Numerical Study of the Interaction between Oasis and Urban Areas within an Arid Mountains-Desert System in Xinjiang, China
Abstract
1. Introduction
2. Experiments
2.1. Study Area
2.2. Model Description and Configuration
2.3. Mapping of Land Use Land Cover Types
2.4. Set-Up for Modeling-Based Sensitivity Study
3. Results and Discussions
3.1. Evaluation of ALARO-SURFEX over Xinjiang
3.2. The Oasis–Desert Breeze Circulation in the Context of the Mountain-Desert System
3.2.1. The Mountain-Plain Wind System
3.2.2. Oasis–Desert Breeze Circulation
3.3. Synergistic Interaction between the OBC and the UBC
3.3.1. Spatial Distribution of Temperature and Wind at the Lowest Model Level
3.3.2. Vertical Velocity Cross Section
3.3.3. Vertical Specific Humidity Cross Section
3.3.4. Surface Energy Balance
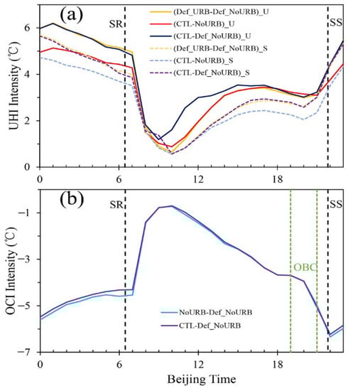
3.3.5. Oasis Cold Island and Urban Heat Island Interactions
4. Conclusions
Author Contributions
Funding
Acknowledgments
Conflicts of Interest
References
- Luo, G.; Zhou, C.; Chen, X. Human-induced spatio-temporal changes of oasis through landscape pattern analysis:a case study of oasis in the Sangong Rive. Acta Ecol. Sin. 2005, 25, 2197–2205. [Google Scholar]
- Luo, G.; Feng, Y.; Zhang, B.; Cheng, W. Sustainable land-use patterns for arid lands: A case study in the northern slope areas of the Tianshan Mountains. J. Geogr. Sci. 2010, 20, 510–524. [Google Scholar] [CrossRef]
- Pielke, R.A.S. Influence of the spatial distribution of vegetation and soils on the prediction of cumulus convective rainfall. Rev. Geophys. 2001, 39, 151–177. [Google Scholar] [CrossRef]
- Van Bavel, C. Changes in canopy resistance to water loss from alfalfa induced by soil water depletion. J. Agric. Meteorol. 1967, 4, 165–176. [Google Scholar] [CrossRef]
- Su, C.; Hu, Y.; Zhang, Y.; Wei, G. The microclimate character and “cold island effect” over the oasis in Hexi region. Chin. J. Atmos. Sci. 1987, 11, 390–396. [Google Scholar]
- Hu, Y.; Gao, Y.; Wang, J.; Ji, G.; Shen, Z.; Cheng, L.; Chen, J.; Li, S. Some achievements in scientific research during HEIFE. Plateau Meteorol. 1994, 13, 225–236. [Google Scholar]
- Meng, X.; Lu, S.; Gao, Y.; Guo, J. Simulated effects of soil moisture on oasis self-maintenance in a surrounding desert environment in Northwest China. Int. J. Clim. 2015, 35, 4116–4125. [Google Scholar] [CrossRef]
- Liu, S.; Hintz, M.; Li, X. Evaluation of atmosphere–land interactions in an LES from the perspective of heterogeneity propagation. Adv. Atmos. Sci. 2016, 33, 571–578. [Google Scholar] [CrossRef][Green Version]
- Gao, Y.; Chen, Y.; Lü, S. Numerical simulation of the critical scale of oasis maintenance and development in the arid regions of northwest China. Adv. Atmos. Sci. 2004, 21, 113–124. [Google Scholar] [CrossRef]
- Chu, P.C.; Lu, S.; Chen, Y. A numerical modeling study on desert oasis self-supporting mechanisms. J. Hydrol. 2005, 312, 256–276. [Google Scholar] [CrossRef]
- Meng, X.; Lü, S.; Zhang, T.; Guo, J.; Gao, Y.; Bao, Y.; Wen, L.; Luo, S.; Liu, Y. Numerical simulations of the atmospheric and land conditions over the Jinta oasis in northwestern China with satellite-derived land surface parameters. J. Geophys. Res. Atmos. 2009, 114, D06114. [Google Scholar] [CrossRef]
