Abstract
A landscape is part of our daily lives and our perception of its features may significantly impact our quality of life. This article presents the results of research aimed at determining the influence of biometeorological conditions on the way in which we perceive the landscape. An eye tracker was used throughout each season of the year to determine how 52 respondents observed the landscape while taking into consideration whether the landscape had a favorable or unfavorable impact on those same respondents. Additionally, each test was preceded by the completion of a questionnaire intended to assess the mental and physical state of each respondent. The calculated eye movement indexes demonstrated the impact of the biometeorological conditions on their perception of the landscape. Statistically significant differences in their perception of the landscape were ascertained depending on the type of weather and the respondents’ general feeling irrespective of their sex.
1. Introduction
It goes without saying that the landscape is an inseparable part of our daily lives, but one whose features and our perception of them can significantly impact our quality of life [1]. The environment only becomes the “landscape” when people perceive it, and therefore the description and methods of landscape assessment cannot be exempt from a certain degree of subjectivity [2]. Furthermore, one’s perception of the landscape may be determined by biometeorological conditions, in other words, by the synergistic action of weather elements.
The existing state of knowledge, which encompasses an interdisciplinary approach to landscape studies, takes into consideration the methodological foundations of the natural sciences (primarily issues of landscape ecology) and the social sciences that analyze human traits and behavior. The theoretical foundations of landscape perception are described by human geography, and in particular by three of its trends, namely: (i) the geography of perception which analyzes the perception and ideation of the environment by humans, (ii) behavioral geography which focuses on the spatial aspects of human behavior, and (iii) the geography of recreation [3] which is preoccupied with tourist functions and the landscape’s aesthetic values [4,5].
Research into landscape perception is an interdisciplinary trend that has been developing with great intensity over the last few years [6,7,8,9,10,11,12,13,14] and others. The following are recognized as the most significant theoretical perspectives of environmental perception: the ecological, representational, phenomenological, and the figural [15,16].
Human sight is arguably one of the most important and complex spatial senses, in addition to, it being also a sense of time. It enables not only a three-dimensional perception of shapes and colors, but also allows us to see how it changes, and further, to visualize sensations connected with movement. Thus, visual perception allows us to detect the arrangement of our surroundings, the dynamics, and the changes occurring therein. It provides us with the greatest quantity of perceptive information, for as it is a typical spatial system, it is the one among the human sensorial systems best suited to perceive space [17,18].
Perception is selective, meaning that the observers varyingly focus their attention on the visual stimuli that reach them, and therefore, attention is an internal schema that organizes the process of perception. It has been determined that the eyes of the observer do not analyze all areas of the perceptive field with equal frequency. Our sight is usually directed at the upper left quadrant of the perceptive field (46%), then to the upper right quadrant (29%), next to the lower right quadrant (14%), and least frequently to the lower left quadrant (11%) [19].
Of considerable importance in research into landscape perception is the physiognomical concept of the landscape elaborated by Brossard et al. [20,21], which assumes the dominance of sight in the reception of landscape stimuli. It allows us to arrive at an aesthetic classification of the landscape where objective features, the features of the landscape itself, are supplemented with subjective factors such as the sociodemographic and cultural characteristics of the observer, as well as their preferences and needs [22,23,24,25,26,27,28]. In turn, extra optical perception (i.e., when the landscape provides not only visual stimuli but also impacts the remaining senses through smells, tastes, and sounds) has become the basis for the introduction by Bartkowski [29] of the concept of landscape and “multisensory” perception [30].
An element of the landscape that influences human perception, behavior, as well as the emotional and cognitive processes with particular strength is its color, the intensity of contrasts, and the orientation of contours [31,32]. To a considerable extent, this depends on the share of vegetation and its phenological phases that alter the aesthetic properties of plant communities [33]. Vegetation is characterized by a variety of colors connected with phenological changes, and these are contingent on the seasons [1,34,35]. Apart from the phenological variability, we should also turn our attention to the variability of the landscape brought about by the weather phenomena, such as clouds and mist or precipitation [36]. Of equal significance is the intensity of sunlight as noted by Ingold [15], who also introduced the concept of atmospheric light (world weather) [15].
