Abstract
Urban parks play a crucial role in mitigating urban heat stress and maintaining ecological stability through their cold island effect (PCIE). However, studies examining how multidimensional urban morphology influences these effects, particularly from a diurnal perspective in island cities, remain limited. This study investigates 30 representative urban parks within a typical island city, exploring how two-dimensional and three-dimensional spatial morphological factors affect four key PCIE indicators: park cooling intensity (PCI), park cooling gradient (PCG), park cooling area (PCA) and park cooling efficiency (PCE) across different times of day and night. The results reveal that: (1) coastal zones exhibit significantly lower land surface temperature (LST) than inland zones, with peak LST occurring at 5:00 p.m.; (2) the four cold island indicators follow a diurnal pattern of 5:00 p.m. > 1:00 a.m. > 7:00 a.m.; (3) morphological construction factors—such as building density (BD) and built-up proportion (BP)—positively contribute to cooling effects at 7:00 a.m., while park perimeter (PP) enhances cooling performance at both 5:00 p.m. and 1:00 a.m. Additionally, vegetation characteristics surrounding parks, including the normalized difference vegetation index (NDVI) and green space proportion (GP), influence daytime cooling in directions opposite to those of the aforementioned construction-related factors. These findings offer valuable insights into the temporal dynamics and spatial determinants of urban park cooling in island cities, providing a scientific basis for scientifically informed park planning and contributing to healthier and more sustainable urban development.
1. Introduction
With the rapid advancement of the global economy and continuous population growth, urbanization has reached an unprecedented level. By 2023, the global urbanization rate had risen to 57%. While urbanization has brought about remarkable cultural progress and economic prosperity, it has also imposed tremendous pressure on urban ecological systems due to dramatic shifts in land use and increasing population density [,]. Industrialization has intensified environmental degradation, leading to worsening pollution of water bodies, soil, and air [,]. Traffic congestion has further contributed to air pollution through increased vehicular emissions [,]. The encroachment of natural land by built-up areas and the alteration of surface conditions have exacerbated global warming, giving rise to pressing issues such as the greenhouse effect and urban heat island (UHI) phenomena [,]. Studies have shown that UHI effects may reduce biodiversity in surrounding areas [] and compromise the stability and functioning of urban ecosystems [,]. The elevated summer temperatures caused by UHI effects significantly increase the incidence of cardiovascular diseases such as heart disease [], stroke [], and respiratory illnesses []. Particularly vulnerable are older adults suffering from chronic bronchitis [] and asthma, who experience heightened morbidity and mortality during heatwaves []. These findings highlight the growing severity of environmental pollution, climate change, and UHI effects associated with urbanization, posing serious threats to the quality of urban life [] and the sustainable development of cities [].
Urban green spaces play multifaceted roles in ecological [,], social [], and economic [] dimensions of city life. They are not only integral components of the urban ecosystem [] but also serve as essential venues for public recreation and well-being [,]. In particular, they are vital in mitigating UHI effects [,] and addressing environmental challenges, thereby contributing to the sustainable and healthy development of cities []. Numerous studies have shown that the cooling effectiveness of urban parks is influenced not only by their internal characteristics—such as spatial distribution, size [], landscape composition, and morphological factors [], but also by the surrounding urban environment [,]. With growing research attention, the impact of three-dimensional (3D) urban morphological factors, beyond conventional two-dimensional (2D) spatial factors, has gained increasing recognition []. The 3D spatial form of the built environment surrounding urban parks affects air accumulation and dispersion []. A well-structured 3D urban morphology can facilitate the formation of effective ventilation corridors, enhance airflow between urban interiors and peripheral areas, and ultimately improve the cooling performance of urban parks [,].
Despite significant progress in recent years, research on the cold island effect of urban parks still faces several limitations. First, most existing studies have focused on daytime UHI or urban parks cold island effect (PCIE). However, nighttime heat islands can be equally, if not more, severe due to diminished plant transpiration and the release of heat stored in built-up areas during the day. Studies have shown that urbanization intensifies both the magnitude and duration of nighttime UHI, with peak nighttime intensities in some cities reaching more than 1.5 times those observed during the day—particularly in high-density built environments []. Elevated nighttime temperatures have been found to exert more pronounced health impacts [] and significantly increase energy demands for cooling []. Moreover, nocturnal warming is a major driver of ecosystem functional changes, including reduced photosynthetic rates, lower net carbon uptake, and accelerated drought-induced vegetation mortality []. Currently, most urban heat mitigation strategies are developed based on daytime observations and may not be effective in addressing nocturnal heat stress []. This research gap is partly due to limitations in data availability. Land surface temperature (LST) derived from thermal remote sensing is a commonly used data source; however, Landsat imagery has a relatively long revisit cycle and lacks nighttime observations, which hinders the timely detection of short-term thermal variations and limits diurnal-scale analysis of PCIE []. The advent of the ECOSTRESS (ECOsystem Spaceborne Thermal Radiometer Experiment on Space Station) mission has overcome these limitations by providing high-resolution, temporally dynamic thermal observations at both day and night []. This enables the exploration of diurnal PCIE patterns and facilitates the identification of dynamic urban morphological drivers behind day-night variations in park cooling performance-critical for improving urban environmental quality, enhancing residents’ well-being, and promoting sustainable development in island cities. In addition, island cities possess distinctive spatial and climatic characteristics due to their geographic isolation and marine surroundings, which may result in unique patterns of urban morphology and UHI formation []. The constrained land availability and site-specific development pressures often necessitate higher building densities and floor area ratios than in most landlocked cities [,]. Such spatial constraints also pose greater challenges to the planning, construction, and maintenance of urban parks []. While previous studies have confirmed the significant influence of 3D urban morphology on park cooling effects [], investigations specifically focusing on both 2D and 3D morphological characteristics in island cities remain scarce. Given their unique geographic and environmental conditions, the cold island effect of urban parks in island cities may exhibit distinct behaviors [,]. Understanding these characteristics can provide valuable insights and comparative references for urban planning in other city types.
Based on the above considerations, this study selects Xiamen Island as the case study area to investigate how 2D and 3D urban morphological characteristics influence the diurnal PCIE. Specifically, this research aims to address the following scientific questions: (1) What are the diurnal variations in LST of urban parks in an island city? (2) What are the spatial and temporal characteristics of urban parks PCIE during day and night? (3) How do 2D and 3D urban morphological factors influence the diurnal PCIE of urban parks? This study elucidates the intrinsic relationship between urban spatial form and the park cool island effect. The results contribute to the theoretical foundation and offer valuable practical insights for urban park planning and design in Xiamen Island as well as in other island and coastal cities with analogous climatic contexts.
2. Study Materials and Methods
2.1. Study Sites
Xiamen is located between 24°23′–24°54′ N and 117°53′–118°26′ E (Figure 1) and is designated as a Special Economic Zone in China. The city has reached an urbanization rate of 89.41%. This study focuses on Xiamen Island, the core urban area of Xiamen, which is surrounded by the sea on all sides, with a total area of 158 km2 and a population of approximately 1.28 million. In 2023, Xiamen’s gross domestic product (GDP) reached 806.649 billion yuan, ranking it among China’s new first-tier cities. However, the rapid pace of urbanization has brought increasing challenges to the island’s ecological stability, such as climate change and environmental pollution, which have adversely affected the well-being of its residents [].