- Wen, X.; Lu, S.; Jin, J. Integrating remote sensing data with WRF for improved simulations of oasis effects on local weather processes over an arid region in northwestern China. J. Hydrometeorol. 2012, 13, 573–587. [Google Scholar] [CrossRef]
- Li, X.; Yang, K.; Zhou, Y. Progress in the study of oasis-desert interactions. Agric. Meteorol. 2016, 230, 1–7. [Google Scholar] [CrossRef]
- Hu, Y.; Gao, Y. Some new understandings of processes at the land surface in arid area from the HEIFE. Acta Meteorol. Sin. 1994, 52, 285–296. [Google Scholar]
- Meng, X.; Lu, S.; Zhang, T.; Ao, Y.; Li, S.; Bao, Y.; Wen, L.; Luo, S. Impacts of inhomogeneous landscapes in oasis interior on the oasis self-maintenance mechanism by integrating numerical model with satellite data. Hydrol. Earth Syst. Sci. 2012, 16, 3729–3738. [Google Scholar] [CrossRef]
- Zhang, Q.; Huang, R. Water vapor exchange between soil and atmosphere over a Gobi surface near an oasis in the summer. J. Appl. Meteorol. 2004, 43, 1917–1928. [Google Scholar] [CrossRef]
- Han, B.; Lü, S.; Ao, Y. Analysis on the interaction between turbulence and secondary circulation of the surface layer at Jinta oasis in summer. Adv. Atmos. Sci. 2010, 27, 605–620. [Google Scholar] [CrossRef]
- Zhang, M.; Luo, G.; Hamdi, R.; Qiu, Y.; Wang, X.; Maeyer, P.D.; Kurban, A. Numerical Simulations of the Impacts of Mountain on Oasis Effects in Arid Central Asia. Atmosphere 2017, 8, 212. [Google Scholar] [CrossRef]
- Arritt, R.W.; Wilczak, J.M.; Young, G.S. Observations and numerical modeling of an elevated mixed layer. Mon. Weather Rev. 1992, 120, 2869–2880. [Google Scholar] [CrossRef][Green Version]
- Chen, F.; Avissar, R. Impact of land-surface moisture variability on local shallow convective cumulus and precipitation in large-scale models. J. Appl. Meteorol. 1994, 33, 1382–1401. [Google Scholar] [CrossRef]
- Kai, K.; Matsuda, M.; Sato, R. Oasis effect observed at Zhangye oasis in the Hexi corridor, China. J. Meteorol. Soc. Jpn. Ser. II 1997, 75, 1171–1178. [Google Scholar] [CrossRef]
- Roland, B.S. An Introduction to Boundary Layer Meteorology; Kluwer Academic Publishers: Dordrecht, The Netherlands, 1988. [Google Scholar]
- Chen, X.; Luo, G. Researches and progress of oasis ecology in arid areas. Arid Land Geogr. 2008, 4, 7. [Google Scholar]
- Zhang, Q.; Luo, G.; Li, L.; Zhang, M.; Lv, N.; Wang, X. An analysis of oasis evolution based on land use and land cover change: A case study in the Sangong River Basin on the northern slope of the Tianshan Mountains. J. Geogr. Sci. 2017, 27, 223–239. [Google Scholar] [CrossRef]
- Cai, P.; Hamdi, R.; Luo, G.; He, H.; Zhang, M.; Termonia, P.; De Maeyer, P. Agriculture intensification increases summer precipitation in Tianshan Mountains, China. Atmos. Res. 2019, 227, 140–146. [Google Scholar] [CrossRef]
- Bader, D.; Blake, R.; Grimm, A.; Hamdi, R.; Kim, Y.; Horton, R.; Rosenzweig, C. Urban Climate Science. In Climate Change and Cities: Second Assessment Report of the Urban Climate Change Research Network; Rosenzweig, C., Romero-Lankao, P., Mehrotra, S., Dhakal, S., Ali Ibrahim, S., Solecki, W.D., Eds.; Cambridge University Press: Cambridge, UK, 2018; pp. 27–60. [Google Scholar] [CrossRef]
- Oke, T.R.; Mills, G.; Christen, A.; Voogt, J.A. Urban Climates; Cambridge University Press: Cambridge, UK, 2017. [Google Scholar]
