Modeling Spatial Soil Water Dynamics in a Tropical Floodplain, East Africa
Abstract
1. Introduction
2. Materials and Methods
2.1. Study Area
2.2. Study Design
2.3. Hydrological Data Monitoring
2.3.1. Meteorological Data
2.3.2. Soil Moisture and Groundwater Level Monitoring
2.3.3. Soil Properties Sampling
2.4. Simulation of Soil Water Dynamics
2.4.1. Model Description
2.4.2. Initial and Boundary Conditions
2.4.3. Model Calibration and Validation
2.4.4. Criterion for Model Calibration Performance
2.5. Sensitivity Analysis
3. Results
3.1. Simulation of Spatial Soil Water Dynamics at Different Scales
3.1.1. Calibration Results
3.1.2. Validation Results and Prediction of Spatial Soil Moisture Content
3.2. Soil Water Availability at the Different Hydrological Zones
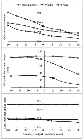
3.3. Sensitivity Analysis
4. Discussion
5. Conclusions
Acknowledgments
Author Contributions
Conflicts of Interest
References
- Blume, T.; Zehe, E.; Bronstert, A. Use of soil moisture dynamics and patterns at different spatio-temporal scales for the investigation of subsurface flow processes. Hydrol. Earth Syst. Sci. 2009, 13, 1215–1233. [Google Scholar] [CrossRef]
- Venkatesh, B.; Lakshman, N.; Purandara, B.K.; Reddy, V.B. Analysis of observed soil moisture patterns under different land covers in Western Ghats, India. J. Hydrol. 2011, 397, 281–294. [Google Scholar] [CrossRef]
- Qiu, Y.; Fu, B.; Wang, J.; Chen, L. Soil moisture variation in relation to topography and land use in a hillslope catchment of the Loess Plateau, China. J. Hydrol. 2001, 240, 243–263. [Google Scholar] [CrossRef]
- Schenk, H.J.; Jackson, R.B. Rooting depths, lateral root spreads and below-ground / above-ground allometries of plants in water-limited. J. Ecol. 2002, 90, 480–494. [Google Scholar] [CrossRef]
- Mulebeke, R.; Kironchi, G.; Tenywa, M.M. Soil moisture dynamics under different tillage practices in cassava—Sorghum based cropping systems in eastern Uganda. Ecohydrol. Hydrobiol. 2013, 13, 22–30. [Google Scholar] [CrossRef]
- Böhme, B.; Becker, M.; Diekkrüger, B.; Förch, G. How is water availability related to the land use and morphology of an inland valley wetland in Kenya? Phys. Chem. Earth 2016, 93, 84–95. [Google Scholar] [CrossRef]
- Wu, D.D.; Anagnostou, E.N.; Wang, G.; Moges, S.; Zampieri, M. Improving the surface-ground water interactions in the Community Land Model: Case study in the Blue Nile Basin. Water Resour. Res. 2014, 50, 8015–8033. [Google Scholar] [CrossRef]
- Sánchez, N.; Martínez-fernández, J.; González-piqueras, J.; González-dugo, M.P. Agricultural and Forest Meteorology Water balance at plot scale for soil moisture estimation using vegetation parameters. Agric. For. Meteorol. 2012, 166–167, 1–9. [Google Scholar] [CrossRef]
- Vereecken, H.; Huisman, J.A.; Bogena, H.; Vanderborght, J.; Vrugt, J.A.; Hopmans, J.W. On the value of soil moisture measurements in vadose zone hydrology: A review. Water Resour. Res. 2008, 44, 1–21. [Google Scholar] [CrossRef]
- Zehe, E.; Graeff, T.; Morgner, M.; Bauer, A.; Bronstert, A. Plot and field scale soil moisture dynamics and subsurface wetness control on runoff generation in a headwater in the Ore Mountains. Hydrol. Earth Syst. Sci. 2010, 14, 873–889. [Google Scholar] [CrossRef]
- Mitsch, W.; Gosselink, J.G. Wetlands of the World; John Wiley and Sons, Inc.: Hoboken, NJ, USA, 2015; ISBN 978-1-119-01979-4. [Google Scholar]
- McCartney, M.; Rebelo, L.-M.; Senaratna Sellamuttu, S.; De Silva, S. Wetlands, Agriculture and Poverty Reduction; IWMI Research Report; International Water Management Institue: Colombo, Sri Lanka, 2010; Volume 137, ISBN 9290907347. Available online: http://citeseerx.ist.psu.edu/viewdoc/download?doi=10.1.1.188.4594&rep=rep1&type=pdf (accessed on 5 November 2017).
- Thompson, J.R.; Polet, G. Hydrology and land use in a sahelian floodplain wetland 1. Wetlands 2000, 20, 639–659. [Google Scholar] [CrossRef]
- Von Der Heyden, C.J.; New, M.G. The role of a dambo in the hydrology of a catchment and the river network downstream. Hydrol. Earth Syst. Sci. 2003, 7, 339–357. [Google Scholar] [CrossRef]
- Acreman, M.C.; Miller, F. Hydrological impact assessment of wetlands. Int. Symp. Groundw. Sustain. 2007, 225–255. Available online: http://aguas.igme.es/igme/isgwas/Ponencias%20ISGWAS/16-Acreman.pdf (accessed on 10 February 2018).
- Dixon, A.B.; Wood, A.P. Wetland cultivation and hydrological management in eastern Africa: Matching community and hydrological needs through sustainable wetland use. Nat. Resour. Forum 2003, 27, 117–129. [Google Scholar] [CrossRef]
- Wood, A.; van Halsema, G.E. Scoping Agriculture—Wetland Interactions; FAO: Rome, Italy, 2008; ISBN 9789251060599. [Google Scholar]
- Reddy, K.R.; DeLaune, R.; Craft, C.B. Nutrients in Wetlands: Implications to Water Quality under Changing Climatic Conditions. 2010. Available online: https://thewaternetwork.com/_/hydrogeology-and-groundwater-remediation/document-XAs/nutrients-in-wetlands-implications-to-water-quality-under-changing-climatic-conditions-dcI85SV8e8QkZG4d8mRIYg (accessed on 9 February 2018).
