The Risk of Developing Aphasia and Exposure to Air Pollution in Taiwan
Abstract
1. Introduction
2. Materials and Methods
2.1. Study Population
2.2. Air Pollution Exposure
2.3. Variables of Interest
2.4. Statistical Analysis
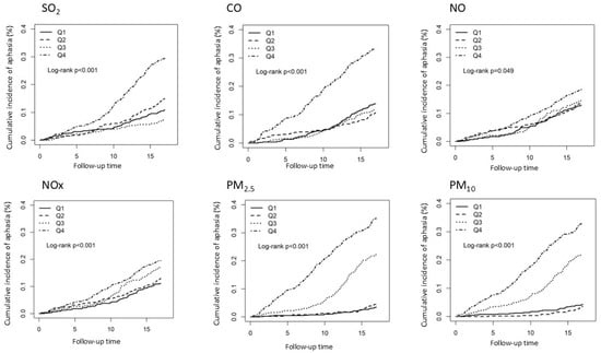
3. Results
3.1. Demographic and Air Pollution Exposure Information
3.2. Incidence Rate Ratio (IRR)
3.3. Adjusted Hazard Ratio (aHR)
4. Discussion
5. Conclusions
Author Contributions
Funding
Institutional Review Board Statement
Informed Consent Statement
Data Availability Statement
Acknowledgments
Conflicts of Interest
Abbreviations
| LGTD | Longitudinal Generation Tracking Database |
| TAQMD | Taiwan Air Quality Monitoring Database |
| IRR | incidence rate ratio |
| aHR | hazard ratio |
| SO2 | sulfur oxide |
| CO | carbon monoxide |
| NO | nitric oxide |
| NOx | nitrogen oxide |
| PM | particulate matter |
| NHIRD | National Health Insurance Research Database |
| EPA | Environmental Protection Agency |
References
- Coccia, M. Two mechanisms for accelerated diffusion of COVID-19 outbreaks in regions with high intensity of population and polluting industrialization: The air pollution-to-human and human-to-human transmission dynamics. medRxiv 2020. [Google Scholar] [CrossRef]
- Noel, C.; Van Landschoot, L.; Vanroelen, C.; Gadeyne, S. The Public’s Perceptions of Air Pollution. What’s in a Name? Environ. Health Insights 2022, 16, 11786302221123563. [Google Scholar] [CrossRef] [PubMed]
- Shou, Y.; Zhu, X.; Zhu, D.; Yin, H.; Shi, Y.; Chen, M.; Lu, L.; Qian, Q.; Zhao, D.; Hu, Y.; et al. Ambient PM2.5 chronic exposure leads to cognitive decline in mice: From pulmonary to neuronal inflammation. Toxicol. Lett. 2020, 331, 208–217. [Google Scholar] [CrossRef] [PubMed]
- Hajipour, S.; Farbood, Y.; Gharib-Naseri, M.K.; Goudarzi, G.; Rashno, M.; Maleki, H.; Bakhtiari, N.; Nesari, A.; Khoshnam, S.E.; Dianat, M.; et al. Exposure to ambient dusty particulate matter impairs spatial memory and hippocampal LTP by increasing brain inflammation and oxidative stress in rats. Life Sci. 2020, 242, 117210. [Google Scholar] [CrossRef]
- Suwannasual, U.; Lucero, J.; McDonald, J.D.; Lund, A.K. Exposure to traffic-generated air pollutants mediates alterations in brain microvascular integrity in wildtype mice on a high-fat diet. Environ. Res. 2018, 160, 449–461. [Google Scholar] [CrossRef]
- Suwannasual, U.; Lucero, J.; Davis, G.; McDonald, J.D.; Lund, A.K. Mixed Vehicle Emissions Induces Angiotensin II and Cerebral Microvascular Angiotensin Receptor Expression in C57Bl/6 Mice and Promotes Alterations in Integrity in a Blood-Brain Barrier Coculture Model. Toxicol. Sci. 2019, 170, 525–535. [Google Scholar] [CrossRef]
- Woodward, N.C.; Haghani, A.; Johnson, R.G.; Hsu, T.M.; Saffari, A.; Sioutas, C.; Kanoski, S.E.; Finch, C.E.; Morgan, T.E. Prenatal and early life exposure to air pollution induced hippocampal vascular leakage and impaired neurogenesis in association with behavioral deficits. Transl. Psychiatry 2018, 8, 261. [Google Scholar] [CrossRef]
- Perlmutt, L.D.; Cromar, K.R. Comparing associations of respiratory risk for the EPA Air Quality Index and health-based air quality indices. Atmos. Environ. 2019, 202, 1–7. [Google Scholar] [CrossRef]