Another element that significantly impacts our perception of the landscape is the existing environmental conditions that affect humans, particularly weather conditions [17]. The human senses are impacted synergetically by external factors, in other words, elements of the atmospheric environment known as biometeorological stimuli. Depending on the intensity of the individual stimuli, they may have a varied impact on one’s general feeling and health. Meteoropaths (i.e., persons in whom even weak stimuli may cause pathological bodily reactions) are particularly susceptible to the action of biometeorological stimuli [17,37,38]. As well as the basic biometeorological stimuli, chemical and biological stimuli, generally speaking the aerosanitary condition of air and associated cloudiness and precipitation, that are classified under physical stimuli (solar radiation, air temperature and humidity, atmospheric pressure, wind, atmospheric electricity, noise, and vibrations) tend to exert a very strong influence. The elements mentioned above, which constitute a biotropic element of the atmospheric environment, also have a stimulus action when their values change considerably over a short period of time [39,40,41,42]. Furthermore, biometeorological research shows that we are not dealing with the single most important biotropic factor, but rather with the synergistic action of a group of meteorological elements that cause tensions in the vegetative tract [43,44,45]. It is presently accepted that the general feeling of humans is significantly influenced by weather types, which in turn are conditioned by the spatial distribution of atmospheric pressure that is responsible, among others, for the advection of various types of air masses and the shifting of atmospheric fronts [41,46]. The direct action of solar radiation, being the result of the aforementioned factors, is also of considerable significance [47,48]. Taking into consideration the biometeorological weather classifications used [49], the classification of weather according to the German Weather Service [46], we can adopt two opposite types for the impact of the weather on humans, which can be viewed as most decisive for how we perceive the landscape:
- weather conditions negatively impacting our perception of the landscape (i.e., the approach and passage of atmospheric fronts);
- weather conditions positively impacting our perception of the landscape (i.e., stable, high-pressure weather with small cloud cover or without cloud cover).
In order to analyze the process of visual perception of the landscape, in the present work we used an eye tracking method, a technique used in many scientific disciplines which consists of tracing the movement of the pupils and on the basis of this determining points of focus. The use of a mobile eye tracker for landscape research has allowed us to calculate a number of statistical indexes [50,51,52,53].
To date, eye tracking methods have been widely used for the purpose of landscape assessment, for example, general environmental management and environmental planning, or evaluating the visual impact of wind turbines [54,55,56,57,58,59]. Drost [60] investigated the effectiveness of weather forecasts and suggested that the gesturing by a weather forecaster during weather bulletins may produce changes in the behavior of the viewer. Sherman-Morris et al. [61] investigated the influence of different legend colors and hurricane storm surge graphics on the ability of participants with respect to predicting the threat-level accuracy.
Eye tracking was used in tourism research to study the human attentional processing of stimuli (i.e., provided by the landscape) as well as the involvement, recognition, and attitude formation [12,52,62,63,64,65,66]. Mobile eye tracking was applied to scene viewing and its aesthetic evaluation (e.g., viewing a city panorama). While it is more difficult to perform research in real-world conditions, it allows us to evaluate the natural scenery, such as its pattern, colors, intensity, composition, and configuration [67]. Therefore, studies on the impact of weather on perception that utilize eye tracking are rare, partly because this technology is relatively new in landscape research [52,65].
Taking into account the numerous groups of factors that impact the observer’s perception of the landscape, the objective of the analysis was to determine the impact of the biometeorological conditions on perception while giving due consideration to the individual traits and general feeling of the observer, in addition to the specificity of the landscape itself.
2. Research Area
The scenic vantage point where the research was conducted is located in the northern part of Poznań. It is situated on the roof of a building of the Faculty of Geographical and Geological Studies at Adam Mickiewicz University in Poznań, where participants observed a fragment of the River Warta Valley (Figure 1a,b).
Figure 1.
Research area: (a) location of Poznań; (b) test landscape; (c) and (d) photographs taken at the observation point during eye tracker measurements.
The tested landscape scenery is for the most part flat or slightly wavy, with hills of a terminal moraine, the highest being Dziewicza Góra (143 meters above sea level), visible in the background on the horizon. As regards to land usage, the test landscape can be described as a suburban area undergoing urbanization, characterized by a mixed and scattered settlement [68]. For the most part, the panorama consists of building lots with single-family housing and a large quantity of planted vegetation. In the foreground, we can see a forest, a tree-felling area, and a building site, as well as an access road and a car park. In terms of coverage, this is the most varied viewpoint that provides the best visible fragment of the assessed landscape (it is located at a distance of up to 200 m from the observation point). On the horizon, apart from the highest hill of the terminal moraine, we can see buildings of the housing estate of Koziegłowy and a thermal-electric power station whose chimney dominates the landscape. The landscape units that make up the abovementioned panorama have been used as the criterion for distinguishing seven areas of interest (AOIs) that constitute the basis of eye tracking studies (Figure 2).
Figure 2.
Areas of interest designated for the analysis: (1) northern forest, (2) road, (3) horizon, (4) construction area, (5) tree-felling area, (6) southern forest, (7) car park.
3. Data and Methods
Eye tracking and a questionnaire form was used in order to determine the impact of biometeorological conditions on landscape perception while taking into consideration the individual traits and general feeling of the observer plus the specificity of the landscape itself. Eye tracking is based on an analysis of selected indexes calculated using saccades (eye movement paths) and fixations (moments when eye movement is stopped) and recorded on film by the eye tracker at designated AOIs in the test landscape. For individual AOIs, the iMotions software (https://imotions.com/) was used to calculate the quantitative eye movement indexes. These indexes were calculated for all persons taking part in a given test on the basis of registered fixations mapped automatically on the reference image [69] within the selected AOI. The following indexes were selected for analysis (iMotions Help Center, version 7.1, December 2018):
- HTG (hit time gaze): The hit time “gaze” metric is calculated by dividing the exposure duration of the stimuli into 250 ms bins. Each respondent’s first visit is placed into a bin which results in a histogram. The midpoint of the bin with the most data points is the hit time, and therefore the hit time cannot be less than 125 ms, since 125 ms is the centre point of the first 250 ms bin.
