Evaluation and Adjustment of Precipitable Water Vapor Products from FY-4A Using Radiosonde and GNSS Data from China
Abstract
1. Introduction
2. Datasets and Methods
2.1. RS PWV
2.2. GNSS PWV
2.3. FY-4A PWV
2.4. Statistical Indicators
3. Results and Discussion
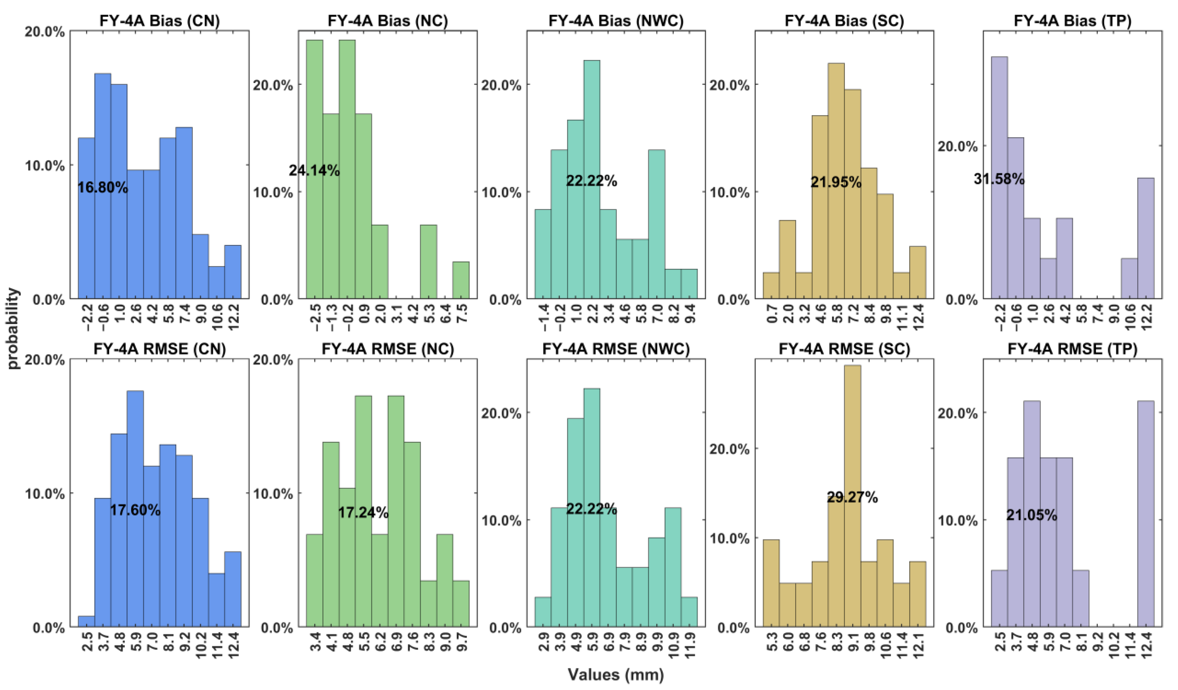
3.1. Evaluation with RS PWV
3.2. Evaluation and Adjustment with GNSS PWV
3.2.1. Annual and Spatial PWV Variability
3.2.2. Seasonal and Spatial PWV Variability
3.2.3. Diurnal and Spatial PWV Variability
3.2.4. FY-4A PWV Adjustment Model
4. Conclusions
Author Contributions
Funding
Institutional Review Board Statement
Informed Consent Statement
Data Availability Statement
Conflicts of Interest
References
- Mendes, V.d.B. Modeling the Neutral-Atmosphere Propagation Delay in Radiometric Space Techniques. Ph.D. Thesis, University of New Brunswick, Fredericton, NB, Canada, 1998. [Google Scholar]
- Zhu, H.; Chen, K.; Chai, H.; Ye, Y.; Liu, W. Characterizing extreme drought and wetness in Guangdong, China using global navigation satellite system and precipitation data. Satell. Navig. 2024, 5, 1. [Google Scholar] [CrossRef]
- Huang, L.; Lu, D.; Chen, F.; Zhang, H.; Zhu, G.; Liu, L. A Deep Learning-Based Approach for Directly Retrieving GNSS Precipitable Water Vapor and Its Application in Typhoon Monitoring. IEEE Trans. Geosci. Remote Sens. 2024, 62, 4111712. [Google Scholar] [CrossRef]
- Huang, L.; Pan, A.; Chen, F.; Guo, F.; Li, H.; Liu, L. A novel global grid model for soil moisture retrieval considering geographical disparity in spaceborne GNSS-R. Satell. Navig. 2024, 5, 29. [Google Scholar] [CrossRef]
- Chen, B.; Dai, W.; Liu, Z.; Wu, L.; Xia, P. Assessments of GMI-Derived Precipitable Water Vapor Products over the South and East China Seas Using Radiosonde and GNSS. Adv. Meteorol. 2018, 2018, 7161328. [Google Scholar] [CrossRef]
- Tsidu, G.M.; Blumenstock, T.; Hase, F. Observations of precipitable water vapour over complex topography of Ethiopia from ground-based GPS, FTIR, radiosonde and ERA-Interim reanalysis. Atmos. Meas. Tech. 2015, 8, 3277–3295. [Google Scholar] [CrossRef]
- Renju, R.; Raju, C.S.; Mathew, N.; Antony, T.; Moorthy, K.K. Microwave radiometer observations of interannual water vapor variability and vertical structure over a tropical station. J. Geophys. Res. Atmos. 2015, 120, 4585–4599. [Google Scholar] [CrossRef]
- Mattioli, V.; Westwater, E.R.; Cimini, D.; Liljegren, J.C.; Lesht, B.M.; Gutman, S.I.; Schmidlin, F.J. Analysis of radiosonde and ground-based remotely sensed PWV data from the 2004 North Slope of Alaska Arctic Winter Radiometric Experiment. J. Atmos. Ocean. Technol. 2007, 24, 415–431. [Google Scholar] [CrossRef]