- Tan, X.; Han, L.; Zhang, X.; Zhou, W.; Li, W.; Qian, Y. A review of current air quality indexes and improvements under the multi-contaminant air pollution exposure. J. Environ. Manag. 2021, 279, 111681. [Google Scholar] [CrossRef]
- Rose, A.E.; Cullen, B.; Crawford, S.; Evans, J.J. A systematic review of mood and depression measures in people with severe cognitive and communication impairments following acquired brain injury. Clin. Rehabil. 2023, 37, 679–700. [Google Scholar] [CrossRef]
- Gibson, M.; Newman-Norlund, R.; Bonilha, L.; Fridriksson, J.; Hickok, G.; Hillis, A.E.; den Ouden, D.-B.; Rorden, C. The Aphasia Recovery Cohort, an open-source chronic stroke repository. Sci. Data 2024, 11, 981. [Google Scholar] [CrossRef] [PubMed]
- Edelkraut, L.; López-Barroso, D.; Torres-Prioris, M.J.; Starkstein, S.E.; Jorge, R.E.; Aloisi, J.; Berthier, M.L.; Davila, G. Spectrum of neuropsychiatric symptoms in chronic post-stroke aphasia. World J. Psychiatry 2022, 12, 450. [Google Scholar] [CrossRef] [PubMed]
- Sheppard, S.M.; Sebastian, R. Diagnosing and managing post-stroke aphasia. Expert. Rev. Neurother. 2021, 21, 221–234. [Google Scholar] [CrossRef] [PubMed]
- Castellani, B.; Bartington, S.; Wistow, J.; Heckels, N.; Ellison, A.; Van Tongeren, M.; Arnold, S.R.; Barbrook-Johnson, P.; Bicket, M.; Pope, F.D. Mitigating the impact of air pollution on dementia and brain health: Setting the policy agenda. Environ. Res. 2022, 215, 114362. [Google Scholar] [CrossRef]
- Zundel, C.G.; Ryan, P.; Brokamp, C.; Heeter, A.; Huang, Y.; Strawn, J.R.; Marusak, H.A. Air pollution, depressive and anxiety disorders, and brain effects: A systematic review. Neurotoxicology 2022, 93, 272–300. [Google Scholar] [CrossRef]
- Bos, B.; Barratt, B.; Batalle, D.; Gale-Grant, O.; Hughes, E.J.; Beevers, S.; Cordero-Grande, L.; Price, A.N.; Hutter, J.; Hajnal, J.V. Prenatal exposure to air pollution is associated with structural changes in the neonatal brain. Environ. Int. 2023, 174, 107921. [Google Scholar] [CrossRef]
- Chen, S.W.; Lin, C.Y.; Chen, C.Y.; Lin, C.L.; Hsieh, T.L.; Tsai, F.J.; Chang, K.H. Long-term exposure to air pollution and risk of Sarcopenia in adult residents of Taiwan: A nationwide retrospective cohort study. BMC Public Health 2023, 23, 2172. [Google Scholar] [CrossRef]
- Chen, S.W.; Lin, H.J.; Tsai, S.C.; Lin, C.L.; Hsu, C.Y.; Hsieh, T.L.; Chen, C.M.; Chang, K.H. Exposure to Air Pollutants Increases the Risk of Chronic Rhinosinusitis in Taiwan Residents. Toxics 2022, 10, 173. [Google Scholar] [CrossRef]
- Chang, K.H.; Teng, C.J.; Hsu, Y.C.; Tsai, S.C.; Lin, H.J.; Hsieh, T.L.; Muo, C.H.; Hsu, C.Y.; Chou, R.H. Long-Term Exposure to Air Pollution Associates the Risk of Benign Brain Tumor: A Nationwide, Population-Based, Cohort Study in Taiwan. Toxics 2022, 10, 176. [Google Scholar] [CrossRef]
- Tsai, S.C.; Hsu, Y.C.; Lai, J.N.; Chou, R.H.; Fan, H.C.; Lin, F.C.; Zhang, R.; Lin, C.L.; Chang, K.H. Long-term exposure to air pollution and the risk of developing sudden sensorineural hearing loss. J. Transl. Med. 2021, 19, 424. [Google Scholar] [CrossRef]