Figure 1.
The location of study area and the distribution of 30 urban parks.
As one of the few remaining natural land types within the urban fabric, urban parks play a critical role in enhancing the resilience and ecological stability of Xiamen island []. Therefore, understanding the mechanisms through which urban green spaces influence the surface urban heat island (SUHI) effect, and developing corresponding planning strategies for urban parks, is essential for leveraging their full potential in supporting sustainable development in island cities.
2.2. Data Sources and Processing
2.2.1. Urban Park Data and Selection Criteria
Urban park data were obtained from the Xiamen Green Space System Plan, which includes a total of 100 parks. The selection of study parks was based on criteria adapted from Yao []: (1) parks with an area larger than 1 hm2 were selected; (2) large green spaces exceeding 100 hm2 were excluded to avoid potential scale effects; (3) parks adjacent to extensive forests or large water bodies were also excluded to minimize external ecological influences. Based on these criteria, a total of 30 representative urban parks were selected for analysis.
2.2.2. LST Data and Analysis
The diurnal LST data used in this study were derived from the ECOSTRESS LST product, provided by NASA’s Land Processes Distributed Active Archive Center (LP DAAC) (https://lpdaac.usgs.gov/ (accessed on 4 May 2023)). To assess the cold island effects of urban parks, LST data for the summer months (June, July, and August) were selected as the primary data source. Specifically, three ECOSTRESS observations were used to represent different periods of the day: 7:00 a.m. in June 2020 (morning), 5:00 p.m. in August 2022 (afternoon), and 1:00 a.m. in July 2020 (nighttime). The fundamental climatological data pertinent to the three selected dates are provided in Table 1. To assess the typicality of the three selected dates (13 June 2020, 25 July 2020, and 11 August 2022) within a long-term climatic context, this study utilized daily meteorological data for Xiamen from the National Centers for Environmental Information (NCEI) under the National Oceanic and Atmospheric Administration (NOAA) (https://www.ncei.noaa.gov/ (accessed on 20 August 2023)). Daily temperature data for the months of June, July, and August from 2010 to 2020 were analyzed (mean = 28.86 °C, standard deviation = 1.91 °C). Using the Z-score normalization method, all three dates were identified as typical temperature days (|Z| < 1), indicating that they are representative of the region’s common warm-season thermal conditions. Furthermore, to mitigate the influence of daily variations in background air temperature, the acquired data were calibrated by referring to the adjustment method for ECOSTRESS LST employed by Lin []. The correction was performed using the land surface temperature product from the Copernicus Global Land Service (CGLS) (https://land.copernicus.eu/global/products/lst (accessed on 12 December 2023)), whereby the ECOSTRESS land surface temperature was calibrated by quantifying differences in surface temperature. The correction formula is as follows:
where represents the adjusted ECOSTRESS LST at the hour ; and represent the ECOSTRESS LST and GCLS LST derived at date and hour , respectively; and represent the average GCLS LST of the entire study period at hour .

Table 1.
Characteristics of urban background meteorological conditions.
2.2.3. Urban Morphological Data and Analysis
Urban morphological characteristics were extracted within a 700-m buffer zone surrounding each of the 30 selected parks. The primary data source was the Beijing City Lab (https://www.beijingcitylab.com/ (accessed on 13 September 2023)), which provides detailed datasets including block boundaries and building footprint information. To ensure data quality and consistency, the following filtering criteria were applied: (1) only blocks located within the defined park buffer zones were included; (2) blocks with an area smaller than 1 hectare were excluded []. Based on these datasets, a series of 2D and 3D urban morphological factors were derived—including mean building height, floor area ratio, building density, building fluctuation, and sky view factor—to characterize the urban morphology within each park’s buffer zone and to serve as key explanatory variables in subsequent analyses. The remotely sensed dataset used in this study was obtained from the Geospatial Data Cloud (http://www.gscloud.cn/ (accessed on 12 December 2023)), specifically Landsat 8 OLI/TRIS images with a 30-m spatial resolution. The dataset acquired on 25 July 2021 (Code: LC81190432021206LGN00) was selected to extract land use data and normalized indices.
2.3. Measuring the Park Cold Island Effects
To quantify the cold island effects of urban parks, a series of buffer zones were established around each park based on the spatial resolution of the ECOSTRESS LST data (70 m). Specifically, ten concentric buffer zones were generated at 70-m intervals, extending up to a distance of 700 m from each park boundary. A third-order polynomial regression model was then employed to fit the relationship between LST and distance from the park boundary. This approach enables the characterization and quantification of PCIE generated by each park. The formula is as follows:
where represents the distance from the park boundary to a given buffer zone, and denotes the corresponding LST value at distance .
Our study also identified instances where urban parks exhibited heat island effects, contrary to the expected cooling phenomenon, and a preliminary discussion of this observation is provided (Figure 2).

Figure 2.
Schematic of the cold island effect and heat island effect of an urban park.
Previous studies have demonstrated that the cold island effect of urban parks diminishes with increasing distance from the park boundary and eventually becomes negligible. This attenuation process typically exhibits several key inflection points, which form the basis for four critical indicators of cooling performance: park cooling area (PCA), park cooling intensity (PCI), park cooling gradient (PCG) and park cooling efficiency (PCE) [].
2.4. Factors Influencing the Park Cold Island Effect
Urban spatial morphology has been widely recognized as a key factor influencing SUHI effects. Based on prior studies [,,], we selected a set of morphological factors that have been empirically validated to affect SUHI performance. The 2D urban morphological factors include: park area (PA), park perimeter (PP), green space proportion (GP), water body proportion (WP), built-up proportion (BP), normalized difference vegetation index (NDVI), modified normalized difference water index (MNDWI), normalized difference built-up index (NDBI). The 3D morphological factors include: building density (BD), building height (BH), building fluctuation (BF), floor area ratio (FAR), sky view factor (SVF). Detailed definitions and descriptions of each factor are provided in Table 2.

Table 2.
Description and calculation of 2D and 3D urban structures.
2.5. Methods
2.5.1. Analysis of Variance
Analysis of variance (ANOVA) is a statistical method used to test the significance of differences among two or more sample means. It allows for the assessment of how different factors contribute to data variability and identifies which factors have statistically significant effects []. In this study, ANOVA was employed to investigate the temporal characteristics and differences in the PCIE of urban parks in the island city at three distinct summer time points (morning, afternoon, and nighttime), thereby revealing patterns of diurnal variation.
2.5.2. Correlation Analysis
To explore the relationship between urban spatial morphological factors and the diurnal PCIE of urban parks in island cities, Pearson correlation analysis was conducted between 13 selected 2D and 3D morphological factors and four PCIE indicators. This analysis aimed to determine whether specific spatial factors are significantly associated with urban green space cooling performance, thereby contributing to the understanding of how spatial morphology influences PCIE.
