Patterns and Drivers of Greenhouse Gas Emissions in a Tropical Rubber Plantation from Hainan, Danzhou
Abstract
1. Introduction
2. Materials and Methods
2.1. Study Site
2.2. Sampling Methods
2.2.1. GHG Gas Sampling
2.2.2. Soil Sampling
2.3. Data Analysis
2.3.1. GHG Gas Analysis
2.3.2. Soil Physicochemical Properties Analysis
3. Results
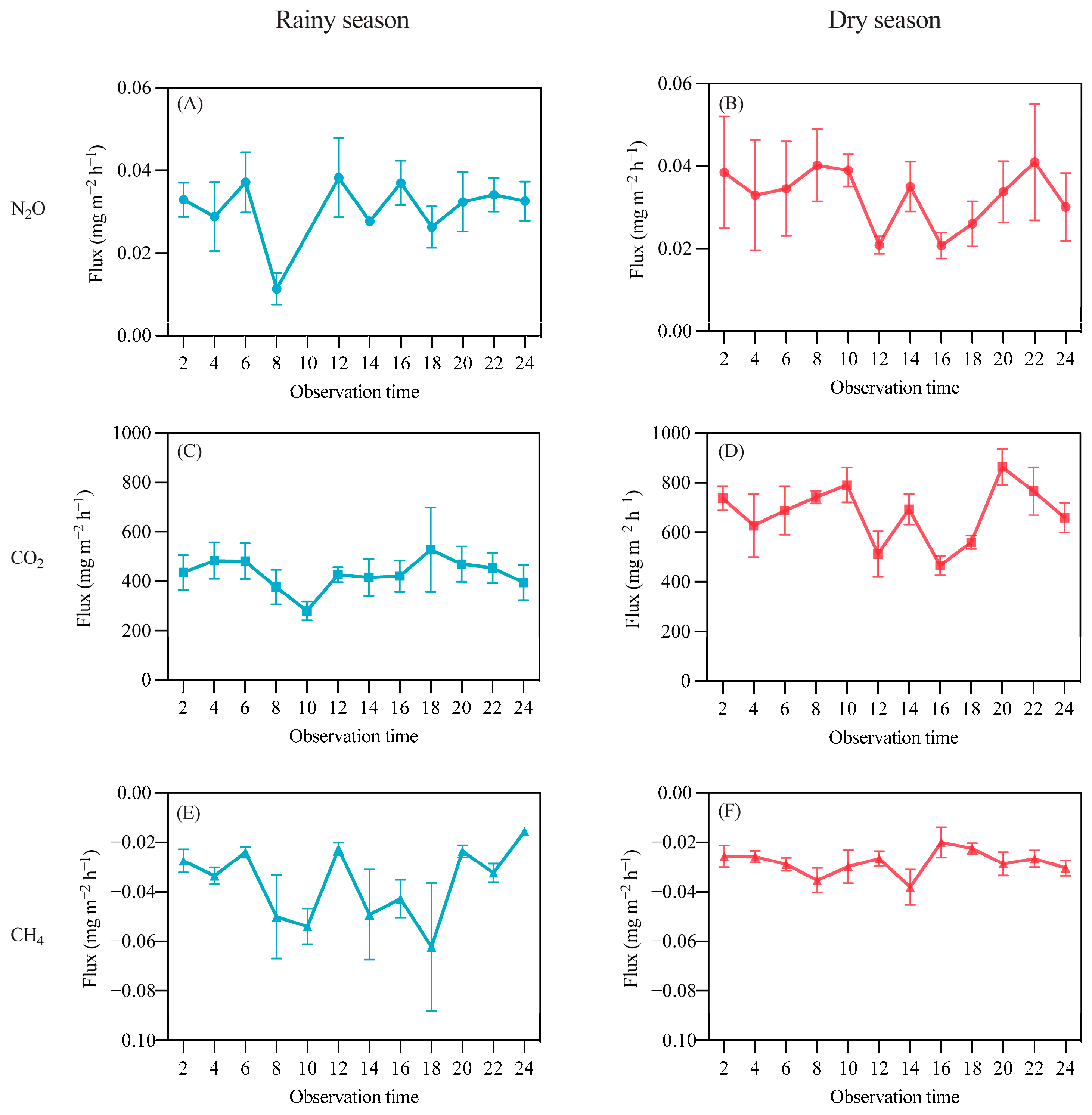
3.1. Diurnal and Daily Variations
3.2. Factors Influencing GHG Emissions
3.3. Carbon and Nitrogen Coupling in Soil-Atmosphere Systems
4. Discussion
4.1. Sampling Time for Greenhouse Gases
4.2. Low N2O Emissions from Rubber Plantation Soils
4.3. Soil Ammonium Nitrogen Content Related to N2O Emission Flux
4.4. Synergistic Variation in Greenhouse Gases in Rubber Plantation Soils
5. Conclusions
Author Contributions
Funding
Institutional Review Board Statement
Informed Consent Statement
Data Availability Statement
Acknowledgments
Conflicts of Interest
References
- He, T.; Ding, W.; Cheng, X.; Cai, Y.; Zhang, Y.; Xia, H.; Wang, X.; Zhang, J.; Zhang, K.; Zhang, Q. Meta-analysis shows the impacts of ecological restoration on greenhouse gas emissions. Nat. Commun. 2024, 15, 2668. [Google Scholar] [CrossRef] [PubMed]
- Samset, B.H.; Sand, M.; Smith, C.J.; Bauer, S.E.; Forster, P.M.; Fuglestvedt, J.S.; Osprey, S.; Schleussner, C.F. Climate impacts from a removal of anthropogenic aerosol emissions. Geophys. Res. Lett. 2018, 45, 1020–1029. [Google Scholar] [CrossRef] [PubMed]
- Bonan, G.B. Forests and climate change: Forcings, feedbacks, and the climate benefits of forests. Science 2008, 320, 1444–1449. [Google Scholar] [CrossRef]
- Feng, Z.; Wang, L.; Wan, X.; Yang, J.; Peng, Q.; Liang, T.; Wang, Y.; Zhong, B.; Rinklebe, J. Responses of soil greenhouse gas emissions to land use conversion and reversion—A global meta-analysis. Glob. Change Biol. 2022, 28, 6665–6678. [Google Scholar] [CrossRef] [PubMed]
- Deshmukh, C.S.; Julius, D.; Desai, A.R.; Asyhari, A.; Page, S.E.; Nardi, N.; Susanto, A.P.; Nurholis, N.; Hendrizal, M.; Kurnianto, S.; et al. Conservation slows down emission increase from a tropical peatland in Indonesia. Nat. Geosci. 2021, 14, 484–490. [Google Scholar] [CrossRef]
- Toriyama, J.; Imaya, A.; Hirai, K.; Lim, T.K.; Hak, M.; Kiyono, Y. Effects of forest conversion to rubber plantation and of replanting rubber trees on soil organic carbon pools in a tropical moist climate zone. Agric. Ecosyst. Environ. 2022, 323, 107699. [Google Scholar] [CrossRef]