- Chiu, H.F.; Chang, C.C.; Yang, C.Y. Relationship between hemorrhagic stroke hospitalization and exposure to fine particulate air pollution in Taipei, Taiwan. J. Toxicol. Environ. Health A 2014, 77, 1154–1163. [Google Scholar] [CrossRef] [PubMed]
- Li, C.Y.; Li, C.H.; Martini, S.; Hou, W.H. Association between air pollution and risk of vascular dementia: A multipollutant analysis in Taiwan. Environ. Int. 2019, 133, 105233. [Google Scholar] [CrossRef] [PubMed]
- Tsai, D.H.; Wang, J.L.; Chuang, K.J.; Chan, C.C. Traffic-related air pollution and cardiovascular mortality in central Taiwan. Sci. Total Environ. 2010, 408, 1818–1823. [Google Scholar] [CrossRef] [PubMed]
- Tsai, S.S.; Goggins, W.B.; Chiu, H.F.; Yang, C.Y. Evidence for an association between air pollution and daily stroke admissions in Kaohsiung, Taiwan. Stroke 2003, 34, 2612–2616. [Google Scholar] [CrossRef]
- Chuang, K.J.; Yan, Y.H.; Chiu, S.Y.; Cheng, T.J. Long-term air pollution exposure and risk factors for cardiovascular diseases among the elderly in Taiwan. Occup. Environ. Med. 2011, 68, 64–68. [Google Scholar] [CrossRef]
- Grönberg, A.; Henriksson, I.; Stenman, M.; Lindgren, A.G. Incidence of aphasia in ischemic stroke. Neuroepidemiology 2022, 56, 174–182. [Google Scholar] [CrossRef]
- Dickey, L.; Kagan, A.; Lindsay, M.P.; Fang, J.; Rowland, A.; Black, S. Incidence and Profile of Inpatient Stroke-Induced Aphasia in Ontario, Canada. Arch. Phys. Med. Rehabil. 2010, 91, 196–202. [Google Scholar] [CrossRef]
- Kapral, M.K.; Austin, P.C.; Jeyakumar, G.; Hall, R.; Chu, A.; Khan, A.M.; Jin, A.Y.; Martin, C.; Manuel, D.; Silver, F.L. Rural-urban differences in stroke risk factors, incidence, and mortality in people with and without prior stroke: The CANHEART stroke study. Circ. Cardiovasc. Qual. Outcomes 2019, 12, e004973. [Google Scholar] [CrossRef]
- Avan, A.; Digaleh, H.; Di Napoli, M.; Stranges, S.; Behrouz, R.; Shojaeianbabaei, G.; Amiri, A.; Tabrizi, R.; Mokhber, N.; Spence, J.D. Socioeconomic status and stroke incidence, prevalence, mortality, and worldwide burden: An ecological analysis from the Global Burden of Disease Study 2017. BMC Med. 2019, 17, 191. [Google Scholar] [CrossRef]
- Huang, N.; Yip, W.; Chang, H.J.; Chou, Y.J. Trends in rural and urban differentials in incidence rates for ruptured appendicitis under the National Health Insurance in Taiwan. Public Health 2006, 120, 1055–1063. [Google Scholar] [CrossRef]
- Siroux, V.; Pin, I.; Oryszczyn, M.P.; Le Moual, N.; Kauffmann, F. Relationships of active smoking to asthma and asthma severity in the EGEA study. Epidemiological study on the Genetics and Environment of Asthma. Eur. Respir. J. 2000, 15, 470–477. [Google Scholar] [CrossRef] [PubMed]
- Langer, S.; Bekö, G. Indoor air quality in the Swedish housing stock and its dependence on building characteristics. Build. Environ. 2013, 69, 44–54. [Google Scholar] [CrossRef]
- Blondeau, P.; Iordache, V.; Poupard, O.; Genin, D.; Allard, F. Relationship between outdoor and indoor air quality in eight French schools. Indoor Air 2005, 15, 2–12. [Google Scholar] [CrossRef] [PubMed]
