Magnetic Biomonitoring of PM in a Semi-Arid Urban Park of North-Central Mexico Using Tillandsia recurvata as a Particulate Matter Biocollector
Abstract
1. Introduction
2. Materials and Methods
2.1. Study Area
2.2. Sampling
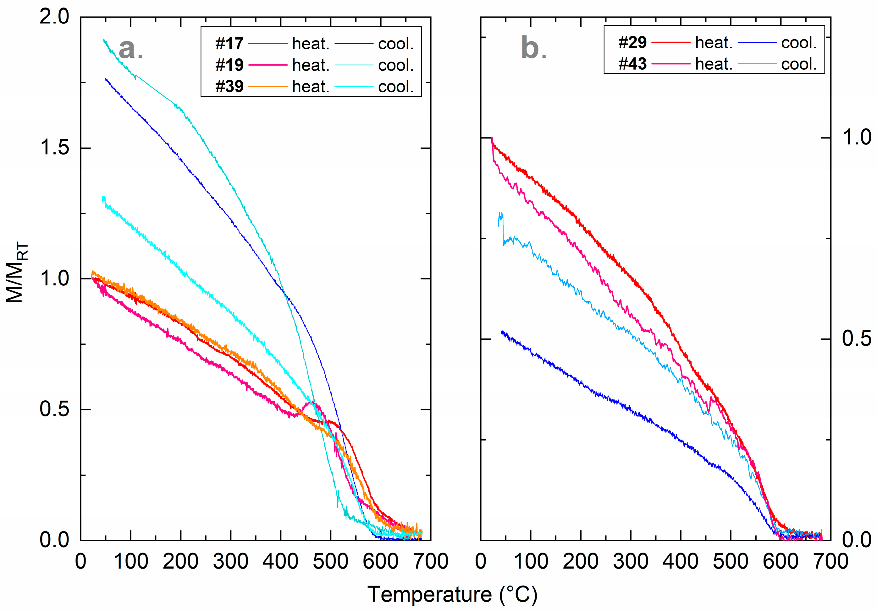
2.3. Magnetic Measurements
2.4. Microscopy and Elemental Studies
2.5. Statistical Analysis Methods
3. Results and Discussion
3.1. Magnetic Properties
3.2. SEM Observations and Elemental Content
3.3. Statistical Analysis of the Results
3.4. Magnetic Monitoring
4. Conclusions
Supplementary Materials
Author Contributions
Funding
Institutional Review Board Statement
Informed Consent Statement
Data Availability Statement
Acknowledgments
Conflicts of Interest
References
- Goudie, A.S. Desert dust and human health disorders. Environ. Int. 2014, 63, 101–113. [Google Scholar] [CrossRef]
- Manisalidis, I.; Stavropoulou, E.; Stavropoulos, A.; Bezirtzoglou, E. Environmental and health impacts of air pollution: A review. Front. Public Health 2020, 8, 14. [Google Scholar] [CrossRef]
- Adamiec, E.; Jarosz-Krzemińska, E.; Wieszała, R. Heavy metals from non-exhaust vehicle emissions in urban and motorway road dusts. Environ. Monit. Assess. 2016, 188, 369. [Google Scholar] [CrossRef] [PubMed]
- Zhang, D.; Li, H.; Luo, X.S.; Huang, W.; Pang, Y.; Yang, J.; Zhao, Z. Toxicity assessment and heavy metal components of inhalable particulate matters (PM2.5 & PM10) during a dust storm invading the city. Process Saf. Environ. Prot. 2022, 162, 859–866. [Google Scholar]
- Fang, G.C.; Zhuang, Y.J.; Cho, M.H.; Huang, C.Y.; Xiao, Y.F.; Tsai, K.H. Review of total suspended particles (TSP) and PM2. 5 concentration variations in Asia during the years of 1998–2015. Environ. Geochem. Health 2018, 40, 1127–1144. [Google Scholar] [CrossRef] [PubMed]
- Ali, M.U.; Liu, G.; Yousaf, B.; Ullah, H.; Abbas, Q.; Munir, M.A.M. A systematic review on global pollution status of particulate matter-associated potential toxic elements and health perspectives in urban environment. Environ. Geochem. Health 2019, 41, 1131–1162. [Google Scholar] [CrossRef]
- Cori, L.; Donzelli, G.; Gorini, F.; Bianchi, F.; Curzio, O. Risk perception of air pollution: A systematic review focused on particulate matter exposure. Int. J. Environ. Res. Public Health 2020, 17, 6424. [Google Scholar] [CrossRef]
- Yin, P.Y. A Review on PM2.5 Sources, Mass Prediction, and Association Analysis: Research Opportunities and Challenges. Sustainability 2025, 17, 1101. [Google Scholar] [CrossRef]
- Tran, P.T.; Adam, M.G.; Tham, K.W.; Schiavon, S.; Pantelic, J.; Linden, P.F.; Balasubramanian, R. Assessment and mitigation of personal exposure to particulate air pollution in cities: An exploratory study. Sustain. Cities Soc. 2021, 72, 103052. [Google Scholar] [CrossRef]
- Rodríguez-Trejo, A.; Böhnel, H.N.; Ibarra-Ortega, H.E.; Salcedo, D.; González-Guzmán, R.; Castañeda-Miranda, A.G.; Chaparro, M.A. Air Quality Monitoring with Low-Cost Sensors: A Record of the Increase of PM2. 5 during Christmas and New Year’s Eve Celebrations in the City of Queretaro, Mexico. Atmosphere 2024, 15, 879. [Google Scholar] [CrossRef]
