Sign in to use this feature.

Years

Between: -

Subjects

remove_circle_outline
remove_circle_outline
remove_circle_outline
remove_circle_outline
remove_circle_outline
remove_circle_outline
remove_circle_outline
remove_circle_outline
remove_circle_outline

Journals

remove_circle_outline
remove_circle_outline
remove_circle_outline
remove_circle_outline
remove_circle_outline
remove_circle_outline
remove_circle_outline
remove_circle_outline
remove_circle_outline
remove_circle_outline
remove_circle_outline

Article Types

Countries / Regions

remove_circle_outline
remove_circle_outline
remove_circle_outline
remove_circle_outline
remove_circle_outline

Search Results (2,106)

Search Parameters:
Keywords = evolution of precipitation

Order results
Result details
Results per page
Select all
Export citation of selected articles as:
20 pages, 2528 KB  
Article
Utilizing Multi-Source Remote Sensing Data and the CGAN to Identify Key Drought Factors Influencing Maize Across Distinct Phenological Stages
by Hui Zhao, Jifu Guo, Jing Jiang, Funian Zhao and Xiaoyang Yang
Remote Sens. 2026, 18(7), 1085; https://doi.org/10.3390/rs18071085 - 3 Apr 2026
Viewed by 149
Abstract
Drought is one of the major disasters constraining crop production. The accurate identification of the dominant environmental factors that drive drought stress at different growth stages of maize is essential for developing stage-specific and precise water management strategies, enhancing drought resistance, and ensuring [...] Read more.
Drought is one of the major disasters constraining crop production. The accurate identification of the dominant environmental factors that drive drought stress at different growth stages of maize is essential for developing stage-specific and precise water management strategies, enhancing drought resistance, and ensuring food security. However, a key challenge is quantifying the nonlinear interactions among multiple environmental factors. This study focuses on the rain-fed agricultural region of Northwest China. To address the limited availability of drought event samples in this region and the inadequacy of traditional statistical methods in capturing complex inter-factor relationships, we integrate a small-sample modeling framework based on an improved Conditional Generative Adversarial Network (CGAN) with an attribution framework that employs SHapley Additive exPlanations (SHAP) for interpretability analysis. We incorporate ten environmental factors derived from multi-source remote sensing: temperature (Tmax, Tmin, Tmean), precipitation (P), evapotranspiration (ET), soil moisture at 0–10 cm (SM0–10) and at 10–40 cm (SM10–40), and solar-induced chlorophyll fluorescence (SIFmax, SIFmin, SIFmean). Sample sets were established for different maize phenological stages. The CGAN model was employed to achieve high-precision estimation of maize drought severity levels, while the SHAP method was used to quantitatively analyze the dominant factors and their contributions at each phenological stage. The results show that the CGAN model achieved coefficients of determination (R2) of 0.963, 0.972, and 0.979 for the seedling, jointing–tasseling, and maturity stages, respectively, demonstrating excellent nonlinear modeling capability under small samples. SHAP analysis reveals a clear dynamic evolution of dominant factors across phenological stages. Evapotranspiration (ET) dominated in the seedling stage, reflecting the primary role of surface water–heat balance, while the jointing–tasseling stage transitioned to a co-dominance of ET, topsoil moisture (SM0–10), and minimum SIF, indicating intensified crop transpiration and physiological stress under the meteorological drought framework, and the maturity stage shifted to an absolute dominance centered on mean temperature (Tmean), highlighting the critical impact of heat stress. This study provides a data-driven quantitative perspective for understanding maize drought mechanisms and offers a scientific basis for formulating differentiated drought management strategies for different growth stages. Furthermore, it demonstrates the potential of integrating CGAN with SHAP for agricultural remote sensing and drought attribution research in data-scarce regions. Full article
Show Figures