- Bevis, M.; Businger, S.; Herring, T.A.; Rocken, C.; Anthes, R.A.; Ware, R.H. GPS meteorology: Remote sensing of atmospheric water vapor using the global positioning system. J. Geophys. Res. Atmos. 1992, 97, 15787–15801. [Google Scholar] [CrossRef]
- Zhang, W.; Lou, Y.; Haase, J.S.; Zhang, R.; Zheng, G.; Huang, J.; Shi, C.; Liu, J. The Use of Ground-Based GPS Precipitable Water Measurements over China to Assess Radiosonde and ERA-Interim Moisture Trends and Errors from 1999 to 2015. J. Clim. 2017, 30, 7643–7667. [Google Scholar] [CrossRef]
- Mears, C.A.; Wang, J.; Smith, D.; Wentz, F.J. Intercomparison of total precipitable water measurements made by satellite-borne microwave radiometers and ground-based GPS instruments. J. Geophys. Res. Atmos. 2015, 120, 2492–2504. [Google Scholar] [CrossRef]
- Zhu, G.; Huang, L.; Yang, Y.; Li, J.; Zhou, L.; Liu, L. Refining the ERA5-based global model for vertical adjustment of zenith tropospheric delay. Satell. Navig. 2022, 3, 27. [Google Scholar] [CrossRef]
- Huang, L.; Liu, Z.; Peng, H.; Xiong, S.; Zhu, G.; Chen, F.; Liu, L.; He, H. A Novel Global Grid Model for Atmospheric Weighted Mean Temperature in Real-Time GNSS Precipitable Water Vapor Sounding. IEEE J. Sel. Top. Appl. Earth Obs. Remote Sens. 2023, 16, 3322–3335. [Google Scholar] [CrossRef]
- Li, W.; He, Z.; Wu, L.; Liu, S.; Luo, L.; Ye, X.; Gao, H.; Ma, C. Impacts of co-culture of rice and aquatic animals on rice yield and quality: A meta-analysis of field trials. Field Crops. Res. 2022, 280, 108468. [Google Scholar] [CrossRef]
- Sherwood, S.C.; Roca, R.; Weckwerth, T.M.; Andronova, N.G. Tropospheric water vapor, convection, and climate. Rev. Geophys. 2010, 48, RG2001. [Google Scholar] [CrossRef]
- Gong, Y.Z.; Liu, Z.Z.; Foster, J.H. Evaluating the Accuracy of Satellite-Based Microwave Radiometer PWV Products Using Shipborne GNSS Observations Across the Pacific Ocean. IEEE Trans. Geosci. Remote Sens. 2022, 60, 5802210. [Google Scholar] [CrossRef]
- Fujita, M.; Fukuda, T.; Ueki, I.; Moteki, Q.; Ushiyama, T.; Yoneyama, K. Experimental Observations of Precipitable Water Vapor over the Open Ocean Collected by Autonomous Surface Vehicles for Real-Time Monitoring Applications. Sola 2020, 16A, 19–24. [Google Scholar] [CrossRef]
- Sam Khaniani, A.; Nikraftar, Z.; Zakeri, S. Evaluation of MODIS Near-IR water vapor product over Iran using ground-based GPS measurements. Atmos. Res. 2020, 231, 104657. [Google Scholar] [CrossRef]
- Wang, Y.; Yang, K.; Pan, Z.Y.; Qin, J.; Chen, D.L.; Lin, C.G.; Chen, Y.Y.; Lazhu; Tang, W.J.; Han, M.L.; et al. Evaluation of Precipitable Water Vapor from Four Satellite Products and Four Reanalysis Datasets against GPS Measurements on the Southern Tibetan Plateau. J. Clim. 2017, 30, 5699–5713. [Google Scholar] [CrossRef]