- RGR (revisit gaze revisits): The number of returns a person makes to the AOI, based on raw data.
- TTFFF (time to first fixation): The time stamp of the first fixation inside the AOI.
- RFR (revisit fixation revisits): The number of first returns by a person to the AOI.
- FC (fixation count average): The sum of the first fixation count for all participants according to the number of participants.
- TSG (time spent gaze): The time spent in the AOI based on raw data (not fixation based).
- TSF (time spent fixation): The time spent in the AOI based on the total duration of all respondents’ fixations (excluding data points between fixations).
- FFD (first fixation duration): The duration of the first fixation within the AOI, based on visits.
- AFD (average fixation duration—visitors): The average duration of fixations inside the AOI. Only respondents who looked inside the AOI will contribute to this number.
The abovementioned indexes have been described, among others, by Rayner [70] and Bylinski et al. [71].
Fifty-two persons participated in the study (26 women and 26 men) which including students aged 20–25 years. The study entailed registering the eyeball movement of individual observers looking out at the test landscape during each season of the year under selected weather types that positively or negatively impacted each participant. In the author’s opinion, the numerical composition of the test group was sufficient for eye tracking research, similar to psychophysiology studies that require a smaller sample, and in general even fewer participants, for example, 20–30 participants can be considered representative [72,73].
Taking into consideration the existing mood scales and the six emotions [74], as well as the UMACL (Universal Mood Adjective Check List) [75], a questionnaire form was prepared in order to study the moods and general feeling of each individual participant. Before starting each test, the observer would assess their general feeling and indicate this on the questionnaire form. A four-point assessment scale (starting with “not present” and then proceeding to a “low” intensity, through “average” and up to “strong”) was used to determine 22 types of general physical and mental feelings (for example, discouragement, anxiety, headache) and 20 types of current general feelings, for example, serenity, cheerfulness, discouraged, miserable (circumplex model of affect [76]). Additionally, respondents provided information on their sex and age. Next, landscape perception tests were performed for each participant using the same mobile eye tracker (SMI ETG 2, SensoMotoric Instruments GmbH, Teltow, Germany). During the test, glasses worn by participants were fitted with an additional cover that protected the eye tracker against exposure to light reflected from the cheeks of the participant, thereby ensuring that measurements were not affected. During the test, a protective helmet (Figure 1c) with special foil protecting against UV and IR radiation was used so that the IR transmission did not exceed 3% for wavelengths in the 900–1000 nm range.
In all, 8 tests were performed, one under favorable and another under unfavorable weather conditions for each season of the year. Studies under unfavorable weather conditions took place on the following dates: 11 April 2017; 9 June 2017; 20 November 2017; and 16 January 2018. While those under favorable conditions were performed on the following dates: 16 May 2017; 16 October 2017; 26 February 2018; and 6 June 2018.
The video recordings made during the eye tracking study and the accompanying oculographic data were then used to map the points of sight focus on the reference photograph taken at the location where research was conducted. Mapping was conducted using the image processing methods of image feature detection and description algorithms that were used to determine the position of subsequent video frames and to map the corresponding gaze coordinates on a common reference image. This process allowed for the aggregation of our results for further experimental analysis, as well as providing an alternative for manual semantic gaze mapping methods [69].
The iMotions software (version 7.1) was then used to detect fixations and analyze the values of nine selected eye tracking indexes separately for each AOI. At the beginning of the test, an analysis was made of how the sex of respondents impacted their perception of the test landscape. The objective of the analysis was to ascertain whether there is any significant statistical difference in the way women and men perceive the landscape. To this end, we calculated the basic statistics characterizing the selected eye tracking indexes for the entire set of data which were divided into subsets of women and men. In order to determine the statistical significance of any differences between the analyzed datasets, a method based on a comparison of the medians of values for a confidence interval of 95% was used [77,78]. The statistics of the analyzed indicators were then presented on boxplots, which also showed a significant differences between the groups studied. Strong evidence of differing medians was indicated by non-overlapping notches. Taking into consideration the impact of the weather and general feeling of respondents on their perception of the test landscape, an analysis of the dataset in each AOL was performed in a similar manner. The analyzes for the entirety of both datasets were performed while taking into account the division of the year into seasons.
Research was supplemented with an analysis of the order in which respondents looked at specific AOIs depending on how they were impacted by the weather. The order in which they looked was determined on the basis of the TTFFF index.
