Estimation of High-Temporal-Resolution PM2.5 Concentration from 2019 to 2023 Using an Interpretable Deep Learning Model
Abstract
1. Introduction
2. Materials and Methods
2.1. Datasets
2.1.1. Ground PM2.5 Monitoring Data
2.1.2. FY-4A Satellite Data
2.1.3. Meteorological Data
2.1.4. Auxiliary Data and Data Preprocessing
2.2. Model and Methods
Interpretable PM2.5 Estimation Model
3. Results and Analysis
3.1. Feature Selection and Importance Analysis
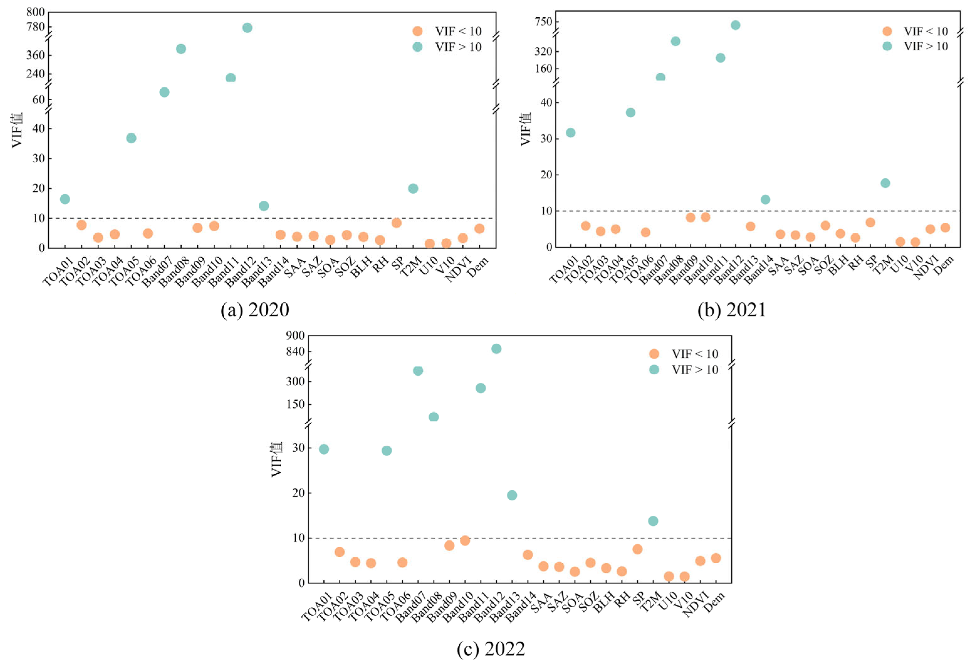
3.1.1. Result of Multicollinearity Test
3.1.2. Analysis of Feature Interpretability
3.2. Model Performance
3.2.1. Model Accuracy
3.2.2. Spatial Expansion Performance
3.3. Temporal and Spatial Distribution of PM2.5
3.3.1. Analysis of Annual and Seasonal Variations of PM2.5
3.3.2. Variations in Pollution During Different Spring Festivals
4. Discussion
5. Conclusions
Author Contributions
Funding
Data Availability Statement
Acknowledgments
Conflicts of Interest
Abbreviations
| FY-4A | Feng-Yun-4A |
| PM2.5 | Particulate matter with a particle size of smaller than 2.5 μm |
| TOA | Top-of-Atmosphere |
| SHAP | SHapley Additive exPlanations |
| BTH | Beijing–Tianjin–Hebei |
| AGRI | Advanced Geostationary Radiation Imager |
| AOD | aerosol optical depth |
| DBN | Deep Belief Network |
| Geoi-DBN | Geographic Intelligent DBN |
| LSTM | Long Short-Term Memory Network |
| Geoi-LSTM | Geographic Intelligent LSTM |
| DNN | Deep Neural Network |
| VIF | Variance Inflation Factor |
| CNEMC | China Environmental Monitoring Center |
| SOA, SAZ, SAA, SOZ | four observation angles |
| CLM | cloud mask product |
| SP | surface pressure |
| T2M | 2 m air temperature |
| BLH | boundary layer height |
| U10M V10M | eastward and northward wind at 10 m above ground |
| RH | relative humidity |
| DEM | Digital Elevation Model |
| NDVI | Normalized Difference Vegetation Index |
| COVID-19 | Coronavirus disease 2019 |
| UTC | Coordinated Universal Time |
Appendix A
| Parameters | Value |
|---|---|
| Hidden Layer | [1024, 512, 256] |
| Learn Rate | 0.0000236 |
| batch size | 100 |
| epochs | 100 |
| Dropout Value | [0.2068419, 0.2535549, 0.2107006] |
| L2 Regularization Factor | 0.0965833 |
| training set: validation set | 9:1 |




References
- Abbafati, C.; Abbas, K.M.; Abbasi-Kangevari, M.; Abd-Allah, F.; Abdelalim, A.; Abdollahi, M.; Abdollahpour, I.; Abegaz, K.H.; Abolhassani, H.; Aboyans, V.; et al. Global Burden of 87 Risk Factors in 204 Countries and Territories, 1990–2019: A Systematic Analysis for the Global Burden of Disease Study 2019. Lancet 2020, 396, 1223–1249. [Google Scholar] [CrossRef]
- Chen, J.; Hoek, G. Long-Term Exposure to PM and All-Cause and Cause-Specific Mortality: A Systematic Review and Meta-Analysis. Environ. Int. 2020, 143, 105974. [Google Scholar] [CrossRef]