- Sakané, N.; Alvarez, M.; Becker, M.; Böhme, B.; Handa, C.; Kamiri, H.W.; Langensiepen, M.; Menz, G.; Misana, S.; Mogha, N.G.; et al. Classification, characterisation, and use of small wetlands in East Africa. Wetlands 2011, 31, 1103–1116. [Google Scholar] [CrossRef]
- Futoshi, K. Development of a major rice cultivation area in the Kilombero valley, TANZANIA. Afr. Study Monogr. Suppl. 2007, 36, 3–18. [Google Scholar]
- Nindi, S.J.; Maliti, H.; Kija, H.; Machoke, M. Conflicts over land and water resources in the kilombero valley floodplain, Tanzania. African Study Monogr. Suppl. 2014, 50, 173–190. [Google Scholar]
- Paul, H.; Steinbrecher, R. New Alliance for Food Security and Nutrition. Who Benefits, Who Loses? Technical Report; Econexus: Oxford, UK, 2013; Available online: http://www.econexus.info/sites/econexus/files/African_Agricultural_Growth_Corridors_&_New_Alliance_-_EcoNexus_June_2013.pdf (accessed on 10 November 2017).
- Rosenbaum, U.; Bogena, H.R.; Herbst, M.; Huisman, J.A.; Peterson, T.J.; Weuthen, A.; Western, A.W.; Vereecken, H. Seasonal and event dynamics of spatial soil moisture patterns at the small catchment scale. Water Resour. Res. 2012, 48, 1–22. [Google Scholar] [CrossRef]
- Mohanty, B.P.; Cosh, M.H.; Lakshmi, V.; Montzka, C. Soil Moisture Remote Sensing: State-of-the-Science. Vadose Zone J. 2017, 16. [Google Scholar] [CrossRef]
- RoTimi Ojo, E.; Bullock, P.R.; Fitzmaurice, J. Field Performance of Five Soil Moisture Instruments in Heavy Clay Soils. Soil Sci. Soc. Am. J. 2015, 79, 20–29. [Google Scholar] [CrossRef]
- Singh, R.; Singh, J. Irrigation planning in cotton through simulation modeling. Irrig. Sci. 1996, 17, 31–36. [Google Scholar] [CrossRef]
- Šimůnek, J.; Šejna, M.; Saito, H.; Sakai, M.; van Genuchten, M.T. The HYDRUS-1D Software Package for Simulating the One-Dimensional Movement of Water, Heat, and Multiple Solutes in Variably-Saturated Media; Manual Version 4.17; Univeristy of California: Riverside, CA, USA, 2013; Available online: https://www.pc-progress.com/en/Default.aspx?hydrus-1d (accessed on 20 May 2016).
- Varut, G.; Wei, X.; Huang, D.; Shinde, D.; Price, R. Application of MODHMS to Simulate Integrated Water Flow and Phosphorous Transport in a Highly Interactive Surface Water Groundwater System along the Eastern Boundary of the Everglades National Park, Florida. In Proceedings of the MODFLOW and More 2011: Integrated Hydrologic Modeling the Colorado School of Mines, Golden, CO, USA, 5–8 June 2011. [Google Scholar]
- Graham, D.N.; Butts, M.B. Flexible, integrated watershed modelling with MIKE SHE. In Watershed Models; Singh, V.P., Frevert, D.K., Eds.; CRC Press: Boca Raton, FL, USA, 2005; pp. 245–272. ISBN 0849336090. [Google Scholar]
- Šimůnek, J.; van Genuchten, M.T.; Šejna, M. Hydrus: Model use, calibration, and validation. Trans. ASABE 2012, 55, 1261–1274. [Google Scholar]
- Kandelous, M.M.; Kamai, T.; Vrugt, J.A.; Šimunek, J.; Hansona, B.; Hopmans, J.W. Evaluation of subsurface drip irrigation design and management parameters for alfalfa. Agric. Water Manag. 2012, 109, 81–93. [Google Scholar] [CrossRef]
- Siyal, A.A.; Bristow, K.L.; Šimůnek, J. Minimizing nitrogen leaching from furrow irrigation through novel fertilizer placement and soil surface management strategies. Agric. Water Manag. 2012, 115, 242–251. [Google Scholar] [CrossRef]
- Chen, M.; Willgoose, G.R.; Saco, P.M. Spatial prediction of temporal soil moisture dynamics using HYDRUS-1D. Hydrol. Process 2014, 28, 171–185. [Google Scholar] [CrossRef]
- Jing, L.; Zhang, Z.; Ni, L. Evaluation of water movement and water losses in a direct-seeded-rice field experiment using Hydrus-1D. Agric. Water Manag. 2014, 142, 38–46. [Google Scholar] [CrossRef]
- Li, H.; Yi, J.; Zhang, J.; Zhao, Y.; Si, B.; Hill, R.L.; Cui, L.; Liu, X. Modeling of soil water and salt dynamics and its effects on root water uptake in Heihe arid wetland, gansu, China. Water 2015, 7, 2382–2401. [Google Scholar] [CrossRef]
- Xu, X.; Zhang, Q.; Li, Y.; Li, X. Evaluating the influence of water table depth on transpiration of two vegetation communities in a lake floodplain wetland. Hydrol. Res. 2016, 47, 293–312. [Google Scholar] [CrossRef]
- Böhme, B.; Becker, M.; Diekkrüger, B. Calibrating FDR sensor for soil moisture monitoring in a wetland in Central Kenya. Phys. Chem. Earth 2013, 66, 101–111. [Google Scholar] [CrossRef]