- Ma, X.; Yao, Y.; Zhang, B.; Du, Z. FY-3A/MERSI precipitable water vapor reconstruction and calibration using multi-source observation data based on a generalized regression neural network. Atmos. Res. 2022, 265, 105893. [Google Scholar] [CrossRef]
- Xia, X.; Fu, D.; Shao, W.; Jiang, R.; Wu, S.; Zhang, P.; Yang, D.; Xia, X. Retrieving Precipitable Water Vapor Over Land From Satellite Passive Microwave Radiometer Measurements Using Automated Machine Learning. Geophys. Res. Lett. 2023, 50, e2023GL105197. [Google Scholar] [CrossRef]
- Wang, G.; Wang, K.F.; Han, W.; Wang, D.Y.; Qiu, X.X. Typhoon Maria Precipitation Retrieval and Evolution Based on the Infrared Brightness Temperature of the Feng-Yun 4A/Advanced Geosynchronous Radiation Imager. Adv. Meteorol. 2020, 2020, 4245037. [Google Scholar] [CrossRef]
- Wang, X.; Min, M.; Wang, F.; Guo, J.P.; Li, B.; Tang, S.H. Intercomparisons of Cloud Mask Products Among Fengyun-4A, Himawari-8, and MODIS. IEEE Trans. Geosci. Remote Sens. 2019, 57, 8827–8839. [Google Scholar] [CrossRef]
- Zhu, J.; Shu, J.; Guo, W. Biases Characteristics Assessment of the Advanced Geosynchronous Radiation Imager (AGRI) Measurement on Board Fengyun-4A Geostationary Satellite. Remote Sens. 2020, 12, 2871. [Google Scholar] [CrossRef]
- Yang, J.; Zhang, Z.; Wei, C.; Lu, F.; Guo, Q. Introducing the New Generation of Chinese Geostationary Weather Satellites, Fengyun-4. Bull. Am. Meteorol. Soc. 2017, 98, 1637–1658. [Google Scholar] [CrossRef]
- Zhang, Y.; Li, Z.; Li, J. A Preliminary Layer Perceptible Water Vapor Retrieval Algorithm for Fengyun-4 Advanced Geosynchronous Radiation Imager. In Proceedings of the IGARSS 2019—2019 IEEE International Geoscience and Remote Sensing Symposium, Yokohama, Japan, 28 July–2 August 2019; pp. 7564–7566. [Google Scholar] [CrossRef]
- Wang, Y.; Liu, H.; Zhang, Y.; Duan, M.; Tang, S.; Deng, X.J.A.R. Validation of FY-4A AGRI layer precipitable water products using radiosonde data. Atmos. Res. 2021, 253, 105502. [Google Scholar] [CrossRef]
- Tan, J.; Chen, B.; Wang, W.; Yu, W.; Dai, W. Evaluating Precipitable Water Vapor Products From Fengyun-4A Meteorological Satellite Using Radiosonde, GNSS, and ERA5 Data. IEEE Trans. Geosci. Remote Sens. 2022, 60, 4106512. [Google Scholar] [CrossRef]
- Zhou, Y.; Wang, X.Z.; Xu, C. Comprehensive evaluation of the precipitable water vapor products of Fengyun satellites via GNSS data over mainland China. Atmos. Res. 2024, 300, 107235. [Google Scholar] [CrossRef]
- Liu, X.; Wang, Y.; Huang, J.; Yu, T.L.; Jiang, N.H.; Yang, J.; Zhan, W. Assessment and calibration of FY-4A AGRI total precipitable water products based on CMONOC. Atmos. Res. 2022, 271, 106096. [Google Scholar] [CrossRef]
