Experimental Studies on Surface Vortex Mitigation Using the Floating Anti-Vortex Device in Sump Pumps
Abstract
:1. Introduction
2. Model Experiments on the Floating Anti-Vortex Device (F-AVD)
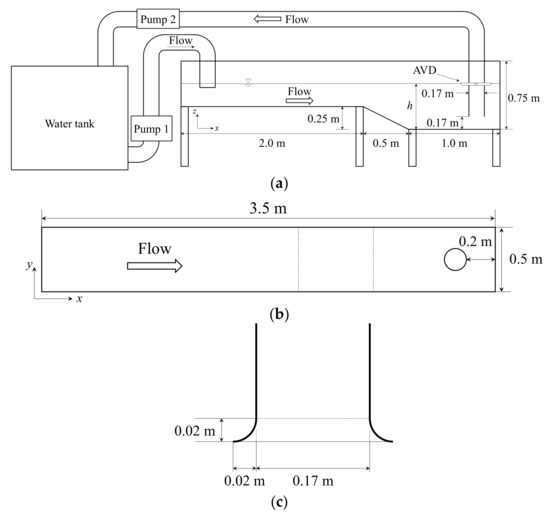
2.1. Experimental Set-Up
2.2. Flow Measurement
3. Results and Discussion
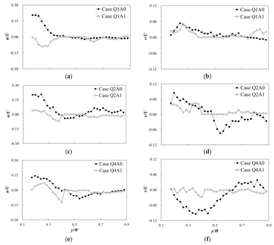
3.1. Velocity Distributions
3.2. Vorticity Distributions
4. Concluding Remarks
Acknowledgments
Author Contributions
Conflicts of Interest
References
- Arboleda, G.; El-Fadel, M. Effects of approach flow conditions on pump sump design. J. Hydraul. Eng. 1996, 122, 489–494. [Google Scholar] [CrossRef]
- Keller, J.; Möller, G.; Boes, R.M. PIV measurements of air-core intake vortices. Flow Meas. Instrum. 2014, 40, 74–81. [Google Scholar] [CrossRef]
- Constantinescu, G.S.; Patel, V.C. Numerical model for simulation of pump-intake flow and vorticies. J. Hydraul. Eng. 1998, 124, 123–134. [Google Scholar] [CrossRef]
- De Siervi, F.; Viguier, H.C.; Greitzer, E.M.; Tan, C.S. Mechanism of inlet-vortex formation. J. Fluid Mech. 1982, 124, 173–207. [Google Scholar] [CrossRef]
- Padmanabhan, M.; Hecker, G.E. Scale effects in pump sump models. J. Hydraul. Eng. 1984, 110, 1540–1556. [Google Scholar] [CrossRef]
- Okamura, T.; Kamemoto, K.; Matsui, J. CFD prediction and model experiment on suction vortices in pump sump. In Proceedings of the 9th Asian International Conference on Fluid Mechinery, Jeju, Korea, 16–19 October 2007. [Google Scholar]
- Nagahara, T.; Sato, T.; Okamura, T. Measurement of the flow around the submerged vortex cavitation in a pump intake by means of PIV. In Proceedings of the 5th International Symposium on Cavitation, Osaka, Japan, 1–4 November 2003. [Google Scholar]
- Li, H.; Chen, H.; Ma, Z.; Yi, Z. Experimental and numerical investigation of free surface vortex. J. Hydrodyn. Ser. B 2008, 20, 485–491. [Google Scholar] [CrossRef]
- Guo, Z.W.; Chen, F.; Wu, P.F.; Qian, Z.D. Three-dimensional simulation of air entrainment in a sump pump. J. Hydraul. Eng. 2017, 143, 04017024. [Google Scholar] [CrossRef]
- Hydraulic Institute. American National Standard for Pump Intake Design; ANSI/HI 9.8-1998; Hydraulic Institute: Parsippany, NJ, USA, 1998. [Google Scholar]
- Kang, W.T.; Shin, B.R.; Doh, D.H. An effective shape of floor splitter flor reducing sub-surface vortices in pump sump. J. Mech. Sci. Tech. 2014, 28, 175–182. [Google Scholar] [CrossRef]
- Norizan, T.A.; Reda, E.; Harun, Z. Enhancement of vorticity reduction by floor splitter in pump sump to improve pump efficiency. Sustain. Energy Tech. Assess. 2017, 26, 28–36. [Google Scholar] [CrossRef]
- Kim, H.J.; Park, S.W.; Rhee, D.S. Effective height of a floor splitter anti-vortex device under varying flow conditions. Sustainability 2017, 9, 285. [Google Scholar] [CrossRef]
- Claxton, J.; Hecker, G.E.; Sdano, A.R. The new hydraulic institute pump intake design standard. In Proceedings of the 16th International Pump Users Symposium, College Station, TX, USA, 2–4 March 1999. [Google Scholar]
- Taylor, Z.J.; Gurka, R.; Kopp, G.A.; Liberzon, A. Long-Duration Time-Resolved PIV to Study Unsteady Aerodynamics. IEEE Trans. Instrum. Meas. 2010, 59, 3262–3269. [Google Scholar] [CrossRef]
- Prasad, A.K. Particle image velocimetry. Curr. Sci. 2000, 79, 51–60. [Google Scholar]















| Case | F-AVD | Q (m3/s) | U (m/s) | Fr | h (m) | ha (m) |
|---|---|---|---|---|---|---|
| Q1A0 | w/o F-AVD | 0.018 | 0.40 | 0.43 | 0.34 | 0.09 |
| Q1A1 | w/F-AVD | |||||
| Q2A0 | w/o F-AVD | 0.022 | 0.49 | 0.52 | ||
| Q2A1 | w/F-AVD | |||||
| Q3A0 | w/o F-AVD | 0.024 | 0.53 | 0.57 | ||
| Q3A1 | w/F-AVD | |||||
| Q4A0 | w/o F-AVD | 0.026 | 0.60 | 0.64 | ||
| Q4A1 | w/F-AVD |
© 2018 by the authors. Licensee MDPI, Basel, Switzerland. This article is an open access article distributed under the terms and conditions of the Creative Commons Attribution (CC BY) license (http://creativecommons.org/licenses/by/4.0/).
Share and Cite
Park, I.; Kim, H.-J.; Seong, H.; Rhee, D.S. Experimental Studies on Surface Vortex Mitigation Using the Floating Anti-Vortex Device in Sump Pumps. Water 2018, 10, 441. https://doi.org/10.3390/w10040441
Park I, Kim H-J, Seong H, Rhee DS. Experimental Studies on Surface Vortex Mitigation Using the Floating Anti-Vortex Device in Sump Pumps. Water. 2018; 10(4):441. https://doi.org/10.3390/w10040441
Chicago/Turabian StylePark, Inhwan, Hyung-Jun Kim, Hoje Seong, and Dong Sop Rhee. 2018. "Experimental Studies on Surface Vortex Mitigation Using the Floating Anti-Vortex Device in Sump Pumps" Water 10, no. 4: 441. https://doi.org/10.3390/w10040441
APA StylePark, I., Kim, H.-J., Seong, H., & Rhee, D. S. (2018). Experimental Studies on Surface Vortex Mitigation Using the Floating Anti-Vortex Device in Sump Pumps. Water, 10(4), 441. https://doi.org/10.3390/w10040441