- Xu, C.; Chen, Y.; Yang, Y.; Hao, X.; Shen, Y. Hydrology and water resources variation and its response to regional climate change in Xinjiang. J. Geogr. Sci. 2010, 20, 599–612. [Google Scholar] [CrossRef]
- Li, Q.; Chen, Y.; Shen, Y.; Li, X.; Xu, J. Spatial and temporal trends of climate change in Xinjiang, China. J. Geogr. Sci. 2011, 21, 1007. [Google Scholar] [CrossRef]
- Hu, Z.; Zhang, C.; Hu, Q.; Tian, H. Temperature Changes in Central Asia from 1979 to 2011 Based on Multiple Datasets. J. Clim. 2013, 27, 1143–1167. [Google Scholar] [CrossRef]
- Luo, M.; Liu, T.; Frankl, A.; Duan, Y.; Meng, F.; Bao, A.; Kurban, A.; De Maeyer, P. Defining spatiotemporal characteristics of climate change trends from downscaled GCMs ensembles: How climate change reacts in Xinjiang, China. Int. J. Clim. 2018, 38, 2538–2553. [Google Scholar] [CrossRef]
- Gerard, L.; Piriou, J.-M.; Brožková, R.; Geleyn, J.-F.; Banciu, D. Cloud and precipitation parameterization in a meso-gamma-scale operational weather prediction model. Mon. Weather Rev. 2009, 137, 3960–3977. [Google Scholar] [CrossRef]
- Termonia, P.; Fischer, C.; Bazile, E.; Bouyssel, F.; Brožková, R.; Bénard, P.; Bochenek, B.; Degrauwe, D.; Derková, M.; El Khatib, R. The ALADIN System and its canonical model configurations AROME CY41T1 and ALARO CY40T1. Geosci. Model Dev. 2018, 11, 257. [Google Scholar] [CrossRef]
- Bubnová, R.; Hello, G.; Bénard, P.; Geleyn, J.-F. Integration of the fully elastic equations cast in the hydrostatic pressure terrain-following coordinate in the framework of the ARPEGE/Aladin NWP system. Mon. Weather Rev. 1995, 123, 515–535. [Google Scholar] [CrossRef]
- Hamdi, R.; Van de Vyver, H.; Termonia, P. New cloud and microphysics parameterisation for use in high-resolution dynamical downscaling: Application for summer extreme temperature over Belgium. Int. J. Clim. 2012, 32, 2051–2065. [Google Scholar] [CrossRef]
- De Troch, R.; Hamdi, R.; Van de Vyver, H.; Geleyn, J.-F.; Termonia, P. Multiscale performance of the ALARO-0 model for simulating extreme summer precipitation climatology in Belgium. J. Clim. 2013, 26, 8895–8915. [Google Scholar] [CrossRef]
- Giot, O.; Termonia, P.; Degrauwe, D.; De Troch, R.; Caluwaerts, S.; Smet, G.; Berckmans, J.; Deckmyn, A.; De Cruz, L.; De Meutter, P. Validation of the ALARO-0 model within the EURO-CORDEX framework. Geosci. Model Dev. 2016, 9, 1143–1152. [Google Scholar] [CrossRef]
- Berckmans, J.; Giot, O.; Troch, R.D.; Hamdi, R.; Ceulemans, R.; Termonia, P. Reinitialised versus continuous regional climate simulations using ALARO-0 coupled to the land surface model SURFEXv5. Geosci. Model Dev. 2017, 10, 223–238. [Google Scholar] [CrossRef]
- Termonia, P.; Van Schaeybroeck, B.; De Cruz, L.; De Troch, R.; Caluwaerts, S.; Giot, O.; Hamdi, R.; Vannitsem, S.; Duchêne, F.; Willems, P.; et al. The CORDEX.be initiative as a foundation for climate services in Belgium. Clim. Serv. 2018, 11, 49–61. [Google Scholar] [CrossRef]
- Giorgi, F.; Mearns, L.O. Introduction to special section: Regional climate modeling revisited. J. Geophys. Res. Atmos. 1999, 104, 6335–6352. [Google Scholar] [CrossRef]
- Seneviratne, S.I.; Corti, T.; Davin, E.L.; Hirschi, M.; Jaeger, E.B.; Lehner, I.; Orlowsky, B.; Teuling, A.J. Investigating soil moisture–climate interactions in a changing climate: A review. Earth Sci. Rev. 2010, 99, 125–161. [Google Scholar] [CrossRef]