- Wu, M.L.; Jin, S.G.; Li, Z.C.; Cao, Y.C.; Ping, F.; Tang, X. High-Precision GNSS PWV and Its Variation Characteristics in China Based on Individual Station Meteorological Data. Remote Sens. 2021, 13, 1296. [Google Scholar] [CrossRef]
- Huang, L.; Mo, Z.; Xie, S.; Liu, L.; Chen, J.; Kang, C.; Wang, S. Spatiotemporal characteristics of GNSS-derived precipitable water vapor during heavy rainfall events in Guilin, China. Satell. Navig. 2021, 2, 13. [Google Scholar] [CrossRef]
- Nzelibe, I.U.; Tata, H.; Idowu, T.O. Assessment of GNSS zenith tropospheric delay responses to atmospheric variables derived from ERA5 data over Nigeria. Satell. Navig. 2023, 4, 15. [Google Scholar] [CrossRef]
- Saastamoinen, J. Atmospheric Correction for the Troposphere and Stratosphere in Radio Ranging Satellites. Use Artif. Satell. Geod. 1972, 15, 247–251. [Google Scholar] [CrossRef]
- Askne, J.; Nordius, H. Estimation of tropospheric delay for microwaves from surface weather data. Radio Sci. 1987, 22, 379–386. [Google Scholar] [CrossRef]
- Huang, L.K.; Jiang, W.P.; Liu, L.L.; Chen, H.; Ye, S.R. A new global grid model for the determination of atmospheric weighted mean temperature in GPS precipitable water vapor. J. Geod. 2019, 93, 159–176. [Google Scholar] [CrossRef]
- Huang, L.K.; Liu, L.L.; Chen, H.; Jiang, W.P. An improved atmospheric weighted mean temperature model and its impact on GNSS precipitable water vapor estimates for China. GPS Solut. 2019, 23, 51. [Google Scholar] [CrossRef]
- Huang, L.; Wang, Y.; Bi, H.; Zhu, G.; Liu, L.; Jiang, W. Initial results of atmospheric weighted mean temperature estimation with Pangu-Weather in real-time GNSS PWV retrieval for China. GPS Solut. 2025, 29, 48. [Google Scholar] [CrossRef]
- Huang, L.K.; Wang, X.; Xiong, S.; Li, J.Y.; Liu, L.L.; Mo, Z.X.; Fu, B.L.; He, H.C. High-precision GNSS PWV retrieval using dense GNSS sites and in-situ meteorological observations for the evaluation of MERRA-2 and ERA5 reanalysis products over China. Atmos. Res. 2022, 276, 106247. [Google Scholar] [CrossRef]
- Zhu, G.; Huang, L.K.; Liu, L.L.; Li, C.; Li, J.Y.; Huang, L.; Zhou, L.; He, H.C. A New Approach for the Development of Grid Models Calculating Tropospheric Key Parameters over China. Remote Sens. 2021, 13, 3546. [Google Scholar] [CrossRef]
- Wang, J.; Zhang, L.; Dai, A. Global estimates of water-vapor-weighted mean temperature of the atmosphere for GPS applications. J. Geophys. Res. Atmos. 2005, 110, D21101. [Google Scholar] [CrossRef]
- Shikhovtsev, A.Y.; Kovadlo, P.G.; Khaikin, V.B.; Kiselev, A.V. Precipitable Water Vapor and Fractional Clear Sky Statistics within the Big Telescope Alt-Azimuthal Region. Remote Sens. 2022, 14, 6221. [Google Scholar] [CrossRef]
- Birkenheuer, D.; Gutman, S. A Comparison of GOES Moisture-Derived Product and GPS-IPW Data during IHOP-2002. J. Atmos. Ocean. Technol. 2005, 22, 1838–1845. [Google Scholar] [CrossRef]