- Gabiri, G.; Diekkrüger, B.; Leemhuis, C.; Burghof, S.; Näschen, K.; Asiimwe, I.; Bamutaze, Y. Determining hydrological regimes in an agriculturally used tropical inland valley wetland in Central Uganda using soil moisture, groundwater, and digital elevation data. Hydrol. Process. 2018, 32, 349–362. [Google Scholar] [CrossRef]
- Snyder, G.H. Everglades agricultural area soil subsidence and land use projections. Soil Crop Sci. Soc. Fla. Proc. 2005, 64, 44–51. [Google Scholar]
- Sławiński, C.; Cymerman, J.; Witkowska-Walczak, B.; Lamorski, K. Impact of diverse tillage on soil moisture dynamics. Int. Agrophys. 2012, 26, 301–309. [Google Scholar] [CrossRef]
- Mombo, F.; Speelman, S.; Van Huylenbroeck, G.; Hella, J.; Moe, S. Ratification of the Ramsar convention and sustainable wetlands management: Situation analysis of the Kilombero Valley wetlands in Tanzania. J. Agric. Ext. Rural Dev. 2011, 3, 153–164. [Google Scholar]
- Mwalyosi, R.B.B. Resource Potentials of Tanzania Basin, the Rufiji River. Ambio 2000, 19, 16–20. [Google Scholar]
- Leemhuis, C.; Thonfeld, F.; Näschen, K.; Steinbach, S.; Muro, J.; Strauch, A.; Ander, L.; Daconto, G.; Games, I. Sustainability in the Food-Water-Ecosystem Nexus: The Role of Land Use and Land Cover Change for Water Resources and Ecosystems in the Kilombero Wetland, Tanzania. Sustainability 2017, 9, 1513. [Google Scholar] [CrossRef]
- Koutsouris, A.J.; Chen, D.; Lyon, S.W. Comparing global precipitation data sets in eastern Africa: A case study of Kilombero Valley, Tanzania. Int. J. Climatol. 2016, 36, 2000–2014. [Google Scholar] [CrossRef]
- Beck, A.D. The Kilombero valley of south-central Tanganyika. East Afr. Geogr. Rev. 1964, 1964, 37–43. [Google Scholar]
- Bonarius, H. Physical Properties of Soils in the Kilombero Valley (Tanzania); German Agency for Technical Cooperation, Ltd. (GTZ): Stuttgarter, Germany, 1975; Available online: https://library.wur.nl/isric/fulltext/isricu_i2757_001.pdf (accessed on 30 June 2016).
- Department of the Interior, U.S.G.S. Product Guide—Landsat 4–7 Surface Reflectance (LEDAPS) Product Version 8.0. Available online: https://landsat.usgs.gov/sites/default/files/documents/ledaps_product_guide.pdf (accessed on 6 August 2017).
- Department of the Interior, U.S.G.S. Product Guide Landsat 8 Surface Reflectance Code (LASRC) Product Version 4.1. Available online: https://landsat.usgs.gov/sites/default/files/documents/lasrc_product guide.pdf (accessed on 6 August 2017).
- Burghof, S.; Gabiri, G.; Stumpp, C.; Chesnaux, R.; Reichert, B. Development of a hydrogeological conceptual wetland model in the data-scarce north-eastern region of Kilombero. Hydrogeol. J. 2017. [Google Scholar] [CrossRef]
- Daniel, S.; Gabiri, G.; Kirimi, F.; Glasner, B.; Näschen, K.; Leemhuis, C.; Steinbach, S.; Mtei, K. Spatial distribution of soil hydrological properties in the Kilombero floodplain, Tanzania. Hydrology 2017, 4, 57. [Google Scholar] [CrossRef]
- Stevens Water Monitoring Systems, Inc. The Hydra Probe® Soil Sensor Users Manual; Stevens Water Monitoring Systems, Inc.: Portland, OR, USA, 2007; pp. 1–63. [Google Scholar]
- Delta-T Devices Ltd. User Manual for the Profile Probe Type PR2; Delta-T Devices Ltd.: Burwell, Cambridge, UK, 2006; Volume 104, Available online: https://www.delta-t.co.uk/product/pr2/ (accessed on 15 March 2014).
- Decagon Devices Inc. 5TE Manuals; Decagon Devices Inc.: Pullman, WA, USA, 2016; Available online: http://manuals.decagon.com/Manuals/13509_5TE_Web.pdf (accessed on 15 April 2016).
- Evett, S.R.; Tolk, J.A.; Howell, T.A. Soil profile water content determination: Sensor accuracy, axial response, calibration, temperature dependence, and precision. Vadose Zone J. 2006, 5, 894–907. [Google Scholar] [CrossRef]
- Evett, S.R.; Schwartz, R.C.; Tolk, J.A.; Howell, T.A. Soil profile water content determination: Spatiotemporal variability of electromagnetic and neutron probe sensors in access tubes. Vadose Zone J. 2009, 8, 926–941. [Google Scholar] [CrossRef]
- Delta-T Devices Ltd. User Manual for the Moisture Meter Type HH2; Delta-T Devices Ltd.: Cambridge, UK, 2013; Volume 124. [Google Scholar] [CrossRef]
- Sensor Transmitter Systems GmBH Datalogger DL/N 70; Software and Accessories. STS Sensors Transmitter Systems GmbH: Sindelfingen, Germany, 2012. Available online: https://www.stssensoren.de/datenlogger/ (accessed on 20 April 2014).
- Horiba Scientific. A Guidebook to Particle Size Analysis; Horiba Instruments, INC.: Irvine, CA, USA, 2010; Available online: www.horiba.com/us/particle (accessed on 15 July 2015).