Figure 1

30 pages, 4727 KB  
Article
Density-Regulated Snow Depth–Snow Water Equivalent Scaling Under Thermodynamic and Accumulation Perturbations
by Kamilla Rakhymbek, Sultan Aubakirov, Balgaisha Mukanova, Anar Rakhimzhanova and Aliya Nugumanova
Appl. Sci. 2026, 16(7), 3476; https://doi.org/10.3390/app16073476 - 2 Apr 2026
Viewed by 244
Abstract
Snowpack dynamics in continental climates are important for water-resource monitoring and snow water equivalent (SWE) estimation, yet the response of the snow depth–snow water equivalent (SD-SWE) relationship to changing thermodynamic and accumulation forcing remains insufficiently understood. This study develops a process-based framework to [...] Read more.
Snowpack dynamics in continental climates are important for water-resource monitoring and snow water equivalent (SWE) estimation, yet the response of the snow depth–snow water equivalent (SD-SWE) relationship to changing thermodynamic and accumulation forcing remains insufficiently understood. This study develops a process-based framework to evaluate how moderate perturbations in air temperature and precipitation influence snowpack evolution and depth–mass coupling in representative snow regimes of northeastern Kazakhstan. SNTHERM (the Snow Thermal Model) simulations were combined with regression analysis, ANCOVA diagnostics, and bulk-density evaluation under controlled delta-change perturbations of air temperature (±1–2 °C) and precipitation (±5–10%). The results show that the SD-SWE relationship remains approximately linear within the tested perturbation range (R2 ≈ 0.78–0.84), although its parameters are partially sensitive to precipitation-driven accumulation. Temperature perturbations mainly affect melt timing, seasonal persistence, and snow-density redistribution, whereas precipitation modifies snowpack mass and overburden, enhancing mechanical compaction and increasing the regression slope. These findings indicate that snow density is a key integrative state variable linking energy balance, phase change, and compaction processes. Under the tested conditions, snow depth remains a physically consistent proxy for SWE, although the conclusions are limited by the one-dimensional model structure, reanalysis-based forcing, and restricted observational coverage. Full article
Show Figures

Figure 1

22 pages, 7821 KB  
Article
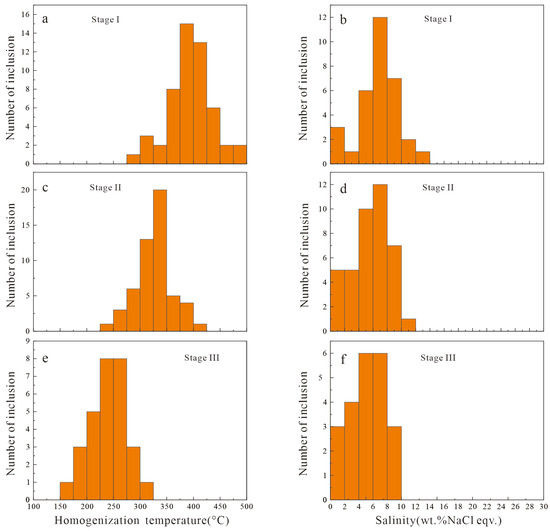
Genesis of the Dongqiyishan Porphyry W-Polymetallic Deposit, Inner Mongolia: Constraints from Molybdenite Re-Os Geochronology, Fluid Inclusions, and H-O-S Isotopes
by Haijun Li, Lei Wu, Shuqi Gao, Feichao Zong, Xiangxiang Zhang and Chaoyun Liu
Minerals 2026, 16(4), 377; https://doi.org/10.3390/min16040377 - 2 Apr 2026
Viewed by 237
Abstract
The Dongqiyishan W-polymetallic deposit is a large porphyry deposit in the Beishan region, Inner Mongolia. Based on cross-cutting relationships of veins and distinct mineral assemblages, the hydrothermal evolution of the Dongqiyishan deposit can be divided into three mineralization stages, with corresponding characteristic alteration [...] Read more.
The Dongqiyishan W-polymetallic deposit is a large porphyry deposit in the Beishan region, Inner Mongolia. Based on cross-cutting relationships of veins and distinct mineral assemblages, the hydrothermal evolution of the Dongqiyishan deposit can be divided into three mineralization stages, with corresponding characteristic alteration types: (1) early W mineralization stage, dominated by potassic–sodic alteration; (2) main W mineralization stage, characterized by extensive phyllic alteration; and (3) post-W-mineralization hydrothermal stage, associated with quartz–fluorite–calcite alteration. This study employs an integrated approach, including molybdenite Re-Os dating, microthermometry of fluid inclusions, and H-O-S isotopic analyses, to investigate the genesis of the deposit. The results show that: (1) the metallogenic age of the deposit is 222.2 ± 1.5 Ma (MSWD = 0.58; Middle Triassic), which was likely caused by the northward subduction of the Paleo-Tethys Ocean; (2) the metallogenic fluids of Stage I (homogenization temperature 350~400 °C, salinity 6.0~8.0 wt.% NaCl eqv.) and Stage II (homogenization temperature 300~350 °C, salinity 4.0~6.0 wt.% NaCl eqv.) are mainly from magmatic water, and Stage III (homogenization temperature 225~275 °C, salinity 4.0~8.0 wt.% NaCl eqv.) has a mixed fluid of magmatic water and meteoric water; (3) the ore-forming materials were mainly derived from magma, which is supported by the S isotopic results (δ34S = −0.5‰~1.6‰, average 0.93‰); (4) mineralization depths calculated through fluid inclusions are 0.52–1.60 km (Stage I), 0.70–1.80 km (Stage II) and 0.10–0.49 km (Stage III); and (5) Stage I W precipitation was likely driven by fluid boiling and water–rock interaction, Stage II W precipitation by water–rock interaction principally, and Stage III fluorite precipitation by water–rock interaction plus fluid cooling. This research provides theoretical guidance for W-polymetallic prospecting in the Beishan of Inner Mongolia. Full article
Show Figures

