Atmospheric Particulate Matter Pollution in the “U-C-S” Urban Agglomeration: Spatio-Temporal Distribution and Source Analysis
Abstract
1. Introduction
2. Study Area
3. Data Sources
4. Research Methods
4.1. Weekend Effect Analysis
4.2. Backward Trajectory and Cluster Methodology
4.3. Potential Source Contribution Function (PSCF) Methodology
4.4. Concentration Weighted Trajectory (CWT) Methodology
4.5. Random Forest
5. Results
5.1. Annual Spatiotemporal Distribution Changes of PM2.5 and PM10
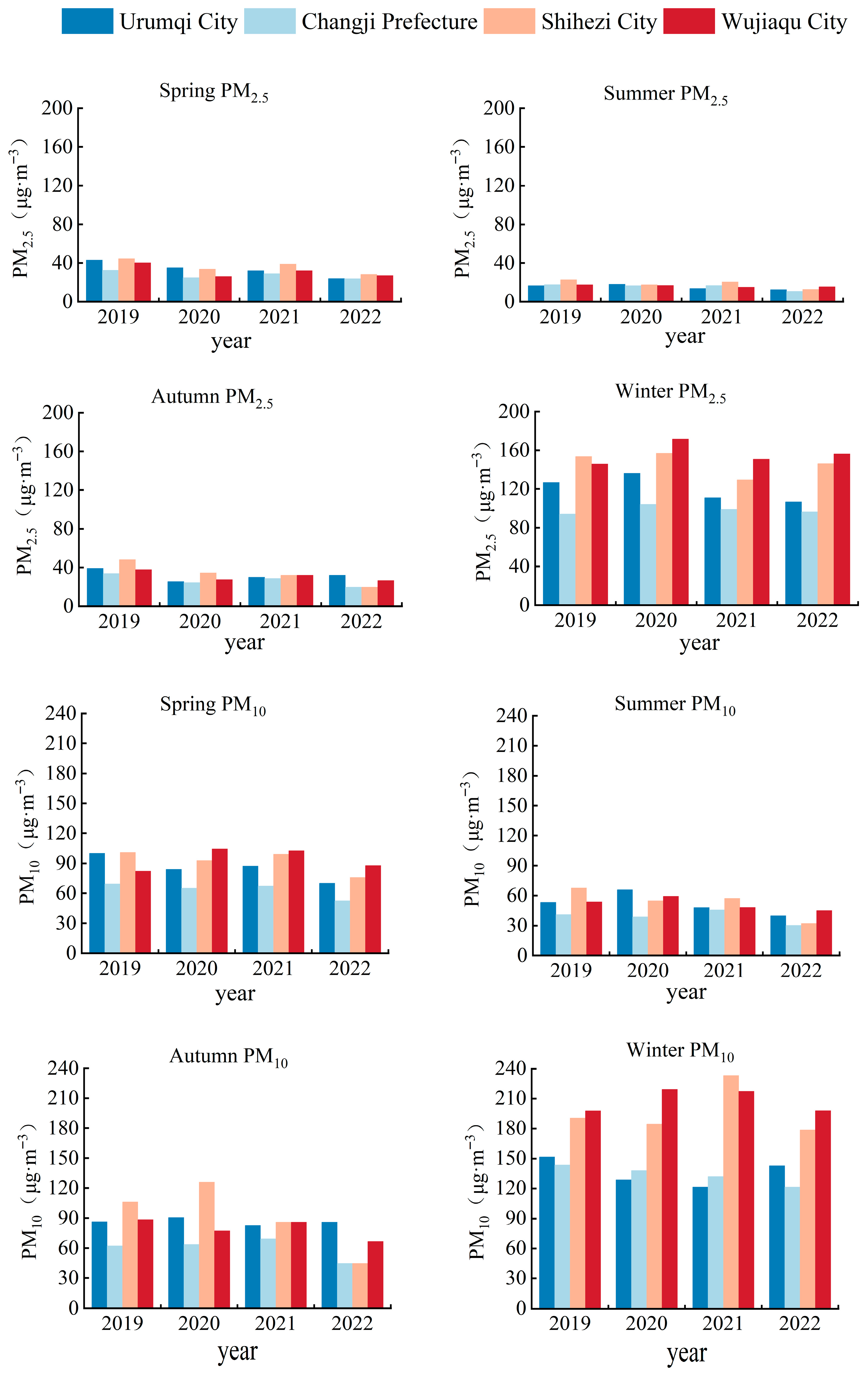
5.2. Seasonal Spatiotemporal Distribution Changes of PM2.5 and PM10
5.3. Monthly Spatiotemporal Distribution Changes of PM2.5 and PM10
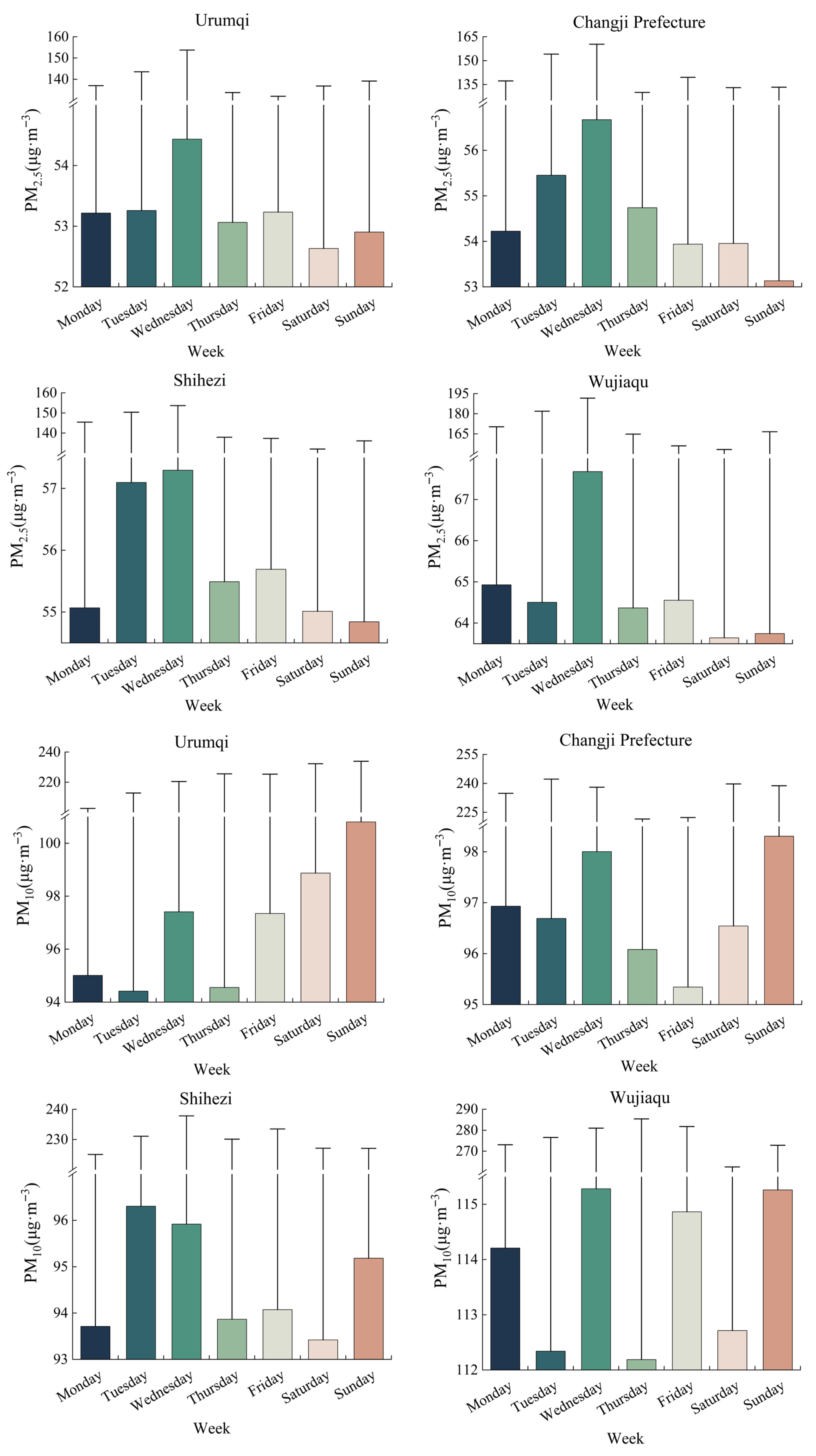
5.4. Weekly Spatiotemporal Distribution Changes of PM2.5 and PM10
5.5. Daily Spatiotemporal Distribution Changes of PM2.5 and PM10
5.6. Backward Trajectory Cluster Analysis
5.7. Potential Source Contribution Function (PSCF) Analysis