- Chen, L.; Liu, C.; Zou, R.; Yang, M.; Zhang, Z. Experimental examination of the effectiveness of vegetation as a bio-filter of particulate matter in the urban environment. Environ. Pollut. 2016, 208, 198–208. [Google Scholar] [CrossRef] [PubMed]
- Liu, L.; Guan, D.; Peart, M.R.; Wang, G.; Zhang, H.; Li, Z. The dust retention capacities of urban vegetation—A case study of Guangzhou, South China. Environ. Sci. Pollut. Res. 2013, 20, 6601–6610. [Google Scholar] [CrossRef] [PubMed]
- Wang, X.; Zhou, Z.; Xiang, Y.; Peng, C.; Peng, C. Effects of street plants on atmospheric particulate dispersion in urban streets: A review. Environ. Rev. 2024, 32, 114–130. [Google Scholar] [CrossRef]
- Chaparro, M.A.E.; Chaparro, M.A.E.; Castañeda Miranda, A.G.; Böhnel, H.N.; Sinito, A.M. An interval fuzzy model for magnetic biomonitoring using the species Tillandsia recurvata L. Ecol. Indic. 2015, 54, 238–245. [Google Scholar] [CrossRef]
- Miranda, A.G.C.; Chaparro, M.A.; Chaparro, M.A.; Böhnel, H.N. Magnetic properties of Tillandsia recurvata L. and its use for biomonitoring a Mexican metropolitan area. Ecol. Indic. 2016, 60, 125–136. [Google Scholar] [CrossRef]
- Kumar, P. Epiphytes as a Sustainable Biomonitoring Tool for Environmental Pollutants. In Biomonitoring of Pollutants in the Global South; Springer Nature: Singapore, 2024; pp. 359–390. [Google Scholar]
- Sawidis, T.; Krystallidis, P.; Veros, D.; Chettri, M. A study of air pollution with heavy metals in Athens city and Attica basin using evergreen trees as biological indicators. Biol. Trace Elem. Res. 2012, 148, 396–408. [Google Scholar] [CrossRef]
- Hofman, J.; Maher, B.A.; Muxworthy, A.R.; Wuyts, K.; Castanheiro, A.; Samson, R. Biomagnetic monitoring of atmospheric pollution: A review of magnetic signatures from biological sensors. Environ. Sci. Technol. 2017, 51, 6648–6664. [Google Scholar] [CrossRef]
- Marié, D.C.; Chaparro, M.A.; Lavornia, J.M.; Sinito, A.M.; Miranda, A.G.C.; Gargiulo, J.D.; Böhnel, H.N. Atmospheric pollution assessed by in situ measurement of magnetic susceptibility on lichens. Ecol. Indic. 2018, 95, 831–840. [Google Scholar] [CrossRef]
- Mejía-Echeverry, D.; Chaparro, M.A.E.; Duque-Trujillo, J.F.; Chaparro, M.A.E.; Castañeda-Miranda, A.G. Magnetic biomonitoring of air pollution in a tropical valley using a Tillandsia sp. Atmosphere 2018, 9, 283. [Google Scholar] [CrossRef]
- Chaparro, M.A.E.; Chaparro, M.A.E.; Molinari, D.A. A fuzzy-based analysis of air particle pollution data: An index IMC for magnetic biomonitoring. Atmosphere 2024, 15, 435. [Google Scholar] [CrossRef]
- Secretaría de Infraestructura Comunicaciones y Transportes (SICT) Datos viales Dirección General de Servicios Técnicos Gobierno de México. Available online: https://www.sct.gob.mx/carreteras/direccion-general-de-servicios-tecnicos/datos-viales/ (accessed on 7 October 2025).
