Urban Air Chemistry in Changing Times
Abstract
1. Introduction
2. A Menu for Urban Air Chemical Change
2.1. Urban Air Chemistry
| Gas | Chemistry | Sources | Hypothetical Change e |
|---|---|---|---|
| Carbon monoxide (CO) | Long lived slow reacting combustion tracer | Carbon fuel combustion | ↓ |
| Sulfur dioxide (SO2) | Sulfate reactant; oxidized in oxidant cycle | Fossil fuel contaminant | ↓ |
| Nitric oxide (NO) | Oxidant cycle | Fossil fuel combustion; power plants, vehicles; biomass burning | ↓ |
| Nitrogen dioxide (NO2) | Oxidant cycle; product of O3-NO reaction | Fossil fuel combustion; biomass burning | ↓ |
| Non-methane HC (NMHC) a | Part of VOC c; reactant for oxidant cycle | Incomplete combustion; industrial–commercial; vegetation | ↓ |
| Ozone (O3) | Oxidant photochemistry | Product of oxidant cycle | →? d |
| Nitric acid (HONO2) | Oxidant cycle | ↓ | |
| Organo-nitrates (e.g., PAN) | Oxidant cycle | Reactions of VOC and NOy | ↓? |
| Ammonia (NH3) | Cation for acid species | Agriculture; natural | ? |
| Formaldehyde and other aldehydes | Product of oxidant cycle | VOC oxidation; biomass burn | ↓? |
| Acetone | Product of oxidant cycle | VOC oxidation | ↓? |
| Acetylene | Combustion tracer | Auto exhaust | ↓ |
| H2O2 | Oxidant photochemistry | Product of oxidant cycle | →? |
| OH | Key product in oxidant cycle | Intermediate in O3 cycle | →? |
| RO2 b | Key product in oxidant cycle | Intermediate in O3 cycle | →? |
| PM2.5 Species | Chemistry | Sources | Hypothetical Change |
|---|---|---|---|
| PMx mass | |||
| Black carbon (BC) | Assumed inert but surface may be active | Incomplete combustion-fossil and biomass C | ↓? Affected by wildfires, reduced from improved combustion tech. |
| Organic carbon (OC) (Hydrocarbon rich; oxygen rich) | Primary species potentially oxidized; coupled to oxidant cycle VOC reactions | Incomplete combustion; vegetation emissions | ↓? Improved combustion tech., but natural VOC potentially important |