5.8. Concentration Weighted Trajectory (CWT) Analysis
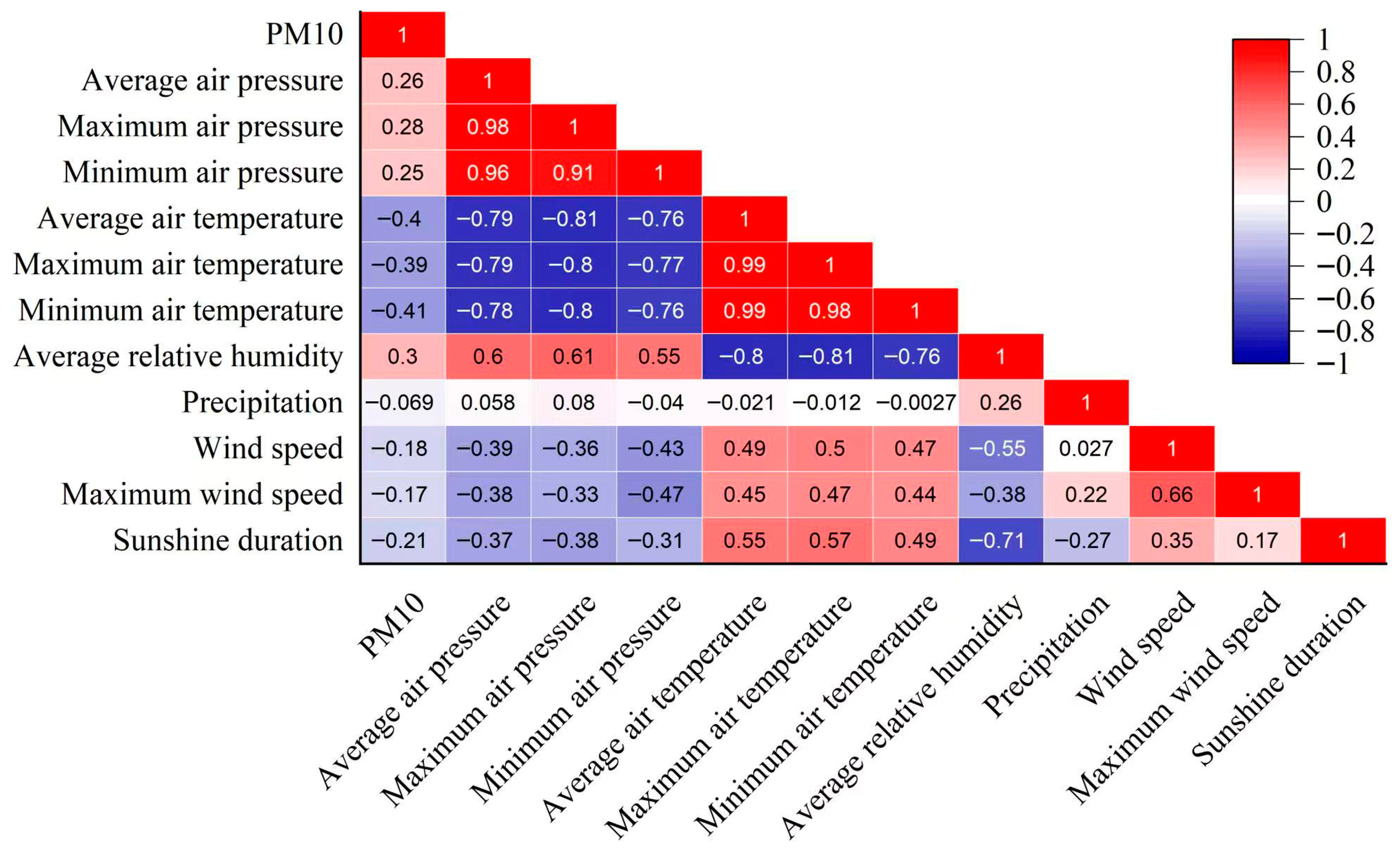
6. Discussion
7. Conclusions
Author Contributions
Funding
Institutional Review Board Statement
Informed Consent Statement
Data Availability Statement
Acknowledgments
Conflicts of Interest
References
- Guo, X.H.; Wang, Y.F.; Mei, S.Q.; Shi, C.; Liu, Y.; Pan, L.; Li, K.; Zhang, B.; Wang, J.; Zhong, Z.; et al. Monitoring and modelling of PM2.5 concentration at subway station construction based on IoT and LSTM algorithm optimization. J. Clean. Prod. 2022, 360, 132179. [Google Scholar] [CrossRef]
- Wu, Q.; Guo, R.; Luo, J.; Chen, C. Spatiotemporal evolution and influencing factors of PM2.5 in the five major urban agglomerations in the Yellow River Basin. Arid Land Geogr. 2024, 47, 707–719. [Google Scholar] [CrossRef]
- An, Z.; Huang, R.J.; Zhang, R.; Tie, X.; Li, G.; Cao, J.; Zhou, W.; Shi, Z.; Han, Y.; Gu, Z.; et al. Severe haze in northern China: A synergy of anthropogenic emissions and atmospheric processes. Proc. Natl. Acad. Sci. USA 2019, 116, 8657–8666. [Google Scholar] [CrossRef]