- Schmit, T.J.; Feltz, W.F.; Menzel, W.P.; Jung, J.; Noel, A.P.; Heil, J.N.; Nelson, J.P.; Wade, G.S. Validation and Use of GOES Sounder Moisture Information. Weather Forecast. 2002, 17, 139–154. [Google Scholar] [CrossRef]
- Zhang, H.; Yuan, Y.; Li, W.; Zhang, B. A Real-Time Precipitable Water Vapor Monitoring System Using the National GNSS Network of China: Method and Preliminary Results. IEEE J. Sel. Top. Appl. Earth Obs. Remote Sens. 2019, 12, 1587–1598. [Google Scholar] [CrossRef]
- Zhao, Q.; Yao, Y.; Yao, W.; Zhang, S. GNSS-derived PWV and comparison with radiosonde and ECMWF ERA-Interim data over mainland China. J. Atmos. Sol.-Terr. Phys. 2019, 182, 85–92. [Google Scholar] [CrossRef]
- Zhao, Q.; Yang, P.; Yao, W.; Yao, Y. Hourly PWV Dataset Derived from GNSS Observations in China. Sensors 2020, 20, 231. [Google Scholar] [CrossRef]
- Shi, C.; Zhou, L.H.; Fan, L.; Zhang, W.X.; Cao, Y.C.; Wang, C.; Xiao, F.; Lü, G.Q.; Liang, H. Analysis of “21.7” extreme rainstorm process in Henan Province using BeiDou/GNSS observation. Chin. J. Geophys. Chin. Ed. 2022, 65, 186–196. [Google Scholar] [CrossRef]
- Khaikin, V.B.; Shikhovtsev, A.Y.; Mironov, A.P. Statistical Characteristics of Precipitated Water Vapor, Optical Depth and Cloudiness in the Northern Part of Russia. Astron. Rep. 2024, 68, 222–232. [Google Scholar] [CrossRef]
- Bai, J.N.; Lou, Y.D.; Zhang, W.X.; Zhou, Y.Z.; Zhang, Z.Y.; Shi, C. Assessment and calibration of MODIS precipitable water vapor products based on GPS network over China. Atmos. Res. 2021, 254, 105504. [Google Scholar] [CrossRef]
- Gui, K.; Che, H.Z.; Chen, Q.L.; Zeng, Z.L.; Liu, H.Z.; Wang, Y.Q.; Zheng, Y.; Sun, T.Z.; Liao, T.T.; Wang, H.; et al. Evaluation of radiosonde, MODIS-NIR-Clear, and AERONET precipitable water vapor using IGS ground-based GPS measurements over China. Atmos. Res. 2017, 197, 461–473. [Google Scholar] [CrossRef]
- Wang, H.; He, J.X.; Wei, M.; Zhang, Z.D. Synthesis Analysis of One Severe Convection Precipitation Event in Jiangsu Using Ground-Based GPS Technology. Atmosphere 2015, 6, 908–927. [Google Scholar] [CrossRef]
- Iwabuchi, T.; Naito, I.; Mannoji, N. A comparison of Global Positioning System retrieved precipitable water vapor with the numerical weather prediction analysis data over the Japanese Islands. J. Geophys. Res. Atmos. 2000, 105, 4573–4585. [Google Scholar] [CrossRef]
- Pérez-Jordán, G.; Castro-Almazán, J.A.; Muñoz-Tuñón, C.; Codina, B.; Vernin, J. Forecasting the precipitable water vapour content: Validation for astronomical observatories using radiosoundings. Mon. Not. R. Astron. Soc. 2015, 452, 1992–2003. [Google Scholar] [CrossRef]
