J. Hydrol. Process. 2011, 25, 2613–2622. [Google Scholar] [CrossRef]
- Yang, Y.; Burn, D.H. An entropy approach to data collection network design. J. Hydrol. 1994, 157, 307–324. [Google Scholar] [CrossRef]
- Yoo, C.; Jung, K.; Lee, J. Evaluation of rain gauge network using entropy theory: Comparison of mixed and continuous distribution function applications. J. Hydrol. Eng. 2008, 13, 226–235. [Google Scholar] [CrossRef]
- Singh, V.P. Entropy theory for derivation of infiltration equations. Water Resour. Res. 2010, 46, W03527. [Google Scholar] [CrossRef]
- Singh, V.P. Entropy theory for movement of moisture in soils. Water Resour. Res. 2010, 46, W03516. [Google Scholar] [CrossRef]
- Zhou, X.; Lei, W.; Ma, J. Entropy Base Estimation of Moisture Content of the Top 10-m Unsaturated Soil for the Badain Jaran Desert in Northwestern China. Entropy 2016, 18, 323. [Google Scholar] [CrossRef]
- Zanette, D. Generalized Kolmogorov entropy in the dynamics of the multifractal generation. Phys. A Stat. Mech. Appl. 1996, 223, 87–98. [Google Scholar] [CrossRef]
- Guariglia, E. Entropy and Fractal Antennas. Entropy 2016, 18, 84. [Google Scholar] [CrossRef]
- Peng, Y.; Zhou, J.G.; Burrows, R. Modelling the free surface flow in rectangular shallow basins by lattice Boltzmann method. J. Hydraul. Eng. 2011, 137, 1680–1685. [Google Scholar] [CrossRef]
- Peng, Y.; Zhou, J.G.; Burrows, R. Modelling solute transport in shallow water with the lattice Boltzmann method. Comput. Fluids 2011, 50, 181–188. [Google Scholar] [CrossRef]
- Baumer, C. Southern Silk Road: In the Footsteps of Sir Aurel Stein and Sven Hedin; Orchid Press: Krung Thep Maha Nakhon, Thailand, 2001. [Google Scholar]
- Liu, J.Q.; Qin, X.G. Evolution of the environmental framework and oasis in the Tarim Basin. J. Quat. Sci. 2005, 25, 533–539. [Google Scholar]
- Zhu, Z.D.; Wu, Z.; Liu, S.; Di, X.M. An Outline of Chinese Deserts; Science Press: Beijing, China, 1980; Volume 107. (In Chinese) [Google Scholar]
- Ren, X.; Mu, G.J.; Xu, L.S.; Lin, Y.C.; Zhao, X. Characteristics of artificial oasis expansion in south Tarim Basin from 2000 to 2013. Arid Land Res. 2015, 38, 1022–1030. (In Chinese) [Google Scholar]
- Zhou, X.; Lei, W.J. Hydrological interaction between oases and water vapor transportation in the Tarim Basin, northwestern China. Sci. Rep. 2018, 8, 13431. [Google Scholar] [CrossRef] [PubMed]
- Li, B.; Chen, Y.; Shi, X.; Chen, Z.; Li, W. Temperature and precipitation changes in different environments in the arid region of northwest China. Theor. Appl. Climatol. 2013, 112, 589–596. [Google Scholar] [CrossRef]
- Halik, W.; Mamat, A.; Dang, J.H.; Deng, B.S.H.; Tiyip, T. Suitability analysis of human settlement environment within the Tarim Basin in Northwestern China. Quatern. Int. 2013, 311, 175–180. [Google Scholar] [CrossRef]
- Zhao, X.F.; Xu, H.L.; Wang, M.; Zhang, P.; Ling, H. Overloading analysis of irrigation area in basins of Tarim River in different years. Trans. CSAE 2015, 31, 77–81. (In Chinese) [Google Scholar]
- Yan, Z.L.; Huang, Q.; Chang, J.X.; Wang, Y. Analysis and dynamic monitoring of land use in the main stream of Tarim river valley using remote sensing. Trans. CSAE 2008, 24, 119–123. (In Chinese) [Google Scholar]
- Zhang, J.S.; Yan, Z.L.; Wang, X.G.; Huang, Q.A.; Gao, F. Remote sensing analysis of spatial-temporal changes of desertification land in Lower Reaches of Tarim River. Trans. CSAE 2009, 25, 161–165. (In Chinese) [Google Scholar]
- Yang, K. User’s Guide for China Meteorological Forcing Dataset. 2010. Available online: http://dam.itpcas.ac.cn/data/User_Guide_for_China_Meteorological_Forcing_Dataset.htm (accessed on 14 September 2018).