- Shamsollahi, H.R.; Yunesian, M.; Kharrazi, S.; Jahanbin, B.; Nazmara, S.; Rafieian, S.; Dehghani, M.H. Characterization of persistent materials of deposited PM2.5 in the human lung. Chemosphere. 2022, 301, 134774. [Google Scholar] [CrossRef] [PubMed]
- Wu, Y.; Zhang, T.; Wang, Y.; Wei, J.; Huang, L.; Yang, J.; Sun, H. Spatial heterogeneity in health risks of illness-related absenteeism associated with PM2.5 exposure for elementary students. Environ. Res. 2022, 212, 113473. [Google Scholar] [CrossRef] [PubMed]
- Babayemi, J.O.; Ogundiran, M.B.; Osibanjo, O. Overview of environmental hazards and health effects of pollution in developing countries: A case study of Nigeria. Environ. Qual. Manag. 2016, 26, 51–71. [Google Scholar] [CrossRef]
- Carmichael, G.R.; Adhikary, B.; Kulkarni, S.; D’Allura, A.; Tang, Y.; Streets, D.; Zhang, Q.; Bond, T.C.; Ramanathan, V.; Jamroensan, A.; et al. Asian aerosols: Current and year 2030 distributions and implications to human health and regional climate change. Environ. Sci. Technol. 2009, 43, 5811–5817. [Google Scholar] [CrossRef]
- World Health Organization. WHO Global Air Quality Guidelines: Particulate Matter (PM2.5 and PM10), Ozone, Nitrogen Dioxide, Sulfur Dioxide and Carbon Monoxide; WHO: Geneva, Switzerland, 2021; Available online: https://www.who.int/publications/i/item/9789240034228/ (accessed on 30 June 2023).
- US Environmental Protection Agency. Air Quality Trends. EPA-454/R-20-001; U.S. EPA: Washington, DC, USA, 2020. Available online: https://www.epa.gov/air-trends (accessed on 20 January 2023).
- European Environment Agency. Air Quality in Europe—2021 Report; EEA Report No 1/2021; EEA: Copenhagen, Denmark, 2021; Available online: https://www.eea.europa.eu/en/analysis/publications/air-quality-in-europe-2021 (accessed on 20 January 2023).