4. Results
The analyzes of the statistical significance of differences in landscape perception between women and men, performed on the basis of medians of the selected indexes [77] in individual AOIs, showed no difference in the method of perception between the two groups. For all the selected indexes and in each AOI, differences between medians and their confidence intervals were statistically insignificant. Similarly, it was determined that there were no significant differences with respect to landscape perception among the individual seasons.
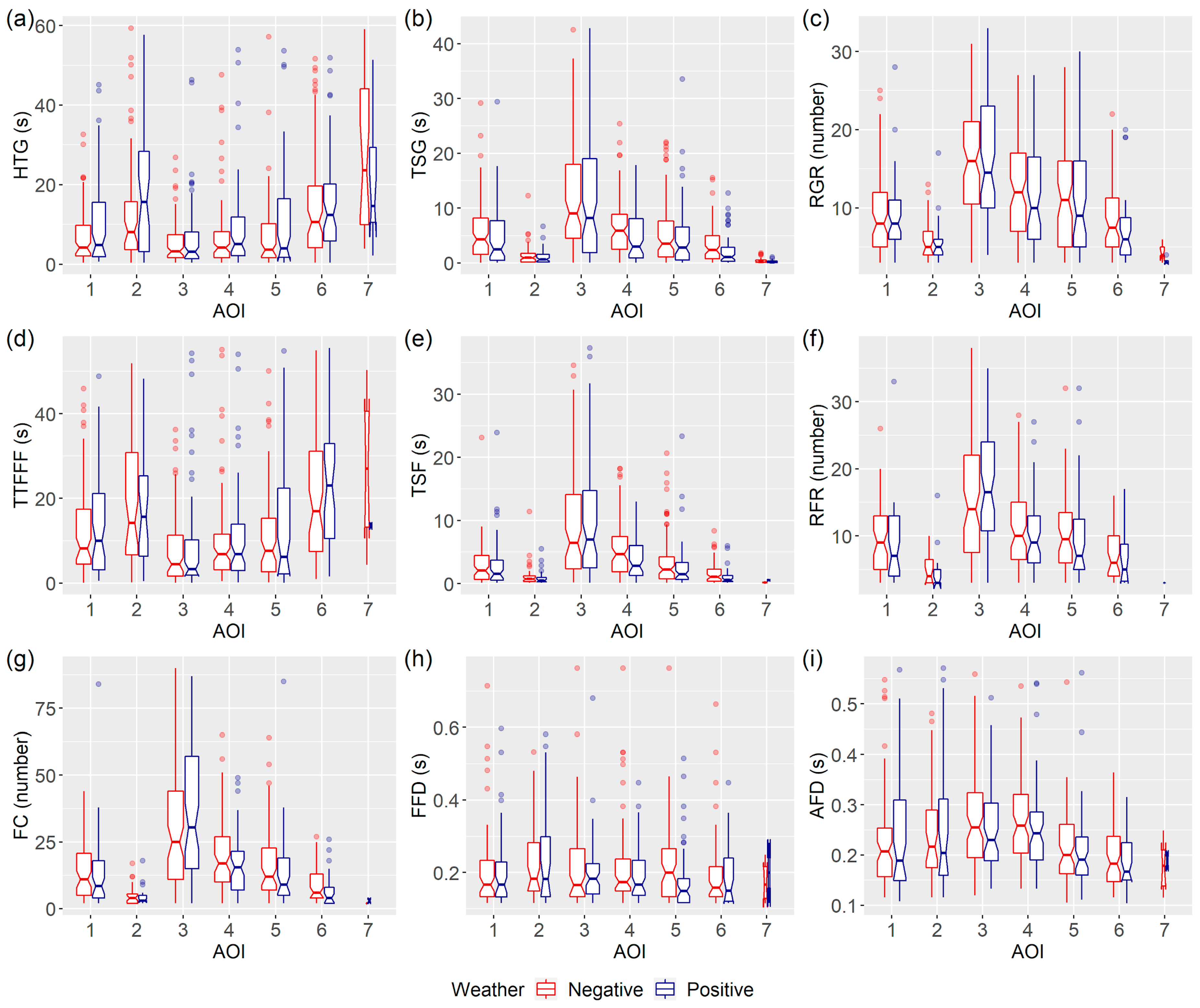
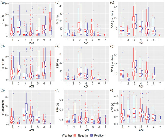
Successive tests were conducted for the entire group of respondents without division into their sex. Utilizing measurements from all research dates, an analysis was performed on the impact of favorable and unfavorable weather on how respondents perceived the test landscape. The results obtained indicate that the perception of selected fragments of the landscape (AOIs) differs significantly between positive and negative weather for three of the nine indexes. This concerns AOIs four, five and six (Figure 3). The TSG index displayed significant differentiation for AOI four (the median for negative weather is 5.37 s, and 3.11 s for positive weather) and AOI six (the median for negative weather is 2.21 s, and 1.07 s for positive weather).
