Study of Chemical and Optical Properties of Biomass Burning Aerosols during Long-Range Transport Events toward the Arctic in Summer 2017
Abstract
1. Introduction
2. Experiments
2.1. Period and Area of Investigation
2.2. Instruments and Models
2.2.1. Ground-Based Data
2.2.2. Columnar Integrated Data
2.2.3. Vertically Resolved Data
2.2.4. Preparation of Modelled Datasets
3. Results
3.1. Biomass Burning Events
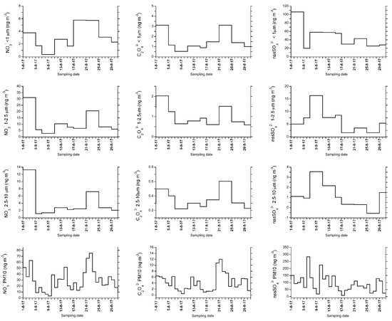
3.2. Chemical Speciation and Optical Properties at Ground-Level (Svalbard)
3.3. Optical Impact in the Arctic: Vertical and Columnar Measurements
4. Discussion and Conclusions
Supplementary Materials
Author Contributions
Funding
Acknowledgments
Conflicts of Interest
References
- Global Warming of 1.5 ºC. Available online: https://www.ipcc.ch/sr15/ (accessed on 7 January 2020).
 - Moritz, M.A.; Parisien, M.A.; Batllori, E.; Krawchuk, M.A.; Van Dorn, J.; Ganz, D.J.; Hayhoe, K. Climate change and disruptions to global fire activity. Ecosphere 2012, 3, 1–22. [Google Scholar] [CrossRef]
 - Gillett, N.P.; Weaver, A.J.; Zwiers, F.W.; Flannigan, M.D. Detecting the effect of climate change on Canadian forest fires. Geophys. Res. Lett. 2004, 31, L18211. [Google Scholar] [CrossRef]
 - Alonso-Blanco, E.; Calvo, A.I.; Pont, V.; Mallet, M.; Fraile, R.; Castro, A. Impact of Biomass Burning on Aerosol Size Distribution, Aerosol Optical Properties and Associated Radiative Forcing. Aerosol Air Qual. Res. 2014, 14, 708–724. [Google Scholar] [CrossRef]
 - Xinghua, L.; Junzan, H.; Hopke, P.K.; Hu, J.; Shu, Q.; Chang, Q.; Ying, Q. Quantifying primary and secondary humic-like substances in urbanaerosol based on emission source characterization and asource-oriented air quality model. Atmos. Chem. Phys. 2013, 19, 2327–2341. [Google Scholar]
 - Andreae, M.O.; Merlet, P. Emission of trace gases and aerosols from biomass burning. Glob. Biogeochem. Cycles 2001, 15, 955–966. [Google Scholar] [CrossRef]
 - Eck, T.F.; Holben, B.N.; Ward, D.E.; Dubovik, O.; Reid, J.S.; Smirnov, A.; Mukelabai, M.M.; Hsu, N.C.; O’Neill, N.T.; Slutsker, I. Characterization of the optical properties of biomass burning aerosols in Zambia during the 1997 ZIBBEE field campaign. J. Geophys. Res. Atmos. 2001, 106, 3425–3448. [Google Scholar] [CrossRef]
 - Ferrero, L.; Riccio, A.; Ferrini, B.S.; D’Angelo, L.; Rovelli, G.; Casati, M.; Angelini, F.; Barnaba, F.; Gobbi, G.P.; Cataldi, M.; et al. Satellite AOD conversion into ground PM10, PM2.5 and PM1 over the Po Valley (Milan, Italy) exploiting information on aerosol vertical profiles, chemistry, hygroscopicity and meteorology. Atmos. Pollut. Res. 2019, 10, 1895–1912. [Google Scholar] [CrossRef]
 - Ferrero, L.; Ritter, C.; Cappelletti, D.; Moroni, B.; Močnik, G.; Mazzola, M.; Lupi, A.; Becagli, S.; Traversi, R.; Cataldi, M.; et al. Aerosol optical properties in the Arctic: The role of aerosol chemistry and dust composition in a closure experiment between Lidar and tethered balloon vertical profiles. Sci. Total. Environ. 2019, 686, 452–467. [Google Scholar] [CrossRef]
 - Crutzen, P.J.; Heidt, L.E.; Krasnec, J.P.; Pollock, W.H.; Seiler, W. Biomass burning as a source of atmospheric gases CO, H2, N2O, NO, CH3Cl and COS. Nature 1979, 282, 253–256. [Google Scholar] [CrossRef]
 - Torres, O.; Bhartia, P.K.; Herman, J.R.; Ahmad, Z.; Gleason, J. Derivation of aerosol properties from satellite measurements of backscattered ultraviolet radiation: Theoretical basis. J. Geophys. Res. Atmos. 1998, 103, 17099–17110. [Google Scholar] [CrossRef]