- INEGI. Anuario estadístico y geográfico de Zacatecas 2020. Instituto Nacional de Estadística y Geografía. 2020. Available online: https://www.inegi.org.mx/app/biblioteca/ficha.html?upc=702825193154 (accessed on 7 October 2025).
- CONAGUA. Programa Hídrico Regional Visión 2030: Región Hidrológica Administrativa VI-Río Bravo. Comisión Nacional del Agua. 2023. Available online: https://www.gob.mx/conagua (accessed on 7 October 2025).
- González, J.R.; González, L.R. Desarrollo Urbano y Movilidad Sostenible. Una Propuesta Educativa Para la Formación Integral en el Nivel Secundaria. 2021. Available online: http://ricaxcan.uaz.edu.mx/jspui/handle/20.500.11845/2880 (accessed on 7 October 2025).
- Buitrago Posada, D.; Chaparro, M.A.; Duque-Trujillo, J.F. Magnetic assessment of transplanted Tillandsia spp.: Biomonitors of air particulate matter for high rainfall environments. Atmosphere 2023, 14, 213. [Google Scholar] [CrossRef]
- Martínez-Reséndiz, G. Evaluación de Biomarcadores en Tillandsia usneoides L. como Indicadores de Respuesta a la Contaminación Atmosférica. Ph.D. Thesis, Universidad Autónoma del Estado de Hidalgo, Pachuca, Mexico, 2015. [Google Scholar]
- Castañeda-Miranda, A.G.; Chaparro, M.A.; Pacheco-Castro, A.; Chaparro, M.A.; Böhnel, H.N. Magnetic biomonitoring of atmospheric dust using tree leaves of Ficus benjamina in Querétaro (Mexico). Environ. Monit. Assess. 2020, 192, 382. [Google Scholar] [CrossRef]
- Oberdörster, G.; Sharp, Z.; Atudorei, V.; Elder, A.; Gelein, R.; Kreyling, W.; Cox, C. Translocation of inhaled ultrafine particles to the brain. Inhal. Toxicol. 2004, 16, 437–445. [Google Scholar] [CrossRef] [PubMed]
- Maher, B.A.; Ahmed, I.A.; Karloukovski, V.; MacLaren, D.A.; Foulds, P.G.; Allsop, D.; Calderon-Garciduenas, L. Magnetite pollution nanoparticles in the human brain. Proc. Natl. Acad. Sci. USA 2016, 113, 10797–10801. [Google Scholar] [CrossRef]
- Varrica, D.; Bardelli, F.; Dongarra, G.; Tamburo, E. Speciation of Sb in airborne particulate matter, vehicle brake linings, and brake pad wear residues. Atmos. Environ. 2013, 64, 18–24. [Google Scholar] [CrossRef]
- Castaneda-Miranda, A.G.; Böhnel, H.N.; Molina-Garza, R.S.; Chaparro, M.A. Magnetic evaluation of TSP-filters for air quality monitoring. Atmos. Environ. 2014, 96, 163–174. [Google Scholar] [CrossRef]
- Górka-Kostrubiec, B. The magnetic properties of indoor dust fractions as markers of air pollution inside buildings. Build. Environ. 2015, 90, 186–195. [Google Scholar] [CrossRef]
- Halvorsen, J.Ø. Exposure Assessment and Particle Characterization of Workplace Aerosols in Norwegian Metal Laser-Cutting Industry. Ph.D. Thesis, Norwegian University of Life Sciences, Ås, Norway, 2021. [Google Scholar]