| Sulfate (SO4) | Product of sulfur gas oxidation by gas phase or heterogeneous reactions | Derived from SO2; gas from combustion of fossil fuel | ↓ |
| Nitrate (NO3) | Linked with oxidant cycle to form HNO3, NO3 and N2O5. | Traced to NOx from fuel combustion | ↓ |
| Ammonium (NH4) | Acid neutralization | Agriculture | → |
| Soil dust related species | Assumed inert, but potential for surface reactions | Road dust and blowing soil; cement production | ↑? |
| NaCl | Assumed inert, but may be a source of HCl | Sea salt | →? Affected by weather |
| Trace metals | Assumed inert; evidence of surface catalyst for SO2 oxidation | Ubiquitous from dust to industry | ↓? |
| Species | Chemistry | Reactivity a | Sources | Hypothetical Change |
|---|---|---|---|---|
| Methane | Oxidant chemistry; currently slow-non-reactive in urban air | Low | Natural gas; animal ruminations | ↑ |
| Ethane | Oxidant chemistry | Low | Natural gas; biomass burning | ↑ |
| Propane | Oxidant chemistry | Low | Petroleum gas; biomass burning | ↑ |
| i/n-Butane | Oxidant chemistry | Medium | Vehicle emissions; petroleum gas | →? |
| i/n-Pentane | Oxidant chemistry | Medium | Vehicle emissions; gas evaporation | ↑ |
| Ethene | Oxidant chemistry | High | Vehicle emissions | ↓ |
| Propene | Oxidant chemistry | High | Vehicle emissions | ↓ |
| Butene | Oxidant chemistry | High | Vehicle emissions | ↓ |
| Isoprene | Oxidant chemistry | High | Vegetation | ↑? b |
| Pentene | Oxidant chemistry | High | Vehicle emissions | ↓ |
| Ethanol | Oxidant chemistry | Medium | Vegetation; biofuel | ↑? |
| Benzene | Oxidant chemistry | Medium | Industrial, vehicle emissions; biomass burning | ↓ |
| Toluene | Oxidant chemistry | High | Solvents; vehicle emissions | ↓ |
| Xylenes | Oxidant chemistry | High | Solvents; vehicle emissions | ↓ |
| Pinenes | Oxidant chemistry | High | Vegetation | ↑? b |
| Oxygenates | Some primary sources; oxidant chemistry (Table 1) | High | Industrial, commercial operations | ? |
2.2. Influence of Reactants
2.3. Influence of Meteorology
3. Accounting for Chemical Change
3.1. Projecting Trends in Indicators