- Li, Z.H.; Fielding, E.J.; Cross, P. Integration of InSAR Time-Series Analysis and Water-Vapor Correction for Mapping Postseismic Motion After the 2003 Bam (Iran) Earthquake. IEEE Trans. Geosci. Remote Sens. 2009, 47, 3220–3230. [Google Scholar] [CrossRef]
- Mateus, P.; Tomé, R.; Nico, G.; Catalao, J. Three-Dimensional Variational Assimilation of InSAR PWV Using the WRFDA Model. IEEE Trans. Geosci. Remote Sens. 2016, 54, 7323–7330. [Google Scholar] [CrossRef]













| Regions | Bias (mm) | RMSE (mm) | ||||
|---|---|---|---|---|---|---|
| Min | Max | Mean | Min | Max | Mean | |
| CN | −2.92 | 12.79 | 3.28 | 2.93 | 12.95 | 7.31 |
| NC | −2.92 | 7.39 | −0.08 | 3.34 | 10.04 | 6.17 |
| NWC | −1.79 | 9.29 | 2.84 | 3.18 | 11.51 | 6.83 |
| SC | 0.91 | 12.36 | 6.42 | 4.91 | 12.47 | 8.77 |
| TP | −2.91 | 12.79 | 2.46 | 2.93 | 12.95 | 6.82 |
| Regions | Bias (mm) | RMSE (mm) | ||||
|---|---|---|---|---|---|---|
| Min | Max | Mean | Min | Max | Mean | |
| CN | −5.80 | 10.14 | 1.39 | 4.23 | 15.28 | 8.22 |
| NC | −2.38 | 10.14 | 2.36 | 4.81 | 15.28 | 7.97 |
| NWC | −3.86 | 8.35 | 3.85 | 6.01 | 12.80 | 9.52 |
| SC | −5.80 | 4.92 | −1.51 | 5.06 | 11.05 | 7.79 |
| TP | −3.90 | 8.49 | 2.12 | 4.23 | 11.12 | 7.37 |
| Season\Month | Bias (mm) | RMSE (mm) | |||||
|---|---|---|---|---|---|---|---|
| Min | Max | Mean | Min | Max | Mean | ||
| Spring | 3 | −11.90 | 11.82 | 2.29 | 2.05 | 15.38 | 6.32 |
| 4 | −11.15 | 11.26 | 2.87 | 3.89 | 15.07 | 7.64 | |
| 5 | −10.97 | 12.28 | 3.30 | 1.90 | 13.60 | 8.30 | |
| Summer | 6 | −9.03 | 14.91 | 4.50 | 4.43 | 16.59 | 8.74 |
| 7 | −10.13 | 20.90 | 8.42 | 5.26 | 17.95 | 10.29 | |
| 8 | −12.37 | 24.96 | 8.74 | 4.43 | 18.26 | 10.17 | |
| Autumn | 9 | −3.08 | 17.73 | 6.66 | 4.23 | 15.92 | 8.75 |
| 10 | −12.72 | 15.73 | 5.88 | 1.43 | 15.54 | 8.62 | |
| 11 | −12.51 | 17.80 | 4.11 | 0.69 | 20.72 | 7.89 | |
| Winter | 12 | −11.17 | 10.26 | 2.50 | 1.57 | 19.78 | 6.92 |
| 1 | −13.09 | 6.26 | 0.59 | 1.05 | 19.52 | 6.37 | |
| 2 | −10.24 | 9.96 | 2.10 | 1.84 | 17.78 | 5.59 | |
| Region | Bias (mm) | RMSE (mm) | ||||
|---|---|---|---|---|---|---|
| Min | Max | Mean | Min | Max | Mean | |
| CN | −4.03 | 9.47 | 0.56 | 0.00 | 12.00 | 2.59 |
| NC | −1.84 | 3.84 | 0.52 | 0.44 | 7.30 | 2.17 |
| NWC | −3.12 | 5.33 | 0.29 | 0.00 | 6.59 | 1.51 |
| SC | −4.45 | 4.50 | −0.57 | 0.63 | 7.91 | 3.19 |
| TP | −3.95 | 5.33 | 2.01 | 0.36 | 12.00 | 3.51 |
| Spring (a, b) | Summer (a, b) | Fall (a, b) | Winter (a, b) | |||||
|---|---|---|---|---|---|---|---|---|
| CN | 0.56 | 9.71 | 0.63 | 12.37 | 0.67 | 9.54 | 0.53 | 7.50 |
| NC | 0.15 | 10.36 | 0.16 | 21.31 | 0.44 | 9.24 | 0.07 | 6.24 |
| NWC | 0.35 | 15.38 | 0.31 | 20.56 | 0.39 | 18.20 | 0.22 | 14.09 |
| SC | 0.62 | 8.68 | 0.65 | 15.74 | 0.75 | 7.50 | 0.53 | 8.08 |