- Li, M.Y.; Peng, Z.X.; Zhang, B.W.; Wang, S.K.; Wang, X.S. Morphology, mineralogical composition, and heavy metal enrichment characteristics of magnetic fractions in coal fly ash. Environ. Earth Sci. 2023, 82, 227. [Google Scholar] [CrossRef]
- Gupta, V. Vehicle-generated heavy metal pollution in an urban environment and its distribution into various environmental components. In Environmental Concerns and Sustainable Development; Springer: Singapore, 2019; Volume 1: Air, Water and Energy Resources, pp. 113–127. [Google Scholar]
- Marié, D.C.; Chaparro, M.A.; Gogorza, C.S.; Navas, A.; Sinito, A.M. Vehicle-derived emissions and pollution on the road Autovia 2 investigated by rock-magnetic parameters: A case study from Argentina. Stud. Geophys. Geod. 2010, 54, 135–152. [Google Scholar] [CrossRef]
- Mireles, F.; Davila, J.I.; Pinedo, J.L.; Reyes, E.; Speakman, R.J.; Glascock, M.D. Assessing urban soil pollution in the cities of Zacatecas and Guadalupe, Mexico by instrumental neutron activation analysis. Microchem. J. 2012, 103, 158–164. [Google Scholar] [CrossRef]
- Pope, C.A.; Dockery, D.W. Health effects of fine particulate air pollution: Lines that connect. J. Air Waste Manag. Assoc. 2006, 56, 709–742. [Google Scholar] [CrossRef]
- World Health Organization (WHO). WHO Global Air Quality Guidelines: Particulate Matter (PM2.5 and PM10), Ozone, Nitrogen Dioxide, Sulfur Dioxide and Carbon Monoxide. 2021. Available online: https://www.who.int/publications/i/item/9789240034228 (accessed on 7 October 2025).
- Maher, B.A. Airborne magnetite- and iron-rich pollution nanoparticles: Potential neurotoxicants and environmental risk factors for neurodegenerative disease, including Alzheimer’s disease. J. Alzheimer’s Dis. 2019, 71, 361–375. [Google Scholar] [CrossRef]
- del Carmen Moreno-García, M.; Baena, I. The microclimatic effect of green infrastructure (GI) in a Mediterranean city: The case of the urban park of Ciutadella (Barcelona, Spain). Arboric. Urban For. (AUF) 2019, 45, 99–107. [Google Scholar] [CrossRef]
- Gonet, T.; Maher, B.A. Airborne, vehicle-derived Fe-bearing nanoparticles in the urban environment: A review. Environ. Sci. Technol. 2019, 53, 9970–9991. [Google Scholar] [CrossRef]
- Apeagyei, E.; Bank, M.S.; Spengler, J.D. Distribution of heavy metals in road dust along an urban-rural gradient in Massachusetts. Atmos. Environ. 2011, 45, 2310–2323. [Google Scholar] [CrossRef]
- Hagler, G.S.; Lin, M.Y.; Khlystov, A.; Baldauf, R.W.; Isakov, V.; Faircloth, J.; Jackson, L.E. Field investigation of roadside vegetative and structural barrier impact on near-road ultrafine particle concentrations under a variety of wind conditions. Sci. Total Environ. 2012, 419, 7–15. [Google Scholar] [CrossRef] [PubMed]
- CONAGUA. Servicio Meteorológico Nacional. Boletines Climatológicos y Pronósticos Diarios de Precipitación. Gobierno de México. 2024. Available online: https://smn.conagua.gob.mx/ (accessed on 7 October 2025).