 - Torres, O.; Tanskanen, A.; Veihelmann, B.; Ahn, C.; Braak, R.; Bhartia, P.; Veefkind, P.; Levelt, P. Aerosols and surface UV products from Ozone Monitoring Instrument observations: An overview. J. Geophys. Res. Atmos. 2007, 112. [Google Scholar] [CrossRef]
 - Langenfelds, R.L.; Francey, R.J.; Pak, B.C.; Steele, L.P.; Lloyd, J.; Trudinger, C.M.; Allison, C.E. Interannual growth rate variations of atmospheric CO2 and its δ13C, H2, CH4, and CO between 1992 and 1999 linked to biomass burning. Glob. Biogeochem. Cycles 2002, 16, 1048. [Google Scholar] [CrossRef]
 - Page, S.E.; Siegert, F.; Rieley, J.O.; Boehm, H.D.V.; Jaya, A.; Limin, S. The amount of carbon released from peat and forest fires in Indonesia during 1997. Nature 2002, 420, 61–65. [Google Scholar] [CrossRef] [PubMed]
 - Beringer, J.; Hutley, L.B.; Tapper, N.J.; Coutts, A.; Kerley, A.; O’Grady, A.P. Fire impacts on surface heat, moisture and carbon fluxes from a tropical savanna in northern Australia. Int. J. Wildland Fire 2003, 12, 333–340. [Google Scholar] [CrossRef]
 - Pakszys, P.; Zieliński, T. Aerosol optical properties over Svalbard: A comparison between Ny-Ålesund and Hornsund. Oceanologia 2017, 59, 431–444. [Google Scholar] [CrossRef]
 - Graber, E.R.; Rudich, Y. Atmospheric HULIS: How humic-like are they? A comprehensive and critical review. Atmos. Chem. Phys. 2006, 6, 729–753. [Google Scholar] [CrossRef]
 - Kirchstetter, T.W.; Novakov, T.; Hobbs, P.V. Evidence that the spectral dependence of light absorption by aerosols is affected by organic carbon. J. Geophys. Res. 2004, 109. [Google Scholar] [CrossRef]
 - Crutzen, P.J.; Andreae, M.O. Biomass burning in the tropics: Impact on atmospheric chemistry and biogeochemical cycles. Science 1990, 250, 1669–1678. [Google Scholar] [CrossRef]
 - Jacobson, M.Z. Effects of biomass burning on climate, accounting for heat and moisture fluxes, black and brown carbon, and cloud absorption effects. J. Geophys. Res. 2014, 119, 8980–9002. [Google Scholar] [CrossRef]
 - Bougiatioti, A.; Argyrouli, A.; Solomos, S.; Vratolis, S.; Eleftheriadis, K.; Papayannis, A.; Nenes, A. CCN Activity, Variability and Influence on Droplet Formation during the HygrA-Cd Campaign in Athens. Atmosphere 2017, 8, 108. [Google Scholar] [CrossRef]
 - Wang, C. Impact of direct radiative forcing of black carbon aerosols on tropical convective precipitation. Geophys. Res. Lett. 2007, 34. [Google Scholar] [CrossRef]
 - Ferrero, L.; Močnik, G.; Cogliati, S.; Gregorič, A.; Colombo, R.; Bolzacchini, E. Heating rate of light absorbing aerosols: Time-resolved measurements and source-identification. Environ. Sci. Technol. 2018, 52, 3546–3555. [Google Scholar] [CrossRef] [PubMed]
 - Martins, L.D.; Hallak, R.; Alves, R.C.; de Almeida, D.S.; Squizzato, R.; Moreira, C.A.; Beal, A.; da Silvia, I.; Rudke, A.; Martins, J.A. Long-range transport of aerosols from biomass burning over southeastern south America and their implications on air quality. AAQR 2018, 18, 1734–1745. [Google Scholar] [CrossRef]
 - Fromm, M.; Torres, O.; Diner, D.; Lindsey, D.; Vant Hull, B.; Servranckx, R.; Shettle, E.P.; Li, Z. Stratospheric impact of the Chisholm pyrocumulonimbus eruption: 1. Earth-viewing satellite perspective. J. Geophys. Res. 2008, 113. [Google Scholar] [CrossRef]
 - Deboudt, K.; Flament, P.; Choel, M.; Gloter, A.; Sobanska, S.; Colliex, C. Mixing state of aerosols and direct observation of carbonaceous and marine coatings on African dust by individual particle analysis. J. Geophys. Res. 2010, 115. [Google Scholar] [CrossRef]
 - Pratt, K.A.; Prather, K.A. Aircraft measurements of vertical profiles of aerosol mixing states. J. Geophys. Res. 2010, 115. [Google Scholar] [CrossRef]