- Masson, V.; Le Moigne, P.; Martin, E.; Faroux, S.; Alias, A.; Alkama, R.; Belamari, S.; Barbu, A.; Boone, A.; Bouyssel, F. The SURFEXv7. 2 land and ocean surface platform for coupled or offline simulation of earth surface variables and fluxes. Geosci. Model Dev. 2013, 6, 929–960. [Google Scholar] [CrossRef]
- Noilhan, J.; Planton, S. A simple parameterization of land surface processes for meteorological models. Mon. Weather Rev. 1989, 117, 536–549. [Google Scholar] [CrossRef]
- Masson, V. A physically-based scheme for the urban energy budget in atmospheric models. Bound. Layer Meteorol. 2000, 94, 357–397. [Google Scholar] [CrossRef]
- Hamdi, R.; Van de Vyver, H.; De Troch, R.; Termonia, P. Assessment of three dynamical urban climate downscaling methods: Brussels’s future urban heat island under an A1B emission scenario. Int. J. Clim. 2014, 34, 978–999. [Google Scholar] [CrossRef]
- Hamdi, R.; Degrauwe, D.; Duerinckx, A.; Cedilnik, J.; Costa, V.; Dalkilic, T.; Essaouini, K.; Jerczynki, M.; Kocaman, F.; Kullmann, L. Evaluating the performance of SURFEXv5 as a new land surface scheme for the ALADINcy36 and ALARO-0 models. Geosci. Model Dev. 2014, 7, 23–39. [Google Scholar] [CrossRef]
- Hamdi, R.; Giot, O.; De Troch, R.; Deckmyn, A.; Termonia, P. Future climate of Brussels and Paris for the 2050s under the A1B scenario. Urban Clim. 2015, 12, 160–182. [Google Scholar] [CrossRef]
- Hamdi, R.; Duchêne, F.; Berckmans, J.; Delcloo, A.; Vanpoucke, C.; Termonia, P. Evolution of urban heat wave intensity for the Brussels Capital Region in the ARPEGE-Climat A1B scenario. Urban Clim. 2016, 17, 176–195. [Google Scholar] [CrossRef]
- Dee, D.P.; Uppala, S.M.; Simmons, A.; Berrisford, P.; Poli, P.; Kobayashi, S.; Andrae, U.; Balmaseda, M.; Balsamo, G.; Bauer, D.P. The ERA-Interim reanalysis: Configuration and performance of the data assimilation system. Q. J. R. Meteorol. Soc. 2011, 137, 553–597. [Google Scholar] [CrossRef]
- Warner, T.T.; Peterson, R.A.; Treadon, R.E. A tutorial on lateral boundary conditions as a basic and potentially serious limitation to regional numerical weather prediction. Bull. Am. Meteorol. Soc. 1997, 78, 2599–2618. [Google Scholar] [CrossRef]
- Davies, T. Lateral boundary conditions for limited area models. Q. J. R. Meteorol. Soc. 2014, 140, 185–196. [Google Scholar] [CrossRef]
- Masson, V.; Champeaux, J.-L.; Chauvin, F.; Meriguet, C.; Lacaze, R. A global database of land surface parameters at 1-km resolution in meteorological and climate models. J. Clim. 2003, 16, 1261–1282. [Google Scholar] [CrossRef]
- Faroux, S.; Kaptué Tchuenté, A.; Roujean, J.-L.; Masson, V.; Martin, E.; Moigne, P.L. ECOCLIMAP-II/Europe: A twofold database of ecosystems and surface parameters at 1 km resolution based on satellite information for use in land surface, meteorological and climate models. Geosci. Model Dev. 2013, 6, 563–582. [Google Scholar] [CrossRef]
- Qiu, Y.; Hu, Q.; Zhang, C. WRF simulation and downscaling of local climate in Central Asia: WRF SIMULATION AND DOWNSCALING IN CENTRAL ASIA. Int. J. Clim. 2017, 37, 513–528. [Google Scholar] [CrossRef]
- Savijärvi, H.; Liya, J. Local winds in a valley city. Bound. Layer Meteorol. 2001, 100, 301–319. [Google Scholar] [CrossRef]
- Rojas, J.L.F.; Pereira Filho, A.J.; Karam, H.A.; Vemado, F.; Masson, V. Effects of explicit urban-canopy representation on local circulations above a tropical mega-city. Bound. Layer Meteorol. 2018, 166, 83–111. [Google Scholar] [CrossRef]