- Singh, G.; Kumar, A.; Vaid, D.; Sharma, P. Stubble burning and its impact on air quality in Delhi NCT: A case study. J. Univ. Shanghai Sci. Technol. 2021, 23, 58–68. [Google Scholar] [CrossRef]
- Zhao, Q.; He, Q.; Jin, L.; Wang, J. Potential source regions and transportation pathways of reactive gases at a regional background site in northwestern China. Adv. Meteorol. 2021, 2021, 9933466. [Google Scholar] [CrossRef]
- Othman, M.; Latif, M.T.; Hamid, H.H.A.; Uning, R.; Khumsaeng, T.; Phairuang, W.; Daud, Z.; Idris, J.; Sofwan, N.M.; Lung, S.-C.C. Spatial–temporal variability and health impact of particulate matter during a 2019–2020 biomass burning event in Southeast Asia. Sci Rep. 2022, 12, 7630. [Google Scholar] [CrossRef]
- Ning, G.; Yim, S.H.L.; Yang, Y.; Gu, Y.; Dong, G. Modulations of synoptic and climatic changes on ozone pollution and its health risks in mountain-basin areas. Atmos. Environ. 2020, 240, 117808. [Google Scholar] [CrossRef]
- He, J.; Ding, S.; Liu, D. Exploring the spatiotemporal pattern of PM2.5 distribution and its determinants in Chinese cities based on a multilevel analysis approach. Sci. Total Environ. 2019, 659, 1513–1525. [Google Scholar] [CrossRef] [PubMed]
- Cao, J.; Yang, C.X.; Li, J.X.; Chen, R.J.; Chen, B.H.; Gu, D.F. Association between long-term exposure to outdoor air pollution and mortality in China: A cohort study. J. Hazard. Mater. 2011, 186, 1594–1600. [Google Scholar] [CrossRef]
- Li, S.; Zhou, C.H.; Qu, M.X. Spatiotemporal variations and mechanism of PM2.5 pollution in urban area: The case of Guiyang, Guizhou, China. J. Environ. Manage 2023, 341, 118030. [Google Scholar] [CrossRef]
- Li, L.; Liu, M.; Xiao, S.; Wang, S.-Y.; Mi, J.-L. Temporal and spatial variation in O3 concentration near the surface of Shandong Peninsula and analysis of potential source areas. Environ. Sci. 2022, 43, 1256–1267. [Google Scholar]
- Shi, X. Analysis of Chemical Composition Characteristics and Sources of Atmospheric PM2.5 in Urumqi. Master’s thesis, Xinjiang Agricultural University, Urumqi, China, 2021. [Google Scholar]
- Miao, Y. Analysis of Atmospheric Particulate Matter Composition Characteristics During Dust Storm and Non-Dust Storm Seasons in the Southern Margin of Xinjiang. Master’s Thesis, Tianjin Normal University, Tianjin, China, 2017. [Google Scholar]
- Salvador, P.; Artíñano, B.; Viana, M.; Querol, X.; Alastuey, A.; González-Fernández, I.; Alonso, R. Spatial and temporal variations in PM10 and PM2.5 across Madrid metropolitan area in 1999–2008. Procedia Environ. Sci. 2011, 4, 198–208. [Google Scholar] [CrossRef]
- Pengchai, P.; Chantara, S.; Sopajaree, K.; Wangkarn, S.; Tengcharoenkul, U.; Rayanakorn, M. Seasonal variation, risk assessment and source estimation of PM10 and PM10-bound PAHs in the ambient air of Chiang Mai and Lamphun, Thailand. Environ. Monit. Assess. 2009, 154, 197–218. [Google Scholar] [CrossRef]
- Su, Z.; Lin, L.; Chen, Y.; Hu, H. Understanding the distribution and drivers of PM2.5 concentrations in the Yangtze River Delta from 2015 to 2020 using Random Forest Regression. Environ. Monit. Assess. 2022, 194, 284. [Google Scholar] [CrossRef]
- Yang, L.; Xu, H.; Yu, S. Estimating PM2.5 concentrations in contiguous eastern coastal zone of China using MODIS AOD and a two-stage random forest model. J. Atmos. Oceanic Technol. 2021, 38, 2071–2080. [Google Scholar] [CrossRef]
- Yi, W. Temporal and Spatial Distribution Characteristics of PM2.5 Concentrations in the Tianshan North Slope Economic Belt in 2018 and Their Meteorological Influencing Factors. Master’s thesis, Northwest Normal University, Lanzhou, China, 2021. [Google Scholar]