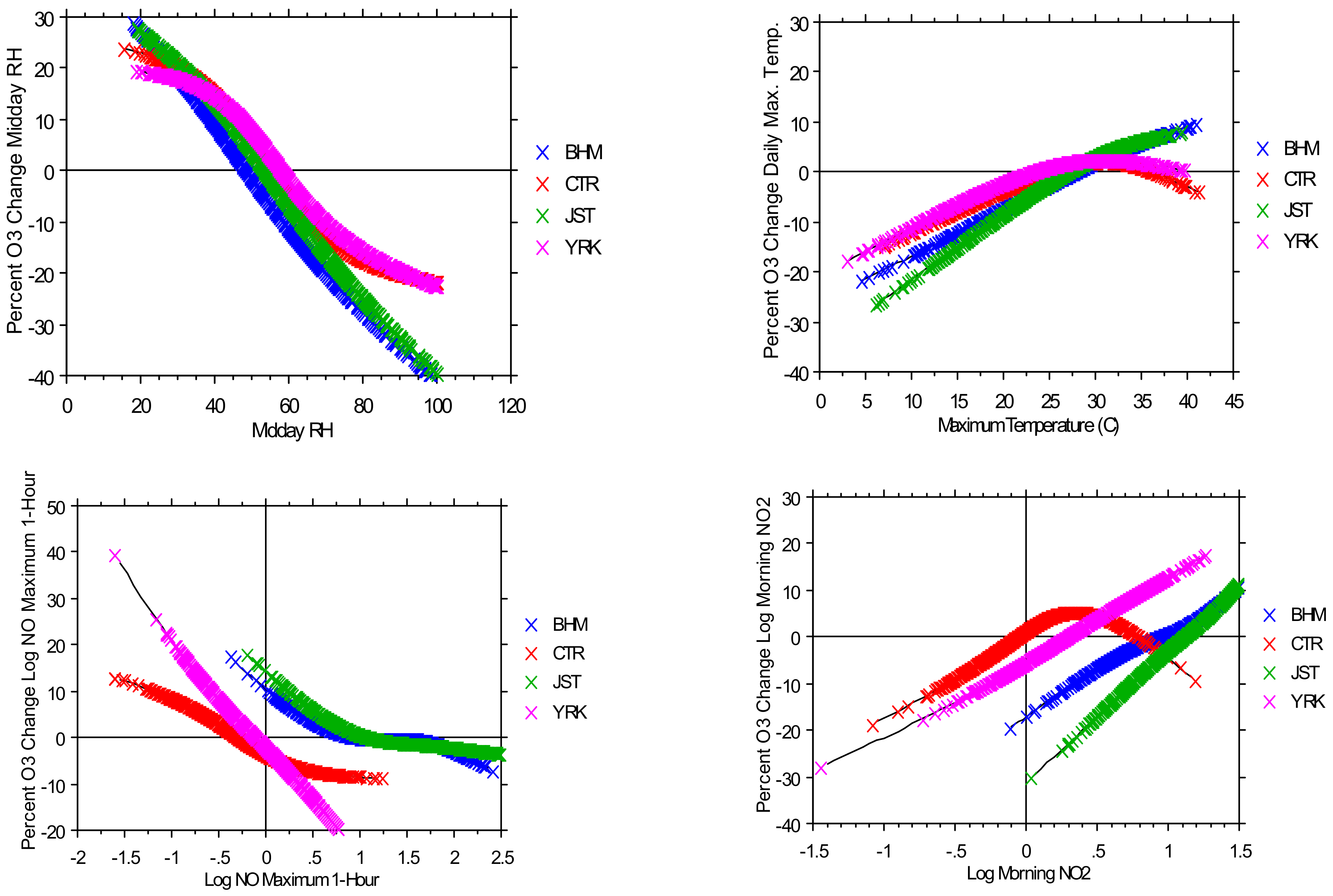
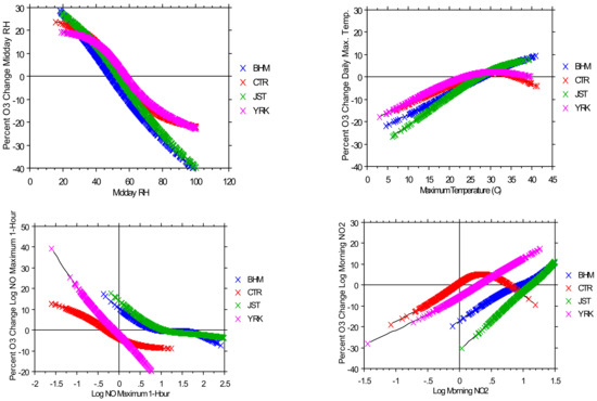
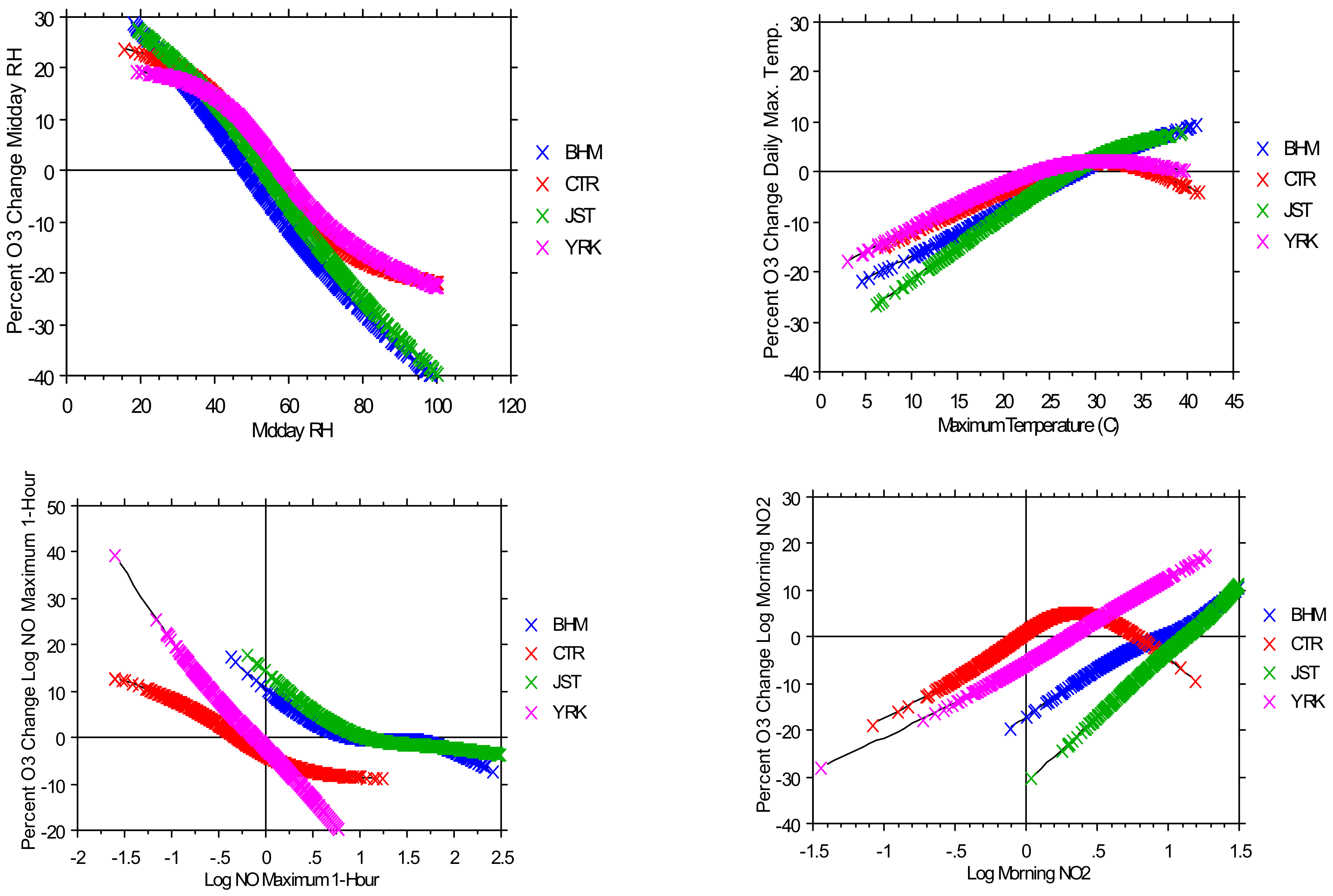
3.2. Detailed Analysis of the Measurements
3.3. Projections from Ambient Air Modeling
4. Discussion and Conclusions
Funding
Conflicts of Interest
Appendix A

| City | Population a | CO | SO2 | NOx | O3 | TSP b | Lead |
|---|---|---|---|---|---|---|---|
| Bangkok | 10.3 | L | L | L | L | H | M |
| Beijing | 11.5 | - | H | L | M | H | L |
| Buenos Aires | 13.0 | - | - | - | - | M | L |
| Cairo | 11.8 | M | - | - | - | H | H |
| Calcutta | 15.9 | - | L | L | - | H | L |
| Jakarta | 13.2 | M | L | L | M | H | M |
| London | 10.8 | M | L | L | L | L | L |
| Los Angeles | 10.9 | M | L | M | H | M | L |
| Manila | 11.5 | - | L | - | - | H | M |
| Mexico City | 24.4 | H | H | M | H | H | M |
| Moscow | 10.1 | M | - | M | -- | M | L |
| New York | 16.1 | M | L | L | M | L | L |
| Rio de Janeiro | 13.0 | L | M | - | - | M | L |
| Seoul | 13.0 | L | H | L | L | H | L |
| Shanghai | 14.7 | - | M | - | - | H | - |
| Tokyo | 21.3 | L | L | L | H | L | – |
| By Country | CO | SO2 | NOx | NMHC | TSP |
|---|---|---|---|---|---|
| United States | 66 | - | 43 | 48 a | - b |
| Germany | 74 | 6 | 65 | 53 a | - |
| United Kingdom | 86 | 2 | 49 | 32 a | - |
| By City | |||||
| Budapest | 81 | 12 | 57 | 75 | - |
| Cochin (India) | 70 | - | 77 | 95 | - |
| Delhi | 90 | 13 | 59 | 85 | 37 |
| Lagos | 91 | 27 | 62 | 20 | 69 |
| Mexico City | 97 | 22 | 75 | 53 | 35 |
| Santiago | 95 | 14 | 85 | 69 | 11 |
| Sao Paulo | 94 | 64 | 92 | 89 | 39 |
References
- Smith, R.A. Air and Rain; Longmans, Green & Co., Ltd.: London, UK, 1872. [Google Scholar]
- Bojkov, R.D. Surface Ozone during the Second Half of the Nineteenth Century. J. Clim. Appl. Meteorol. 1986, 25, 343–352. [Google Scholar] [CrossRef]
- Aitken, J. Collection of Scientific Papers; Cambridge University Press: London, UK, 1923. [Google Scholar]
- Landsburg, H. Atmospheric Condensation Nuclei. Ergeb. Kosm. Phys. 1938, 3, 155–222. [Google Scholar]