2.5.3. Stepwise Multiple Regression Analysis
Stepwise multiple regression is a statistical method used to construct the most parsimonious and explanatory linear regression model by iteratively selecting significant predictor variables. In this study, stepwise regression was employed to identify and retain the most influential urban morphological factors affecting PCIE of urban green spaces. By applying this method to each of the three time points, the study aimed to determine the dominant spatial variables driving the cold island effect during different periods of the day and to further elucidate the mechanisms by which urban morphology regulates the performance of urban parks in mitigating heat.
3. Results
3.1. Diurnal Spatial Variation Characteristic of LSTs
As shown in Table 3 and Figure 3, the mean LST at 5:00 p.m. (32.95 °C) was significantly higher than at the other two time points. The mean LST at 7:00 a.m. (29.02 °C) was slightly higher than that at 1:00 a.m. (28.29 °C), with both values relatively close. Regarding variability, the standard deviation of LST at 5:00 p.m. was notably larger, indicating greater spatial dispersion of park surface temperatures during the afternoon.

Table 3.
Mean and standard deviation of LST in urban parks in Xiamen.

Figure 3.
Diurnal LST of Urban parks.
Figure 4 further illustrates that the spatial distribution of LST in the island city exhibited clear diurnal differences, with temperature ranges ordered as follows: afternoon (26.57–40.43 °C) > morning (24.87–33.31 °C) > nighttime (23.81–31.95 °C). From a spatial perspective, the southeastern area consistently displayed lower LST values compared to the northwestern area. This can be attributed to the extensive forest coverage in the southeast, whereas the central and northwestern zones are densely urbanized, contributing to higher surface temperatures. Notably, at 1:00 a.m., the central and northwestern regions exhibited markedly elevated LST levels compared to other areas, which may suggest insufficient nighttime cold island effect provided by urban parks in these zones.

Figure 4.
Diurnal spatial distribution of LST in (a) 7 a.m., (b) 5 p.m., (c) 1 a.m.
3.2. Diurnal Characteristics of PCIE
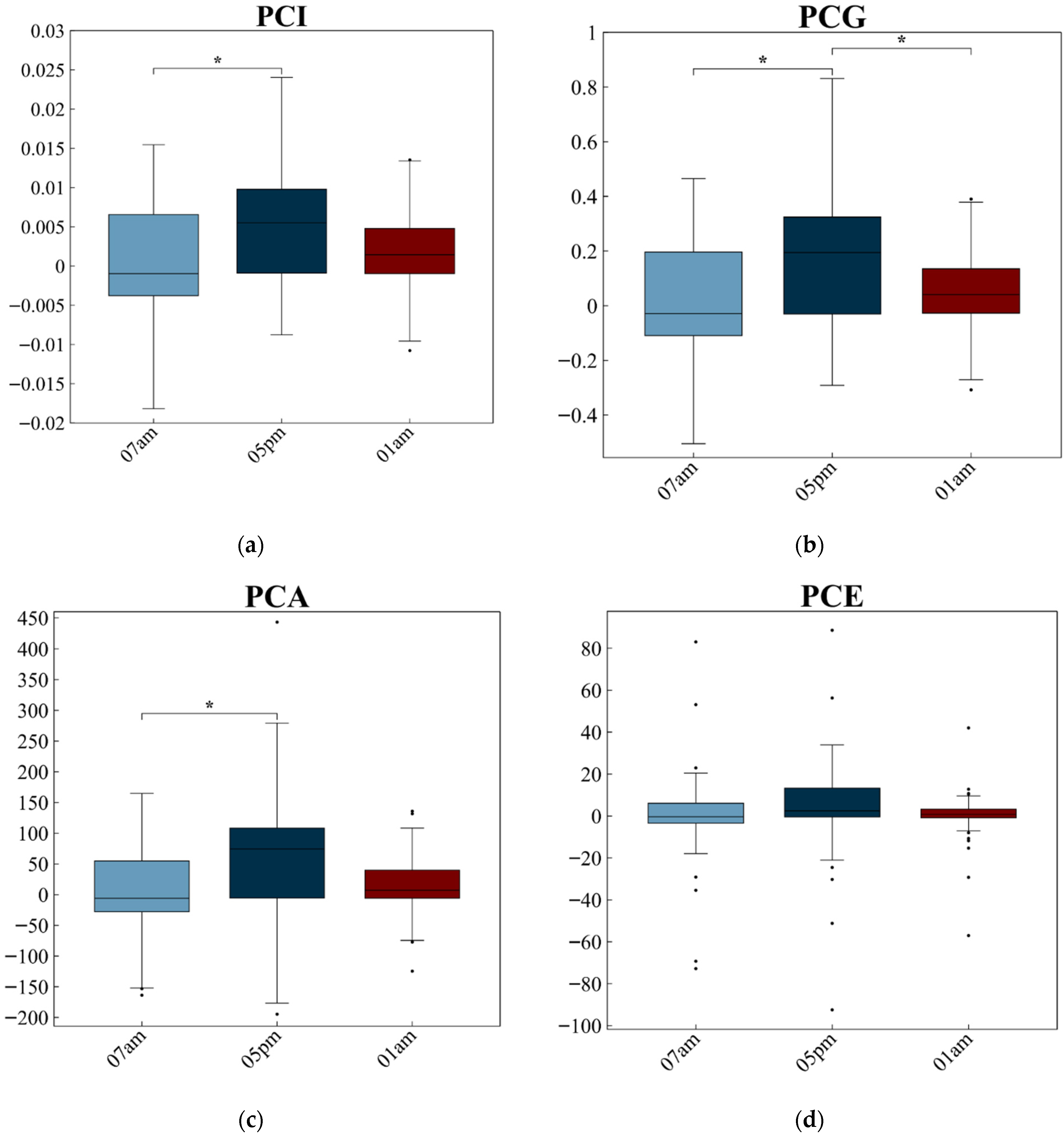
As shown in Figure 5, the cooling performance of urban parks in the island city varies across different times of the day. All four cooling indicators exhibit a temporal trend of first increasing and then decreasing, with the strongest effects observed at 5:00 p.m., followed by 1:00 a.m., while the weakest performance occurs at 7:00 a.m. Significant differences in PCI, PCG, and PCA were observed between 7:00 a.m. and 5:00 p.m. Moreover, PCG also differed between 5:00 p.m. and 1:00 a.m. In contrast, PCE did not show significant variation across the three time points. Overall, urban parks in the island city demonstrated a certain degree of cooling capacity throughout the day. However, it is noteworthy that the mean PCE values at 7:00 a.m. and 1:00 a.m. were negative (−0.98 and −0.87, respectively), indicating that the cooling efficiency of urban parks during early morning and nighttime periods remains suboptimal and requires further improvement.

Figure 5.
Diurnal variations in the (a) park cooling intensity (PCI), (b) park cooling gradient (PCG), (c) park cooling area (PCA), (d) park cooling efficiency (PCE). Note: The * indicating a significant difference in intergroup variance.