Figure 1

13 pages, 1781 KB  
Article
The Mechanism of the Electrocatalytic Recovery of Pulping Black Liquor
by Chenggang Chen, Zuimiao Tao and Yan Cao
Catalysts 2026, 16(4), 323; https://doi.org/10.3390/catal16040323 - 2 Apr 2026
Viewed by 182
Abstract
This study elucidates the mechanism enabling the low-voltage electrolysis of black liquor (BL) for integrated resource recovery. The process simultaneously generates protons at the anode via the oxidation of organics (OOR), which occurs at a lower potential than the oxygen evolution reaction (OER), [...] Read more.
This study elucidates the mechanism enabling the low-voltage electrolysis of black liquor (BL) for integrated resource recovery. The process simultaneously generates protons at the anode via the oxidation of organics (OOR), which occurs at a lower potential than the oxygen evolution reaction (OER), and induces lignin precipitation. Concurrently, hydrogen and hydroxide ions are produced at the cathode through the hydrogen evolution reaction (HER). Driven by the electric field, sodium ions migrate from the anode to the cathode chamber, combining with hydroxide ions to form sodium hydroxide, thereby achieving the synchronous production of acid, alkali, hydrogen, and modified lignin in a single process. Using a platinum electrode, we conducted a mechanistic investigation through linear sweep voltammetry (LSV), cyclic voltammetry (CV), electrochemical impedance spectroscopy (EIS), and detailed product analysis. The results show that overall efficiency is controlled by competition at the anode between OOR and OER, which directly determines proton yield. A critical trade-off exists between anodic proton generation and cathodic alkali recovery, driven by the competitive migration of protons and sodium ions across the cation-exchange membrane. The proton yield was highly dependent on the initial BL composition, with a characteristic peak observed under specific conditions. Conversely, the sodium hydroxide recovery rate was maximized when the anolyte pH remained high, minimizing competitive proton migration. This work provides fundamental insights into the interfacial mechanisms of BL electrocatalytic, establishing it as a versatile electrochemical biorefinery platform for simultaneous proton and alkali production from a renewable waste stream, beyond its role as a hydrogen source and lignin recovery. Full article
Show Figures

Figure 1

22 pages, 17919 KB  
Article
Effect of Differential Speed Ratio on the Microstructural Evolution and Mechanical Properties of Asynchronously Rolled 7075 Aluminum Alloy
by Lanshun Wei, Xiaowei Lian, Liping Deng and Bingshu Wang
Materials 2026, 19(7), 1412; https://doi.org/10.3390/ma19071412 - 1 Apr 2026
Viewed by 223
Abstract
The increasing demands of application conditions urgently call for process innovations in high-performance 7xxx aluminum alloys. This study investigated the effect of differential speed rolling (DSR) on the microstructural evolution and mechanical properties of 7075 aluminum alloy subjected to DSR with a total [...] Read more.
The increasing demands of application conditions urgently call for process innovations in high-performance 7xxx aluminum alloys. This study investigated the effect of differential speed rolling (DSR) on the microstructural evolution and mechanical properties of 7075 aluminum alloy subjected to DSR with a total reduction of 60%, followed by isothermal aging at 120 °C for 24 h. The results show that DSR promotes the development of grain refinement, defect accumulation, and deformation texture, while the corresponding strengthening effect exhibits a non-monotonic dependence on speed ratio. Among all conditions, the DSR2.0 sample exhibits the most favorable microstructure, characterized by the highest kernel average misorientation (KAM) value, the strongest deformation texture, and the finest as well as most densely distributed intragranular η′ precipitates. Accordingly, the DSR2.0 sample achieves the optimal strength–ductility balance, with a yield strength, ultimate tensile strength, elongation, and hardness of 582.26 MPa, 648.43 MPa, 10.75%, and 199.8 HV, respectively. Specifically, the deterioration in the properties of the DSR2.5 sample is attributed to localized recovery, shear inhomogeneity and coarsening of precipitates. The differential speed ratio enables effective optimization of the 7075 aluminum alloy by regulating the evolution of grains, dislocations, precipitate phases, and texture, among which precipitation strengthening is the dominant calculated contribution. Therefore, an appropriate differential speed ratio is key to achieving performance optimization. Full article
(This article belongs to the Section Manufacturing Processes and Systems)
Show Figures