- Song, C.; He, J.; Wu, L.; Jin, T.; Chen, X.; Li, R.; Ren, P.; Zhang, L.; Mao, H. Health Burden Attributable to Ambient PM2.5 in China. Environ. Pollut. 2017, 223, 575–586. [Google Scholar] [CrossRef]
- Xue, T.; Zheng, Y.; Tong, D.; Zheng, B.; Li, X.; Zhu, T.; Zhang, Q. Spatiotemporal Continuous Estimates of PM2.5 Concentrations in China, 2000–2016: A Machine Learning Method with Inputs from Satellites, Chemical Transport Model, and Ground Observations. Environ. Int. 2019, 123, 345–357. [Google Scholar] [CrossRef] [PubMed]
- Vohra, K.; Vodonos, A.; Schwartz, J.; Marais, E.A.; Sulprizio, M.P.; Mickley, L.J. Global Mortality from Outdoor Fine Particle Pollution Generated by Fossil Fuel Combustion: Results from GEOS-Chem. Environ. Res. 2021, 195, 110754. [Google Scholar] [CrossRef]
- Pui, D.Y.H.; Chen, S.C.; Zuo, Z. PM2.5 in China: Measurements, Sources, Visibility and Health Effects, and Mitigation. Particuology 2014, 13, 1–26. [Google Scholar] [CrossRef]
- Choobari, O.A.; Zawar-Reza, P.; Sturman, A. The Global Distribution of Mineral Dust and Its Impacts on the Climate System: A Review. Atmos. Res. 2014, 138, 152–165. [Google Scholar] [CrossRef]
- Apte, J.S.; Marshall, J.D.; Cohen, A.J.; Brauer, M. Addressing Global Mortality from Ambient PM2.5. Environ. Sci. Technol. 2015, 49, 8057–8066. [Google Scholar] [CrossRef] [PubMed]
- Alkhodaidi, A.; Attiah, A.; Mhawish, A.; Hakeem, A. The Role of Machine Learning in Enhancing Particulate Matter Estimation: A Systematic Literature Review. Technologies 2024, 12, 198. [Google Scholar] [CrossRef]
- Wu, W.; Zhang, M.; Ding, Y. Exploring the Effect of Economic and Environment Factors on PM2.5 Concentration: A Case Study of the Beijing-Tianjin-Hebei Region. J. Environ. Manag. 2020, 268, 110703. [Google Scholar] [CrossRef]
- Yang, H.; Yao, R.; Sun, P.; Ge, C.; Ma, Z.; Bian, Y.; Liu, R. Spatiotemporal Evolution and Driving Forces of PM2.5 in Urban Agglomerations in China. Int. J. Environ. Res. Public Health 2023, 20, 2316. [Google Scholar] [CrossRef]
- Dong, L.; Li, S.; Yang, J.; Shi, W.; Zhang, L. Investigating the Performance of Satellite-Based Models in Estimating the Surface PM2.5 over China. Chemosphere 2020, 256, 127051. [Google Scholar] [CrossRef]
- Liu, G.; Dong, X.; Kong, Z.; Dong, K. Does National Air Quality Monitoring Reduce Local Air Pollution? The Case of PM2.5 for China. J. Environ. Manag. 2021, 296, 113232. [Google Scholar] [CrossRef] [PubMed]
- Wu, J.; Li, T.; Zhang, C.; Cheng, Q.; Shen, H. Hourly PM2.5 Concentration Monitoring With Spatiotemporal Continuity by the Fusion of Satellite and Station Observations. IEEE J. Sel. Top. Appl. Earth Obs. Remote Sens. 2021, 14, 8019–8032. [Google Scholar] [CrossRef]
- Stratoulias, D.; Nuthammachot, N.; Dejchanchaiwong, R.; Tekasakul, P.; Carmichael, G.R. Recent Developments in Satellite Remote Sensing for Air Pollution Surveillance in Support of Sustainable Development Goals. Remote Sens. 2024, 16, 2932. [Google Scholar] [CrossRef]