Figure 3.
Statistic of chosen indexes: (a) HTG, (b) TSG, (c) RGR, (d) TTFFF, (e) TSF, (f) RFR, (g) FC, (h) FFD, (i) AFD (detailed description of indexes in the research area, data and methods chapter) for particular AOI in negative and positive weather for all respondents. On the boxplot, the middle values denote medians, the box extends to the Q1 (first quartile) and Q3 (third quartile), and the whiskers show the range of 99.3%: the upper whisker shows Q3 + 1.5 IQR (the interquartile range), the lower shows Q1 – 1.5 IQR. The notches extend to ± 1.58 IQR/sqrt(n) and show the 95% confidence intervals. Strong evidence of differing medians is indicated by non-overlapping notches.
With respect to the TSF index, statistically significant differences were noted for AOIs four and five. The median values for AOI four are 4.63 s and 2.75 s for negative and positive weather, respectively, and for AOI five 2.26 s and 1.21 s, respectively. The FFD index displayed significant differences in AOI five. For weather with a negative impact on respondents, the median of the index was 0.20 s, whereas, for weather with a positive impact it was 0.15 s.
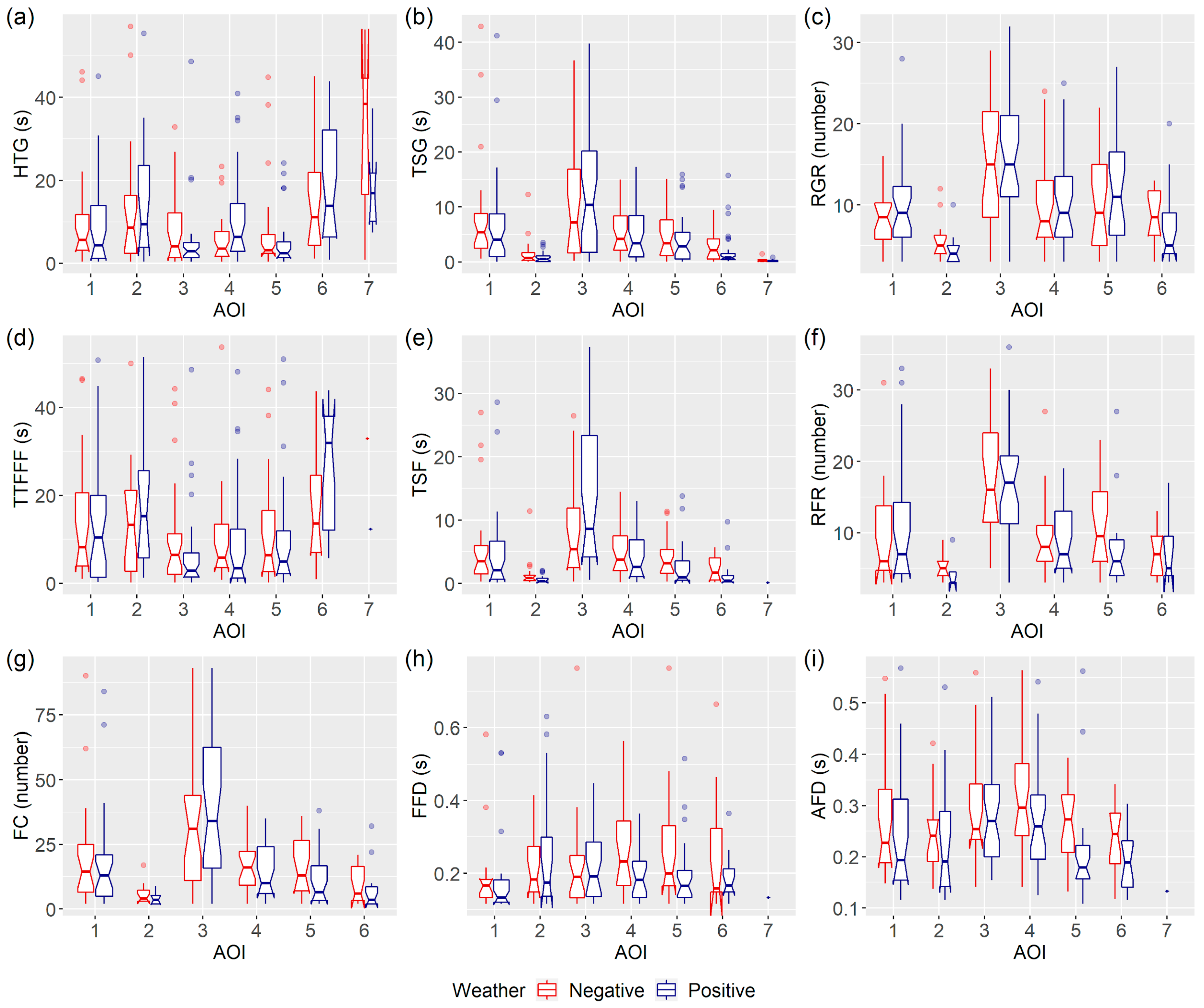
Taking into consideration the impact of the mood and general feeling (frame of mind) of the respondents on their perception of the landscape, irrespective of the existing weather conditions, no statistically significant differences between the median values of individual indexes were determined in any AOI. For this reason, subsequent studies are needed to determine the simultaneous impact on landscape perception of both weather and general feeling (frame of mind). In the case of respondents who assessed their general feeling as positive, significant differences in landscape perception under positive and negative weather conditions occurred in AOIs four, five and six, and again for the same indexes (TSG, TSF, FFD). Significant differences between median values for the TSG index occurred in AOI four (5.87 s for negative weather and 2.94 s for positive weather) and in AOI six (2.38 s and 1.1 s, respectively). In turn, the TSF index displayed significant differences in AOI four. The median values totalled 4.65 s and 2.81 s, respectively, for negative and positive weather. With respect to the FFD index, significant differences were observed in AOI five. The median values totalled 0.2 s and 0.15 s for negative and positive weather, respectively (Figure 4).