 - Bond, T.C.; Doherty, S.J.; Fahey, D.W.; Forster, P.M.; Berntsen, T.; DeAngelo, B.J.; Flanner, M.G.; Ghan, S.; Kärcher, B.; Koch, D.; et al. Bounding the role of black carbon in the climate system: A scientific assessment. J. Geophys. Res. Atmos. 2013, 118, 5380–5552. [Google Scholar] [CrossRef]
 - Hara, K.; Yamagata, S.; Yamanouchi, T.; Sato, K.; Herber, A.; Iwasaka, Y.; Nagatani, M.; Nakada, A. Mixing states of individual aerosol particles in spring Arctic troposphere during ASTAR 2000 campaign. J. Geophys. Res. 2003, 108. [Google Scholar] [CrossRef]
 - Schwarz, J.P.; Gao, R.S.; Spackman, J.R.; Watts, L.A.; Thomson, D.S.; Fahey, D.W.; Ryerson, T.B.; Peischl, J.; Holloway, J.S.; Trainer, M.; et al. Measurement of the mixing state, mass, and optical size of individual black carbon particles in urban and biomass burning emissions. Geophys. Res. Lett. 2008, 35. [Google Scholar] [CrossRef]
 - Twohy, C.H.; Anderson, J.R. Droplet nuclei in non-precipitating clouds: Composition and size matter. Environ. Res. Lett. 2008, 3, 045002. [Google Scholar] [CrossRef]
 - Kondo, Y. Effects of black carbon on climate: Advances in measurement and modelling. Monographs on Environment. Earth Planets 2015, 3, 1–85. [Google Scholar] [CrossRef]
 - Koo, J.H.; Choi, T.; Cho, Y.; Lee, H.; Kim, J.; Ahn, D.H.; Kim, J.; Lee, Y.G. The Variation in Aerosol Optical Depth over the Polar Stations of Korea. AAQR 2018, 18, 3202–3210. [Google Scholar] [CrossRef]
 - Quinn, P.K.; Bates, T.S.; Baum, E.; Doubleday, N.; Fiore, M.; Flanner, M.; Fridlind, A.; Garrett, T.J.; Koch, D.; Menon, S.; et al. Short-lived pollutants in the Arctic: Their climate impact and possible mitigation strategies. Atmos. Chem. Phys. 2008, 8, 1723–1735. [Google Scholar] [CrossRef]
 - Eckhardt, S.; Hermansen, O.; Grythe, H.; Fiebig, M.; Stebel, K.; Cassiani, M.; Baecklund, A.; Stohl, A. The influence of cruise ship emissions on air pollution in Svalbard—A harbinger of a more polluted Arctic? Atmos. Chem. Phys. 2013, 13, 8401–8409. [Google Scholar] [CrossRef]
 - Stohl, A. Characteristics of atmospheric transport into the Arctic troposphere. J. Geophys. Res. 2006, 111. [Google Scholar] [CrossRef]
 - Zielinski, T.; Petelski, T.; Strzałkowska, A.; Pakszys, P.; Makuch, P. Impact of wild forest fires in Eastern Europe on aerosol composition and particle optical properties. Oceanologia 2016, 58, 13–24. [Google Scholar] [CrossRef]
 - Pakszys, P.; Zieliński, T.; Markowicz, K.; Petelski, T.; Makuch, P.; Lisok, J.; Chiliński, M.; Rozwadowska, A.; Ritter, C.; Neuber, R.; et al. Annual Changes of Aerosol Optical Depth and Ångström Exponent over Spitsbergen. In Impact of Climate Changes on Marine Environments; Springer: Cham, Switzerland, 2015; pp. 23–36. [Google Scholar]
 - Corbett, J.J.; Lack, D.A.; Winebrake, J.J.; Harder, S.; Silberman, J.A.; Gold, M. Arctic shipping emissions inventories and future scenarios. Atmos. Chem. Phys. 2010, 10, 9689–9704. [Google Scholar] [CrossRef]
 - Ferrero, L.; Cappelletti, D.; Busetto, M.; Mazzola, M.; Lupi, A.; Lanconelli, C.; Becagli, S.; Traversi, R.; Caiazzo, L.; Giardi, F.; et al. Vertical profiles of aerosol and black carbon in the Arctic: A seasonal phenomenology along 2 years (2011–2012) of field campaigns. Atmos. Chem. Phys. 2016, 16, 12601–12629. [Google Scholar] [CrossRef]
 - Mtetwa, L.; McCormick, M.P. Development of BB Gaseous and Particulate Emissions Database for Assimilation into Air Quality Forecast Systems. In Proceedings of the AGU, Washington, DC, USA, December 2003. A22B-1062. [Google Scholar]