3.3. Relationship Between PCIE and Urban Morphology
Figure 6 illustrates the varying associations between 2D/3D spatial morphological factors and PCIE at different times of the day. Specifically, at 7:00 a.m., significant correlations were observed between the four cooling indicators and several 2D factors, including GP, BP, NDVI and NDBI. In addition, the 3D factor of BD also showed similar correlations. Moreover, PCI, PCG and PCA at this time were also associated with MNDWI. At 5:00 p.m. and 1:00 a.m., similar morphological factors were correlated with PCI, PCG and PCA, particularly PP and PA, suggesting that intrinsic characteristics of the parks themselves play a key role in determining cooling performance during these periods. Notably, at 5:00 p.m., PCE was found to be associated with both GP and SVF, indicating a combined influence of both 2D and 3D morphological factors on cooling efficiency during the afternoon period.

Figure 6.
Correlation analysis between diurnal PCIE indicators and urban 2D/3D spatial morphology. Notes: * and ** represent p < 0.05 and p < 0.01 in the significance test, respectively.
3.4. Diurnal Variations of the Driving Factors of LST
Figure 7 reveals both similarities and differences in the factors influencing PCIE across different time periods. Specifically, at 7:00 a.m., BD exhibited a strong and positive impact on PCI, PCG and PCA, suggesting that this 3D morphological factor is particularly critical for enhancing morning cooling performance. Additionally, MNDWI also contributed positively to PCI at this time. In contrast, GP was found to negatively affect PCA, indicating a suppressive effect. BP was the sole significant predictor of PCE at 7:00 a.m., with a positive effect, highlighting the importance of construction-related factors in improving cooling efficiency during the early morning. Excluding PCE, PP emerged as the primary predictor of PCI, PCG, and PCA at both 5:00 p.m. and 1:00 a.m., showing a consistent positive effect. This underscores the importance of intrinsic park characteristics in enhancing the cold island effect during the afternoon and nighttime periods. At 5:00 p.m., PCA was also positively influenced by BP and NDVI, indicating the additional contribution of built-up intensity and vegetation coverage to cooling performance. Regarding PCE at 5:00 p.m., both GP and NDVI were identified as key influencing factors; however, they exhibited opposite effects. While NDVI enhanced cooling efficiency, an increase in GP was associated with a reduction in efficiency. This suggests that factors in the park buffer zone also play a critical role and deserve further attention.

Figure 7.
Standardized coefficients of 2D and 3D morphological factors influencing PCIE indicators across different times of day.
4. Discussion
4.1. Differential Characteristics of PCIE in Island City
This study examined the temporal and spatial variations in LST and PCIE of urban parks in an island city across different times of day. The comparison of LST values revealed a temporal pattern of increase followed by decrease, with temperatures peaking at 5:00 p.m., followed by 7:00 a.m. and 1:00 a.m. This trend is largely consistent with those reported in other urban settings [,]. In terms of diurnal spatial distribution, the LST dynamics in island city exhibit both similarities to and differences from those in inland city. A similarity lies in the observation that areas with extensive green coverage maintain lower surface temperatures []. Likewise, the southeastern coastal zones showed lower LST, a finding aligned with previous studies indicating that seawater—due to its higher specific heat capacity—can absorb and store more heat during the day []. Moreover, sea breezes, which transport cooler marine air inland, further contribute to temperature reduction, corroborating findings by Zhou [] on the role of coastal winds in mitigating UHI effects in coastal regions. However, it is noteworthy that nighttime LST levels increased significantly in the northwestern and central areas, with some urban parks themselves becoming local “heat islands” instead of cooling sources. This phenomenon may be attributed to the distance of these regions from the coastline, reducing their exposure to marine cooling influences [], and making them more susceptible to intensified UHI effects. Zhou [] also reported that sea breezes often fail to penetrate deep into city centers, thus limiting their cold island effect to coastal zones. Overall, the results of this study highlight the significant role of marine influences in shaping the spatial characteristics of heat mitigation in island cities, leading to patterns that differ markedly from those in inland urban environments.
The analysis of urban park cooling performance across different times of day further confirmed that, overall, parks in island cities contribute to temperature reduction throughout the day (with the exception of negative PCE values at 7:00 a.m. and 1:00 a.m.). This can be attributed to the nature of underlying surfaces in urban parks—typically composed of water bodies and vegetation—which enables them to maintain lower surface temperatures through mechanisms such as increased evapotranspiration, intensified thermal gradients, atmospheric convection, the formation of inversion layers, and enhanced moisture flux under stronger solar radiation [,]. These findings are consistent with previous studies suggesting that urban parks in island environments generally exhibit pronounced PCIE across most zones []. Interestingly, our study observed negative PCE values during early morning and nighttime periods, which may be attributed to the unique thermal behavior of island cities. Although the ocean contributes to cooling during the daytime via its high heat capacity and the ventilation effect of sea breezes, during the night and early morning, stored heat from water bodies is slowly released and transferred inland []. Meanwhile, reduced solar radiation at these times leads to weakened shading and transpiration from vegetation [], further diminishing cooling capacity. Consistent with previous findings, all four cooling indicators exhibited stronger performance during the daytime compared to nighttime, highlighting the significant potential of urban parks to reduce thermal loads during the day. This phenomenon is closely associated with variations in solar radiation intensity and ambient temperature [].
4.2. Mechanisms by Which Urban Morphology Influences the PCIE of Parks in Island City
The temporal variability of temperature leads to differences in the dominant influencing factors across different times of day []. This study examined how varying urban morphological characteristics affect PCIE of parks in island cities at three distinct time points over a diurnal cycle.
Specifically, in the early morning (7:00 a.m.), an increase in BD around urban parks enhanced their PCIE. This can be attributed to higher BD impeding the formation of urban ventilation corridors, while densely built environments trap heat within blocks and inhibit heat dissipation [], thereby intensifying local thermal gradients and accentuating the cooling role of parks. Shen et al. also found that high BD in Xiamen significantly weakens the cooling influence of the ocean, suppressing the effectiveness of sea breezes in island cities []. While Wei et al. reported that MNDWI around parks in Beijing was significantly correlated with PCA in the afternoon [], our findings reveal a positive association between MNDWI and PCI in the early morning, indicating differences in cold island mechanisms between island and inland cities. Additionally, BP around parks showed a consistent positive effect on PCE during the morning period, suggesting that multidimensional morphological factors of the built environment play a critical role in regulating morning cooling efficiency. One possible explanation is that areas with higher built-up intensity tend to form heat islands, while parks—due to their vegetation and water bodies—maintain cooler microclimates. This thermal contrast enhances air movement, causing cool air from the park to flow outward and promote heat exchange, thereby amplifying PCIE [].
Excluding PCE, PP emerged as a major driver of cold island effects at 5:00 p.m. and 1:00 a.m., consistent with previous findings [,]. This study further highlights the relative importance of PP at a finer spatial scale during these periods, whereas no such influence was observed in the early morning. NDVI around parks also contributed positively to PCA and PCE at 5:00 p.m. Although Wang et al. (2018) indicated that vegetation cooling peaks between 11:00 a.m. and 1:00 p.m., our results demonstrate that NDVI still plays a significant role in the late afternoon []. Interestingly, GP showed a negative effect on park cooling performance during the day—specifically, on PCA at 7:00 a.m. and PCE at 5:00 p.m. While evapotranspiration from green spaces generally enhances cooling [], a high level of surrounding green coverage may reduce the relative thermal contrast between the park and its surroundings, thereby diminishing or even offsetting the park’s cold island effect. This highlights the importance of considering the qualitative characteristics of green spaces when enhancing cold island performance. In the context of island cities, merely increasing the quantity of surrounding green areas may not be beneficial; instead, maintaining vegetation health and functionality in the surrounding environment may offer a more effective strategy.