Figure 4.
Statistic of chosen indexes: (a) HTG, (b) TSG, (c) RGR, (d) TTFFF, (e) TSF, (f) RFR, (g) FC, (h) FFD, (i) AFD (detailed description of indexes in the research area, data and methods chapter) for particular AOI in negative and positive weather for respondents with a good frame of mind (boxplots description according to Figure 3).
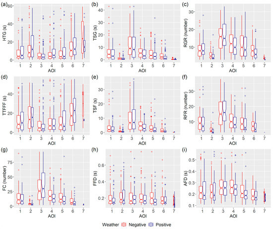
When respondents reported a bad general feeling, statistically significant differences in landscape perception under negative and positive weather conditions were observed only for the AFD index at AOI five (Figure 5). The median values for the said AOI for negative and positive weather amounted to 0.27 s and 0.18 s, respectively.
Figure 5.
Statistic of chosen indexes: (a) HTG, (b) TSG, (c) RGR, (d) TTFFF, (e) TSF, (f) RFR, (g) FC, (h) FFD, (i) AFD (detailed description of indexes in the research area, data and methods chapter) for particular AOI in negative and positive weather for respondents with a bad frame of mind (boxplots description according to Figure 3).
The analysis was supplemented with information that concerned the order in which respondents looked at the specific AOIs, depending on the weather (Figure 6a,b). During the study, it was determined that the order in which participants visited the individual AOIs was not affected by their sex or by the season of the year. However, clear differences concerning the way participants looked at the test landscape did occur under weather conditions which impacted them negatively or positively. These dependences were similar for the whole year.
Figure 6.
Sequence of visits in areas of interest designated for the analysis during (a) positive and (b) negative weather conditions.
During negative weather (Figure 6a), participants commenced their observation from the left side of the panorama (northern forest), moving their eyes to its centre (tree-felling area), and thereafter towards the horizon. Then, they focused on the centre (road and building site) before shifted their gaze to the right, towards the southern forest and the car park.
During weather that impacted them positively, they also commenced their observation from the left side of the test landscape, in the northern forest AOI. Next, their gaze shifted right and up to the horizon, and then down to the building site and the road. Thereafter, they would look right, towards the tree-feeling area, and then to the northern forest and down to the car park (Figure 6b).
5. Discussion
Needless to say, the landscape and its features are a significant part of our daily lives, with a tangible impact on the quality of life itself. The objective of the study was to determine the impact of weather conditions on landscape perception. This research made use of the eye tracking method which is based on measurements of the eye pupil movement. This method has also been widely used in many fields such as landscape assessments and spatial planning, tourism, and assessing the aesthetics of city panoramas, among others. However, research concerning the impact of weather on landscape perception with the use of eye tracking remains a rarity [52,66].
The research results presented in this article demonstrate that biometeorological conditions do have an impact on our perception of the landscape. The study was performed on a group of students with similar age and experience, whose knowledge of the landscape was more or less at the same level. Therefore, the selected group was uniform, and this is important as landscape perception may differ significantly depending on the experience of the respondents. Similar to the results of research into landscape perception as viewed on a photograph by both experts and laypersons in a given field, significant differences in the observation patterns may occur between these two groups. Another good example would be the analysis performed by Landsdale et al. [79] which demonstrated differences in how experienced and untrained users of aerial photographs actually took their photographs, or the study by Hermans and Laarni [80] which showed differences in the perception of maps between experienced and novice map users. As Dupont et al. [52] demonstrated, a perceived feature of the landscape may be interpreted downright differently depending on the observer’s experience.