Graphical abstract

28 pages, 7305 KB  
Article
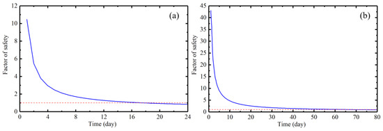
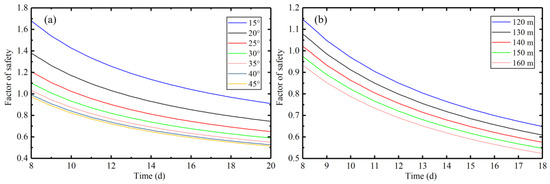
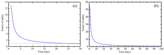
Rainfall-Induced Landslide Stability for Variably Shaped Slopes: A Multi-Model Integration Approach Through Green-Ampt Theory and Numerical Validation
by Xijiang Wu, Hengli Zhou, Wenlong Xu, Fasheng Miao, Lixia Chen, Chuncan He and Yiqing Sun
Geosciences 2026, 16(4), 145; https://doi.org/10.3390/geosciences16040145 - 1 Apr 2026
Viewed by 209
Abstract
As one of the most catastrophic geological hazards globally, landslides exhibit heightened risks due to their increasing frequency, destructive potential, and extensive spatial distribution. The primary objective of this study is to develop an integrated analytical framework to quantitatively evaluate the stability of [...] Read more.
As one of the most catastrophic geological hazards globally, landslides exhibit heightened risks due to their increasing frequency, destructive potential, and extensive spatial distribution. The primary objective of this study is to develop an integrated analytical framework to quantitatively evaluate the stability of variably shaped slopes under rainfall infiltration. The core hypothesis is that slope curvature significantly alters infiltration behavior and stress distribution, leading to morphology-dependent failure mechanisms. Employing Green-Ampt infiltration theory coupled with limit equilibrium analysis, we establish stability prediction models for three fundamental slope geometries (linear, concave, convex) under contrasting rainfall regimes (high-intensity vs. low-intensity precipitation). The derived analytical solutions reveal two critical phenomena: (1) progressive downward migration of the saturation front maintaining parallelism with slope surfaces during infiltration and (2) time-dependent stability deterioration following hyperbolic decay patterns. The proposed models are rigorously validated through numerical simulations employing finite element methods, which demonstrate remarkable congruence with theoretical predictions, showing safety factor discrepancies below 5% (ΔFs < 0.05). Particularly, concave slopes exhibit 18–22% faster destabilization rates compared to convex counterparts under equivalent rainfall conditions. The validated models elucidate the spatiotemporal evolution of matric suction and pore pressure distributions, providing quantitative insights into morphology-dependent failure thresholds. These findings advance predictive capabilities for rainfall-induced landslides through physics-based stability criteria, offering critical guidance for terrain-specific early warning systems and mitigation strategies in geohazard-prone regions. Full article
Show Figures

Figure 1

20 pages, 7474 KB  
Article
Investigation of Thermal–Microstructure–Hardness Relationships in Dissimilar AA5052-H32/AA6061-T6 Friction Stir Welded Joints
by Wenfei Li, Vladislav Yakubov, Michail Karpenko and Anna M. Paradowska
Materials 2026, 19(7), 1410; https://doi.org/10.3390/ma19071410 - 1 Apr 2026
Viewed by 272
Abstract
Friction stir welding (FSW) of dissimilar aluminium alloys often results in non-uniform microstructure and hardness distributions due to asymmetric temperature fields and material flow. The objective of this study is to establish a quantitative relationship between thermal history, microstructural evolution, and hardness distribution [...] Read more.
Friction stir welding (FSW) of dissimilar aluminium alloys often results in non-uniform microstructure and hardness distributions due to asymmetric temperature fields and material flow. The objective of this study is to establish a quantitative relationship between thermal history, microstructural evolution, and hardness distribution in dissimilar AA5052-H32/AA6061-T6 FSW joints by combining experimental characterisation with validated thermal modelling. AA5052-H32 and AA6061-T6 plates were welded under five different parameter sets. A thermal finite element model was developed in COMSOL Multiphysics to simulate temperature evolution during welding and was validated using embedded thermocouple measurements, with predicted peak temperatures ranging from 455 °C to 641 °C. Optical microscopy, scanning electron microscopy (SEM), and electron backscatter diffraction (EBSD) were employed to characterise grain structure and dynamic recrystallisation (DRX) behaviour, while Vickers microhardness mapping was used to evaluate the local mechanical response. The results show that DRX occurred in the nugget zone (NZ), leading to significant grain refinement, with a minimum grain diameter of 6.07 µm, representing an approximately eightfold reduction compared with the base material AA5052-H32. In contrast, the thermo-mechanically affected zone (TMAZ) experienced limited recrystallisation due to insufficient plastic deformation and temperature. The lowest hardness was observed in the TMAZ on the AA5052-H32 side, with the hardness reduction of 22% primarily caused by work hardening loss. Hardness was also reduced by 34% on the AA6061-T6 side due to decreased precipitation strengthening caused by high temperatures. This combined experimental–numerical study provides a systematic thermal–microstructure–hardness framework for understanding and predicting local property variations in dissimilar FSW joints. Full article
(This article belongs to the Special Issue Fabrication of Advanced Materials)
Show Figures