 - Westerling, A.L.; Hidalgo, H.G.; Cayan, D.R.; Swetnam, T.W. Warming and earlier spring increase western U.S. forest wildfire activity. Science 2006, 313, 940–943. [Google Scholar] [CrossRef]
 - Brönnimann, S.; Ewen, T.; Luterbacher, J.; Diaz, H.F.; Stolarski, R.S.; Neu, U. A Focus on Climate During the Past 100 Years. In Climate Variability and Extremes During the Past 100 Years; Springer: Dordrecht, The Netherlands, 2008; Volume 100, pp. 1–25. [Google Scholar] [CrossRef]
 - Turetsky, M.R.; Kane, E.S.; Harden, J.W.; Ottmar, R.D.; Manies, K.L. Recent acceleration of BB and carbon losses in Alaskan forests and peatlands. Nat. Geosci. 2011, 4, 27–31. [Google Scholar] [CrossRef]
 - Markowicz, K.M.; Chilinski, M.; Lisok, J.; Zawadzka, O.; Janicka, L.; Stachlewska, I.; Makuch, P.; Pakszys, P.; Rozwadowska, A.; Petelski, T.; et al. Study of aerosol optical properties during long-range transport of biomass burning from Canada to Central Europe in July 2013. J. Aerosol Sci. 2016, 101, 156–173. [Google Scholar] [CrossRef]
 - Markowicz, K.M.; Pakszys, P.; Ritter, C.; Zielinski, T.; Udisti, R.; Cappelletti, D.; Mazolla, M.; Shiobara, M.; Xian, P.; Zawadzka, O.; et al. Impact of North American intense fires on aerosol optical properties measured over the European Arctic in July 2015. J. Geophys. Res. Atmos. 2016, 121, 14487–14512. [Google Scholar] [CrossRef]
 - Pakszys, P. Horizontal Variability of Aerosol Optical Properties over the European Arctic. Ph.D. Thesis, Institute of Oceanology Polish Academy of Sciences, Sopot, Poland, 2018. [Google Scholar]
 - Zangrando, R.; Barbaro, E.; Zennaro, P.; Rossi, S.; Kehrwald, N.M.; Gabrieli, J.; Barbante, C.; Gambaro, A. Molecular markers of biomass burning in Arctic aerosols. Environ. Sci. Technol. 2013, 47, 8565–8574. [Google Scholar] [CrossRef] [PubMed]
 - Stohl, A.; Berg, T.; Burkhart, J.F.; Fjǽraa, A.M.; Forster, C.; Herber, A.; Hov, Ø.; Lunder, C.; McMillan, W.W.; Oltmans, S.; et al. Arctic smoke–record high air pollution levels in the European Arctic due to agricultural fires in Eastern Europe in spring 2006. Atmos. Chem. Phys. 2007, 7, 511–534. [Google Scholar] [CrossRef]
 - Warneke, C.; Bahreini, R.; Brioude, J.; Brock, C.A.; De Gouw, J.A.; Fahey, D.W.; Froyd, K.D.; Holloway, J.S.; Middlebrook, A.; Miller, L.; et al. Biomass burning in Siberia and Kazakhstan as an important source for haze over the Alaskan Arctic in April 2008. Geophys. Res. Lett. 2009, 36. [Google Scholar] [CrossRef]
 - Markowicz, K.M.; Zielinski, T.; Pietruczuk, A.; Posyniak, M.; Zawadzka, O.; Makuch, P.; Stachlewska, I.; Jagodnicka, A.K.; Petelski, T.; Kumala, W.; et al. Remote sensing measurements of the volcanic ash plume over Poland in April 2010. Atmos. Environ. 2012, 48, 66–75. [Google Scholar] [CrossRef]
 - Markowicz, K.M.; Zielinski, T.; Blindheim, S.; Gausa, M.; Jagodnicka, A.K.; Kardaś, A.; Kumala, W.; Malinowski, S.P.; Petelski, T.; Posyniak, M.; et al. Study of vertical structure of aerosol optical properties with sun photometers and ceilometer during the MACRON campaign in 2007. Acta Geophys. 2012, 60, 1308–1337. [Google Scholar] [CrossRef]
 - Marelle, L.; Raut, J.-C.; Thomas, J.; Law, K.S.; Quennehen, B.; Ancellet, G.; Pelon, J.; Schwarzenboeck, A.; Fast, J.D. Transport of anthropogenic and biomass burning aerosols from Europe to the Arctic during spring 2008. Atmos. Chem. Phys. 2015, 15, 3831–3850. [Google Scholar] [CrossRef]