- Boomhower, S.R.; Long, C.M.; Li, W.; Manidis, T.D.; Bhatia, A.; Goodman, J.E. A review and analysis of personal and ambient PM2.5 measurements: Implications for epidemiology studies. Environ. Res. 2022, 204, 112019. [Google Scholar] [CrossRef]
- McHutchion, L.D.; Pringle, J.M.; Tran, M.N.; Ostevik, A.V.; Constantinescu, G. A survey of public awareness of dysphagia. Int. J. Speech Lang. Pathol. 2021, 23, 614–621. [Google Scholar] [CrossRef]
- Cheng, C.G.; Chen, Y.H.; Yen, S.Y.; Lin, H.C.; Lin, H.C.; Chou, K.R.; Cheng, C.A. Air Pollution Exposure and the Relative Risk of Sudden Sensorineural Hearing Loss in Taipei. Int. J. Environ. Res. Public Health 2022, 19, 6144. [Google Scholar] [CrossRef]


| N = 228,807 | Groups | n | % |
|---|---|---|---|
| Gender | Female | 124,580 | 55.5 |
| Male | 104,227 | 45.6 | |
| Age, years | Mean, SD | 40.3 | 15.8 |
| Urbanization level † | 1 (highest) | 147,221 | 64.3 |
| 2 | 62,554 | 27.3 | |
| 3 | 16,507 | 7.21 | |
| 4 (lowest) | 2525 | 1.1 | |
| Comorbidity | |||
| Alcohol abuse/dependence | Yes | 5003 | 2.19 |
| Tobacco abuse/dependence | Yes | 15,251 | 6.67 |
| Chronic obstructive pulmonary disease | Yes | 31,682 | 13.9 |
| Asthma | Yes | 32,362 | 14.1 |
| Obesity | Yes | 6130 | 2.68 |
| Osteoporosis | Yes | 19,927 | 8.71 |
| Stroke | Yes | 13,399 | 5.86 |
| Exposure of air pollutants | |||
| SO2 (daily average, ppb) | Mean, SD | 4.62 | 1.64 |
| CO (daily average, ppm) | Mean, SD | 0.67 | 0.29 |
| NO (daily average, ppb) | Mean, SD | 10.1 | 10.9 |
| NOx (daily average, ppb) | Mean, SD | 32.1 | 16.8 |
| PM2.5 (daily average, μg/m3) | Mean, SD | 31.5 | 7.56 |
| PM10 (daily average, μg/m3) | Mean, SD | 58.4 | 12.3 |
| Outcome | |||
| Aphasia | Yes | 333 | 0.15 |
| Follow-up time, years | Mean, SD | 16.4 | 2.29 |
| Levels of Pollutants | Event | IR | IRR | (95% CI) |
|---|---|---|---|---|
| SO2 (ppb) | ||||
| Quartile 1, <3.64 | 62 | 0.06 | 1.00 | |
| Quartile 2, 3.64–4.51 | 79 | 0.09 | 1.36 | (0.97, 1.90) |
| Quartile 3, 4.52–5.19 | 42 | 0.04 | 0.67 | (0.45, 0.99) * |
| Quartile 4, >5.19 | 150 | 0.17 | 2.70 | (2.01, 3.63) *** |
| CO (ppm) | ||||
| Quartile 1, <0.49 | 69 | 0.08 | 1.00 | |
| Quartile 2, 0.50–0.61 | 60 | 0.06 | 0.77 | (0.55, 1.09) |
| Quartile 3, 0.62–0.78 | 95 | 0.07 | 0.86 | (0.63, 1.18) |
| Quartile 4, >0.78 | 109 | 0.19 | 2.44 | (1.80, 3.30) *** |
| NO (ppb) | ||||
| Quartile 1, <3.89 | 71 | 0.07 | 1.00 | |
| Quartile 2, 3.90–6.49 | 75 | 0.08 | 1.08 | (0.78, 1.49) |
| Quartile 3, 6.50–10.0 | 59 | 0.09 | 1.14 | (0.81, 1.61) |
| Quartile 4, >10.0 | 128 | 0.11 | 1.44 | (1.08, 1.93) * |
| NOx (ppb) | ||||
| Quartile 1, <21.7 | 60 | 0.06 | 1.00 | |
| Quartile 2, 21.8–28.1 | 75 | 0.08 | 1.17 | (0.83, 1.64) |
| Quartile 3, 28.1–37.8 | 81 | 0.1 | 1.55 | (1.11, 2.16) * |
| Quartile 4, >37.8 | 117 | 0.11 | 1.77 | (1.30, 2.42) *** |
| PM2.5 (μg/m3) | ||||
| Quartile 1, <27.6 | 27 | 0.02 | 1.00 | |
| Quartile 2, 27.7–29.1 | 18 | 0.03 | 1.36 | (0.75, 2.47) |
| Quartile 3, 29.2–36.3 | 119 | 0.13 | 6.40 | (4.21, 9.72) *** |
| Quartile 4, >36.3 | 169 | 0.21 | 10.4 | (6.95, 15.65) *** |
| PM10 (μg/m3) | ||||
| Quartile 1, <51.7 | 27 | 0.03 | 1.00 | |
| Quartile 2, 51.8–55.1 | 18 | 0.02 | 0.81 | (0.45, 1.48) |