- Brimblecombe, P. The Big Smoke; Methuen: London, UK, 1987. [Google Scholar]
- Harrison, R. Urban atmospheric chemistry: A very special case for study. NPJ Clim. Atmos. Sci. 2018, 1, 20175. [Google Scholar] [CrossRef]
- Schrenk, H.; Hieman, H.; Clayton, G.; Gafafer, W.; Wexler, H. Air Pollution in Donora, Pa; Bull. 306; U.S. Public Health Service: Washington, DC, USA, 1949.
- Haagen Smit, A.; Bradley, C.; Fox, M. Ozone Formation in Photochemical Oxidation of Organic Substances. Ind. Eng. Chem. 1953, 45, 2086–2089. [Google Scholar] [CrossRef]
- Stern, A. History of Air pollution Legislation in the United States. J. Air Poll. Contr. Assoc. 1982, 32, 44–61. [Google Scholar] [CrossRef] [PubMed]
- U.S. Congress. The Air Quality Act of 1967; U.S. Public Law 90–148; U.S. Government: Washington, DC, USA, 1967.
- Leighton, P. Photochemistry of Air Pollution; Academic Press: New York, NY, USA, 1961. [Google Scholar]
- Finlayson-Pitts, B.; Pitts, J., Jr. Chemistry of the Upper and Lower Atmosphere; Academic Press: New York, NY, USA, 2000. [Google Scholar]
- Seinfeld, J.; Pandis, S. Atmospheric Chemistry and Physics; John and Wiley and Sons: New York, NY, USA, 2006. [Google Scholar]
- Hallquist, M.; Wenger, J.C.; Baltensperger, U.; Rudich, Y.; Simpson, D.; Claeys, M.; Dommen, J.; Donahue, N.M.; George, C.; Goldstein, A.H.; et al. The formation, properties and impact of secondary organic aerosol: Current and emerging issues. Atmos. Chem. Phys. 2009, 9, 3555–3762. [Google Scholar] [CrossRef]
- Carlton, A.; Wiedinmyer, C.; Kroll, J. A review of Secondary Organic Aerosol (SOA) formation from isoprene. Atmos. Chem. Phys. 2009, 9, 4987–5005. [Google Scholar] [CrossRef]
- Hidy, G.; Blanchard, C. The North American background aerosol and global aerosol variation. J. Air Waste Manag. Assoc. 2005, 55, 1585–1599. [Google Scholar] [CrossRef][Green Version]
- Congressional Research Service. Background Ozone: Challenges in Science and Policy. R45482. 2019. Available online: https://sgp.fas.org/crs/misc/R45482.pdf (accessed on 15 August 2021).