Overall, this study underscores the temporal dynamics in the influence of urban morphological factors on park cold island effects. To achieve optimal cooling outcomes at different times of day, planning and design strategies should be tailored to specific morphological dimensions. These findings further support the importance of accounting for multidimensional urban morphological characteristics when evaluating and enhancing PCIE of urban parks across diurnal timescales.
4.3. Planning Strategies for Urban Parks in Island Cities
Our findings reveal that PCIE of urban parks in island cities differ significantly from those in inland cities. Island parks are more susceptible to the influence of surrounding marine environments and sea breezes, resulting in distinct cooling behaviors compared to their inland counterparts []. Moreover, PCIE exhibits notable diurnal variability. Strategies solely aimed at mitigating daytime urban heat islands may be insufficient to address nighttime thermal stress []. Therefore, it is essential to develop comprehensive optimization strategies for urban parks in island cities from the perspective of diurnal variation.
First, the spatial distribution of urban parks in island cities should be strategically planned. Areas located farther from the coastline—such as the northwestern and central regions of Xiamen—experience more pronounced heat island effects. Enhancing the cold island performance in these zones can be achieved by increasing park coverage or modifying existing park factors. Second, placing parks in areas of high development intensity and building density can enhance their daytime cooling performance. In other words, it may be beneficial for island cities to moderately increase the development density near parks to amplify thermal gradients and improve cooling efficiency. Compared to park area, park perimeter appears to play a more significant role in enhancing cold island effects. In densely built urban centers of island cities, expanding park area may be constrained. Therefore, it is recommended to optimize the shape of parks—without altering their total area—by increasing shape complexity to extend perimeter length. This approach can strengthen the cold island effect during the evening and nighttime under current land use constraints. For instance, linear parks may serve as an effective design strategy in island contexts. Due to their elongated form, linear parks are better positioned to guide wind flow and create continuous cooling corridors, facilitating the movement of cool air from the park to surrounding areas and thereby enhancing PCIE []. Furthermore, greater attention should be given to the vegetation health around island parks. Effective maintenance and ecological management can help sustain vegetation performance, which contributes to greater park cooling area and efficiency. However, excessive green coverage surrounding urban parks should also be avoided. As observed in this study, high levels of surrounding green space may reduce temperature contrasts and suppress daytime cooling areas. Thus, the design of vegetation layout and building density should be carefully balanced during the planning process.
In summary, these results underscore the need for diurnally tailored strategies in the design and planning of urban parks in island cities. By integrating the two-dimensional and three-dimensional spatial morphological characteristics of both the parks and their surrounding buffer zones, urban planners can more effectively enhance cooling performance and mitigate urban heat island effects.
4.4. Limitations and Prospects
In this study, we utilized the ECOSTRESS LST product to investigate the influence of urban morphological characteristics on the summer PCIE of urban parks in an island city. The findings offer meaningful insights and practical references for the planning and management of urban parks in island environments. However, several limitations should be acknowledged. First, the three LST datasets used to represent different times of day were not collected on the same calendar day. Although all datasets were from the summer season, the lack of temporally synchronized observations may introduce uncertainties into the analysis. Future studies could benefit from using higher-resolution LST products with consistent acquisition times across the diurnal cycle to reduce potential errors and improve the accuracy of temporal comparisons. Second, while our park selection criteria intentionally excluded large green spaces and water bodies, the influence of such factors within the broader buffer zones could not be entirely eliminated. This may have introduced external cold island effects that influenced the observed results. Future research could incorporate distance-to-coastline gradients and conduct a more detailed comparison between urban block-level heat island effects and park-level PCIE. Such an approach would enable a more comprehensive understanding of both thermal intensification and mitigation mechanisms in island cities. Furthermore, a comparative analysis of how the urban park cool island effect and its driving mechanisms vary across different climate zones and island scales constitutes an essential area for future research.
5. Conclusions
This study investigated the spatial and temporal characteristics of LST, the diurnal variation of four PCIE indicators (PCI, PCG, PCA, and PCE), and the influence of 2D and 3D urban morphological factors on these indicators in an island city, from a diurnal perspective. The results revealed significant spatiotemporal differences in LST across different times of day. LST peaked at 5:00 p.m., and the southeastern region—adjacent to coastal areas—exhibited significantly lower LST compared to the northwestern region. The four cooling indicators of urban parks followed a consistent diurnal pattern of 5:00 p.m. > 1:00 a.m. > 7:00 a.m., with PCI, PCG, and PCA showing substantial differences between 7:00 a.m. and 5:00 p.m. The analysis of urban morphological influences on park cooling performance showed both similarities and differences across time periods. Multidimensional built environment factors, such as BD and BP, had a positive effect on cooling efficiency at 7:00 a.m., as did MNDWI. PP significantly contributed to cold island effects at both 5:00 p.m. and 1:00 a.m. In addition, vegetation-related factors exhibited contrasting effects during daytime: NDVI had a positive influence, while GP showed a negative correlation with cooling performance. Based on the findings above, this study proposes planning strategies to enhance the cool island effect of urban parks in island cities. In terms of spatial layout, priority should be given to establishing new parks or optimizing existing ones in inland areas with significant heat island effects, such as the northwestern region identified in this study, to specifically alleviate local thermal stress. Meanwhile, moderately increasing building density and development intensity around parks can effectively enhance their daytime cooling performance, achieving a synergy between built environments and ecological functions. In park morphology design, optimizing park shape and increasing boundary complexity represent more cost-effective strategies than simply expanding park area. Particularly in built-up areas, promoting linear parks and similar forms can significantly improve cooling capacity during the evening and nighttime. Furthermore, it is essential to precisely manage the structure and composition of vegetation around parks, including enhancing vegetation health while carefully controlling the proportion of green space. The results of this study provide a scientific basis and technical support for park planning in Xiamen and other island or coastal cities with similar climatic conditions, thereby effectively mitigating the urban heat island effect and promoting sustainable and climate-resilient urban development.
Author Contributions
Conceptualization, J.W. and X.X.; methodology, J.W., Y.W., J.L., Z.Z., W.F., G.D. and X.X.; software, J.W., Y.W., J.L. and Z.Z.; validation, J.W., Y.W., J.L. and W.F.; formal analysis, J.W., Y.W., J.L. and G.D.; investigation, J.W., Y.W., J.L., Z.Z., W.F., G.D. and X.X.; resources, J.W., Z.Z., G.D. and X.X.; data curation, J.W., Y.W., J.L., W.F. and Z.Z.; writing—original draft preparation, J.W., Y.W. and X.X.; writing—review and editing, J.W. and X.X.; visualization, J.W., Y.W., J.L., Z.Z., W.F., G.D. and X.X.; supervision, J.W., G.D. and X.X.; project administration, J.W., W.F. and X.X.; funding acquisition, J.W., Z.Z. and X.X.; All authors have read and agreed to the published version of the manuscript.