- Petsri, S.; Chidthaisong, A.; Pumijumnong, N.; Wachrinrat, C. Greenhouse gas emissions and carbon stock changes in rubber tree plantations in Thailand from 1990 to 2004. J. Clean. Prod. 2013, 52, 61–70. [Google Scholar] [CrossRef]
- Zhou, W.; Zhu, J.; Ji, H.; Grace, J.; Sha, L.; Song, Q.; Liu, Y.; Bai, X.; Lin, Y.; Gao, J.; et al. Drivers of difference in CO2 and CH4 emissions between rubber plantation and tropical rainforest soils. Agric. For. Meteorol. 2021, 304–305, 108391. [Google Scholar] [CrossRef]
- Zhou, W.J.; Ji, H.L.; Zhu, J.; Zhang, Y.-P.; Sha, L.-Q.; Liu, Y.-T.; Zhang, X.; Zhao, W.; Dong, Y.-x.; Bai, X.-L.; et al. The effects of nitrogen fertilization on N2O emissions from a rubber plantation. Sci. Rep. 2016, 6, 28230. [Google Scholar] [CrossRef]
- Nizami, S.M.; Zhang, Y.; Liqing, S.; Zhao, W.; Zhang, X. Managing carbon sinks in rubber (Hevea brasilensis) plantation by changing rotation length in SW China. PLoS ONE 2014, 9, e115234. [Google Scholar] [CrossRef]
- Chaddy, A.; Melling, L.; Ishikura, K.; Hatano, R. Soil N2O emissions under different N rates in an oil palm plantation on tropical peatland. Agriculture 2019, 9, 213. [Google Scholar] [CrossRef]
- Ishizuka, S.; Mori, T.; Nakayama, Y.; Kawabata, C.; Konda, R.; Sasaki, T.; Sawa, Y.; Hamotani, Y.; Gobara, Y.; Kuwashima, K.; et al. Effects of conversion from leguminous acacia to non-leguminous eucalyptus on soil N2O emissions in tropical monoculture plantations. For. Ecol. Manag. 2021, 481, 118702. [Google Scholar] [CrossRef]
- Ren, Y.; Lin, F.; Jiang, C.; Tang, J.; Fan, Z.; Feng, D.; Zeng, X.; Jin, Y.; Liu, C.; Olatunji, O.A. Understory vegetation management regulates soil carbon and nitrogen storage in rubber plantations. Nutr. Cycl. Agroecosyst. 2023, 127, 209–224. [Google Scholar] [CrossRef]
- Xu, X.; Wei, Y.; Lan, G. Geographical differences weaken the convergence effect of the rhizosphere bacteria of rubber trees. Forests 2024, 15, 415. [Google Scholar] [CrossRef]
- Bao, S. Soil Agrochemical Analysis; China Agriculture Press: Beijing, China, 2000. [Google Scholar]
- Zhang, Z.; Wang, J.; Sun, J.; Jiang, H.; Wei, T. A review of methods for measuring soil greenhouse gases. Chin. J. Appl. Environ. Biol. 2019, 25, 1228–1243. [Google Scholar] [CrossRef]
- Xu, X.; Fu, G.; Zou, X.; Ge, C.; Zhao, Y. Diurnal variations of carbon dioxide, methane, and nitrous oxide fluxes from invasive Spartina alterniflora dominated coastal wetland in northern Jiangsu Province. Acta Oceanol. Sin. 2017, 36, 105–113. [Google Scholar] [CrossRef]