 - Ansmann, A.; Baars, H.; Chudnovsky, A.; Mattis, I.; Veselovskii, I.; Haarig, M.; Seifert, P.; Engelmann, R.; Wandinger, U. Extreme levels of Canadian wildfire smoke in the stratosphere over central Europe on 21–22 August 2017. Atmos. Chem. Phys. 2018, 18, 11831–11845. [Google Scholar] [CrossRef]
 - Lisok, J.; Markowicz, K.M.; Ritter, C.; Makuch, P.; Petelski, T.; Chilinski, M.; Kaminski, J.W.; Becagli, S.; Traversi, R.; Udisti, R.; et al. 2014 iAREA campaign on aerosol in Spitsbergen–Part 1: Study of physical and chemical properties. Atmos. Environ. 2016, 140, 150–166. [Google Scholar] [CrossRef]
 - Udisti, R.; Bazzano, A.; Becagli, S.; Bolzacchini, E.; Caiazzo, L.; Cappelletti, D.; Ferrero, L.; Frosini, D.; Giardi, F.; Grotti, M.; et al. Sulfate source apportionment in the Ny-Ålesund (Svalbard Islands) Arctic aerosol. Rendiconti Lincei 2016, 27, 85–94. [Google Scholar] [CrossRef]
 - Becagli, S.; Ghedini, C.; Peeters, S.; Rottiers, A.; Traversi, R.; Udisti, R.; Chiari, M.; Jalba, A.; Despiau, S.; Dayan, U.; et al. MBAS (Methylene Blue Active Substances) and LAS (Linear Alkylbenzene Sulphonates) in Mediterranean coastal aerosols: Sources and transport processes. Atmos. Environ. 2011, 45, 6788–6801. [Google Scholar] [CrossRef]
 - Turpin, B.J.; Lim, H.J. Species contributions to PM2.5 mass concentrations: Revisiting common assumptions for estimating organic mass. AST 2001, 35, 602–610. [Google Scholar] [CrossRef]
 - Lack, D.A.; Lovejoy, E.R.; Baynard, T.; Pettersson, A.; Ravishankara, A.R. Aerosol absorption measurement using photoacoustic spectroscopy: Sensitivity, calibration, and uncertainty developments. Aerosol Sci. Technol. 2006, 40, 697–708. [Google Scholar] [CrossRef]
 - Müller, T.; Nowak, A.; Wiedensohler, A.; Sheridan, P.; Laborde, M.; Covert, D.S.; Marinoni, A.; Imre, K.; Henzing, B.; Roger, J.-C.; et al. Angular illumination and truncation of three different integrating nephelometers: Implications for empirical, size-based corrections. Aerosol Sci. Technol. 2009, 43, 581–586. [Google Scholar] [CrossRef]
 - Müller, T.; Henzing, J.S.; de Leeuw, G.; Wiedensohler, A.; Alastuey, A.; Angelov, H.; Bizjak, M.; Collaud Coen, M.; Engström, J.E.; Gruening, C.; et al. Characterization and intercomparison of aerosol absorption photometers: Result of two intercomparison workshops. Atmos. Meas. Tech. 2011, 4, 245–268. [Google Scholar] [CrossRef]
 - Haywood, J.M.; Osborne, S.R. Corrections to be Applied to the Psap and Nephelometer for Accurate Determination of the Absorption Coefficient, Scattering Coefficient and Single Scattering Albedo. In MRF Technical Note, 31; Meteorological Office: Hampshire, UK, 2000. [Google Scholar]
 - Qin, Y.M.; Tan, H.B.; Li, Y.J.; Li, Z.J.; Schurman, M.I.; Liu, L.; Wu, C.; Chan, C.K. Chemical characteristics of brown carbon in atmospheric particles at a suburban site near Guangzhou, China. Atmos. Chem. Phys. 2018, 18, 16409–16418. [Google Scholar] [CrossRef]
 - Ealo, M.; Alastuey, A.; Ripoll, A.; Pérez, N.; Minguillón, M.C.; Querol, X.; Pandolfi, M. Detection of Saharan dust and biomass burning events using near-real-time intensive aerosol optical properties in the north-western Mediterranean. Atmos. Chem. Phys. 2016, 16, 12567–12586. [Google Scholar] [CrossRef]
 - Mazzola, M.; Stone, R.; Herber, A.; Tomasi, C.; Lupi, A.; Vitale, V.; Lanconelli, L.; Toledano, C.; Cachorro, V.; O’Neill, N.; et al. Evaluation of sun photometer capabilities for retrievals of aerosol optical depth at high latitudes: The POLAR-AOD intercomparison campaigns. Atmos. Environ. 2012, 52, 4–17. [Google Scholar] [CrossRef]
 - Aerosol Robotic Network (AERONET) Homepage—Nasa. Available online: https://aeronet.gsfc.nasa.gov/ (accessed on 20 July 2018).