- Jamriska, M.; Dubois, T.; Skvortsov, A. Statistical characterization of bio-aerosol background in an urban environment. Atmos. Environ. 2012, 54, 439–448. [Google Scholar] [CrossRef]
- Roiger, A.; Huntreiser, H.; Schlager, H. Long range transport of air pollutants. In Atmospheric Physics; Schumann, U., Ed.; Springer: Berlin/Heidelberg, Germany, 2012. [Google Scholar] [CrossRef]
- Qian, W.; Quan, L.; Shi, S. Variations of the Dust Storms in China and its Climate Control. J. Clim. 2002, 15, 1216–1229. [Google Scholar] [CrossRef]
- Wikipedia. Wildfires in 2021. Available online: https://en.wikipedia.org/wiki/Wildfires_in_2021 (accessed on 15 December 2021).
- McMurry, P.; Shepherd, M.; Vickery, J. (Eds.) Particulate Matter Science for Policy Makers; Cambridge University Press: Cambridge, UK, 2004. [Google Scholar]
- U.S. Energy Information Administration. Annual Energy Outlook 2021. Available online: https://www.google.com.hk/url?sa=t&rct=j&q=&esrc=s&source=web&cd=&cad=rja&uact=8&ved=2ahUKEwjlsKPPo4H2AhX1slYBHcxnD6AQFnoECAkQAQ&url=https%3A%2F%2Fnangs.org%2Fanalytics%2Fdownload%2F6477_98746e3569d4350e2f00a2011814083d&usg=AOvVaw3xFY5ZKkRxzenKd8J3XKP6 (accessed on 30 September 2021).
- Carter, W. Development of ozone reactivity scales for volatile organic compounds. J. Air Waste Manag. Assoc. 1994, 44, 881–899. [Google Scholar] [CrossRef]
- U.S. Environmental Protection Agency. 2020 National Emissions Inventory (NEI). Available online: https://www.healthypeople.gov/2020/data-source/national-emissions-inventory (accessed on 2 September 2021).
- Henneman, L.; Shen, H.; Hogrefe, C.; Russell, A.; Zigler, M. Four decades of United States Mobile Source Pollutants: Spatial-Temporal Trends Assessed by Ground-Based Monitors, Air Quality Models, and Satellites. Environ. Sci. Technol. 2021, 55, 882–892. [Google Scholar] [CrossRef]
- U.S. Environmental Protection Agency. 2017 National Emission Inventory Based Photochemical Modeling for Sector Specific Air Quality Assessments; Office of Air Quality Planning and Standards: Research Triangle Park, NC, USA, 2017.
- Miller, C.A.; Hidy, G.; Hales, J.; Kolb, C.E.; Werner, A.S.; Haneke, B.; Parrish, D.; Frey, H.C.; Rojas-Bracho, L.; DesLauriers, M.; et al. Air emission inventories in North America: A Critical Assessment. J. Air Waste Manag. Assoc. 2006, 56, 1115–1129. [Google Scholar] [CrossRef]
- U.S. Energy Information Administration. International Energy Outlook 2021; Energy Information Administration: Washington, DC, USA, 2021. Available online: https://www.eia.gov/outlooks/ieo/ (accessed on 8 October 2021).
- Carlson, T. Mid-Latitude Weather Systems; American Meteorological Society: Boston, MA, USA, 1998. [Google Scholar]
- Hicks, B.; Novakovskia, E.; Dobosy, R.; Pendergrass, W., III. Temporal and spatial aspects of velocity variance in the urban surface roughness layer. J. Appl. Meteorol. Climatol. 2013, 52, 668–681. [Google Scholar] [CrossRef]
- U.S. Environmental Protection Agency. Heat Island Effect. Available online: https://www.epa.gov/heatislands (accessed on 2 September 2021).