- Shannon, C.E. A mathematical theory of communication. Bell Syst. Technol. J. 1948, 27, 379–423. [Google Scholar] [CrossRef]
- Ben-Naim, A. Entropy, Shannon’s Measure of Information and Boltzmann’s H-Theorem. Entropy 2017, 19, 48. [Google Scholar] [CrossRef]
- Conrad, K. Probability distributions and maximum entropy. Entropy 2004, 6, 10. [Google Scholar]
- Shi, Y.F. Discussion on the present climate change from warm-dry to warm-wet in northwest China. J. Quat. Sci. 2003, 23, 152–164. (In Chinese) [Google Scholar]
- Zhang, J.C. Monsoon and Precipitation in China; China Meteorological Press: Beijing, China, 2010; Volume 16. (In Chinese)
- Shen, L.L.; He, J.H.; Zhou, X.Y.; Chen, L.; Zhu, C.W. The regional variabilities of the summer rainfall in China and its relation with anomalous moisture transport during the recent 50 years. Acta Meteorol. Sin. 2010, 68, 918–931. [Google Scholar]
- Lei, Z.D.; Hu, H.P.; Yang, S.X.; Tian, F.Q. Analysis on water consumption in oases of the Tarim Basin. J. Hydraul. Eng. 2006, 37, 1470–1475. [Google Scholar]








| Main Oases | Initial Precipitation P0 (mm) | Zooming Constant C (-) | Shape Factor α (-) | Scale Factor β (-) | Correlation R2 |
|---|---|---|---|---|---|
| Kashi Oasis (Western Basin) | 69.31 | 54.24 | 4.64 | 2.32 | 0.99 |
| Akesu Oasis (Northern Basin) | 76.46 | 43.04 | 5.16 | 3.00 | 0.93 |
| Kuerle Oasis (Northeastern Basis) | 58.54 | 44.60 | 3.36 | 3.00 | 0.97 |
| Hetian Oasis without calibration (Southwestern Basin) | 52.34 | 3.34 | 2.00 | 3.00 | 0.47 |
| Hetian Oasis after calibration (Southwestern Basin) | 51.76 | 32.57 | 1.02 | 5.41 | 0.87 |
| Oasis | Season | UBC: P0u = 10; Cu = 60, αu = 8, βu = 8 | UBC: P0u = 10; Cu = 200, αu = 20, βu = 20 | ||||||||
|---|---|---|---|---|---|---|---|---|---|---|---|
| P0 (mm) | C (-) | α (-) | β (-) | R2 | P0 (mm) | C (-) | α (-) | β (-) | R2 | ||
| (a) Kashi | Spring | 16.87 | 30.80 | 2.47 | 8.00 | 0.99 | 16.53 | 57.55 | 1.78 | 20.00 | 0.99 |
| Summer | 31.81 | 21.93 | 8.00 | 1.12 | 0.98 | 31.81 | 21.93 | 9.11 | 0.99 | 0.98 | |
| Autumn | 11.20 | 11.59 | 1.91 | 8.00 | 0.99 | 10.94 | 18.18 | 1.33 | 20.00 | 0.99 | |
| Winter | 8.44 | 7.39 | 5.49 | 2.55 | 0.99 | 8.44 | 7.39 | 5.49 | 2.55 | 0.99 | |
| (b) Akesu | Spring | 15.14 | 60.00 | 8.00 | 2.37 | 0.83 | 15.24 | 32.22 | 20.00 | 0.65 | 0.89 |
| Summer | 35.03 | 14.36 | 0.74 | 8.00 | 0.97 | 34.94 | 19.32 | 0.60 | 20.00 | 0.98 | |
| Autumn | 13.59 | 60.00 | 8.00 | 2.38 | 0.87 | 13.66 | 200.00 | 10.08 | 2.12 | 0.88 | |
| Winter | 9.19 | 2.00 | 1.42 | 2.80 | 0.86 | 9.19 | 2.00 | 1.42 | 2.80 | 0.86 | |
| (c) Kuerle | Spring | 12.35 | 11.05 | 1.91 | 8.00 | 0.98 | 12.33 | 28.21 | 1.65 | 20.00 | 0.98 |