| Quartile 3, 55.2–64.4 | 114 | 0.13 | 5.02 | (3.30, 7.63) *** |
| Quartile 4, >64.4 | 174 | 0.19 | 7.86 | (5.24, 11.79) *** |
| Levels of Pollutants | aHR† | (95%CI) |
|---|---|---|
| SO2 (ppb) | ||
| Quartile 1, <3.64 | 1.00 | |
| Quartile 2, 3.64–4.51 | 1.45 | (1.04, 2.03) * |
| Quartile 3, 4.52–5.19 | 0.85 | (0.57, 1.27) |
| Quartile 4, >5.19 | 2.66 | (1.97, 3.59) *** |
| CO (ppm) | ||
| Quartile 1, <0.49 | 1.00 | |
| Quartile 2, 0.50–0.61 | 0.96 | (0.68, 1.37) |
| Quartile 3, 0.62–0.78 | 1.25 | (0.91, 1.72) |
| Quartile 4, >0.78 | 3.02 | (2.21, 4.13) *** |
| NO (ppb) | ||
| Quartile 1, <3.89 | 1.00 | |
| Quartile 2, 3.90–6.49 | 1.14 | (0.83, 1.58) |
| Quartile 3, 6.50–10.0 | 1.37 | (0.97, 1.94) |
| Quartile 4, >10.0 | 1.89 | (1.41, 2.55) *** |
| NOx (ppb) | ||
| Quartile 1, <21.7 | 1.00 | |
| Quartile 2, 21.8–28.1 | 1.25 | (0.89, 1.76) |
| Quartile 3, 28.1–37.8 | 1.83 | (1.31, 2.57) *** |
| Quartile 4, >37.8 | 2.31 | (1.68, 3.19) *** |
| PM2.5 (μg/m3) | ||
| Quartile 1, <27.6 | 1.00 | |
| Quartile 2, 27.7–29.1 | 1.33 | (0.73, 2.41) |
| Quartile 3, 29.2–36.3 | 5.20 | (3.42, 7.91) *** |
| Quartile 4, >36.3 | 7.61 | (5.05, 11.46) *** |
| PM10 (μg/m3) | ||
| Quartile 1, <51.7 | 1.00 | |
| Quartile 2, 51.8–55.1 | 0.86 | (0.47, 1.57) |
| Quartile 3, 55.2–64.4 | 4.41 | (2.90, 6.72) *** |
| Quartile 4, >64.4 | 5.99 | (3.98, 9.01) *** |
Disclaimer/Publisher’s Note: The statements, opinions and data contained in all publications are solely those of the individual author(s) and contributor(s) and not of MDPI and/or the editor(s). MDPI and/or the editor(s) disclaim responsibility for any injury to people or property resulting from any ideas, methods, instructions or products referred to in the content. |
© 2025 by the authors. Licensee MDPI, Basel, Switzerland. This article is an open access article distributed under the terms and conditions of the Creative Commons Attribution (CC BY) license (https://creativecommons.org/licenses/by/4.0/).
Share and Cite
Hung, J.; Lin, P.-C.; Chen, C.-Y.; Tsai, S.C.-S.; Chou, R.-H.; Lin, C.-L.; Cho, D.-Y.; Hsieh, C.-L.; Lee, C.-Y.; Chang, K.-H.; et al. The Risk of Developing Aphasia and Exposure to Air Pollution in Taiwan. Atmosphere 2025, 16, 605. https://doi.org/10.3390/atmos16050605
Hung J, Lin P-C, Chen C-Y, Tsai SC-S, Chou R-H, Lin C-L, Cho D-Y, Hsieh C-L, Lee C-Y, Chang K-H, et al. The Risk of Developing Aphasia and Exposure to Air Pollution in Taiwan. Atmosphere. 2025; 16(5):605. https://doi.org/10.3390/atmos16050605
Chicago/Turabian StyleHung, Jinyi, Pei-Chun Lin, Chiu-Ying Chen, Stella Chin-Shaw Tsai, Ruey-Hwang Chou, Cheng-Li Lin, Der-Yang Cho, Ching-Liang Hsieh, Chang-Yin Lee, Kuang-Hsi Chang, and et al. 2025. "The Risk of Developing Aphasia and Exposure to Air Pollution in Taiwan" Atmosphere 16, no. 5: 605. https://doi.org/10.3390/atmos16050605
APA StyleHung, J., Lin, P.-C., Chen, C.-Y., Tsai, S. C.-S., Chou, R.-H., Lin, C.-L., Cho, D.-Y., Hsieh, C.-L., Lee, C.-Y., Chang, K.-H., Hsu, Y.-C., & Huang, T.-L. (2025). The Risk of Developing Aphasia and Exposure to Air Pollution in Taiwan. Atmosphere, 16(5), 605. https://doi.org/10.3390/atmos16050605