 - Holben, B.N.; Eck, T.F.; Slutsker, I.; Tanre, D.; Buis, J.P.; Setzer, A.; Vermote, E.; Reagan, J.A.; Kaufman, Y.; Nakajima, T.; et al. AERONET—A federated instrument network and data archive for aerosol characterization. Remote. Sens. Environ. 1998, 66, 1–16. [Google Scholar] [CrossRef]
 - Eck, T.F.; Holben, B.N.; Reid, J.S.; Dubovik, O.; Smirnov, A.; O’Neill, N.T.; Slutsker, I.; Kinne, S. Wavelength dependence of the optical depth of biomass burning, urban, and desert dust aerosols. J. Geophys. Res. Atmos. 1999, 104, 31333–31349. [Google Scholar] [CrossRef]
 - Knobelspiesse, K.D.; Pietras, C.; Fargion, G.S.; Wang, M.H.; Frouin, R.; Miller, M.A.; Subramaniam, S.; Balch, W.M. Maritime aerosol optical thickness measured by handheld sunphotometers. Remote Sens. Environ. 2004, 93, 87–106. [Google Scholar] [CrossRef]
 - Alam, K.; Khan, R.; Sorooshian, A.; Blaschke, T.; Bibi, S.; Bibi, H. Analysis of Aerosol Optical Properties due to a Haze Episode in the Himalayan Foothills: Implications for Climate Forcing. Aerosol Air Qual. Res. 2018, 18, 1331–1350. [Google Scholar] [CrossRef]
 - Di Nicolantonio, W.; Cacciari, A.; Petritoli, A.; Carnevale, C.; Pisoni, E.; Volta, M.L.; Stocchi, P.; Curci, G.; Bolzacchini, E.; Ferrero, L.; et al. MODIS and OMI satellite observations supporting air quality monitoring. Radiat. Prot. Dosim. 2009, 137, 280–287. [Google Scholar] [CrossRef] [PubMed]
 - Algorithm for Remote Sensing of Tropospheric Aerosol over Dark Targets from MODIS: Collections 005 and 051: Revision 2. February 2009. Available online: https://pdfs.semanticscholar.org/e5f8/fa50577584a2ef9d2ed6417b4156fb9b474b.pdf (accessed on 9 January 2020).
 - Levy, R.C.; Remer, L.A.; Kleidman, R.G.; Mattoo, S.; Ichoku, C.; Kahn, R.; Eck, T.F. Global evaluation of the Collection 5 MODIS dark-target aerosol products over land. Atmos. Chem. Phys. 2010, 10, 10399–10420. [Google Scholar] [CrossRef]
 - Levy, R.C.; Mattoo, S.; Munchak, L.A.; Remer, L.A.; Sayer, A.M.; Patadia, F.; Hsu, N.C. The Collection 6 MODIS aerosol products over land and ocean. Atmos. Meas. Tech. 2013, 6, 2989. [Google Scholar] [CrossRef]
 - Hoffmann, A.; Osterloh, L.; Stone, R.; Lamperta, A.; Ritter, C.; Stock, M.; Tunved, P.; Hennig, T.; Böckmann, C.; Li, S.-M.; et al. Remote sensing and in-situ measurements of tropospheric aerosol, a PAMARCMiP case study. Atmos. Environ. 2012, 52, 56–66. [Google Scholar] [CrossRef]
 - Hoffman, A. Comparative Aerosol Studies Based on Multi-Wavelength Raman LIDAR at Ny-Ålesund. Spitsbergen. Ph.D. Thesis, University of Potsdam, Potsdam, Germany, 2011. Available online: http://epic.awi.de/29932/1/Hof2011g.pdf (accessed on 26 July 2018).
 - CALIPSO Dataset Quideline. Available online: https://www-calipso.larc.nasa.gov/resources/calipso_users_guide/data_summaries/l1b/CAL_LID_L1-Standard-V4-10.php (accessed on 20 July 2018).
 - Kim, M.H.; Omar, A.H.; Tackett, J.L.; Vaughan, M.A.; Winker, D.M.; Trepte, C.R.; Hu, Y.; Liu, Z.; Poole, L.R.; Pitts, M.C.; et al. The CALIPSO version 4 automated aerosol classification and lidar ratio selection algorithm. Atmos. Meas. Tech. 2018, 11, 6107. [Google Scholar] [CrossRef]
 - NRL—Naval Research Laboratory—Navy.mil. Available online: http://www.nrlmry.navy.mil (accessed on 20 July 2018).
 - Inness, A.; Baier, F.; Benedetti, A.; Bouarar, I.; Chabrillat, S.; Clark, H.; Clerbaux, C.; Coheur, P.; Engelen, R.J.; Errera, Q.; et al. The MACC reanalysis: An 8 yr data set of atmospheric composition. Atmos. Chem. Phys. 2013, 13, 4073–4109. [Google Scholar] [CrossRef]
 - Panareda, A.; Remy, S.; Huijnen, V.; Morcrette, J.-J.; Stein, O.; Arteta, J.; Chabrillat, S.; Flemming, J.; Benedetti, A.; Innes, A.; et al. All Contributors to IFS and C-IFS. C-IFS: How Are Developments Integrated? CAMS 1st; General Assembly: Athens, Greece, 2016; pp. 14–16. [Google Scholar]
 - Rosmond, T. The Design and Testing of NOGAPS. Weather. Forecast. 1992, 7, 2. [Google Scholar]
 - Cwfis—Canadian Wildland Fire Information System. Available online: https://cwfis.cfs.nrcan.gc.ca/home (accessed on 22 July 2018).