| Summer | 27.10 | 60.00 | 3.32 | 4.11 | 0.99 | 27.03 | 199.94 | 2.71 | 9.94 | 0.99 | |
| Autumn | 11.65 | 4.41 | 1.47 | 8.00 | 0.94 | 11.64 | 5.87 | 1.36 | 11.83 | 0.94 | |
| Winter | 7.01 | 0.65 | 8.00 | 8.00 | 0.02 | 7.01 | 2.91 | 17.15 | 16.99 | 0.01 | |
| (d) Hetian | Spring | 10.74 | 60.00 | 8.00 | 1.41 | 0.96 | 10.76 | 199.35 | 8.15 | 1.73 | 0.96 |
| Summer | 23.76 | 60.00 | 8.00 | 1.92 | 0.09 | 23.76 | 200.00 | 20.00 | 0.54 | 0.16 | |
| Autumn | 8.11 | 60.00 | 6.02 | 3.03 | 0.78 | 8.11 | 200.00 | 5.60 | 4.52 | 0.78 | |
| Winter | 9.76 | 60.00 | 8.00 | 2.33 | 0.01 | 9.73 | 200.00 | 20.00 | 0.57 | 0.05 | |
| Stages | Threshold Value and Average Slope | Kashi Oasis | Akesu Oasis | Kuerle Oasis | Hetian Oasis |
|---|---|---|---|---|---|
| (1) Small Increase Rate | Threshold value | 0–40 km | 0–50 km | 0–40 km | 0–55 |
| Average slope | Not substantial | Not substantial | Not substantial | Not substantial | |
| (2) Large Increase Rate | Threshold value | 40–185 km | 50–185 km | 40–180 km | 55–155 km |
| Average slope | 3.32 mm/10 km | 1.76 mm/10 km | 2.86 mm/10 km | 0.65 mm/10 km | |
| (3) Small Increase Rate Again | Threshold value | 185–220 km | 185–300 km | 180–265 km | 155–200 km |
| Average slope | Not substantial | Not substantial | Not substantial | Not substantial | |
| (4) Stable Status | Threshold value | >220 km | >300 km | >265 km | >200 km |
| Average slope | Close to 0 | Close to 0 | Close to 0 | Close to 0 |
© 2018 by the authors. Licensee MDPI, Basel, Switzerland. This article is an open access article distributed under the terms and conditions of the Creative Commons Attribution (CC BY) license (http://creativecommons.org/licenses/by/4.0/).
Share and Cite
Zhou, X.; Niu, Z.; Lei, W. Estimation of Precipitation Evolution from Desert to Oasis Using Information Entropy Theory: A Case Study in Tarim Basin of Northwestern China. Water 2018, 10, 1258. https://doi.org/10.3390/w10091258
Zhou X, Niu Z, Lei W. Estimation of Precipitation Evolution from Desert to Oasis Using Information Entropy Theory: A Case Study in Tarim Basin of Northwestern China. Water. 2018; 10(9):1258. https://doi.org/10.3390/w10091258
Chicago/Turabian StyleZhou, Xiangyang, Zhipan Niu, and Wenjuan Lei. 2018. "Estimation of Precipitation Evolution from Desert to Oasis Using Information Entropy Theory: A Case Study in Tarim Basin of Northwestern China" Water 10, no. 9: 1258. https://doi.org/10.3390/w10091258
APA StyleZhou, X., Niu, Z., & Lei, W. (2018). Estimation of Precipitation Evolution from Desert to Oasis Using Information Entropy Theory: A Case Study in Tarim Basin of Northwestern China. Water, 10(9), 1258. https://doi.org/10.3390/w10091258