- Barlow, J. Progress in observing and modeling the urban boundary layer. Urban Clim. 2014, 10, 216–240. [Google Scholar] [CrossRef]
- Zhao, L.; Oleson, K.; Bou-Zeid, E.; Krayenhoff, E.S.; Bray, A.; Zhu, Q.; Zheng, Z.; Chen, C.; Oppenheimer, M. Global multi-model projections of local urban climates. Nat. Clim. Chang. 2021, 11, 152–157. [Google Scholar] [CrossRef]
- National Academy of Sciences. Attribution of Extreme Weather Events in the Context of Climate Change; The National Academies Press: Washington, DC, USA, 2016. [Google Scholar]
- Wesley, M.; Hicks, B. A review of the current status of knowledge on dry deposition. Atmos. Environ. 2000, 34, 2260–2282. [Google Scholar] [CrossRef]
- Decina, S.; Hutyra, L.; Templer, P. Hotspots of nitrogen deposition in the world’s urban areas: A global data synthesis. Front. Ecol. Environ. 2020, 18, 92–100. [Google Scholar] [CrossRef]
- Lohse, K.; Hope, D.; Sponseller, R.; Allen, J.; Grimm, M. Atmospheric deposition of carbon and nutrients across an arid metropolitan area. Sci. Total Environ. 2008, 402, 95–105. [Google Scholar] [CrossRef]
- Irving, P. (Ed.) Acidic Deposition: State of Science and Technology. Precipitation Scavenging; U.S. National Acid Precipitation Program: Washington, DC, USA, 1991; Volume 1, pp. 109–168.
- Hidy, G.M.; Blanchard, C.L.; Baumann, K.; Edgerton, E.; Tanenbaum, S.; Shaw, S.; Knipping, E.; Tombach, I.; Jansen, J.; Walters, J. Chemical Climatology of the southeastern United States, 1999–2013. Atmos. Chem. Phys. 2014, 14, 11893–11914. [Google Scholar] [CrossRef]
- Yan, Y.; Pozzer, A.; Ojha, N.; Lin, J.; Lelieveld, J. Analysis of European ozone trends in the period 1995–2014. Atmos. Chem. Phys. 2018, 18, 5589–5605. [Google Scholar] [CrossRef]
- Xing, J.; Mathur, R.; Pleim, J.; Hogrefe, C.; Gan, C.M.; Wong, D.C.; Wei, C.; Wang, J. Air pollution and climate response to aerosol direct radiative effects: A modeling study of decadal trends across the northern hemisphere. J. Geophys. Res. Atmos. 2015, 120, 12–221. [Google Scholar] [CrossRef]
- Akiyoshi, I.; Wakamatsu, S.; Morikawa, T.; Kobayashi, S. 30 Years of Air Quality Trends in Japan. Atmosphere 2021, 12, 1072. [Google Scholar] [CrossRef]
- Mou, Y.; Song, Y.; Xu, Q.; He, Q.; Hu, A. Influence of Urban-Growth on Air Quality in China: A Study of 338 Cities. Int. J. Res. Public Health 2018, 15, 1805. [Google Scholar] [CrossRef] [PubMed]
- Hong, C.; Zhang, Q.; Zhang, Y.; Davis, S.J.; Tong, D.; Zheng, Y.; Liu, Z.; Guan, D.; He, K.; Schellnhuber, H.J. Impacts of climate change on future air quality and human health in China. Proc. Natl. Acad. Sci. USA 2019, 116, 17193–17200. [Google Scholar] [CrossRef] [PubMed]
- Nowak, D.; Civerolo, K.; Rao, S.; Sistla, G.; Ouley, C.; Crane, D.A. Modeling study of the impact of urban trees on ozone. Atmos. Environ. 2000, 34, 1601–1613. [Google Scholar] [CrossRef]
- Fitzky, A.C.; Sandén, H.; Karl, T.; Fares, S.; Calfapietra, C.; Grote, R.; Saunier, A.; Rewald, B. The Interplay between Ozone and Urban Vegetation—BVOC Emission, Ozone Deposition and Tree Ecophysiology. Front. For. Glob. Chang. 2019, 2, 50. [Google Scholar] [CrossRef]
- Welsby, D.; Price, J.; Ekins, P. Unextractable fossil fuels in a 1.5 °C world. Nature 2021, 597, 230–324. [Google Scholar] [CrossRef]
- Lewis, A. The changing face of urban air pollution: Volatile organic compounds in the U.S. urban air increasingly derive from consumer products. Science 2018, 359, 744–745. [Google Scholar] [CrossRef]