- Keane, J.B.; Morrison, R.; McNamara, N.P.; Ineson, P. Real-time monitoring of greenhouse gas emissions with tall chambers reveals diurnal N2O variation and increased emissions of CO2 and N2O from Miscanthus following compost addition. GCB Bioenergy 2019, 11, 1456–1470. [Google Scholar] [CrossRef]
- Shurpali, N.J.; Rannik, Ü.; Jokinen, S.; Lind, S.; Biasi, C.; Mammarella, I.; Peltola, O.; Pihlatie, M.; Hyvönen, N.; Räty, M.; et al. Neglecting diurnal variations leads to uncertainties in terrestrial nitrous oxide emissions. Sci. Rep. 2016, 6, 25739. [Google Scholar] [CrossRef] [PubMed]
- Alves, B.J.R.; Smith, K.A.; Flores, R.A.; Cardoso, A.S.; Oliveira, W.R.D.; Jantalia, C.P.; Urquiaga, S.; Boddey, R.M. Selection of the most suitable sampling time for static chambers for the estimation of daily mean N2O flux from soils. Soil Biol. Biochem. 2012, 46, 129–135. [Google Scholar] [CrossRef]
- Reeves, S.; Wang, W. Optimum sampling time and frequency for measuring N2O emissions from a rain-fed cereal cropping system. Sci. Total Environ. 2015, 530–531, 219–226. [Google Scholar] [CrossRef]
- Rao, X.; Liu, C.-A.; Tang, J.-W.; Nie, Y.; Liang, M.-Y.; Shen, W.-J.; Siddique, K.H.M. Rubber-leguminous shrub systems stimulate soil N2O but reduce CO2 and CH4 emissions. For. Ecol. Manag. 2021, 480, 118665. [Google Scholar] [CrossRef]
- Hong, S.; Gong, H.; Zhu, X.; Song, Q.; Zhang, Y.; Zhou, W.; Zhang, X.; Sha, L. Response of soil N2O and CO2 emissions to nitrogen addition in Xishuangbanna tropical rain forest. J. West China For. Sci. 2023, 52, 118–127. [Google Scholar] [CrossRef]
- Bai, Z. N2O, CH4 Emissions from Soil of a Tropical Mountain Rainforest and Responds to Nutrients Additions in Hainan Island. Master’s Thesis, Northwest A&F University, Xianyang, China, 2015. [Google Scholar]
- Wang, Y.; Yao, Z.; Pan, Z.; Wang, R.; Yan, G.; Liu, C.; Su, Y.; Zheng, X.; Butterbach-Bahl, K. Tea-planted soils as global hotspots for N2O emissions from croplands. Environ. Res. Lett. 2020, 15, 104018. [Google Scholar] [CrossRef]
- Wang, X.; Li, Y.e.; Waqas, M.A.; Wang, B.; Hassan, W.; Qin, X. Divergent terrestrial responses of soil N2O emissions to different levels of elevated CO2 and temperature. Oikos 2021, 130, 1440–1449. [Google Scholar] [CrossRef]
- Jansen-Willems, A.B.; Lanigan, G.J.; Clough, T.J.; Andresen, L.C.; Müller, C. Long-term elevation of temperature affects organic N turnover and associated N2O emissions in a permanent grassland soil. Soil 2016, 2, 601–614. [Google Scholar] [CrossRef]