Funding
The work reported here was supported by grants from National Natural Science Foundation of China, grant number 32301648; Natural Science Foundation of Fujian Province, grant number 2022J05194.
Institutional Review Board Statement
Not applicable.
Informed Consent Statement
Not applicable.
Data Availability Statement
The data used to support the findings of this study are available from the corresponding author upon request.
Conflicts of Interest
The authors declare no conflict of interest.
References
- Warsame, A.A.; Abdi, A.H.; Amir, A.Y.; Azman-Saini, W.N.W. Towards sustainable environment in Somalia: The role of conflicts, urbanization, and globalization on environmental degradation and emissions. J. Clean. Prod. 2023, 406, 136856. [Google Scholar] [CrossRef]
- Wen, J.; Mughal, N.; Zhao, J.; Shabbir, M.S.; Niedbała, G.; Jain, V.; Anwar, A. Does globalization matter for environmental degradation? Nexus among energy consumption, economic growth, and carbon dioxide emission. Energy Policy 2021, 153, 112230. [Google Scholar] [CrossRef]
- Rahman, M.M.; Alam, K. Impact of industrialization and non-renewable energy on environmental pollution in Australia: Do renewable energy and financial development play a mitigating role? Renew. Energy 2022, 195, 203–213. [Google Scholar] [CrossRef]
- Zheng, S.; Wang, R.; Mak, T.M.W.; Hsu, S.C.; Tsang, D.C.W. How energy service companies moderate the impact of industrialization and urbanization on carbon emissions in China? Sci. Total Environ. 2021, 751, 141610. [Google Scholar] [CrossRef]
- Anenberg, S.C.; Miller, J.; Henze, D.K.; Minjares, R.; Achakulwisut, P. The global burden of transportation tailpipe emissions on air pollution-related mortality in 2010 and 2015. Environ. Res. Lett. 2019, 14, 94012. [Google Scholar] [CrossRef]
- Doğan Güzel, T.; Alp, K. The effects of technological developments in transportation vehicles on air pollution mitigation of metropolitan cities: A case study of Istanbul. Sci. Total Environ. 2024, 912, 168996. [Google Scholar] [CrossRef] [PubMed]
- Hashim, B.M.; Al Maliki, A.; Sultan, M.A.; Shahid, S.; Yaseen, Z.M. Effect of land use land cover changes on land surface temperature during 1984–2020: A case study of Baghdad city using landsat image. Nat. Hazards 2022, 112, 1223–1246. [Google Scholar] [CrossRef]
- He, T.; Wang, N.; Chen, J.; Wu, F.; Xu, X.; Liu, L.; Han, D.; Sun, Z.; Lu, Y.; Hao, Y.; et al. Direct and indirect impacts of land use/cover change on urban heat environment: A 15-year panel data study across 365 Chinese cities during summer daytime and nighttime. Landsc. Ecol. 2024, 39, 67. [Google Scholar] [CrossRef]
- De Pauw, K.; Depauw, L.; Cousins, S.A.O.; De Lombaerde, E.; Diekmann, M.; Frey, D.; Kwietniowska, K.; Lenoir, J.; Meeussen, C.; Orczewska, A.; et al. The urban heat island accelerates litter decomposition through microclimatic warming in temperate urban forests. Urban Ecosyst. 2024, 27, 909–926. [Google Scholar] [CrossRef]
- Wang, J.; Xiang, Z.; Wang, W.; Chang, W.; Wang, Y. Impacts of strengthened warming by urban heat island on carbon sequestration of urban ecosystems in a subtropical city of China. Urban Ecosyst. 2021, 24, 1165–1177. [Google Scholar] [CrossRef]
- Aznarez, C.; Kumar, S.; Marquez-Torres, A.; Pascual, U.; Baró, F. Ecosystem service mismatches evidence inequalities in urban heat vulnerability. Sci. Total Environ. 2024, 922, 171215. [Google Scholar] [CrossRef]
- Li, T.; Horton, R.M.; Bader, D.A.; Liu, F.; Sun, Q.; Kinney, P.L. Long-term projections of temperature-related mortality risks for ischemic stroke, hemorrhagic stroke, and acute ischemic heart disease under changing climate in Beijing, China. Environ. Int. 2018, 112, 1–9. [Google Scholar] [CrossRef] [PubMed]
- Royé, D.; Zarrabeitia, M.T.; Riancho, J.; Santurtún, A. A time series analysis of the relationship between apparent temperature, air pollutants and ischemic stroke in Madrid, Spain. Environ. Res. 2019, 173, 349–358. [Google Scholar] [CrossRef]
- Guo, H.; Du, P.; Zhang, H.; Zhou, Z.; Zhao, M.; Wang, J.; Shi, X.; Lin, J.; Lan, Y.; Xiao, X.; et al. Time series study on the effects of daily average temperature on the mortality from respiratory diseases and circulatory diseases: A case study in Mianyang City. BMC Public Health 2022, 22, 1001. [Google Scholar] [CrossRef]
- Scheerens, C.; Nurhussien, L.; Aglan, A.; Synn, A.J.; Coull, B.A.; Koutrakis, P.; Rice, M.B. The impact of personal and outdoor temperature exposure during cold and warm seasons on lung function and respiratory symptoms in COPD. ERJ Open Res. 2022, 8, 574–2021. [Google Scholar] [CrossRef] [PubMed]
- Xu, Q.; Zhou, Q.; Chen, J.; Li, T.; Ma, J.; Du, R.; Su, M.; Li, J.; Xu, M.; Sun, S.; et al. The incidence of asthma attributable to temperature variability: An ecological study based on 1990–2019 GBD data. Sci. Total Environ. 2023, 904, 166726. [Google Scholar] [CrossRef] [PubMed]
- Friedman, E.; Solecki, W.; Troxler, T.G.; Paganini, Z. Linking quality of life and climate change adaptation through the use of the macro-adaptation resilience toolkit. Clim. Risk Manag. 2023, 39, 100485. [Google Scholar] [CrossRef]
- Sebestyén, V.; Dörgȍ, G.; Ipkovich, Á.; János, A. Identifying the links among urban climate hazards, mitigation and adaptation actions and sustainability for future resilient cities. Urban Clim. 2023, 49, 101557. [Google Scholar] [CrossRef]
- Liu, O.Y.; Russo, A. Assessing the contribution of urban green spaces in green infrastructure strategy planning for urban ecosystem conditions and services. Sustain. Cities Soc. 2021, 68, 102772. [Google Scholar] [CrossRef]
- Ronchi, S.; Arcidiacono, A.; Pogliani, L. Integrating green infrastructure into spatial planning regulations to improve the performance of urban ecosystems. Insights from an Italian case study. Sustain. Cities Soc. 2020, 53, 101907. [Google Scholar] [CrossRef]