- Okalebo, J.R.; Gathua, K.W.; Woomer, P.L. Laboratory Methods of Soil and Plant Analysis: A Working Manual, 2nd ed.; Sacred African Publishers: Nairobi, Kenya, 2002; Available online: http://www.kalro.org:8080/repository/bitstream/0/8547/1/lab methods of soil and plant analysis.pdf (accessed on 17 August 2016).
- Eijkelkamp Laboratory. Permeameters: User Manual, Soil and Water. 2013, pp. 1–14. Available online: https://en.eijkelkamp.com/products/laboratory-equipment/soil-water-permeameters.html (accessed on 10 March 2014).
- Radcliffe, D.; Šimůnek, J. Soil Physics with HYDRUS: Modeling and Applications; CRC Press, Taylor & Francis Group: Boca Raton, FL, USA, 2010. [Google Scholar]
- Van Genuchten, M.T. A closed-form Equation for predicting Hydraulic Conductivity of Unsaturated soils. Soil Sci. Soc. Am. J. 1980, 44, 892–898. [Google Scholar] [CrossRef]
- Soylu, M.E.; Istanbulluoglu, E.; Lenters, J.D.; Wang, T. Quantifying the impact of groundwater depth on evapotranspiration in a semi-arid grassland region. Hydrol. Earth Syst. Sci. 2011, 15, 787–806. [Google Scholar] [CrossRef]
- Allen, R.G.; Pereira, L.S.; Raes, D.; Smith, M.; Ab, W. Crop Evapotranspiration—Guidelines for Computing Crop Water Requirements—FAO Irrigation and Drainage Paper 56; FAO: Rome, Italy, 1998; pp. 1–15. [Google Scholar]
- Senay, G.B.; Leake, S.; Nagler, P.L.; Artan, G.; Dickinson, J.; Cordova, T.; Glenn, E.P. Estimating basin scale evapotranspiration (ET) by water balance and remoting sensing methods. Hydrol. Process. 2011, 25, 4037–4049. [Google Scholar] [CrossRef]
- Flint, A.L.; Childs, S.W. Use of the Priestley-Taylor evaporation equation for soil water limited conditions in a small forest clearcut. Agric. For. Meteorol. 1991, 56, 247–260. [Google Scholar] [CrossRef]
- Peacock, C.E.; Hess, T.M. Estimating evapotranspiration from a reed bed using the Bowen ratio energy balance method. Hydrol. Process. 2004, 18, 247–260. [Google Scholar] [CrossRef]
- Jensen, D.T.; Hargreaves, G.H.; Temesgen, B.; Allen, R.G. Computation of ETo under Nonideal Conditions. J. Irrig. Drain. Eng. 1997, 123, 394–400. [Google Scholar] [CrossRef]
- Danner, M.; Locherer, M.; Hank, T.; Richter, K. Measuring Leaf Area Index (LAI) with the LI-Cor LAI 2200C or LAI-2200 (+2200Clear Kit)—Theory, Measurement, Problems, Interpretation; EnMAP Field Guide Technical Report; GFZ Data Services: Postam, Germany, 2015. [Google Scholar] [CrossRef]
- Schaap, M.G.; Leij, F.J.; Genuchten, M.T. Van rosetta: A computer program for estimating soil hydraulic parameters with hierarchical pedotransfer functions. J. Hydrol. 2001, 251, 163–176. [Google Scholar] [CrossRef]
- Singh, R.; Van Dam, J.C.; Feddes, R.A. Water productivity analysis of irrigated crops in Sirsa district, India. Agric. Water Manag. 2006, 82, 253–278. [Google Scholar] [CrossRef]
- Slaton, N.A.; Beyrouty, C.A.; Wells, B.R.I.; Norman, R.J.; Gbur, E.E. Root growth and distribution of two short-season rice genotypes. Plant Soil 1990, 121, 269–278. [Google Scholar] [CrossRef]
- Gupta, H.V.; Kling, H.; Yilmaz, K.K.; Martinez, G.F. Decomposition of the mean squared error and NSE performance criteria: Implications for improving hydrological modelling. J. Hydrol. 2009, 377, 80–91. [Google Scholar] [CrossRef]
- Gupta, H.V.; Sorooshian, S.; Yapo, P.O. Status of automatic calibration for hydrologic models: Comparison with multilevel expert calibration. J. Hydrol. Eng. 1999, 4, 135–143. [Google Scholar] [CrossRef]
- Moriasi, D.N.; Arnold, J.G.; Van Liew, M.W.; Binger, R.L.; Harmel, R.D.; Veith, T.L. Model evaluation guidelines for systematic quantification of accuracy in watershed simulations. Trans. ASABE 2007, 50, 885–900. [Google Scholar] [CrossRef]