- Tang, Y.; Deng, R.; Liang, Y.; Zhang, R.; Cao, B.; Liu, Y.; Hua, Z.; Yu, J. Estimating High-Spatial-Resolution Daily PM2.5 Mass Concentration from Satellite Top-of-Atmosphere Reflectance Based on an Improved Random Forest Model. Atmos. Environ. 2023, 302, 119724. [Google Scholar] [CrossRef]
- Ma, Z.; Dey, S.; Christopher, S.; Liu, R.; Bi, J.; Balyan, P.; Liu, Y. A Review of Statistical Methods Used for Developing Large-Scale and Long-Term PM2.5 Models from Satellite Data. Remote Sens. Environ. 2022, 269, 112827. [Google Scholar] [CrossRef]
- Li, Y.; Yuan, S.; Fan, S.; Song, Y.; Wang, Z.; Yu, Z.; Yu, Q.; Liu, Y. Satellite Remote Sensing for Estimating PM2.5 and Its Components. Curr. Pollut. Rep. 2021, 7, 72–87. [Google Scholar] [CrossRef]
- Hu, X.; Waller, L.A.; Lyapustin, A.; Wang, Y.; Al-Hamdan, M.Z.; Crosson, W.L.; Estes, M.G.; Estes, S.M.; Quattrochi, D.A.; Puttaswamy, S.J.; et al. Estimating Ground-Level PM2.5 Concentrations in the Southeastern United States Using MAIAC AOD Retrievals and a Two-Stage Model. Remote Sens. Environ. 2014, 140, 220–232. [Google Scholar] [CrossRef]
- Liu, J.; Weng, F.; Li, Z.; Cribb, M.C. Hourly PM2.5 Estimates from a Geostationary Satellite Based on an Ensemble Learning Algorithm and Their Spatiotemporal Patterns over Central East China. Remote Sens. 2019, 11, 2120. [Google Scholar] [CrossRef]
- Gupta, P.; Levy, R.C.; Mattoo, S.; Remer, L.A.; Holz, R.E.; Heidinger, A.K. Applying the Dark Target Aerosol Algorithm with Advanced Himawari Imager Observations during the KORUS-AQ Field Campaign. Atmos. Meas. Tech. 2019, 12, 6557–6577. [Google Scholar] [CrossRef]
- Wang, B.; Ren, H.; Liu, R.; Fan, W.; Qin, Q.; Qin, L.; Tao, Y.; Yang, S. Simultaneous Retrieval of Land Surface Temperature and Emissivity from Chinese Geostationary Satellite Fengyun-4B Image. In Proceedings of the IGARSS 2023—2023 IEEE International Geoscience and Remote Sensing Symposium, Pasadena, CA, USA, 16–21 July 2023; pp. 7101–7104. [Google Scholar] [CrossRef]
- Si, Y.; Gao, L.; Chen, L.; Tan, Q.; Zhang, X.; Li, B.; Yan, H.; Zhang, X.; Lu, F.; Zhang, X. An Adaptive Dark-Target Algorithm for Retrieving Land AOD Applied to FY-4B/AGRI Data. IEEE J. Sel. Top. Appl. Earth Obs. Remote Sens. 2024, 17, 14035–14049. [Google Scholar] [CrossRef]
- Xia, X.; Min, J.; Shen, F.; Wang, Y.; Xu, D.; Yang, C.; Zhang, P. Aerosol Data Assimilation Using Data from Fengyun-4A, a next-Generation Geostationary Meteorological Satellite. Atmos. Environ. 2020, 237, 117695. [Google Scholar] [CrossRef]
- Guo, B.; Zhang, D.; Pei, L.; Su, Y.; Wang, X.; Bian, Y.; Zhang, D.; Yao, W.; Zhou, Z.; Guo, L. Estimating PM2.5 Concentrations via Random Forest Method Using Satellite, Auxiliary, and Ground-Level Station Dataset at Multiple Temporal Scales across China in 2017. Sci. Total Environ. 2021, 778, 146288. [Google Scholar] [CrossRef] [PubMed]