- Huang, R.; Liu, Y.; Liang, S.; Si, J.; Di, S.; Cai, M.; Hu, S.; Hao, C.; Zhao, Z. Social Value of Urban Green Space Based on Visitors’ Perceptions: The Case of the Summer Palace, Beijing, China. Forests 2023, 14, 2192. [Google Scholar] [CrossRef]
- Nasri Roodsari, E.; Hoseini, P. An assessment of the correlation between urban green space supply and socio-economic disparities of Tehran districts—Iran. Environ. Dev. Sustain. 2022, 24, 12867–12882. [Google Scholar] [CrossRef]
- Costadone, L.; Lai, T.; Hurskainen, P.; Kopperoinen, L. Co-creating urban ecosystem accounting: Physical and monetary accounts of runoff retention service provided by urban green spaces. Ecosyst. Serv. 2024, 65, 101576. [Google Scholar] [CrossRef]
- Kim, H.; Shoji, Y.; Tsuge, T.; Aikoh, T.; Kuriyama, K. Understanding recreation demands and visitor characteristics of urban green spaces: A use of the zero-inflated negative binomial model. Urban For. Urban Green. 2021, 65, 127332. [Google Scholar] [CrossRef]
- Zhu, Z.; Li, J.; Chen, Z. Green space equity: Spatial distribution of urban green spaces and correlation with urbanization in Xiamen, China. Environ. Dev. Sustain. 2022, 25, 423–443. [Google Scholar] [CrossRef]
- Zhang, Y.; Murray, A.T.; Turner, B.L. Optimizing green space locations to reduce daytime and nighttime urban heat island effects in Phoenix, Arizona. Landsc. Urban Plan. 2017, 165, 162–171. [Google Scholar] [CrossRef]
- Wang, J.; Zhou, W. More urban greenspace, lower temperature? Moving beyond net change in greenspace. Agric. For. Meteorol. 2022, 322, 109021. [Google Scholar] [CrossRef]
- Fu, J.; Fu, H.; Zhu, C.; Sun, Y.; Cao, H. Assessing the health risk impacts of urban green spaces on air pollution—Evidence from 31 China’s provinces. Ecol. Indic. 2024, 159, 111725. [Google Scholar] [CrossRef]
- Zhang, Y.; Wang, Y.; Ding, N.; Yang, X. Assessing the Contributions of Urban Green Space Indices and Spatial Structure in Mitigating Urban Thermal Environment. Remote Sens. 2023, 15, 2414. [Google Scholar] [CrossRef]
- Yao, X.; Yu, K.; Zeng, X.; Lin, Y.; Ye, B.; Shen, X.; Liu, J. How can urban parks be planned to mitigate urban heat island effect in “Furnace cities”? An accumulation perspective. J. Clean. Prod. 2022, 330, 129852. [Google Scholar] [CrossRef]
- Gangwisch, M.; Saha, S.; Matzarakis, A. Spatial neighborhood analysis linking urban morphology and green infrastructure to atmospheric conditions in Karlsruhe, Germany. Urban Clim. 2023, 51, 101624. [Google Scholar] [CrossRef]
- Baszkiewicz, E.; Wolff, M.; Andersson, E.; Kronenberg, J.; Barton, D.; Haase, D.; Kronenberg, J.; Barton, D.; Haase, D.; Langemeyer, J.; et al. Greenery in urban morphology: A comparative analysis of differences in urban green space accessibility for various urban structures across European cities. Ecol. Soc. 2022, 27, 22. [Google Scholar] [CrossRef]
- Yao, X.; Zhu, Z.; Zhou, X.; Shen, Y.; Shen, X.; Xu, Z. Investigating the effects of urban morphological factors on seasonal land surface temperature in a “Furnace city” from a block perspective. Sustain. Cities Soc. 2022, 86, 104165. [Google Scholar] [CrossRef]
- Zhao, Q.; Li, R.; Cao, K.; Yi, M.; Liu, H. Influence of building spatial patterns on wind environment and air pollution dispersion inside an industrial park based on CFD simulation. Environ. Monit. Assess. 2024, 196, 427. [Google Scholar] [CrossRef]
- Liu, X.; Huang, B.; Li, R.; Zhang, J.; Gou, Q.; Zhou, T.; Huang, Z. Wind environment assessment and planning of urban natural ventilation corridors using GIS: Shenzhen as a case study. Urban Clim. 2022, 42, 101091. [Google Scholar] [CrossRef]
- Guo, A.; Yue, W.; Yang, J.; Li, M.; Xie, P.; He, T.; Zhang, M.; Yu, H. Quantifying the impact of urban ventilation corridors on thermal environment in Chinese megacities. Ecol. Indic. 2023, 156, 111072. [Google Scholar] [CrossRef]
- Shi, Z.; Xu, X.; Jia, G. Urbanization magnified nighttime heat waves in China. Geophys. Res. Lett. 2021, 48, e2021GL093603. [Google Scholar] [CrossRef]
- Wang, J.; Feng, J.; Yan, Z.; Chen, Y. Future Risks of Unprecedented Compound Heat Waves Over Three Vast Urban Agglomerations in China. Earth’s Future 2020, 8, e2020EF001716. [Google Scholar] [CrossRef]
- Santamouris, M.; Cartalis, C.; Synnefa, A.; Kolokotsa, D. On the impact of urban heat island and global warming on the power demand and electricity consumption of buildings—A review. Energy Build. 2015, 98, 119–124. [Google Scholar] [CrossRef]
- Du, Y.; Cui, E.; Tang, S.; Huang, K.; Xia, J. Widespread negative impact of daytime warming on vegetation productivity. One Earth 2025, 8, 101284. [Google Scholar] [CrossRef]
- Yuan, B.; Zhou, L.; Hu, F.; Zhang, Q. Diurnal dynamics of heat exposure in Xi’an: A perspective from local climate zone. Build. Environ. 2022, 222, 109400. [Google Scholar] [CrossRef]
- Wu, J.; Lin, L.; Li, T.; Cheng, Q.; Zhang, C.; Shen, H. Fusing Landsat 8 and Sentinel-2 data for 10-m dense time-series imagery using a degrada-tion-term constrained deep network. Int. J. Appl. Earth Obs. Geoinf. 2022, 108, 102738. [Google Scholar]
- Fisher, J.B.; Lee, B.; Puray, A.J.; Halverson, G.H.; Dohlen, M.B.; Nicholson, K.; Wang, A.; Anderson, R.G.; Aragon, B.; Arain, M.A.; et al. ECOSTRESS: NASA’s Next Generation Mission to Measure Evapotranspiration From the International Space Station. Water Resour. Res. 2020, 56, e2019WR026058. [Google Scholar] [CrossRef]
- Shen, Y.; Zhang, Q.; Liu, Q.; Huang, M.; Yao, X.; Jiang, K.; Ke, M.; Ren, Y.; Zhu, Z. The impact of urban spatial forms on marine cooling effects in mainland and island regions: A case study of Xiamen, China. Sustain. Cities Soc. 2025, 121, 106210. [Google Scholar] [CrossRef]
- Zhu, Z.; Shen, Y.; Fu, W.; Zheng, D.; Huang, P.; Li, J.; Lan, Y.; Chen, Z.; Liu, Q.; Xu, X.; et al. How does 2D and 3D of urban morphology affect the seasonal land surface temperature in Island City? A block-scale perspective. Ecol. Indic. 2023, 150, 110221. [Google Scholar] [CrossRef]