The results of research into landscape perception based on the sex of the respondents did not display any statistically significant differences. Both women and men in the groups studied perceived the landscape in a similar manner during weather that impacted them either positively or negatively. The extant literature, in turn, demonstrated certain differences between the exploration strategies of men and women into the natural landscapes, for example, De Lucio et al. [81]. According to these authors, women more often than men used a systematic landscape review strategy and were more interested in various fragments of the analyzed view. Finally, however, the authors admitted that due to the small number of respondents, these tendencies could be considered as only broad indications.
Studies that did not apply any sex-based division showed that the perception of selected fragments of the landscape differed significantly during positive and negative weather for three of the nine indexes used. This differentiation concerned the following AOIs: building site, tree-felling area, and the southern forest. The values of the TSG index, that is, the time of observation of individual AOIs without fixation, indicated that under negative weather conditions respondents devoted, nearly, or more than twice as much time to the exploration of the two areas (i.e., the building site and the southern forest) where the test image presents a considerable number of details, colors, and contrasts. The importance of these elements under positive weather (sunny and high-pressure) has led to the exploration time of individual areas being shorter in a statistically significant way than under cloudy weather with low atmospheric pressure. Regarding elements of the landscape that influence human perception, behavior, as well as emotional and cognitive processes, observations with particular strength concern their detail, color, and the intensity of contrasts and contours [31,32,67,82].
With respect to the TSF index (i.e., the time spent in a given AOI calculated as the sum of fixations) it was determined that significant differences occurred in the way respondents viewed the Building site and the tree-felling area. Similar to the TSG index, here too, respondents spent on average nearly twice as much time looking at elements of the landscape under negative weather conditions. We may reiterate that under positive weather conditions, a large number of details, color, movement of construction machinery (with respect to the building site), and greater contrasts have resulted in respondents needing less time to distinguish this fragment of the landscape. Furthermore, in addition to the significant differences in the aforementioned indexes, of note are the results concerning the tree-felling area were similar dependences were also observed in the case of the FFD index (i.e., duration of the first fixation). This would suggest that the average time spent on freely observing the tree-felling area, the average time of the sum of fixations, and the average time of the first fixation were significantly dependent on the type of weather. Weather that negatively impacts humans forces them to devote greater attention to ingesting and processing information from the observed landscape [50]. Furthermore, it should be noted that the average duration of the first fixation under negative weather for the tree-felling area was amongst the longest when compared with times recorded in all the studied AOIs, irrespective of weather type. Therefore, it would appear to be justified to pose the question concerning what exactly rivets the attention of respondents in the tree-felling area under negative weather, that is to say, “Why are fallen trees such an interesting phenomenon?” The answer may lie in the fact that they are an unexpected and unusual sight, particularly in a municipal area, and therefore constitute an element of the landscape that is to some extent surprising, while at the same time prominent and important, thereby drawing the attention of observers. Similar conclusions were reached by Poole and Ball [50], who investigated human and computer interaction, and on the basis of fixation concluded that information was either very noticeable or important, whereas, an extended period of fixation on a given AOI indicated that information was more engrossing or that greater intellectual effort was required to uncover the information.
The article also analyzes the results of measurements concerning the impact of weather on landscape perception depending on the general feeling of the respondents. In the first order, we verified the statistical significance of differences between the medians of individual indexes by dividing up the test group on the basis of the general feeling reported by the respondents (i.e., into groups with good or bad general feeling on the date of the test) irrespective of weather type. The results of these tests showed that there is no statistically significant dependence between landscape perception on the one hand and the general feeling of respondents on the other, hence, the subsequent studies that accounted for the impact of both weather and general feeling.
The analysis regarding landscape perception under both negative and positive weather by persons who assessed their general feeling favorably concur to a large extent with those previously described in connection with research conducted without any division according to the frame of mind. Once again, it was also observed that statistically significant differences appeared with respect to the medians for the same three indexes (TSG, TSF, FFD) concerning the times of observation or fixation on the same AOIs, namely the building site, the tree-felling area, and the southern forest that were twice (or nearly twice) as long under negative weather.
As a result, an analysis of the statistical significance of medians of individual indexes, according to values obtained by the respondents who reported a bad general feeling, showed that only the tree-felling area was perceived differently in a significant way depending on the weather type. Under negative weather conditions, respondents with a bad general feeling looked at the tree-felling area, on average, nearly twice as long as they did under positive weather conditions. Depending on the weather type, respondents with a good general feeling perceived three AOIs differently in a significant way, while respondents with a bad general feeling perceived only one AOI differently in a significant way. Therefore, we can state that landscape perception is also impacted by the respondents’ general feeling, and an important element in its perception is whether the weather is negative or positive. Moreover, in the event of a bad general feeling, one needs stronger than expected stimuli from the landscape (a large tree-felling area in a municipal landscape as a surprising and unusual sight) in order to explore the landscape differently, depending on the type of weather [8,15,83].