- Sun, J.; Gong, J.; Zhou, J. Estimating Hourly PM2.5 Concentrations in Beijing with Satellite Aerosol Optical Depth and a Random Forest Approach. Sci. Total Environ. 2021, 762, 144502. [Google Scholar] [CrossRef]
- Yue, J.; Pan, L.; Sun, Y. Estimating PM2.5 Concentrations in a Central Region of China Using a Three-Stage Model. Int. J. Digit. Earth 2023, 16, 578–592. [Google Scholar] [CrossRef]
- Hussain, M.J.; Seong, M.; Shahid, B.; Bai, H. Estimating PM2.5 Exposures and Cardiovascular Disease Risks in the Yangtze River Delta Region Using a Spatiotemporal Convolutional Approach to Fill Gaps in Satellite Data. Toxics 2025, 13, 392. [Google Scholar] [CrossRef]
- Zheng, T.; Bergin, M.H.; Hu, S.; Miller, J.; Carlson, D.E. Estimating Ground-Level PM2.5 Using Micro-Satellite Images by a Convolutional Neural Network and Random Forest Approach. Atmos. Environ. 2020, 230, 117451. [Google Scholar] [CrossRef]
- Wang, H.; Wang, M.; Jiang, P.; Ma, F.; Gao, Y.; Gu, X.; Luan, Q. Research on Time Series Interpolation and Reconstruction of Multi-Source Remote Sensing AOD Product Data Using Machine Learning Methods. Atmosphere 2025, 16, 655. [Google Scholar] [CrossRef]
- Shen, H.; Li, T.; Yuan, Q.; Zhang, L. Estimating Regional Ground-Level PM2.5 Directly From Satellite Top-of-Atmosphere Reflectance Using Deep Belief Networks. J. Geophys. Res. Atmos. 2018, 123, 13875–13886. [Google Scholar] [CrossRef]
- Li, T.; Shen, H.; Yuan, Q.; Zhang, X.; Zhang, L. Estimating Ground-Level PM2.5 by Fusing Satellite and Station Observations: A Geo-Intelligent Deep Learning Approach. Geophys. Res. Lett. 2017, 44, 11985–11993. [Google Scholar] [CrossRef]
- Wang, B.; Yuan, Q.; Yang, Q.; Zhu, L.; Li, T.; Zhang, L. Estimate Hourly PM2.5 Concentrations from Himawari-8 TOA Reflectance Directly Using Geo-Intelligent Long Short-Term Memory Network. Environ. Pollut. 2021, 271, 116327. [Google Scholar] [CrossRef]
- Fan, W.; Qin, K.; Cui, Y.; Li, D.; Bilal, M. Estimation of Hourly Ground-Level PM. Concentration Based on Himawari-8 Apparent Reflectance. IEEE Trans. Geosci. Remote Sens. 2021, 59, 76–85. [Google Scholar] [CrossRef]
- Chen, X.; Kong, P.; Jiang, P.; Wu, Y. Estimation of PM2.5 Concentration Using Deep Bayesian Model Considering Spatial Multiscale. Remote Sens. 2021, 13, 4545. [Google Scholar] [CrossRef]
- Yan, X.; Zang, Z.; Luo, N.; Jiang, Y.; Li, Z. New Interpretable Deep Learning Model to Monitor Real-Time PM2.5 Concentrations from Satellite Data. Environ. Int. 2020, 144, 106060. [Google Scholar] [CrossRef]
- Yan, X.; Zang, Z.; Jiang, Y.; Shi, W.; Guo, Y.; Li, D.; Zhao, C.; Husi, L. A Spatial-Temporal Interpretable Deep Learning Model for Improving Interpretability and Predictive Accuracy of Satellite-Based PM2.5. Environ. Pollut. 2021, 273, 116459. [Google Scholar] [CrossRef] [PubMed]