- Wu, Y.; Zhang, T.; Zhang, H.; Pan, T.; Ni, X.; Grydehøj, A.; Zhang, J. Factors influencing the ecological security of island cities: A neighborhood-scale study of Zhoushan Island, China. Sustain. Cities Soc. 2020, 55, 102029. [Google Scholar] [CrossRef]
- Chen, L.; Qi, Q.; Wu, H.; Feng, D.; Zhu, E. Will the landscape composition and socio-economic development of coastal cities have an impact on the marine cooling effect? Sustain. Cities Soc. 2023, 89, 104328. [Google Scholar] [CrossRef]
- Wu, J.; Li, C.; Zhang, X.; Zhao, Y.; Liang, J.; Wang, Z. Seasonal variations and main influencing factors of the water cooling islands effect in Shenzhen. Ecol. Indic. 2020, 117, 106699. [Google Scholar] [CrossRef]
- Liu, C.; Yang, M.; Hou, Y.; Zhao, Y.; Xue, X. Spatiotemporal evolution of island ecological quality under different urban densities: A comparative analysis of Xiamen and Kinmen Islands, southeast China. Ecol. Indic. 2021, 124, 107438. [Google Scholar] [CrossRef]
- Zhu, Z.; Fu, W.; Liu, Q. Correlation between urbanization and ecosystem services in Xiamen, China. Environ. Dev. Sustain. 2020, 23, 101. [Google Scholar] [CrossRef]
- Lin, Z.; Xu, H.; Yao, X.; Yang, C.; Ye, D. How does urban thermal environmental factors impact diurnal cycle of land surface temperature? A multi-dimensional and multi-granularity perspective. Sustain. Cities Soc. 2024, 101, 105190. [Google Scholar] [CrossRef]
- Peng, J.; Dan, Y.; Qiao, R.; Liu, Y.; Dong, J.; Wu, J. How to quantify the cooling effect of urban parks? Linking maximum and accumulation perspectives. Remote Sens. Environ. 2021, 252, 112135. [Google Scholar] [CrossRef]
- Ezimand, K.; Azadbakht, M.; Aghighi, H. Analyzing the effects of 2D and 3D urban structures on LST changes using remotely sensed data. Sustain. Cities Soc. 2021, 74, 103216. [Google Scholar] [CrossRef]
- Luo, P.; Yu, B.; Li, P.; Liang, P.; Zhang, Q.; Yang, L. Understanding the relationship between 2D/3D variables and land surface temperature in plain and mountainous cities: Relative importance and interaction effects. Build. Environ. 2023, 245, 110959. [Google Scholar] [CrossRef]
- Li, J.; Chen, D.; Ou, J.; Rui, Q.; Jin, B.; Zhu, Z.; Ding, G. Exploring the integrating factors and size thresholds affecting cooling effects in urban parks: A diurnal balance perspective. Sustain. Cities Soc. 2025, 126, 106386. [Google Scholar] [CrossRef]
- Wei, Z.; Liu, J.; Gao, X.; Wu, Y.; Liu, Z.; Yao, J. Diurnal variations in cooling effects of urban parks based on ECOSTRESS data: A case study of Beijing. Urban Clim. 2024, 58, 102229. [Google Scholar] [CrossRef]
- Rahaman, S.; Jahangir, S.; Haque, M.S.; Chen, R.; Kumar, P. Spatio-temporal changes of green spaces and their impact on urban environment of Mumbai, India. Environ. Dev. Sustain. 2021, 23, 6481–6501. [Google Scholar] [CrossRef]
- Zhang, J.; Lin, T.; Sun, C.; Lin, M.; Zhan, Y.; Chen, Y.; Ye, H.; Yao, X.; Huang, Y.; Zhang, G.; et al. Long-Term Spatiotemporal Characteristics and Impact Factors of Land Surface Temperature of Inhabited Islands with Different Urbanization Levels. Remote Sens. 2022, 14, 4997. [Google Scholar] [CrossRef]
- Zhou, X.; Okaze, T.; Ren, C.; Cai, M.; Ishida, Y.; Watanabe, H.; Mochida, A. Evaluation of urban heat islands using local climate zones and the influence of sea-land breeze. Sustain. Cities Soc. 2020, 55, 102060. [Google Scholar] [CrossRef]
- Cheung, P.K.; Jim, C.Y. Differential cooling effects of landscape parameters in humid-subtropical urban parks. Landsc. Urban Plan. 2019, 192, 103651. [Google Scholar] [CrossRef]
- Chang, Y.; Xiao, J.; Li, X.; Zhou, D.; Wu, Y. Combining GOES-R and ECOSTRESS land surface temperature data to investigate diurnal variations of surface urban heat island. Sci. Total Environ. 2022, 823, 153652. [Google Scholar] [CrossRef] [PubMed]
- Gunawardena, K.; Wells, M.; Kershaw, T. Utilising green and bluespace to mitigate urban heat island intensity. Sci. Total Environ. 2017, 584–585, 1040–1055. [Google Scholar] [CrossRef]
- Algretawee, H. The effect of graduated urban park size on park cooling island and distance relative to land surface temperature (LST). Urban Clim. 2022, 45, 101255. [Google Scholar] [CrossRef]
- Yu, Z.; Chen, J.; Chen, J.; Zhan, W.; Wang, C.; Ma, W.; Yao, X.; Zhou, S.; Zhu, K.; Sun, R. Enhanced observations from an optimized soil-canopy-photosynthesis and energy flux model revealed evapotranspiration-shading cooling dynamics of urban vegetation during extreme heat. Remote Sens. Environ. 2024, 305, 15. [Google Scholar] [CrossRef]
- Wang, L.; Xu, Y.; Zhai, Y.; Xu, D.; Fang, J.; Yao, Y.; Ren, Z.; Ye, Z. The ideal characteristics of landscape pattern and morphological spatial pattern for seasonal cool island regulation in urban park green space. Urban For. Urban Green. 2025, 107, 128813. [Google Scholar] [CrossRef]
- Wang, X.; Kong, F.; Yin, H.; Xu, H.; Li, J.; Pu, Y. Characteristics of vegetation shading and transpiration cooling effects during hot summer. Acta Ecol. Sin. 2018, 38, 4234–4244. [Google Scholar] [CrossRef]
- Wu, T.; Chen, Z.; Zhou, S.; Huang, R.; Xing, P.; Li, S.; Qiao, R.; Wu, Z. Joint Evaluation of Urban Built Environment’s Driving Patterns on Urban Heat Island (UHI) and Urban Moisture Island (UMI). Sustain. Cities Soc. 2025, 127, 106450. [Google Scholar] [CrossRef]
Disclaimer/Publisher’s Note: The statements, opinions and data contained in all publications are solely those of the individual author(s) and contributor(s) and not of MDPI and/or the editor(s). MDPI and/or the editor(s) disclaim responsibility for any injury to people or property resulting from any ideas, methods, instructions or products referred to in the content. |
© 2025 by the authors. Licensee MDPI, Basel, Switzerland. This article is an open access article distributed under the terms and conditions of the Creative Commons Attribution (CC BY) license (https://creativecommons.org/licenses/by/4.0/).