- Jaffe, D.A.; O’Neill, S.M.; Larkin, N.K.; Holder, A.L.; Peterson, D.L.; Halofsky, J.E.; Rappold, A.G. Wildfire and prescribed burning impacts on air quality in the United States. J. Air Waste Manag. Assoc. 2020, 70, 583–615. [Google Scholar] [CrossRef]
- Chen, J.; Li, C.; Ristovski, Z.; Milic, A.; Gu, Y.; Islam, M.S.; Wang, S.; Hao, J.; Zhang, H.; He, C.; et al. A review of biomass burning: Emissions and impacts on air quality and climate in China. Sci. Tot. Environ. 2017, 579, 1000–1034. [Google Scholar] [CrossRef]
- Urbanski, S.; Hap, W.; Baker, S. Chemical composition of wildland fire emissions. In Developments in Environmental Science; Bytneroweiz, A., Arbaugh, M., Andersen, C., Riebau, A., Eds.; Elsevier: London, UK, 2009; Volume 8, Chapter 4. [Google Scholar]
- Blanchard, C.; Shaw, S.; Edgerton, E.; Schwab, J. Emission influences on air pollutant concentrations in New York State: I. ozone. Atmos. Environ. 2019, 3, 100033. [Google Scholar] [CrossRef]
- Hidy, G.M.; Blanchard, C.L. Precursor reductions and ground-level ozone in the continental United States. J. Air Waste Manag. Assoc. 2015, 65, 1261–1282. [Google Scholar] [CrossRef]
- Blanchard, C.; Shaw, S.; Edgerton, E.; Schwab, J. Ambient PM2.5 organic and elemental carbon in New York City: Changing source contributions during a decade of large emission reductions. J. Air Waste Manag. Assoc. 2021, 71, 995–1012. [Google Scholar] [CrossRef]
- Hopke, P.; Dai, Q.; Li, L.; Feng, Y. Global review of recent source apportionments for airborne particulate matter. Sci. Tot. Environ. 2020, 740, 140091. [Google Scholar] [CrossRef]
- U.S. Environmental Protection Agency. Chemical Mass Balance Model. Available online: www.epa.gov/scram/chemical-mass-balance-cmb-model (accessed on 28 September 2021).
- Liu, H.; Zhang, M.; Ham, X. A review of surface ozone source apportionment in China. Atmos. Ocean. Sci. Let. 2020, 13, 470–484. [Google Scholar] [CrossRef]
- Blanchard, C.; Hidy, G. Ozone in the Southeastern United States: An Observationally-Based Model Using Measurements from the SEARCH Network. Atmos. Environ. 2014, 48, 192–200. [Google Scholar] [CrossRef]
- National Research Council. Rethinking the Ozone Problem in Urban and Regional Air Pollution; National Academy Press: Washington, DC, USA, 1991. [Google Scholar]
- Lin, X.; Trainer, M.; Liu, S.C. On the nonlinearity of the tropospheric ozone production. J. Geophys. Res. Atmos. 1988, 93, 15879–15888. [Google Scholar] [CrossRef]
- Blanchard, C.; Hidy, G. Ozone Response to Emission Reductions in the Southeastern United States. Atmos. Chem. Phys. 2018, 18, 8183–8202. [Google Scholar] [CrossRef]
- Ninneman, M.; Demerjian, K.; Schwab, J. Ozone Production Efficiencies at Rural New York State Locations: Relationship to Oxides of Nitrogen Concentrations. J. Geophy. Res. Atmos. 2019, 124, 2363–2376. [Google Scholar] [CrossRef]
- Kim, Y.; Wu, Y.; Seigneur, C.; Roustan, Y. Multi-scale modeling of urban air pollution: Development and application of a Street-in-Grid model (v1.0) by coupling MUNICH (v1.0) and Polair3D (v1.8.1). J. Geosci. Model Dev. 2018, 11, 611–629. [Google Scholar] [CrossRef]
- Mailler, S.; Menut, L.; Khvorostyanov, D.; Valari, M.; Couvidat, F.; Siour, G.; Turquety, S.; Briant, R.; Tuccella, P.; Bessagnet, B.; et al. CHIMERE_2017: From urban to hemispheric chemistry-transport modeling. J. Geosci. Model Dev. 2017, 10, 2397–24223. [Google Scholar] [CrossRef]
- Carter, W. Development of a Condensed SAPRAC-07 Chemical Mechanism. Atmos. Environ. 2010, 44, 5336–5345. [Google Scholar] [CrossRef]
- U.S. Environmental Protection Agency. The Community Multiscale Air Quality Modeling System. Available online: www.epa.gov/cmaq (accessed on 4 September 2021).