- Xu, B.; Yu, H.; Shi, Z.; Liu, J.-X.; Wei, Y.; Zhang, Z.; Huangfu, Y.; Han, X.; Li, Y.; Zhang, L.; et al. Knowledge-Guided Machine Learning Reveals Pivotal Drivers for Gas-to-Particle Conversion of Atmospheric Nitrate. Environ. Sci. Ecotechnol. 2024, 19, 100333. [Google Scholar] [CrossRef] [PubMed]
- Chen, X.; Zhang, W.; He, J.; Zhang, L.; Guo, H.; Li, J.; Gu, X. Mapping PM2.5 Concentration from the Top-of-Atmosphere Reflectance of Himawari-8 via an Ensemble Stacking Model. Atmos. Environ. 2024, 330, 120560. [Google Scholar] [CrossRef]
- Yu, X.; Wong, M.S.; Liu, C.H.; Zhu, R. Synergistic Data Fusion of Satellite Observations and In-Situ Measurements for Hourly PM2.5 Estimation Based on Hierarchical Geospatial Long Short-Term Memory. Atmos. Environ. 2022, 286, 119257. [Google Scholar] [CrossRef]
- Yin, J.; Mao, F.; Zang, L.; Chen, J.; Lu, X.; Hong, J. Retrieving PM2.5 with High Spatio-Temporal Coverage by TOA Reflectance of Himawari-8. Atmos. Pollut. Res. 2021, 12, 14–20. [Google Scholar] [CrossRef]
- Zhai, S.; Zhang, Y.; Huang, J.; Li, X.; Wang, W.; Zhang, T.; Yin, F.; Ma, Y. Exploring the Detailed Spatiotemporal Characteristics of PM2.5: Generating a Full-Coverage and Hourly PM2.5 Dataset in the Sichuan Basin, China. Chemosphere 2023, 310, 136786. [Google Scholar] [CrossRef]
- Wu, J.; Yao, F.; Li, W.; Si, M. VIIRS-Based Remote Sensing Estimation of Ground-Level PM2.5 Concentrations in Beijing–Tianjin–Hebei: A Spatiotemporal Statistical Model. Remote Sens. Environ. 2016, 184, 316–328. [Google Scholar] [CrossRef]
- Choi, J.; Park, R.J.; Lee, H.M.; Lee, S.; Jo, D.S.; Jeong, J.I.; Henze, D.K.; Woo, J.H.; Ban, S.J.; Lee, M.D.; et al. Impacts of Local vs. Trans-Boundary Emissions from Different Sectors on PM2.5 Exposure in South Korea during the KORUS-AQ Campaign. Atmos. Environ. 2019, 203, 196–205. [Google Scholar] [CrossRef]
- Hu, Y.; Zeng, C.; Li, T.; Shen, H. Performance Comparison of Fengyun-4A and Himawari-8 in PM2.5 Estimation in China. Atmos. Environ. 2022, 271, 118898. [Google Scholar] [CrossRef]
- Song, Z.; Chen, B.; Zhang, P.; Guan, X.; Wang, X.; Ge, J.; Hu, X.; Zhang, X.; Wang, Y. High Temporal and Spatial Resolution PM2.5 Dataset Acquisition and Pollution Assessment Based on FY-4A TOAR Data and Deep Forest Model in China. Atmos. Res. 2022, 274, 106119. [Google Scholar] [CrossRef]
- Xu, B.; Lin, W.; Taqi, S.A. The Impact of Wind and Non-Wind Factors on PM2.5 Levels. Technol. Forecast. Soc. Change 2020, 154, 119960. [Google Scholar] [CrossRef]
- Han, S.; Liu, J.; Hao, T.; Zhang, Y.; Li, P.; Yang, J.; Wang, Q.; Cai, Z.; Yao, Q.; Zhang, M.; et al. Boundary Layer Structure and Scavenging Effect during a Typical Winter Haze-Fog Episode in a Core City of BTH Region, China. Atmos. Environ. 2018, 179, 187–200. [Google Scholar] [CrossRef]