- Liao, J.; Luo, Q.; Hu, A.; Wan, W.; Tian, D.; Ma, J.; Ma, T.; Luo, H.; Lu, S. Soil moisture–atmosphere feedback dominates land N2O nitrification emissions and denitrification reduction. Glob. Change Biol. 2022, 28, 6404–6418. [Google Scholar] [CrossRef]
- Zheng, Q.; Ding, J.; Li, Y.; Lin, W.; Xu, C.; Li, Q.; Mao, L. The effects of soil water content on N2O emissions and isotopic signature of nitrification and denitrification. Sci. Agric. Sin. 2017, 50, 4747–4758. [Google Scholar] [CrossRef]
- Li, Z.; Zeng, Z.; Song, Z.; Tian, D.; Huang, X.; Nie, S.; Wang, J.; Jiang, L.; Luo, Y.; Cui, J.; et al. Variance and main drivers of field nitrous oxide emissions: A global synthesis. J. Clean. Prod. 2022, 353, 131686. [Google Scholar] [CrossRef]
- Wang, H.; Yan, Z.; Ju, X.; Song, X.; Zhang, J.; Li, S.; Zhu-Barker, X. Quantifying nitrous oxide production rates from nitrification and denitrification under various moisture conditions in agricultural soils: Laboratory study and literature synthesis. Front. Microbiol. 2023, 13, 1110151. [Google Scholar] [CrossRef]
- Lee, J.; Oh, Y.; Lee, S.T.; Seo, Y.O.; Yun, J.; Yang, Y.; Kim, J.; Zhuang, Q.; Kang, H. Soil organic carbon is a key determinant of CH4 sink in global forest soils. Nat. Commun. 2023, 14, 3110. [Google Scholar] [CrossRef]
- Kumagai, T.o.; Mudd, R.G.; Miyazawa, Y.; Liu, W.; Giambelluca, T.W.; Kobayashi, N.; Lim, T.K.; Jomura, M.; Matsumoto, K.; Huang, M.; et al. Simulation of canopy CO2/H2O fluxes for a rubber (Hevea brasiliensis) plantation in central Cambodia: The effect of the regular spacing of planted trees. Ecol. Model. 2013, 265, 124–135. [Google Scholar] [CrossRef]
- Mori, T.; Wachrinrat, C.; Staporn, D.; Aoyagi, R.; Meunpong, P.; Suebsai, W.; Boonsri, K.; Kitayama, K. Possibility of avoiding legumes-deriving boost of N2O emissions in tropical monoculture tree plantations. J. For. Res. 2023, 34, 565–573. [Google Scholar] [CrossRef]
- Zhang, H.; Zhou, G.; Wang, Y.; Tang, C.; Cai, Y. Clear-cut and forest regeneration increase soil N2O emission in Cunninghamia lanceolata plantations. Geoderma 2021, 401, 115238. [Google Scholar] [CrossRef]
- Wakhid, N.; Nurzakiah, S. Soil CO2 emissions from a rubber plantation on tropical peat during a strong El Niño year. IOP Conf. Ser. Earth Environ. Sci. 2021, 648, 012098. [Google Scholar] [CrossRef]
- Fernández-Martínez, M.; Sardans, J.; Chevallier, F.; Ciais, P.; Obersteiner, M.; Vicca, S.; Canadell, J.G.; Bastos, A.; Friedlingstein, P.; Sitch, S.; et al. Global trends in carbon sinks and their relationships with CO2 and temperature. Nat. Clim. Change 2019, 9, 73–79. [Google Scholar] [CrossRef]