| TP | 0.36 | 8.19 | 0.50 | 13.11 | 0.57 | 6.29 | 0.31 | 4.23 |
| IMAE (mm) | NC | NWC | SC | TP | ||||||||
| Q1 | Q3 | IQR | Q1 | Q3 | IQR | Q1 | Q3 | IQR | Q1 | Q3 | IQR | |
| Spring | 0.67 | 2.61 | 1.94 | 1.77 | 5.09 | 3.32 | 0.48 | 2.08 | 1.59 | 0.5 | 2.26 | 1.76 |
| Summer | 0.87 | 3.52 | 2.65 | 2.02 | 5.72 | 3.7 | 0.21 | 3.38 | 3.16 | 1.99 | 5.02 | 3.03 |
| Fall | 0.68 | 1.94 | 1.26 | 4.47 | 7.34 | 2.87 | 0.29 | 1.45 | 1.16 | 0.38 | 1.99 | 1.61 |
| Winter | 0.34 | 2.05 | 1.71 | 3.47 | 7.02 | 3.54 | 0.62 | 2.24 | 1.62 | 0.48 | 1.7 | 1.22 |
| IRMSE (mm) | NC | NWC | SC | TP | ||||||||
| Q1 | Q3 | IQR | Q1 | Q3 | IQR | Q1 | Q3 | IQR | Q1 | Q3 | IQR | |
| Spring | 1.75 | 3.39 | 1.64 | 1.72 | 5.73 | 4.01 | 0.58 | 2.5 | 1.93 | 0.67 | 3.18 | 2.51 |
| Summer | 0.88 | 4.14 | 3.26 | 2.95 | 6.68 | 3.73 | 0.29 | 3.41 | 3.11 | 1.71 | 4.94 | 3.23 |
| Fall | 0.73 | 2.5 | 1.77 | 4.72 | 8.39 | 3.67 | 0.44 | 1.7 | 1.26 | 0.33 | 2.32 | 1.98 |
| Winter | 1.44 | 3.35 | 1.91 | 3.92 | 7.36 | 3.44 | 0.88 | 2.56 | 1.68 | 0.9 | 3.13 | 2.22 |
Disclaimer/Publisher’s Note: The statements, opinions and data contained in all publications are solely those of the individual author(s) and contributor(s) and not of MDPI and/or the editor(s). MDPI and/or the editor(s) disclaim responsibility for any injury to people or property resulting from any ideas, methods, instructions or products referred to in the content. |
© 2025 by the authors. Licensee MDPI, Basel, Switzerland. This article is an open access article distributed under the terms and conditions of the Creative Commons Attribution (CC BY) license (https://creativecommons.org/licenses/by/4.0/).
Share and Cite
Chen, X.; Yang, Y.; Liu, W.; Tang, C.; Ling, C.; Huang, L.; Xie, S.; Liu, L. Evaluation and Adjustment of Precipitable Water Vapor Products from FY-4A Using Radiosonde and GNSS Data from China. Atmosphere 2025, 16, 99. https://doi.org/10.3390/atmos16010099
Chen X, Yang Y, Liu W, Tang C, Ling C, Huang L, Xie S, Liu L. Evaluation and Adjustment of Precipitable Water Vapor Products from FY-4A Using Radiosonde and GNSS Data from China. Atmosphere. 2025; 16(1):99. https://doi.org/10.3390/atmos16010099
Chicago/Turabian StyleChen, Xiangping, Yifei Yang, Wen Liu, Changzeng Tang, Congcong Ling, Liangke Huang, Shaofeng Xie, and Lilong Liu. 2025. "Evaluation and Adjustment of Precipitable Water Vapor Products from FY-4A Using Radiosonde and GNSS Data from China" Atmosphere 16, no. 1: 99. https://doi.org/10.3390/atmos16010099
APA StyleChen, X., Yang, Y., Liu, W., Tang, C., Ling, C., Huang, L., Xie, S., & Liu, L. (2025). Evaluation and Adjustment of Precipitable Water Vapor Products from FY-4A Using Radiosonde and GNSS Data from China. Atmosphere, 16(1), 99. https://doi.org/10.3390/atmos16010099