- Jiang, N.; Lv, Z.; Zhang, R.; Zhu, R.; Qu, G. Characteristics, source analysis, and health risk of PM2.5 in the urban tunnel environment associated with E10 petrol usage. Environ. Sci. Pollut. Res. 2024, 31, 30454–30466. [Google Scholar] [CrossRef] [PubMed]
- Liu, Q.; Liu, Y.; Yin, J.; Zhang, M.; Zhang, T. Chemical characteristics and source apportionment of PM10 during Asian dust storm and non-dust storm days in Beijing. Atmos. Environ. 2014, 91, 85–94. [Google Scholar] [CrossRef]
- Wei, J.; Li, Z.; Lyapustin, A.; Sun, L.; Peng, Y.; Xue, W.; Su, T.; Cribb, M. Reconstructing 1-km-resolution high-quality PM2.5 data records from 2000 to 2018 in China: Spatiotemporal variations and policy implications. Remote Sens. Environ. 2021, 252, 112136. [Google Scholar] [CrossRef]
- Wei, J.; Li, Z.; Cribb, M.; Huang, W.; Xue, W.; Sun, L.; Guo, J.; Peng, Y.; Li, J.; Lyapustin, A.; et al. Improved 1-km-resolution PM2.5 estimates across China using enhanced space-time extremely randomized trees. Atmos. Chem. Phys. 2020, 20, 3273–3289. [Google Scholar] [CrossRef]
- Borchers-Arriagada, N.; Morgan, G.G.; Van Buskirk, J.; Gopi, K.; Yuen, C.; Johnston, F.H.; Guo, Y.; Cope, M.; Hanigan, I.C. Daily PM2.5 and seasonal-trend decomposition to identify extreme air pollution events from 2001 to 2020 for continental Australia using a Random Forest model. Atmosphere 2024, 15, 1341. [Google Scholar] [CrossRef]
- Vovk, T.; Kryza, M.; Werner, M. Using Random Forest to improve EMEP4PL model estimates of daily PM2.5 in Poland. Atmos. Environ. 2024, 331, 120615. [Google Scholar] [CrossRef]
- GB 3095–2012; Ambient Air Quality Standards. Ministry of Environmental Protection: Beijing, China, 2012. Available online: https://www.mee.gov.cn/ywgz/fgbz/bz/bzwb/dqhjbh/dqhjzlbz/201203/t20120302_224165.shtml (accessed on 20 January 2023).
- Fan, S.; Liu, N.; Zhang, F. Analysis of the “Weekend Effect” characteristics and trend of air pollution in Urumqi. Xinjiang Environ. Prot. 2021, 43, 1–7. [Google Scholar]
- Diao, C. Monitoring and Exploration of Major Pollutant Characteristics in Atmospheric Particulate Matter of the Wu-Chang Region. Master’s Thesis, Xinjiang University, Urumqi, China, 2006. [Google Scholar]
- Esse, B.; Burton, M.; Hayer, C.; Contreras-Arratia, R.; Christopher, T.; Joseph, E.P.; Varnam, M.; Johnson, C. SO2 emissions during the 2021 eruption of La Soufrière, St Vincent, revealed with back-trajectory analysis of TROPOMI imagery. Geol. Soc. Lond. Spec. Publ. 2024, 539, 231–244. [Google Scholar] [CrossRef]
- Wang, Q.; Zhao, T.; Wang, R.; Zhang, L. Backward trajectory and multifractal analysis of air pollution in Zhengzhou Region of China. Math. Probl. Eng. 2022, 2022, 2226565. [Google Scholar] [CrossRef]
- Pongkiatkul, P.; Kim Oanh, N.T. Assessment of potential long-range transport of particulate air pollution using trajectory modeling and monitoring data. Atmos. Res. 2007, 85, 3–17. [Google Scholar] [CrossRef]
- Zeng, Y.; Hopke, P.K. A study of the sources of acid precipitation in Ontario, Canada. Atmos. Environ. 1989, 23, 1499–1509. [Google Scholar] [CrossRef]
- Seibert, P.; Kromp-Kolb, H.; Baltensperger, U.; Jost, D.T.; Schwikowski, M. Trajectory analysis of aerosol measurements at high alpine sites. In Transport and Transformation of Pollutants in the Troposphere; Springer: Berlin/Heidelberg, Germany, 1994; pp. 689–693. [Google Scholar]