- Fei, X.; Song, Q.; Zhang, Y.; Liu, Y.; Sha, L.; Yu, G.; Zhang, L.; Duan, C.; Deng, Y.; Wu, C.; et al. Carbon exchanges and their responses to temperature and precipitation in forest ecosystems in Yunnan, Southwest China. Sci. Total Environ. 2018, 616, 824–840. [Google Scholar] [CrossRef]
- Chayawat, C.; Satakhun, D.; Kasemsap, P.; Sathornkich, J.; Phattaralerphong, J. Environmental controls on net CO2 exchange over a young rubber plantation in Northeastern Thailand. ScienceAsia 2019, 45, 50–59. [Google Scholar] [CrossRef]
- Abdalla, M.; Jones, M.; Smith, P.; Williams, M. Nitrous oxide fluxes and denitrification sensitivity to temperature in Irish pasture soils. Soil Use Manag. 2009, 25, 376–388. [Google Scholar] [CrossRef]











Disclaimer/Publisher’s Note: The statements, opinions and data contained in all publications are solely those of the individual author(s) and contributor(s) and not of MDPI and/or the editor(s). MDPI and/or the editor(s) disclaim responsibility for any injury to people or property resulting from any ideas, methods, instructions or products referred to in the content. |
© 2024 by the authors. Licensee MDPI, Basel, Switzerland. This article is an open access article distributed under the terms and conditions of the Creative Commons Attribution (CC BY) license (https://creativecommons.org/licenses/by/4.0/).
Share and Cite
Yang, S.; Xian, Y.; Tang, W.; Fang, M.; Song, B.; Hu, Q.; Wu, Z. Patterns and Drivers of Greenhouse Gas Emissions in a Tropical Rubber Plantation from Hainan, Danzhou. Atmosphere 2024, 15, 1245. https://doi.org/10.3390/atmos15101245
Yang S, Xian Y, Tang W, Fang M, Song B, Hu Q, Wu Z. Patterns and Drivers of Greenhouse Gas Emissions in a Tropical Rubber Plantation from Hainan, Danzhou. Atmosphere. 2024; 15(10):1245. https://doi.org/10.3390/atmos15101245
Chicago/Turabian StyleYang, Siqi, Yuanhong Xian, Wei Tang, Mengyang Fang, Bo Song, Qing Hu, and Zhixiang Wu. 2024. "Patterns and Drivers of Greenhouse Gas Emissions in a Tropical Rubber Plantation from Hainan, Danzhou" Atmosphere 15, no. 10: 1245. https://doi.org/10.3390/atmos15101245
APA StyleYang, S., Xian, Y., Tang, W., Fang, M., Song, B., Hu, Q., & Wu, Z. (2024). Patterns and Drivers of Greenhouse Gas Emissions in a Tropical Rubber Plantation from Hainan, Danzhou. Atmosphere, 15(10), 1245. https://doi.org/10.3390/atmos15101245