Figure 1

39 pages, 3712 KB  
Review
Methanogens Through Time and Space: Impact on Earth’s Planetary Evolution and Biogeochemistry
by Paxton Tomko, Cesar Ivan Ovando-Ovando, Pierre Boussagol, Michel Geovanni Santiago-Martínez and Pieter T. Visscher
Geosciences 2026, 16(4), 144; https://doi.org/10.3390/geosciences16040144 - 1 Apr 2026
Viewed by 546
Abstract
Methanogens, or methanogenic archaea (MA), are among the most ancient and widely distributed microorganisms, characterized by a unique metabolism that generates methane (CH4) as the terminal product of anaerobic respiration. Their ability to grow and/or survive across a wide range of [...] Read more.
Methanogens, or methanogenic archaea (MA), are among the most ancient and widely distributed microorganisms, characterized by a unique metabolism that generates methane (CH4) as the terminal product of anaerobic respiration. Their ability to grow and/or survive across a wide range of environmental conditions has made methanogens key contributors to biogeochemical cycles throughout most of Earth’s history. Most importantly, these oxygen-sensitive microorganisms have regulated the climate since the early Archean and impacted biogeochemical cycles throughout Earth’s history by producing the potent greenhouse gas, CH4, while consuming H2, CO2, and small organic molecules. Hence, methanogens are attributed a key role in the start and end of several Proterozoic glaciations and mass extinction events. Their specific roles in the long-term carbon cycle that focus on CH4 production are well-established, but, in contrast, only very few studies report on interactions with CaCO3 and long-term carbon storage. Methanogens evolved early during Earth’s history, likely during the Archaean Eon, in layered benthic microbial communities called microbial mats. When lithified, these mats form microbialites that represent some of the earliest evidence of life in the fossil record, dating back >3.5 Gy. Methanogens are an integral part of contemporary microbial mats and have been identified both in the anoxic and oxic zones of these sedimentary ecosystems; however, their adaptations to apparently unfavorable oxic conditions and their role in the precipitation of carbonate in mats are unclear. In addition to an important role in the evolution of our planet by producing CH4, methanogens may also produce a biosignature that could be relevant for astrobiology research. This review will discuss the diversity, physiology, and ecology of methanogens in detail to clarify their role in some of the major biogeochemical processes and ecological climatic events through the fluctuating environmental conditions on Earth through geologic time. Full article
(This article belongs to the Section Biogeosciences)
Show Figures

Figure 1

31 pages, 1921 KB  
Article
Wind Turbine Gearbox Oil Temperature Forecasting Using Stochastic Differential Equations and Multi-Objective Grey Modeling
by Bo Wang and Yizhong Wu
Machines 2026, 14(4), 386; https://doi.org/10.3390/machines14040386 - 1 Apr 2026
Viewed by 131
Abstract
This study develops and evaluates three complementary predictive modeling frameworks for gearbox oil temperature forecasting: Stochastic Differential Equation (SDE) modeling with iterative Markov correction, multi-objective genetic algorithm-enhanced grey modeling (MOGA-GM(1,N)), and multi-output Gaussian Process Regression (MO-GPR). The study used supervisory control and data [...] Read more.
This study develops and evaluates three complementary predictive modeling frameworks for gearbox oil temperature forecasting: Stochastic Differential Equation (SDE) modeling with iterative Markov correction, multi-objective genetic algorithm-enhanced grey modeling (MOGA-GM(1,N)), and multi-output Gaussian Process Regression (MO-GPR). The study used supervisory control and data acquisition (SCADA) data from a 1.5 MW wind turbine gearbox, comprising 14 temperature measurements spanning 789 operational hours. The SDE framework partitions temperature evolution into deterministic aging effects and stochastic environmental perturbations, achieving a fitting accuracy of 2.5% and testing accuracy of 8.0% after thirty iterative corrections. The MOGA-GM(1,N) approach optimizes weight coefficients through the dual objective of minimizing the posterior difference ratio and maximizing small error probability, attaining first-class accuracy classification (C=0.06; P=0.99) while identifying mechanical loads and rotational speeds as dominant thermal drivers. MO-GPR demonstrates competitive performance with uncertainty quantification capabilities, achieving RMSE values of 2.51–7.48 depending on training SCADA data proportions. Comparative analysis shows that the iteratively refined SDE methodachieves the best prediction accuracy in this case study for continuous thermal trajectory forecasting, while MOGA-GM(1,N) excels at wear source diagnostics and operational factor analysis. The proposed framework addresses persistent challenges in wind turbine condition monitoring, including extreme nonlinearity, discontinuous data, and unpredictable thermal spikes. The results suggest potential for implementation in preventive maintenance systems, enabling timely intervention before critical thermal thresholds that precipitate component failure. Full article
Show Figures