- Liu, F.; Tan, Q.; Jiang, X.; Yang, F.; Jiang, W. Effects of Relative Humidity and PM2.5 Chemical Compositions on Visibility Impairment in Chengdu, China. J. Environ. Sci. 2019, 86, 15–23. [Google Scholar] [CrossRef]
- Duc, L.; Saito, K.; Hotta, D. Analysis and Design of Covariance Inflation Methods Using Inflation Functions. Part 1: Theoretical Framework. Q. J. R. Meteorol. Soc. 2020, 146, 3638–3660. [Google Scholar] [CrossRef]
- El-Mottaleb, S.A.A.; Métwalli, A.; Chehri, A.; Ahmed, H.Y.; Zeghid, M.; Khan, A.N. A QoS Classifier Based on Machine Learning for Next-Generation Optical Communication. Electronics 2022, 11, 2619. [Google Scholar] [CrossRef]
- Wang, J.; Wiens, J.; Lundberg, S. Shapley Flow: A Graph-Based Approach to Interpreting Model Predictions. In Proceedings of the 24th International Conference on Artificial Intelligence and Statistics, Virtual, 13–15 April 2021; PMLR: San Diego, CA, USA, 2021; Volume 130, p. 721. [Google Scholar]
- Mi, J.-X.; Li, A.-D.; Zhou, L.-F. Review Study of Interpretation Methods for Future Interpretable Machine Learning. IEEE Access 2020, 8, 191969–191985. [Google Scholar] [CrossRef]
- Lundberg, S.M.; Lee, S.I. A Unified Approach to Interpreting Model Predictions. In Proceedings of the Advances in Neural Information Processing Systems, Long Beach, CA, USA, 4–9 December 2017; Volume 30, pp. 4768–4777. [Google Scholar]
- She, L.; Zhang, H.K.; Li, Z.; de Leeuw, G.; Huang, B. Himawari-8 Aerosol Optical Depth (Aod) Retrieval Using a Deep Neural Network Trained Using Aeronet Observations. Remote Sens. 2020, 12, 4125. [Google Scholar] [CrossRef]
- Ma, Y.; Zhang, W.; Zhang, L.; Gu, X.; Yu, T. Estimation of Ground-Level PM2.5 Concentration at Night in Beijing-Tianjin-Hebei Region with NPP/VIIRS Day/Night Band. Remote Sens. 2023, 15, 825. [Google Scholar] [CrossRef]
- García, C.B.; García, J.; López Martín, M.M.; Salmerón, R. Collinearity: Revisiting the Variance Inflation Factor in Ridge Regression. J. Appl. Stat. 2015, 42, 648–661. [Google Scholar] [CrossRef]
- Chen, L.; Mao, F.; Hong, J.; Zang, L.; Chen, J.; Zhang, Y.; Gan, Y.; Gong, W.; Xu, H. Improving PM2.5 Predictions during COVID-19 Lockdown by Assimilating Multi-Source Observations and Adjusting Emissions. Environ. Pollut. 2022, 297, 118783. [Google Scholar] [CrossRef]
- Erkin, N.; Simayi, M.; Ablat, X.; Yahefu, P.; Maimaiti, B. Predicting Spatiotemporal Variations of PM2.5 Concentrations during Spring Festival for County-Level Cities in China Using VIIRS-DNB Data. Atmos. Environ. 2023, 294, 119484. [Google Scholar] [CrossRef]
- Li, B.; Li, T.; Han, Z.; Chen, X.; Zhang, W.; Zhang, L. Research Method on the Retrieval of Land Surface Temperature Based on Transfer Learning with a Deep Belief Network. Int. J. Remote Sens. 2025, 46, 6451–6483. [Google Scholar] [CrossRef]