- Nash, J.E.; Sutcliffe, J.V. River flow forecasting through conceptual models part I—A discussion of principles. J. Hydrol. 1970, 10, 282–290. [Google Scholar] [CrossRef]
- Bidlake, W.R. Evapotranspiration from a bulrush dominated wetland in the Klamath Basin, Oregon. J. Am. Water Resour. Assoc. 2000, 36, 1309–1320. [Google Scholar] [CrossRef]
- Giertz, S.; Diekkrüger, B.; Steup, G. Physically-based modelling of hydrological processes in a tropical headwater catchment (West Africa)—Process representation and multi-criteria validation. Hydrol. Earth Syst. Sci. 2006, 10, 829–847. [Google Scholar] [CrossRef]
- Pianosi, F.; Beven, K.; Freer, J.; Hall, J.W.; Rougier, J.; Stephenson, D.B.; Wagener, T. Sensitivity analysis of environmental models: A systematic review with practical workflow. Environ. Model. Softw. 2016, 79, 214–232. [Google Scholar] [CrossRef]
- Hastenrath, S.; Nicklis, A.; Greischar, L. Atmospheric-hydrospheric mechanisms of climate anomalies in the western equatorial Indian Ocean. J. Geophys. Res. 1993, 98, 20219–20235. [Google Scholar] [CrossRef]
- Goddard, L.; Graham, N.E. Importance of the Indian Ocean for simulating rainfall anomalies over eastern and southern Africa. J. Geophys. Res. 1999, 104, 19099–19116. [Google Scholar] [CrossRef]
- Black, E.; Slingo, J.M.; Sperber, K.R. An observational study of the relationship between excessively strong short rains in coastal East Africa and Indian Ocean SST. Mon. Weather Rev. 2003, 74–94. [Google Scholar] [CrossRef]
- Guber, A.; Tuller, M.; San, F.; Martinez, J.; Iassonov, P.; Martin, M.A. The through Porosity of Soils as the Control of Hydraulic Conductivity. In Proceedings of the 19th World Congress of Soil Science, Soil Solutions for a Changing World, Brisbane, Australia, 1–6 August 2010; pp. 80–83. [Google Scholar]
- Bodner, G.; Scholl, P.; Loiskandl, W.; Kaul, H. Geoderma Environmental and management influences on temporal variability of near saturated soil hydraulic properties. Geoderma 2013, 204–205, 120–129. [Google Scholar] [CrossRef] [PubMed]
- Ritter, A.; Hupet, F.; Muñoz-Carpena, R.; Lambot, S.; Vanclooster, M. Using inverse methods for estimating soil hydraulic properties from field data as an alternative to direct methods. Agric. Water Manag. 2003, 59, 77–96. [Google Scholar] [CrossRef]
- Gribb, M.M.; Forkutsa, I.; Hansen, A.; David, G.; Chandler, J.P.M. The Effect of Various Soil Hydraulic Property Estimates on Soil Moisture Simulations. Vadose Zone J. 2009, 8, 321–331. [Google Scholar] [CrossRef]
- Li, Y.; Šimunek, J.; Wang, S.; Yuan, J.; Zhang, W. Modeling of soil water regime and water balance in a Transplanted Rice Field Experiment with Reduced Irrigation. Water 2017, 9, 248. [Google Scholar] [CrossRef]
- Schwärzel, K.; Šimunek, J.; van Genuchten, M.Th.; Wessolek, G. Measurement and modeling of soil-water dynamics and evapotranspiration of drained peatland soils. J. Plant Nutr. Soil Sci. 2006, 169, 762–774. [Google Scholar] [CrossRef]
- Joris, I.; Feyen, J. Modelling water flow and seasonal soil moisture dynamics in analluvial groundwater-fed wetland. Hydrol. Earth Syst. Sci. 2003, 7, 57–66. [Google Scholar] [CrossRef]
- Alden, A. Assessment of River floodplain Aquifer interaction. Environ. Eng. Geosci. 1997, 3, 537–548. [Google Scholar] [CrossRef]
- Sophocleous, M. Interactions between groundwater and surface water: The state of the science. Hydrogeol. J. 2002, 10, 52–67. [Google Scholar] [CrossRef]
- Doble, R.C.; Crosbie, R.S.; Smerdon, B.D.; Peeters, L.; Cook, F.J. Groundwater recharge from overbank floods. Water Resour. Res. 2012, 48, 1–14. [Google Scholar] [CrossRef]
- Karim, F.; Kinsey-Henderson, A.; Wallace, J.; Godfrey, P.; Arthington, A.H.; Pearson, R.G. Modelling hydrological connectivity of tropical floodplain wetlands via a combined natural and artificial stream network. Hydrol. Process. 2013. [Google Scholar] [CrossRef]