 - NCEO, The 2017 Canadian Wildfires: A Satellite Perspective. Available online: https://www.nceo.ac.uk/article/the-2017-canadian-wildfires-a-satellite-perspective (accessed on 22 July 2018).
 - Mashable, Canada’s Forests are on Fire, and the Smoke is so Thick it’s Breaking Records. Available online: http://mashable.com/2017/08/17/canada-is-on-fire-smoke-record-arctic/#eWPL6lpyPqqn (accessed on 22 July 2018).
 - Moroni, B.; Becagli, S.; Bolzacchini, E.; Busetto, M.; Cappelletti, D.; Crocchianti, S.; Ferrero, L.; Frosini, D.; Lanconelli, C.; Lupi, A.; et al. Vertical Profiles and Chemical Properties of Aerosol Particles upon Ny-Ålesund (Svalbard Islands). Adv. Meteorol. 2015, 2015, 1–11. [Google Scholar] [CrossRef]
 - Moroni, B.; Cappelletti, D.; Ferrero, L.; Crocchianti, S.; Busetto, M.; Mazzola, M.; Becagli, S.; Traversi, R.; Udisti, R. Local vs. long-range sources of aerosol particles upon Ny-Ålesund (Svalbard Islands): Mineral chemistry and geochemical records. Rendiconti Lincei. Scienze Fisiche e Naturali 2016, 27, 115–127. [Google Scholar] [CrossRef]
 - Mazzola, M.; Busetto, M.; Ferrero, L.; Viola, A.; Cappelletti, D. AGAP: An atmospheric gondola for aerosol profiling. Rendiconti Lincei. Scienze Fisiche e Naturali 2016, 27, 105–113. [Google Scholar] [CrossRef]
 - Becagli, S.; Lazzara, L.; Marchese, C.; Dayan, U.; Ascanius, S.E.; Cacciani, M.; Caiazzo, L.; Di Biagio, C.; Di Iorio, T.; di Sarra, A.; et al. Relationships linking primary production, sea ice melting, and biogenic aerosol in the Arctic. Atmos. Environ. 2016, 136, 1–15. [Google Scholar] [CrossRef]
 - Ferrero, L.; Sangiorgi, G.; Perrone, M.G.; Rizzi, C.; Cataldi, M.; Markuszewski, P.; Pakszys, P.; Makuch, P.; Petelski, T.; Becagli, S.; et al. Chemical Composition of Aerosol over the Arctic Ocean from Summer ARctic EXpedition (AREX) 2011–2012 Cruises: Ions, Amines, Elemental Carbon, Organic Matter, Polycyclic Aromatic Hydrocarbons, n-Alkanes, Metals, and Rare Earth Elements. Atmosphere 2019, 10, 54. [Google Scholar] [CrossRef]
 - Vihma, T.; Kilpeläinen, T.; Manninen, M.; Sjöblom, A.; Jakobson, E.; Palo, T.; Jaagus, J.; Maturilli, M. Characteristics of Temperature and Humidity Inversions and Low-Level Jets over Svalbard Fjords in Spring. Adv. Meteorol. 2011, 2011, 1–14. [Google Scholar] [CrossRef]
 - Warneke, C.; Froyd, K.D.; Brioude, J.; Bahreini, R.; Brock, C.A.; Cozic, J.; De Gouw, J.A.; Fahey, D.W.; Ferrare, R.; Hol-loway, J.S.; et al. An important contribution to springtime Arctic aerosol from biomass burning in Russia. Geophys. Res. Lett. 2010, 37. [Google Scholar] [CrossRef]
 - Maturilli, M.; Ebell, K. Twenty-five years of cloud base height measurements by ceilometer in Ny-Ålesund, Svalbard. Earth Syst. Sci. Data 2018, 10, 1451–1456. [Google Scholar] [CrossRef]
 - Dubovik, O.; King, M.D. A flexible inversion algorithm for retrieval of aerosol optical properties from Sun and sky radiance measurements. J. Geophys. Res. Atmos. 2000, 105, 20673–20696. [Google Scholar] [CrossRef]
 - Willmott, C.J. Some comments on the evaluation of model performance. Bull. Am. Meteorol. Soc. 1982, 63, 1309–1313. [Google Scholar] [CrossRef]
 - Shindell, D.; Faluvegi, G. Climate response to regional radiative forcing during the twentieth century. Nat. Geosci. 2009, 2, 294–300. [Google Scholar] [CrossRef]
 - Ban-Weiss, G.A.; Cao, L.; Bala, G.; Caldeira, K. Dependence of climate forcing and response on the altitude of black carbon aerosols. Clim. Dyn. 2011, 38, 897–911. [Google Scholar] [CrossRef]