- Wang, J. Land surface process experiments and interaction study in China-from HEIFE to IMGRASS and GAME-TIBET/TIPEX. Plateau Meteorol. 1999, 18, 280–293. [Google Scholar]
- Tsukamoto, O.; Sahashi, K.; Wang, J. Heat budget and evapotranspiration at an oasis surface surrounded by desert. J. Meteorol. Soc. Jpn. Ser. II 1995, 73, 925–935. [Google Scholar] [CrossRef][Green Version]
- Liu, C. Simulating Energy Balance and Hydrologic Cycle in a Desert-Oasis Transitional Zone Using RZWQM2; McGill University Libraries: Montreal, QC, Canada, 2017. [Google Scholar]
- Jia, J.; Zhao, W.; Li, S. Regional evapotranspiration rate of oasis and surrounding desert. Hydrol. Process. 2013, 27, 3409–3414. [Google Scholar] [CrossRef]
- Garcia-Cueto, R.; Jauregui, E.; Tejeda, A. Urban/rural Energy Balance Observations in a Desert City in Northern Mexico. In Proceedings of the Fifth International Conference on Urban Climate, ICUC-5, Łódź, Poland, 1–5 September 2003. [Google Scholar]











| Experiment | Oasis Cover | Urban Cover |
|---|---|---|
| New_URB (CTL) | updated | updated (TEB on) |
| New_NoURB | updated | replaced by surrounding |
| Def_NoURB | default | replaced by surrounding natural vegetation (TEB off) |
| Def_URB | default | updated (TEB on) |
| OASIS_Eff = New_NoURB − Def_NoURB | oasis expansion effect | |
| URBAN_Eff_New = CTL − New_NoURB | urban effect in present oasis condition | |
| URBAN_Eff_Def = Def_URB − Def_NoURB | urban effect in default oasis condition | |
| COMBI_Eff = CTL − Def_NoURB | oasis expansion and urbanization effect | |
| Variable | MBE | RMSE | R2 |
|---|---|---|---|
| Maximum Temperature | −3.69 (°C) | 3.86 | 0.76 |
| Minimum Temperature | −0.54 (°C) | 1.11 | 0.75 |
| Mean Temperature | −1.62 (°C) | 1.90 | 0.77 |
| Relative Humidity | −4.12 (%) | 6.53 | 0.40 |
© 2020 by the authors. Licensee MDPI, Basel, Switzerland. This article is an open access article distributed under the terms and conditions of the Creative Commons Attribution (CC BY) license (http://creativecommons.org/licenses/by/4.0/).
Share and Cite
Cai, P.; Hamdi, R.; He, H.; Luo, G.; Wang, J.; Zhang, M.; Li, C.; Termonia, P.; De Maeyer, P. Numerical Study of the Interaction between Oasis and Urban Areas within an Arid Mountains-Desert System in Xinjiang, China. Atmosphere 2020, 11, 85. https://doi.org/10.3390/atmos11010085
Cai P, Hamdi R, He H, Luo G, Wang J, Zhang M, Li C, Termonia P, De Maeyer P. Numerical Study of the Interaction between Oasis and Urban Areas within an Arid Mountains-Desert System in Xinjiang, China. Atmosphere. 2020; 11(1):85. https://doi.org/10.3390/atmos11010085
Chicago/Turabian StyleCai, Peng, Rafiq Hamdi, Huili He, Geping Luo, Jin Wang, Miao Zhang, Chaofan Li, Piet Termonia, and Philippe De Maeyer. 2020. "Numerical Study of the Interaction between Oasis and Urban Areas within an Arid Mountains-Desert System in Xinjiang, China" Atmosphere 11, no. 1: 85. https://doi.org/10.3390/atmos11010085
APA StyleCai, P., Hamdi, R., He, H., Luo, G., Wang, J., Zhang, M., Li, C., Termonia, P., & De Maeyer, P. (2020). Numerical Study of the Interaction between Oasis and Urban Areas within an Arid Mountains-Desert System in Xinjiang, China. Atmosphere, 11(1), 85. https://doi.org/10.3390/atmos11010085