- Markewitz, D.; Devine, S.; Davidson, E.A.; Brando, P.; Nepstad, D.C. Soil moisture depletion under simulated drought in the Amazon: Impacts on deep root uptake. New Phytol. 2010, 187, 592–607. [Google Scholar] [CrossRef] [PubMed]
- Amundson, R. The carbon budget in soils. Annu. Rev. Earth Planet. Sci. 2001, 29, 535–562. [Google Scholar] [CrossRef]
- Rawls, W.J.; Pachepsky, Y.A.; Ritchie, J.C. Effect of soil organic carbon on soil water retention. Geoderma 2003, 116, 61–76. [Google Scholar] [CrossRef]
- Verstraeten, W.W.; Veroustraete, F.; Feyen, J. Assessment of Evapotranspiration and Soil Moisture Content Across Different Scales of Observation. Sensors 2008, 8, 70–117. [Google Scholar] [CrossRef] [PubMed]
- Lu, N.; Chen, S.; Wilske, B.; Sun, G.; Chen, J. Evapotranspiration and soil water relationships in a range of disturbed and undisturbed ecosystems in thethe semi-arid Inner Mongolia, China. J. Plant Ecol. 2017, 4, 49–60. [Google Scholar] [CrossRef]
- Pirastru, M.; Niedda, M. Evaluation of the soil water balance in an alluvial flood plain with a shallow groundwater table. Hydrol. Sci. J. 2013, 58, 898–911. [Google Scholar] [CrossRef]









| Hydrological Zone | Soil Depth | BD | Ksat | SOC | Clay | Silt | Sand | Texture Class |
|---|---|---|---|---|---|---|---|---|
| cm | (g/cm3) | (cm/d) | % | |||||
| Riparian | 10 | 1.03 | 114.50 | 1.88 | 35.02 | 56.18 | 8.80 | Silty clay loam |
| 20 | 1.21 | 38.00 | 1.43 | 36.44 | 48.06 | 15.50 | Silty clay loam | |
| 30 | 1.27 | 17.13 | 0.83 | 34.27 | 37.87 | 27.86 | Clay loam | |
| 40 | 1.28 | 19.38 | 0.59 | 29.50 | 35.84 | 34.66 | Clay loam | |
| Middle | 10 | 1.43 | 116.94 | 1.36 | 18.84 | 58.27 | 22.89 | Silt loam |
| 20 | 1.33 | 120.57 | 1.56 | 21.58 | 61.92 | 16.50 | Silt loam | |
| 30 | 1.39 | 33.91 | 1.11 | 20.9 | 56.21 | 22.89 | Silt loam | |
| 40 | 1.38 | 27.62 | 0.91 | 29.4 | 56.17 | 14.43 | Silty clay loam | |
| Fringe | 10 | 1.27 | 174.05 | 1.42 | 13.89 | 57.25 | 28.86 | Silt loam |
| 20 | 1.36 | 180.93 | 1.39 | 14.20 | 59.07 | 26.73 | Silt loam | |
| 30 | 1.36 | 305.00 | 1.13 | 15.39 | 60.30 | 24.32 | Silt loam | |
| 40 | 1.39 | 101.01 | 0.99 | 15.86 | 58.37 | 25.77 | Silt loam | |
| Statistic Measure | Soil Depth (cm) | |||
|---|---|---|---|---|
| 10 | 20 | 30 | 40 | |
| Plot PR_4 | ||||
| R2 | 0.78 | 0.88 | 0.73 | 0.83 |
| NSE | 0.77 | 0.87 | 0.73 | 0.83 |
| RMSE (cm3/cm3) | 0.06 | 0.03 | 0.05 | 0.03 |
| Plot PR_1 | ||||
| R2 | 0.90 | 0.81 | 0.82 | 0.70 |
| NSE | 0.89 | 0.80 | 0.82 | 0.70 |
| RMSE (cm3/cm3) | 0.04 | 0.06 | 0.05 | 0.06 |
| Plot PR_8 | ||||
| R2 | 0.40 | 0.88 | 0.80 | 0.67 |
| NSE | 0.37 | 0.88 | 0.79 | 0.63 |
| RMSE (cm3/cm3) | 0.14 | 0.05 | 0.05 | 0.04 |
| Plot PR_3 | ||||
| R2 | 0.85 | 0.89 | 0.92 | 0.76 |
| NSE | 0.79 | 0.81 | 0.91 | 0.74 |
| RMSE (cm3/cm3) | 0.05 | 0.04 | 0.02 | 0.03 |
| Soil Depth (cm) | Plot | θr (cm3/cm3) | θs (cm3/cm3) | α (cm−1) | n | Ksat (cm/d) | l |
|---|---|---|---|---|---|---|---|
| 10 | PR_4 | 0.08 | 0.43 | 0.05 | 2.00 | 78.87 | 0.50 |
| PR_1 | 0.06 | 0.38 | 0.03 | 2.500 | 738.5 | 0.68 | |
| PR_8 | 0.08 | 0.43 | 0.03 | 2.98 | 300 | 0.50 | |
| PR_3 | 0.04 | 0.39 | 0.13 | 1.83 | 609.15 | 0.45 | |
| 20 | PR_4 | 0.11 | 0.43 | 0.04 | 1.95 | 7.95 | 0.22 |
| PR_1 | 0.05 | 0.45 | 0.02 | 2.66 | 171.8 | 0.13 | |
| PR_8 | 0.08 | 0.47 | 0.03 | 2.86 | 214 | 0.5 | |
| PR_3 | 0.09 | 0.45 | 0.05 | 2.18 | 3.50 | 0.07 | |
| 30 | PR_4 | 0.1 | 0.47 | 0.04 | 1.66 | 209.8 | 0.12 |
| PR_1 | 0.1 | 0.49 | 0.02 | 2.40 | 323.6 | 0.7 | |
| PR_8 | 0.08 | 0.51 | 0.02 | 2.11 | 6.53 | 0.5 | |
| PR_3 | 0.12 | 0.47 | 0.05 | 1.78 | 12.08 | 0.01 | |
| 40 | PR_4 | 0.1 | 0.47 | 0.06 | 1.42 | 7.27 | 0.5 |