 - Flanner, M.G. Arctic climate sensitivity to local black carbon. J. Geophys. Res. Atmos. 2013, 118, 1840–1851. [Google Scholar] [CrossRef]
 - Sand, M.; Berntsen, T.K.; Kay, J.E.; Lamarque, J.F.; Seland, Ø.; Kirkevåg, A. The Arctic response to remote and local forcing of black carbon. Atmos. Chem. Phys. 2013, 13, 211–224. [Google Scholar] [CrossRef]
 - Hansen, J.; Nazarenko, L. Soot Climate Forcing via Snow and Ice Albedo. Proc. Natl. Acad. Sci. USA 2004, 101, 423–428. [Google Scholar] [CrossRef]
 - Brock, C.A.; Cozic, J.; Bahreini, R.; Froyd, K.D.; Middlebrook, A.M.; McComiskey, A.; Brioude, J.; Cooper, O.R.; Stohl, A.; Aikin, K.C.; et al. Characteristics, sources, and transport of aerosols measured in spring 2008 during the aerosol, radiation, and cloud processes affecting Arctic Climate (ARCPAC) Project. Atmos. Chem. Phys. 2011, 11, 2423–2453. [Google Scholar] [CrossRef]
 
















| Station | Available Data Days in August 2017  | AOD 2.0 Level 500 nm  | 
|---|---|---|
| Churchill (58N, 93W) | 13–18, 22–31 (1–9, 11–13, 15–17, 22–31) | up to 2.094 | 
| Opal (79N, 85W) | 16–27 | up to 0.805 | 
| Hornsund (77N, 15E) | 2–4, 8–10, 13–14, 16–22, 26 (2–4, 8–10, 13–14, 16–22, 26) | up to 0.147 | 
| Thule (76N, 68W) | 19, 21, 22, 23 (5, 7, 12, 15–22) | up to 0.786 | 
| Kangerlussuaq (66N, 50W) | 23, 25–29 (1–7, 9–10, 25–28) | up to 0.239 | 
| Narsarsuaq (61N, 45W) | 14–19, 23 (1–5, 11, 13–19, 23, 29–31) | up to 0.283 | 
| Andenes (69N, 16E) | 19, 21, 23–24 (2–7, 10, 12–13, 15–16, 19, 21, 24, 29) | up to 0.145 | 
| Sodankylä (67N, 26E) | 16–19, 26, 28 (1–5, 8–10, 12, 14–19, 28, 30–31) | up to 0.157 | 
© 2020 by the authors. Licensee MDPI, Basel, Switzerland. This article is an open access article distributed under the terms and conditions of the Creative Commons Attribution (CC BY) license (http://creativecommons.org/licenses/by/4.0/).
Share and Cite
Zielinski, T.; Bolzacchini, E.; Cataldi, M.; Ferrero, L.; Graßl, S.; Hansen, G.; Mateos, D.; Mazzola, M.; Neuber, R.; Pakszys, P.; et al. Study of Chemical and Optical Properties of Biomass Burning Aerosols during Long-Range Transport Events toward the Arctic in Summer 2017. Atmosphere 2020, 11, 84. https://doi.org/10.3390/atmos11010084
Zielinski T, Bolzacchini E, Cataldi M, Ferrero L, Graßl S, Hansen G, Mateos D, Mazzola M, Neuber R, Pakszys P, et al. Study of Chemical and Optical Properties of Biomass Burning Aerosols during Long-Range Transport Events toward the Arctic in Summer 2017. Atmosphere. 2020; 11(1):84. https://doi.org/10.3390/atmos11010084
Chicago/Turabian StyleZielinski, Tymon, Ezio Bolzacchini, Marco Cataldi, Luca Ferrero, Sandra Graßl, Georg Hansen, David Mateos, Mauro Mazzola, Roland Neuber, Paulina Pakszys, and et al. 2020. "Study of Chemical and Optical Properties of Biomass Burning Aerosols during Long-Range Transport Events toward the Arctic in Summer 2017" Atmosphere 11, no. 1: 84. https://doi.org/10.3390/atmos11010084
APA StyleZielinski, T., Bolzacchini, E., Cataldi, M., Ferrero, L., Graßl, S., Hansen, G., Mateos, D., Mazzola, M., Neuber, R., Pakszys, P., Posyniak, M., Ritter, C., Severi, M., Sobolewski, P., Traversi, R., & Velasco-Merino, C. (2020). Study of Chemical and Optical Properties of Biomass Burning Aerosols during Long-Range Transport Events toward the Arctic in Summer 2017. Atmosphere, 11(1), 84. https://doi.org/10.3390/atmos11010084
        