- Zuo, X.; Cheng, T.; Gu, X.; Guo, H.; Wu, Y.; Shi, S. Studying the Regional Transmission and Inferring the Local/External Contribution of Fine Particulate Matter Based on Multi-Source Observation: A Case Study in the East of North China Plain. Remote Sens. 2020, 12, 3936. [Google Scholar] [CrossRef]














| Category | Data | Data Source | Units | Spatial Resolution | Temporal Resolution |
|---|---|---|---|---|---|
| Satellite | TOA01-TOA06 Band07-Band14 SAA/SAZ SOA/SOZ | FY-4A L1 | -- | 4 km | 1 h |
| Meteorological | BLH | ERA5 | m | 0.25° × 0.25° | 1 h |
| T2M | K | ||||
| SP | Pa | ||||
| RH | % | ||||
| U10 | m/s | ||||
| V10 | m/s | ||||
| Auxiliary | NDVI | MYD13C1 | -- | 500 m | 16 days |
| DEM | NASADEM | m | 30 m | -- | |
| Ground PM2.5 | PM2.5 | CNEMC | μg/m3 | -- | 1 h |
| Model | R2 | RMSE (μg/m3) | Spatial Resolution | Temporal Resolution | Source |
|---|---|---|---|---|---|
| Geoi-DBN | 0.82 | 16.42 | 0.1° × 0.1° | daily | 28 |
| Geoi-LSTM | 0.82 | 15.44 | 5 km | hourly | 29 |
| Deep Bayesian model | 0.69 | 19.45 | 1 km | hourly | 31 |
| 0.74 | 3 km | ||||
| 0.76 | 5 km | ||||
| DNN-2019 | 0.76 | 18.65 | 4 km | hourly | This study |
| DNN-2020 | 0.80 | 16.27 | |||
| DNN-2021 | 0.85 | 12.90 | |||
| DNN-2022 | 0.86 | 11.90 | |||
| DNN-2023 | 0.88 | 13.59 |
Disclaimer/Publisher’s Note: The statements, opinions and data contained in all publications are solely those of the individual author(s) and contributor(s) and not of MDPI and/or the editor(s). MDPI and/or the editor(s) disclaim responsibility for any injury to people or property resulting from any ideas, methods, instructions or products referred to in the content. |
© 2025 by the authors. Licensee MDPI, Basel, Switzerland. This article is an open access article distributed under the terms and conditions of the Creative Commons Attribution (CC BY) license (https://creativecommons.org/licenses/by/4.0/).
Share and Cite
Li, B.; Chen, X.; Zhang, W.; Li, T.; Xing, M.; Yang, J.; Han, Z. Estimation of High-Temporal-Resolution PM2.5 Concentration from 2019 to 2023 Using an Interpretable Deep Learning Model. Atmosphere 2025, 16, 1385. https://doi.org/10.3390/atmos16121385
Li B, Chen X, Zhang W, Li T, Xing M, Yang J, Han Z. Estimation of High-Temporal-Resolution PM2.5 Concentration from 2019 to 2023 Using an Interpretable Deep Learning Model. Atmosphere. 2025; 16(12):1385. https://doi.org/10.3390/atmos16121385
Chicago/Turabian StyleLi, Bo, Xiaoyang Chen, Wenhao Zhang, Tong Li, Meiling Xing, Jinyu Yang, and Zhihua Han. 2025. "Estimation of High-Temporal-Resolution PM2.5 Concentration from 2019 to 2023 Using an Interpretable Deep Learning Model" Atmosphere 16, no. 12: 1385. https://doi.org/10.3390/atmos16121385
APA StyleLi, B., Chen, X., Zhang, W., Li, T., Xing, M., Yang, J., & Han, Z. (2025). Estimation of High-Temporal-Resolution PM2.5 Concentration from 2019 to 2023 Using an Interpretable Deep Learning Model. Atmosphere, 16(12), 1385. https://doi.org/10.3390/atmos16121385