- Hsu, Y.K.; Holsen, T.M.; Hopke, P.K. Comparison of hybrid receptor models to locate PCB sources in Chicago. Atmos. Environ. 2003, 37, 545–562. [Google Scholar] [CrossRef]
- Srivastava, S.; Kumar, A.; Bauddh, K.; Gautam, A.S.; Kumar, S. 21-day lockdown in India dramatically reduced air pollution indices in Lucknow and New Delhi, India. Bull. Environ. Contam. Toxicol. 2020, 105, 9–17. [Google Scholar] [CrossRef]
- Singh, R.P.; Chauhan, A. Impact of lockdown on air quality in India during COVID-19 pandemic. Air Qual. Atmos. Health. 2020, 13, 921–928. [Google Scholar] [CrossRef] [PubMed]
- Mercuri, E.G.F.; Bergami, I.; Noe, S.M.; Junninen, H.; Norbisrath, U. Prediction of particulate matter concentration in urban environment using Random Forest. In Proceedings of the 1st International Workshop on Advances in Environmental Sensing Systems for Smart Cities, Helsinki, Finland, 18 June 2023. [Google Scholar] [CrossRef]
- Yazdi, M.D.; Kuang, Z.; Dimakopoulou, K.; Barratt, B.; Suel, E.; Amini, H.; Lyapustin, A.; Katsouyanni, K.; Schwartz, J. Predicting fine particulate matter (PM2.5) in the greater London area: An ensemble approach using machine learning methods. Remote Sens. 2020, 12, 914. [Google Scholar] [CrossRef]
- Sun, M. Air Quality Influence Factors and Trend Forecasting in the Wujiaqu. Master’s Thesis, Shihezi University, Shihezi, China, 2016. [Google Scholar]
- Feng, H. Impact of epidemic prevention and control measures on atmospheric particulate concentration and distribution in Urumqi. Environ. Pollut. Control. 2021, 43, 606–610. [Google Scholar]
- Li, S.; Li, X.; Ayiken, M.; Zhong, Y.; Wang, H. Characteristics of air pollution and its polluted weather types of urban agglomeration on the north slope of the middle Tianshan Mountains from 2017 to 2019. Arid Land Geogr. 2022, 45, 1082–1092. [Google Scholar]
- Volckens, J.; Olson, D.A.; Hays, M.D. Spectral analysis of weekly variation in PM10 mass concentration and meteorological conditions over China. Atmos. Environ. 2008, 42, 655–666. [Google Scholar] [CrossRef]
- Gong, D.; Ho, C.; Chen, D.; Qian, Y.; Choi, Y.; Kim, J. Weekly cycle of aerosol-meteorology interaction over China. J. Geophys. Res. Atmos. 2007, 112, D22202. [Google Scholar] [CrossRef]
- Xinjiang Uygur Autonomous Region Department of Ecology and Environment. Ecological and Environmental Status Bulletin of Xinjiang Uygur Autonomous Region (2021); Xinjiang Uygur Autonomous Region Department of Ecology and Environment: Urumqi, China, 2021. [Google Scholar]
- Lei, Y.; Zhang, X.; Tang, Y.; Fan, G. Holiday effects on PM2.5 and other major pollutants in Beijing. Acta Sci. Circumstantiae 2015, 35, 1520–1528. [Google Scholar]
- Jiang, L.; Liu, Y.S.; Yang, Y.J. Spatial and temporal characteristics of PM2.5 and O3 pollution in Jiangxi Province from 2015 to 2023 and their relationship with meteorological elements. Environ. Sci. Res. 2025, 38, 460. [Google Scholar]
- Zhang, Z.Y.; Zhang, X.L.; Gong, D.Y.; Quan, W.J.; Zhao, X.J.; Ma, Z.Q.; Kim, S.J. Evolution of surface O3 and PM2.5 concentrations and their relationships with meteorological conditions over the last decade in Beijing. Atmos. Environ. 2015, 108, 67–75. [Google Scholar] [CrossRef]

















| City | The Daily Average Concentration Deviation of PM2.5 (%) | The Daily Average Concentration Deviation of PM10(%) |
|---|---|---|
| Urumqi | −1.26 | 4.27 |
| Changji Prefecture | −2.66 | 0.84 |
| Shihezi | −2.14 | −0.50 |
| Wujiaqu | −2.32 | 0.18 |
| Season | Clusters | The Number of All Trajectories | The Percentage of All Trajectories(%) | The Source Area of Air Masses | Mean Concentrations and Standard Deviation of PM2.5(μg·m−3) | Mean Concentrations and Standard Deviation of PM10(μg·m−3) |