- Yu, S.; Sawar, G.; Kang, D.; Tong, D.; Pouliot, G.; Pleim, J.; Mathur, R. CMAQ air quality forecasts for O3 and related species using three different photochemical mechanisms (CBS, CB05, SAPRC-99): Comparison with measurements during the 2004 ICARTT study. Atmos. Chem. Phys. 2010, 10, 3001–3025. [Google Scholar] [CrossRef]
- Jiminez, P.; Baldasano, J.; Dabdub, D. Comparison of photochemical mechanisms for air quality modeling. Atmos. Environ. 2003, 37, 4179–4194. [Google Scholar] [CrossRef]
- Deroubaix, A.; Brasseur, G.; Gaubert, B.; Labuhn, I.; Menut, L.; Siour, G.; Tuccella, P. Response of surface ozone concentration to emission reduction and meteorology during the COVID-19 lockdown in Europe. Meteorol. Appl. 2021, 28, e1990. [Google Scholar] [CrossRef]
- Yang, J.; Wen, Y.; Wang, Y.; Zhang, S.; Pinto, J.P.; Pennington, E.A.; Wang, Z.; Wu, Y.; Sander, S.P.; Jiang, J.H.; et al. From COVID-19 to future electrification: Assessing traffic impacts on air quality by a machine-learning model. Proc. Natl. Acad. Sci. USA 2021, 118, e2102705118. [Google Scholar] [CrossRef]
- Kim, M.; Park, R.; Kim, J. Urban air quality modeling with full O3-NOx-VOC chemistry: Implications for O3 and PM air Quality in a street canyon. Atmos. Environ. 2012, 47, 330–340. [Google Scholar] [CrossRef]
- Dawson, J.; Adams, P.; Pandis, S. Sensitivity of ozone to summertime climate in the eastern USA: A modeling case study. Atmos. Environ. 2007, 41, 1494–1511. [Google Scholar] [CrossRef]
- Colette, A.; Granier, C.; Hodnebrog, O.; Jakobs, H.; Maurizi, A.; Nyiri, A.; Bessagnet, B.; D’Angiola, A.; D’Isidoro, M.; Gauss, M.; et al. Air Quality Trends in Europe over the Past Decade: A first Multi-Model Assessment. Atmos. Chem. Phys. 2012, 12, 11657–11678. [Google Scholar] [CrossRef]
- Royal Society. Ground-Level Ozone in the 21st Century: Future Trends, Impacts and Policy Implications; Report 15/08; Royal Society: London, UK, 2008. [Google Scholar]
- Springmann, M.; Knopf, D.; Riemer, N. Detailed heterogeneous chemistry in an urban plume box model: Reversible co-adsorption of O3, NO2 and H2O on soot coated with benzo[a]pyrene. Atmos. Chem. Phys. 2009, 9, 7461–7479. [Google Scholar] [CrossRef]
- Archibald, A.; Turnock, S.; Griffiths, P.; Cox, T.; Dent, R.; Kbnote, C.; Shin, M. On the changes in surface ozone over the 21st century: Sensitivity to changes in surface temperature and chemical mechanisms. Phil. Trans. R. Soc. A 2020, 378, 20190329. [Google Scholar] [CrossRef]
- Austin, E.; Zanobetti, A.; Coull, B.; Schwartz, J.; Gold, D.; Koutrakis, P. Ozone trends and their relationship to characteristic weather patterns. J. Expo. Sci. Environ. Epidemiol. 2015, 25, 532–542. [Google Scholar] [CrossRef]
- Harrington, W.; McConnell, V. Motor Vehicles and the Environment; Resources for the Future: Washington, DC, USA, 2003. [Google Scholar]






Publisher’s Note: MDPI stays neutral with regard to jurisdictional claims in published maps and institutional affiliations. |
© 2022 by the author. Licensee MDPI, Basel, Switzerland. This article is an open access article distributed under the terms and conditions of the Creative Commons Attribution (CC BY) license (https://creativecommons.org/licenses/by/4.0/).
Share and Cite
Hidy, G.M. Urban Air Chemistry in Changing Times. Atmosphere 2022, 13, 327. https://doi.org/10.3390/atmos13020327
Hidy GM. Urban Air Chemistry in Changing Times. Atmosphere. 2022; 13(2):327. https://doi.org/10.3390/atmos13020327
Chicago/Turabian StyleHidy, George M. 2022. "Urban Air Chemistry in Changing Times" Atmosphere 13, no. 2: 327. https://doi.org/10.3390/atmos13020327
APA StyleHidy, G. M. (2022). Urban Air Chemistry in Changing Times. Atmosphere, 13(2), 327. https://doi.org/10.3390/atmos13020327