| PR_1 | 0.09 | 0.54 | 0.03 | 1.57 | 6.24 | 1.2 | |
| PR_8 | 0.08 | 0.52 | 0.07 | 1.28 | 7.84 | 0.5 | |
| PR_3 | 0.12 | 0.49 | 0.13 | 1.36 | 6.2 | 0.23 |
| Statistic Measure | Soil Depth (cm) | |||
|---|---|---|---|---|
| 10 | 20 | 30 | 40 | |
| Plot PM_3 | ||||
| R2 | 0.76 | 0.82 | 0.82 | 0.88 |
| NSE | <<0 | 0.71 | 0.82 | 0.88 |
| RMSE (cm3/cm3) | 0.07 | 0.04 | 0.03 | 0.02 |
| Plot PM_5 | ||||
| R2 | 0.65 | 0.88 | 0.87 | 0.89 |
| NSE | 0.63 | 0.87 | 0.72 | 0.87 |
| RMSE (cm3/cm3) | 0.09 | 0.04 | 0.05 | 0.03 |
| Plot PM_7 | ||||
| R2 | 0.59 | 0.84 | 0.74 | 0.88 |
| NSE | 0.51 | 0.85 | 0.77 | 0.71 |
| RMSE (cm3/cm3) | 0.10 | 0.04 | 0.05 | 0.06 |
| Soil Depth (cm) | Plot | θr (cm3/cm3) | θs (cm3/cm3) | α (cm−1) | n | Ksat (cm/d) | l |
|---|---|---|---|---|---|---|---|
| 10 | PM_3 | 0.04 | 0.37 | 0.08 | 1.85 | 85.4 | 0.49 |
| PM_5 | 0.04 | 0.37 | 0.03 | 1.7 | 128 | 0.49 | |
| PM_7 | 0.04 | 0.37 | 0.03 | 1.53 | 65.72 | 0.48 | |
| 20 | PM_3 | 0.06 | 0.41 | 0.07 | 1.91 | 21.45 | 0.41 |
| PM_5 | 0.06 | 0.45 | 0.06 | 1.46 | 100 | 0.41 | |
| PM_7 | 0.06 | 0.43 | 0.04 | 1.38 | 150 | 0.42 | |
| 30 | PM_3 | 0.04 | 0.46 | 0.02 | 1.8 | 0.93 | 0.0002 |
| PM_5 | 0.04 | 0.46 | 0.04 | 1.35 | 0.55 | 0.0002 | |
| PM_7 | 0.04 | 0.46 | 0.01 | 1.36 | 2.49 | 0.002 | |
| 40 | PM_3 | 0.03 | 0.48 | 0.04 | 1.72 | 3.04 | 3.36 |
| PM_5 | 0.03 | 0.50 | 0.03 | 1.54 | 2.34 | 3.36 | |
| PM_7 | 0.03 | 0.48 | 0.14 | 1.35 | 5.08 | 3.32 |
| Statistic Measure | Soil Depth (cm) | |||
|---|---|---|---|---|
| 10 | 20 | 30 | 40 | |
| Plot PF_8 | ||||
| R2 | 0.68 | 0.73 | 0.54 | 0.47 |
| NSE | <<0 | 0.35 | 0.11 | 0.34 |
| RMSE (cm3/cm3) | 0.08 | 0.06 | 0.10 | 0.11 |
| Plot PF_10 | ||||
| R2 | 0.87 | 0.85 | 0.85 | 0.74 |
| NSE | 0.85 | 0.82 | 0.85 | 0.73 |
| RMSE (cm3/cm3) | 0.05 | 0.03 | 0.03 | 0.02 |
| Plot PF_4 | ||||
| R2 | 0.84 | 0.82 | 0.85 | 0.80 |
| NSE | 0.83 | 0.09 | 0.44 | <<0 |
| RMSE (cm3/cm3) | 0.04 | 0.08 | 0.06 | 0.08 |
| Plot PF_12 | ||||
| R2 | 0.82 | 0.73 | 0.67 | 0.58 |
| NSE | 0.33 | 0.47 | 0.67 | 0.58 |
| RMSE (cm3/cm3) | 0.04 | 0.03 | 0.04 | 0.03 |
| Soil Depth (cm) | Plot | θr (cm3/cm3) | θs (cm3/cm3) | α (cm−1) | n | Ksat (cm/d) | l |
|---|---|---|---|---|---|---|---|
| 10 | PF_12 | 0.09 | 0.28 | 0.002 | 1.56 | 28.4 | 0.26 |
| PF_10 | 0.08 | 0.38 | 0.05 | 2.5 | 64.2 | 0.5 | |
| PF_4 | 0.08 | 0.35 | 0.04 | 2.5 | 24.62 | 0.5 | |
| PF_8 | 0.08 | 0.35 | 0.002 | 1.35 | 24.62 | 0.5 | |
| 20 | PF_12 | 0.03 | 0.36 | 0.002 | 1.16 | 1.76 | 0.5 |
| PF_10 | 0.03 | 0.4 | 0.02 | 1.7 | 48.6 | 0.5 | |
| PF_4 | 0.03 | 0.4 | 0.02 | 2.2 | 1.1 | 0.5 | |
| PF_8 | 0.03 | 0.37 | 0.006 | 1.27 | 1.1 | 0.5 | |
| 30 | PF_12 | 0.04 | 0.41 | 0.1 | 1.19 | 1.3 | 0.05 |
| PF_10 | 0.05 | 0.41 | 0.03 | 2.36 | 65.2 | 0.5 | |
| PF_4 | 0.05 | 0.41 | 0.03 | 2.1 | 1.3 | 0.5 | |
| PF_8 | 0.05 | 0.41 | 0.08 | 1.32 | 1.92 | 0.5 | |
| 40 | PF_12 | 0.15 | 0.4 | 0.08 | 1.53 | 10.8 | 0.07 |
| PF_10 | 0.09 | 0.45 | 0.05 | 1.36 | 12.54 | 0.5 | |
| PF_4 | 0.09 | 0.46 | 0.05 | 1.34 | 18.46 | 0.5 | |
| PF_8 | 0.09 | 0.4 | 0.1 | 1.64 | 6.13 | 0.5 |
| Hydrological Zone | Soil Depth | θr (cm3/cm3) | θs (cm3/cm3) | α (cm−1) | n | Ksat (cm/d) | l |
|---|---|---|---|---|---|---|---|
| Riparian zone | 10 | 0.07 | 0.41 | 0.06 | 2.33 | 431.63 | 0.53 |
| 20 | 0.08 | 0.45 | 0.04 | 2.41 | 99.31 | 0.23 | |
| 30 | 0.10 | 0.49 | 0.03 | 1.99 | 138.00 | 0.33 | |
| 40 | 0.10 | 0.51 | 0.07 | 1.41 | 6.88 | 0.61 | |
| Middle zone | 10 | 0.04 | 0.37 | 0.05 | 1.69 | 93.04 | 0.49 |
| 20 | 0.06 | 0.43 | 0.06 | 1.58 | 90.48 | 0.41 | |
| 30 | 0.04 | 0.46 | 0.02 | 1.50 | 1.32 | 0.0009 | |
| 40 | 0.03 | 0.49 | 0.07 | 1.54 | 3.49 | 3.35 | |
| Fringe zone | 10 | 0.08 | 0.34 | 0.02 | 1.98 | 35.46 | 0.44 |
| 20 | 0.03 | 0.38 | 0.01 | 1.58 | 13.14 | 0.5 | |
| 30 | 0.05 | 0.41 | 0.06 | 1.74 | 17.43 | 0.39 | |