Figure 1

25 pages, 26208 KB  
Article
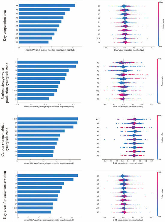
Analysis of Forest Ecosystem Service Clusters and Influencing Factors Based on SOFM and XGBoost Models
by Yong Cao, Hao Wang, Ziwei Zhang, Cheng Wang, Zhili Xu and Bin Dong
Forests 2026, 17(4), 439; https://doi.org/10.3390/f17040439 - 1 Apr 2026
Viewed by 225
Abstract
This study focuses on the Dabie Mountain Comprehensive Station in Anhui Province, constructing a multi-scale analytical framework and integrating remote sensing and socio-economic data to systematically assess the spatiotemporal evolution of ecosystem service bundles (ESBs) and landscape ecological risks using SOFM, XGBoost, and [...] Read more.
This study focuses on the Dabie Mountain Comprehensive Station in Anhui Province, constructing a multi-scale analytical framework and integrating remote sensing and socio-economic data to systematically assess the spatiotemporal evolution of ecosystem service bundles (ESBs) and landscape ecological risks using SOFM, XGBoost, and SHAP models. The research categorizes ecosystem service functions into four types: water conservation core areas, carbon storage–habitat optimization areas, carbon storage–water production composite areas, and multifunctional synergy areas. From 2013 to 2023, the proportion of multifunctional synergy areas increased from 39.85% to 42.86%, while carbon storage-habitat optimization areas and water conservation core areas decreased by 28,035.47 hm2 and 2118.8 hm2, respectively, indicating significant spatial restructuring of regional ecosystem service functions. The landscape ecological risk exhibits a pattern of “medium risk dominance with high-low polarization,” where high-risk areas overlap with urban expansion zones, and low-risk areas are concentrated in ecological conservation zones. Quantitative analysis reveals that climatic factors (e.g., annual precipitation) dominate the risk patterns in water conservation core areas and ecological conservation zones, topographic factors (e.g., elevation) influence regional spatial differentiation, and socio-economic factors (e.g., nighttime light index) significantly affect agricultural production core areas. The findings elucidate the evolutionary patterns of ecosystem service functions and the mechanisms of risk formation in the Dabie Mountain region, providing a scientific basis and technical support for regional land use optimization, ecosystem function enhancement, and ecological security assurance. Full article
(This article belongs to the Section Forest Ecology and Management)
Show Figures

Figure 1

20 pages, 3840 KB  
Article
Metallogenesis of Hydrothermal-Filling-Type Tremolite Jade in Sanchakou, Qinghai Province: Constraints from Elemental Geochemistry and Sr Isotopes
by Yuye Zhang, Haiyan Yu, Zizhou Dai, Hongyin Chen and Ling Liu
Minerals 2026, 16(4), 373; https://doi.org/10.3390/min16040373 - 31 Mar 2026
Viewed by 247
Abstract
The hydrothermal-filling-type tremolite jade (nephrite) deposit in sanchakou, Qinghai Province is hosted in marine dolomite, and its ore-forming fluid sources and metallogenic mechanisms remain poorly constrained. Here, we conducted an integrated study involving field geological mapping, petrographic observations, and geochemical analyses (major and [...] Read more.
The hydrothermal-filling-type tremolite jade (nephrite) deposit in sanchakou, Qinghai Province is hosted in marine dolomite, and its ore-forming fluid sources and metallogenic mechanisms remain poorly constrained. Here, we conducted an integrated study involving field geological mapping, petrographic observations, and geochemical analyses (major and trace elements, REEs, Sr isotopes) to constrain material sources, fluid physicochemical features and mineralization processes of the deposit. Results show that the ore-forming fluids were derived from deep crust, with homogeneous initial 87Sr/86Sr ratios ranging from 0.70949 to 0.70959, distinctly higher than the host dolomite (~0.707683), indicating intensive water–rock interaction with Sr-radiogenic lithologies during fluid upwelling. The host dolomite provided the main Ca and Mg, while Si and partial Mg were sourced from deep Si-Mg rich hydrothermal fluids, with negligible contribution from coeval gabbro. The ore-forming fluids were rich in Si, Mg, large-ion lithophile elements and volatiles (e.g., F), characterized by medium-high to medium-low temperature evolution and fluctuating oxidation states. Mineralization can be divided into four stages: deep fluid generation and migration, infiltration metasomatism and silicification, tremolite crystallization at peak oxidation, and open-space filling and jade precipitation. High-quality tremolite jade mainly formed via pulsed hydrothermal injection and direct crystallization in tectonic fractures. This study establishes a genetic model for hydrothermal-filling-type nephrite, enriching relevant metallogenic theories and supporting subsequent exploration. Full article
(This article belongs to the Section Mineral Deposits)
Show Figures