|---|---|---|---|---|---|---|
| Spring | 1 | 2517 | 27.36% | Xinjiang, China northern | 32.21 ± 33.85 | 74.36 ± 59.89 |
| 2 | 2048 | 22.26% | Xinjiang, China eastern | 32.80 ± 33.08 | 83.24 ± 57.20 | |
| 3 | 1466 | 15.93% | Xinjiang, China western | 32.64 ± 29.05 | 77.38 ± 69.07 | |
| 4 | 1328 | 14.43% | Xinjiang, China northern | 19.68 ± 14.22 | 67.53 ± 85.71 | |
| 5 | 1225 | 13.32% | Xinjiang, China western | 24.05 ± 20.44 | 68.56 ± 78.82 | |
| 6 | 616 | 6.70% | Kazakhstan northeast | 25.57 ± 28.99 | 99.72 ± 194.79 | |
| Summer | 1 | 2276 | 24.74% | Xinjiang, China northern | 15.42 ± 6.42 | 47.65 ± 26.97 |
| 2 | 1888 | 20.52% | Xinjiang, China western | 13.31 ± 5.93 | 40.88 ± 29.52 | |
| 3 | 1623 | 17.64% | Xinjiang, China western | 14.64 ± 6.04 | 42.99 ± 26.80 | |
| 4 | 1494 | 16.24% | Xinjiang, China northern | 15.35 ± 6.06 | 43.74 ± 20.73 | |
| 5 | 970 | 10.54% | Xinjiang, China northeast | 15.87 ± 7.24 | 48.30 ± 27.39 | |
| 6 | 949 | 10.32% | Kazakhstan northeast | 14.98 ± 16.56 | 52.31 ± 109.49 | |
| Autumn | 1 | 3719 | 40.87% | Xinjiang, China northeast | 32.18 ± 20.81 | 77.83 ± 45.27 |
| 2 | 2487 | 27.33% | Xinjiang, China western | 33.18 ± 21.90 | 74.16 ± 46.39 | |
| 3 | 1695 | 18.63% | Xinjiang, China northern | 18.30 ± 10.79 | 52.71 ± 39.26 | |
| 4 | 1199 | 13.18% | Kazakhstan northeast | 25.21 ± 20.21 | 67.33 ± 74.86 | |
| Winter | 1 | 2526 | 27.99% | Xinjiang, China western | 104.1 ± 53.62 | 117.10 ± 66.57 |
| 2 | 2273 | 25.19% | Xinjiang, China Southern | 116.64 ± 58.50 | 132.77 ± 70.19 | |
| 3 | 1734 | 19.21% | Xinjiang, China Southern | 124.76 ± 60.04 | 147.82 ± 73.82 | |
| 4 | 1725 | 19.11% | Xinjiang, China northern | 90.65 ± 53.92 | 101.57 ± 67.30 | |
| 5 | 767 | 8.50% | Xinjiang, China western | 102.92 ± 64.35 | 107.64 ± 66.34 |
Disclaimer/Publisher’s Note: The statements, opinions and data contained in all publications are solely those of the individual author(s) and contributor(s) and not of MDPI and/or the editor(s). MDPI and/or the editor(s) disclaim responsibility for any injury to people or property resulting from any ideas, methods, instructions or products referred to in the content. |
© 2025 by the authors. Licensee MDPI, Basel, Switzerland. This article is an open access article distributed under the terms and conditions of the Creative Commons Attribution (CC BY) license (https://creativecommons.org/licenses/by/4.0/).
Share and Cite
Yan, J.; Abbas, A.; Palida, Y.; Sun, X.; Ma, Z. Atmospheric Particulate Matter Pollution in the “U-C-S” Urban Agglomeration: Spatio-Temporal Distribution and Source Analysis. Atmosphere 2025, 16, 1375. https://doi.org/10.3390/atmos16121375
Yan J, Abbas A, Palida Y, Sun X, Ma Z. Atmospheric Particulate Matter Pollution in the “U-C-S” Urban Agglomeration: Spatio-Temporal Distribution and Source Analysis. Atmosphere. 2025; 16(12):1375. https://doi.org/10.3390/atmos16121375
Chicago/Turabian StyleYan, Jinye, Alim Abbas, Yahefu Palida, Xuanxuan Sun, and Zhengquan Ma. 2025. "Atmospheric Particulate Matter Pollution in the “U-C-S” Urban Agglomeration: Spatio-Temporal Distribution and Source Analysis" Atmosphere 16, no. 12: 1375. https://doi.org/10.3390/atmos16121375
APA StyleYan, J., Abbas, A., Palida, Y., Sun, X., & Ma, Z. (2025). Atmospheric Particulate Matter Pollution in the “U-C-S” Urban Agglomeration: Spatio-Temporal Distribution and Source Analysis. Atmosphere, 16(12), 1375. https://doi.org/10.3390/atmos16121375