| 40 | 0.11 | 0.43 | 0.07 | 1.47 | 11.98 | 0.39 |
| Soil Depth (cm) | Riparian Zone | Middle Zone | Fringe Zone | ||||||
|---|---|---|---|---|---|---|---|---|---|
| R2 | NSE | RMSE | R2 | NSE | RMSE | R2 | NSE | RMSE | |
| 10 | 0.78 | 0.74 | 0.06 | 0.62 | 0.54 | 0.06 | 0.75 | 0.37 | 0.07 |
| 20 | 0.90 | 0.87 | 0.04 | 0.89 | 0.86 | 0.03 | 0.75 | 0.42 | 0.05 |
| 30 | 0.90 | 0.87 | 0.03 | 0.90 | 0.86 | 0.03 | 0.82 | 0.37 | 0.05 |
| 40 | 0.82 | 0.79 | 0.03 | 0.90 | 0.86 | 0.03 | 0.80 | 0.75 | 0.03 |
| Hydrological Zone | Statistic Measure | Soil Depth (cm) | |||
|---|---|---|---|---|---|
| 10 | 20 | 30 | 40 | ||
| Riparian | Plot PR_4 vs. PR_1 | ||||
| R2 | 0.89 | 0.79 | 0.77 | 0.80 | |
| NSE | 0.80 | 0.69 | 0.74 | 0.49 | |
| RMSE (cm3/cm3) | 0.06 | 0.07 | 0.05 | 0.07 | |
| Plot PR_1 vs. PR_3 | |||||
| R2 | 0.79 | 0.75 | 0.64 | 0.65 | |
| NSE | 0.68 | 0.42 | 0.14 | 0.07 | |
| RMSE (cm3/cm3) | 0.07 | 0.07 | 0.09 | 0.06 | |
| Middle | Plot PM_5 vs. PM_7 | ||||
| R2 | 0.36 | 0.84 | 0.69 | 0.61 | |
| NSE | 0.31 | 0.84 | 0.59 | 0.40 | |
| RMSE (cm3/cm3) | 0.13 | 0.05 | 0.07 | 0.09 | |
| Plot PM_7 vs PM_3 | |||||
| R2 | 0.63 | 0.76 | 0.82 | 0.87 | |
| NSE | <<0 | 0.28 | 0.15 | 0.74 | |
| RMSE (cm3/cm3) | 0.11 | 0.07 | 0.13 | 0.03 | |
| Fringe | Plot PF_8 vs. PF_4 | ||||
| R2 | 0.84 | 0.83 | 0.91 | 0.85 | |
| NSE | 0.81 | 0.53 | 0.46 | 0.84 | |
| RMSE (cm3/cm3) | 0.04 | 0.06 | 0.06 | 0.03 | |
| Plot PF_10 vs. PF_12 | |||||
| R2 | 0.81 | 0.63 | 0.52 | 0.61 | |
| NSE | <<0 | <<0 | 0.28 | <<0 | |
| RMSE (cm3/cm3) | 0.10 | 0.06 | 0.05 | 0.07 | |
| Hydrological Zone | P | ETp | ETa | Go | Gi | ΔS |
|---|---|---|---|---|---|---|
| mm | ||||||
| Riparian zone | 1364.7 | 1561.0 | 969.4 | 108.9 | 296.2 | 262.8 |
| Middle | 1364.7 | 1561.0 | 896.1 | 196.4 | 116.2 | 232.9 |
| Fringe | 1364.7 | 1561.0 | 1043.9 | 219.8 | 222.2 | 120.1 |
| Water Flux Component | SI-15% dgwl | SI-30% dgwl | SI-45% dgwl | SI-60% dgwl |
|---|---|---|---|---|
| Riparian zone | ||||
| cum. evaporation | 0.063 | 0.125 | 0.169 | 0.202 |
| Change in soil water storage | 0.003 | 0.005 | 0.008 | 0.013 |
| Cum. root water uptake | 0.000 | 0.000 | 0.000 | 0.000 |
| Middle zone | ||||
| Cum. evaporation | 0.087 | 0.122 | 0.139 | 0.291 |
| Change in soil water storage | 0.156 | 0.297 | 0.392 | 0.489 |
| Cum. root water uptake | 0.015 | 0.021 | 0.021 | 0.026 |
| Fringe zone | ||||
| Cum. evaporation | 0.126 | 0.206 | 0.317 | 0.429 |
| Change in soil water storage | 0.140 | 0.349 | 0.446 | 0.480 |
| Cum. root water uptake | 0.000 | 0.000 | 0.000 | 0.000 |
© 2018 by the authors. Licensee MDPI, Basel, Switzerland. This article is an open access article distributed under the terms and conditions of the Creative Commons Attribution (CC BY) license (http://creativecommons.org/licenses/by/4.0/).
Share and Cite
Gabiri, G.; Burghof, S.; Diekkrüger, B.; Leemhuis, C.; Steinbach, S.; Näschen, K. Modeling Spatial Soil Water Dynamics in a Tropical Floodplain, East Africa. Water 2018, 10, 191. https://doi.org/10.3390/w10020191
Gabiri G, Burghof S, Diekkrüger B, Leemhuis C, Steinbach S, Näschen K. Modeling Spatial Soil Water Dynamics in a Tropical Floodplain, East Africa. Water. 2018; 10(2):191. https://doi.org/10.3390/w10020191
Chicago/Turabian StyleGabiri, Geofrey, Sonja Burghof, Bernd Diekkrüger, Constanze Leemhuis, Stefanie Steinbach, and Kristian Näschen. 2018. "Modeling Spatial Soil Water Dynamics in a Tropical Floodplain, East Africa" Water 10, no. 2: 191. https://doi.org/10.3390/w10020191
APA StyleGabiri, G., Burghof, S., Diekkrüger, B., Leemhuis, C., Steinbach, S., & Näschen, K. (2018). Modeling Spatial Soil Water Dynamics in a Tropical Floodplain, East Africa. Water, 10(2), 191. https://doi.org/10.3390/w10020191