Figure 1

20 pages, 32497 KB  
Article
Nonstationary Runoff Evolution and Structural Regime Shifts in Cold-Region Plateau Rivers Under Climate Change
by Kaiye Gu, Yanhui Ao and Yong Li
Water 2026, 18(7), 816; https://doi.org/10.3390/w18070816 - 30 Mar 2026
Viewed by 308
Abstract
As key headwater regions of the upper Yangtze River, the Yalong and Dadu River basins are expected to experience highly uncertain hydrological responses under climate warming. However, the nonlinear and spatially heterogeneous evolution of streamflow across multiple time-frequency scales remains insufficiently understood. In [...] Read more.
As key headwater regions of the upper Yangtze River, the Yalong and Dadu River basins are expected to experience highly uncertain hydrological responses under climate warming. However, the nonlinear and spatially heterogeneous evolution of streamflow across multiple time-frequency scales remains insufficiently understood. In this study, a SWAT model driven by CMIP6 climate projections under four shared socioeconomic pathways (SSP1-2.6 to SSP5-8.5) was coupled with multivariate wavelet coherence, spatial wavelet transform, and change-point detection methods to investigate the spatiotemporal evolution of streamflow and extreme risks during 2017–2100. Results indicate that precipitation is the primary driver of streamflow variability, with streamflow responding rapidly, while air temperature mainly regulates seasonal intensity via snowmelt. Streamflow seasonal intensity exhibits a northwest-southeast gradient, with low variability upstream and high sensitivity downstream, reflecting precipitation-concentrated, forested canyons where rapid lateral flow and dry-season evapotranspiration amplify flow contrasts. Moreover, hydrological nonstationarity and extreme risks are projected to intensify, with structural regime shifts emerging in the 2040s–2050s and extreme high-flow magnitudes doubling under SSP5-8.5, accompanied by more frequent drought-flood alternations. These findings highlight an upstream buffering-downstream sensitivity pattern, emphasizing the need for spatially differentiated water resources management under nonstationary climate conditions. Full article
(This article belongs to the Section Water and Climate Change)
Show Figures

Figure 1

16 pages, 5560 KB  
Article
Effect of Cr on the Microstructure and Mechanical Properties of Cu-Ni-Si Alloys
by Hu Wang, Wanyu Wang and Zhongping Chen
Materials 2026, 19(7), 1353; https://doi.org/10.3390/ma19071353 - 29 Mar 2026
Viewed by 240
Abstract
A systematic study was conducted on the influence of Cr on the property evolution and precipitation behavior of Cu-Ni-Si alloys. Results indicate that Cu-Ni-Si alloys containing 0.33 at% Cr exhibit superior mechanical properties after three-stage cryogenic rolling and aging, achieving a tensile strength [...] Read more.
A systematic study was conducted on the influence of Cr on the property evolution and precipitation behavior of Cu-Ni-Si alloys. Results indicate that Cu-Ni-Si alloys containing 0.33 at% Cr exhibit superior mechanical properties after three-stage cryogenic rolling and aging, achieving a tensile strength of up to 862 MPa. The addition of Cr induces competitive precipitation behavior between Cr and Ni for Si. It promotes the precipitation of Cr3Si phases at various scales while suppressing the formation of Ni3Si phases. Concurrently, it enhances the precipitation of fine nanoscale precipitation-hardening phases Ni2Si, optimizing the alloy’s precipitation hardening effect. Furthermore, the addition of Cr suppresses dislocation annihilation. The formation of finer precipitates pins the dislocations introduced during cryogenic rolling and impedes their motion, thereby enhancing the alloy’s strength and hardness. The alternating and staggered distribution of soft and hard microzones in the Cr-containing alloy results in more uniform overall properties of the sample. However, the reduced proportion of soft microzones slightly decreases the alloy’s electrical conductivity. Full article
(This article belongs to the Section Metals and Alloys)
Show Figures