- Liang, F.; Liu, F.; Huang, K.; Yang, X.; Li, J.; Xiao, Q.; Gu, D. Long-term exposure to fine particulate matter and cardiovascular disease in China. J. Am. Coll. Cardiol. 2020, 75, 707–717. [Google Scholar] [CrossRef] [PubMed]
- Pietrelli, L.; Di Vito, S.; Lacolla, E.; Piozzi, A.; Scocchera, E. Characterization of urban park litter pollution. Waste Manag. 2025, 193, 95–104. [Google Scholar] [CrossRef] [PubMed]
- Castanheiro, A.; Samson, R.; De Wael, K. Magnetic and particle-based techniques to investigate metal deposition on urban green. Sci. Total Environ. 2016, 571, 594–602. [Google Scholar] [CrossRef]







Disclaimer/Publisher’s Note: The statements, opinions and data contained in all publications are solely those of the individual author(s) and contributor(s) and not of MDPI and/or the editor(s). MDPI and/or the editor(s) disclaim responsibility for any injury to people or property resulting from any ideas, methods, instructions or products referred to in the content. |
© 2025 by the authors. Licensee MDPI, Basel, Switzerland. This article is an open access article distributed under the terms and conditions of the Creative Commons Attribution (CC BY) license.
Share and Cite
Castañeda-Miranda, A.G.; Böhnel, H.N.; Chaparro, M.A.E.; Pinedo-Torres, L.A.; Rodríguez-Trejo, A.; Castañeda-Miranda, R.; Sandoval-Aréchiga, R.; Rodríguez-Abdalá, V.I.; Gomez-Rodriguez, J.R.; Dávila-Cisneros, S.; et al. Magnetic Biomonitoring of PM in a Semi-Arid Urban Park of North-Central Mexico Using Tillandsia recurvata as a Particulate Matter Biocollector. Atmosphere 2026, 17, 55. https://doi.org/10.3390/atmos17010055
Castañeda-Miranda AG, Böhnel HN, Chaparro MAE, Pinedo-Torres LA, Rodríguez-Trejo A, Castañeda-Miranda R, Sandoval-Aréchiga R, Rodríguez-Abdalá VI, Gomez-Rodriguez JR, Dávila-Cisneros S, et al. Magnetic Biomonitoring of PM in a Semi-Arid Urban Park of North-Central Mexico Using Tillandsia recurvata as a Particulate Matter Biocollector. Atmosphere. 2026; 17(1):55. https://doi.org/10.3390/atmos17010055
Chicago/Turabian StyleCastañeda-Miranda, Ana G., Harald N. Böhnel, Marcos A. E. Chaparro, Laura A. Pinedo-Torres, A. Rodríguez-Trejo, Rodrigo Castañeda-Miranda, Remberto Sandoval-Aréchiga, Víktor I. Rodríguez-Abdalá, Jose. R. Gomez-Rodriguez, Saúl Dávila-Cisneros, and et al. 2026. "Magnetic Biomonitoring of PM in a Semi-Arid Urban Park of North-Central Mexico Using Tillandsia recurvata as a Particulate Matter Biocollector" Atmosphere 17, no. 1: 55. https://doi.org/10.3390/atmos17010055
APA StyleCastañeda-Miranda, A. G., Böhnel, H. N., Chaparro, M. A. E., Pinedo-Torres, L. A., Rodríguez-Trejo, A., Castañeda-Miranda, R., Sandoval-Aréchiga, R., Rodríguez-Abdalá, V. I., Gomez-Rodriguez, J. R., Dávila-Cisneros, S., & Delgado, S. I. (2026). Magnetic Biomonitoring of PM in a Semi-Arid Urban Park of North-Central Mexico Using Tillandsia recurvata as a Particulate Matter Biocollector. Atmosphere, 17(1), 55. https://doi.org/10.3390/atmos17010055