Figure 1

25 pages, 22071 KB  
Article
The Impact of Meteorological Parameters and Air Pollution on the Spatiotemporal Distribution of Nighttime Light in China
by Dan Wang, Wei Shan, Song Hong, Qian Wu, Shuai Shi and Bin Chen
Sustainability 2026, 18(7), 3256; https://doi.org/10.3390/su18073256 - 26 Mar 2026
Viewed by 378
Abstract
Nighttime light (NTL), a crucial indicator of human activity intensity, has not been systematically analyzed for its interactive mechanisms with air pollution and climate change. This study first investigates the spatiotemporal evolution of China’s total nighttime light (TNTL) and average nighttime light (ANTL), [...] Read more.
Nighttime light (NTL), a crucial indicator of human activity intensity, has not been systematically analyzed for its interactive mechanisms with air pollution and climate change. This study first investigates the spatiotemporal evolution of China’s total nighttime light (TNTL) and average nighttime light (ANTL), alongside key indicators of meteorological parameters and air pollution, at the grid scale from 2000 to 2023. We then employ prefecture-level city data and a geographically and temporally weighted regression (GTWR) model to quantify the spatiotemporally heterogeneous associations of temperature (TMP), precipitation (PRE), fine particulate matter (PM2.5), ozone (O3), land use (LUL), topography, and socioeconomic factors with NTL. The results indicate that (1) China’s NTL exhibits a significant overall upward trend, with areas of increase or significant increase comprising 92.04% of the total study area. TNTL growth demonstrates regional heterogeneity, expanding by a factor of 4.91 in East China and 2.65 in Northeast China; (2) meteorological and air pollution indicators display spatiotemporal non-stationarity, with the synergistic effect between O3 and PRE being the strongest; (3) among NTL drivers, LUL contributes most significantly (0.44), followed by TMP (0.14) > PM2.5 (−0.33 × 10−1) > O3 (0.17 × 10−1) > PRE (−0.33 × 10−6); (4) TMP and PRE may primarily influence NTL by altering ecological conditions and nighttime activity patterns. TMP shows a strong positive correlation with NTL in the junction zone of South, East, and Central China, whereas PRE predominantly exerts a negative influence; (5) air pollution exhibits distinct spatiotemporal effects: high PM2.5 and O3 generally correspond to lower NTL, though positive correlations persist in some areas due to industrial structures, highlighting the need for integrated policies that balance air quality management with sustainable urban planning; (6) the 2013 “Air Pollution Prevention and Control Action Plan” significantly strengthened the negative correlation between PM2.5 and NTL in North China. However, O3 concentrations increased by 28.9% after 2017, underscoring the challenge of coordinating VOC and NOx controls for long-term atmospheric sustainability. Full article
(This article belongs to the Special Issue Ecology, Environment, and Watershed Management)
Show Figures

Figure 1

22 pages, 5921 KB  
Article
Streamflow Simulation Based on a Hybrid Morphometric–Satellite Methodological Framework
by Devis A. Pérez-Campo, Fernando Espejo and Santiago Zazo
Water 2026, 18(7), 786; https://doi.org/10.3390/w18070786 - 26 Mar 2026
Viewed by 481
Abstract
This research investigates the relationships between the parameters of the GR4J hydrological model and a set of morphometric descriptors, climatic indices, land-cover characteristics, and soil properties across the Caquetá River Basin (Colombia). Twelve limnimetric–limnographic gauges with consistent records for the period 2001–2022 were [...] Read more.
This research investigates the relationships between the parameters of the GR4J hydrological model and a set of morphometric descriptors, climatic indices, land-cover characteristics, and soil properties across the Caquetá River Basin (Colombia). Twelve limnimetric–limnographic gauges with consistent records for the period 2001–2022 were selected for model calibration and validation. The corresponding sub-watersheds were delineated and characterized in terms of geomorphometry, vegetation cover, and soil permeability. According to that, the morphometric assessment focused on estimating key geomorphometric parameters, while land-cover descriptions utilized NDVI data. Soil type identification was based on the average approximate permeability across each analyzed sub-watershed. Model calibration was performed using the Differential Evolution Markov Chain (DE-MC) algorithm with 8000 simulations, forced by CHIRPS satellite precipitation and ERA5 potential evaporation data. Relationships between GR4J parameters and watershed attributes were assessed using Spearman’s rank correlation and curve-fitting analyses. The results reveal strong and consistent relationships between GR4J parameters (X1–X4) and key morphometric variables, including basin perimeter, circularity ratio, main channel length, and channel slope. Coefficients of determination ranged from 0.80 to 0.98, highlighting the potential for parameter regionalization based on physiographic and environmental descriptors. Full article
Show Figures

Graphical abstract

Back to TopTop