The results of research concerning the order in which participants looked at the test landscape showed that various parts of its area are visited differently depending on the type of weather. Under favorable weather conditions, respondents commenced their observation from the left side of the test landscape, and then shifted their gaze to the upper-right part of the image, before proceeding down towards the building site and the road. Next, they would look right, first towards the tree-felling area, and thereafter, to the northern forest and car park. However, during negative weather the order in which they looked would be somewhat different, that is to say, they would first direct their gaze at the left section of the landscape, then circle the centre of the image in an anticlockwise direction, and finally back to the horizon and from there to the left side of the image. These patterns only partially confirm the theory concerning the direction of gazing, pursuant to the gaze usually moving from the upper left quadrant of the perceptive field to the upper right quadrant, and thereafter, to the lower right and lower left portions [19]. The order of looking is noteworthy in that the gaze passes along the central part of the image during negative weather, which indicates that respondents have to devote greater attention to areas containing more details under conditions of reduced contrast (compared to positive weather conditions) due to cloudiness [8,15]. The results obtained concerning greater attention being required for areas with lesser contrast confirm the theories of looking in the existing literature [82,84,85].
For future research into landscape perception connected with weather types, it is highly recommended to focus more on the impact of seasonal change on colors associated with the phenological phases of vegetation. Earlier research has shown that the color of vegetation accounts for considerable differences in landscape perception [1,33]. To date, however, the impact of the weather on differences in landscape perception in various phenological seasons is yet to be explored.
A very interesting aspect of research into landscape perception is the issue of such perception on the basis of the experience or inexperience of the observer, for example, with respect to tourism in the broadest meaning of the term. Determining the extent that the weather and a tourist’s experience would impact landscape perception could be useful for evaluating a given area, for ascertaining its attractiveness, and the viability of its use when planning, for example, tourist routes, leisure points, scenic points, and perhaps even therapeutic gardens [86,87,88]. Therefore, the results of research into landscape perception, supplemented with information concerning the impact of the weather may constitute valuable information for planners responsible for the spatial management of the human environment. This is of particular relevance to non-urban areas where the increasing popularity of initiatives aimed at securing green energy has led to the widespread installation of wind farms whose presence in such a landscape is still being widely discussed [89]. There is no doubt that research into weather-dependent landscape perception must continue, as it will supplement our existing knowledge that is described among others as the physiognomical concept of the landscape [21,90], which assumes the dominant role of sight in the reception of landscape stimuli.
6. Conclusions
The results of this research into landscape perception based on the sex of respondents have not shown any significant statistical differences. Both women and men in the groups studied perceived the landscape rather similarly during weather that impacted them positively or negatively.
Studies conducted without applying a sex-based division among respondents point to the test landscape’s significant impact on the differentiation in perception. Under negative weather conditions (cloudy, low-pressure, and with only a small quantity of solar radiation reaching the surface of the earth), respondents devoted nearly twice as much time or even more to exploring areas with a considerable number of details, colors, and contrasts.
Landscape perception is also impacted by the general feeling of the observer, in addition to the influence brought about by either negative or positive weather. It was observed that in periods with a bad general feeling, one needs stronger than expected stimuli from the landscape (e.g., an unusual sight) in order for observers to explore the landscape differently depending on the type of weather.
The order in which people look at individual elements of the test landscape (AOI) depends on the type of weather and its impact on the individual observers. The results obtained partially confirm the theory concerning the direction of gazing, pursuant to the observer’s gaze usually moving from the upper left quadrant of the perceptive field to the upper right quadrant, and thereafter to its lower right and lower left portions [19].
Author Contributions
Conceptualization, M.P., I.P., L.K., M.R. and Z.M.; data curation, M.P., I.P., M.R., S.K. and A.B.; formal analysis, M.P. and L.K.; Investigation, M.P., I.P., L.K., M.R. and S.K.; methodology, M.P., I.P., L.K., M.R., S.K. and A.B.; Resources, M.P. and I.P.; software, M.P., S.K. and A.B.; Validation, M.P. and L.K.; Visualization, M.P., I.P. and L.K.; writing—original draft, M.P., I.P. and L.K.
Funding
This research was funded by the Narodowe Centrum Nauki (UMO-2016/21/B/ST10/01864).
Conflicts of Interest
The authors declare no conflict of interest. The funders had no role in the design of the study; in the collection, analyzes, or interpretation of data; in the writing of the manuscript, or in the decision to publish the results.
References
- Kothencz, G.; Kolcsár, R.; Cabrera-Barona, P.; Szilassi, P. Urban Green Space Perception and Its Contribution to Well-Being. Int. J. Environ. Res. Public. Health 2017, 14, 766. [Google Scholar] [CrossRef] [PubMed]
- Tudor, C. An Approach to Landscape Character Assessment; Natural England: Sheffield, UK, 2014.
- Preobrażeński, V.S.; Vedenin, Y.A.; Zorin, I.V. Geograficieskie Aspekty Konstruirowanija Rekreacijonnych System; Izd. - Izdatielstwo AN USSR - Academy of Science of USSR: Moskva, Russia, 1975. [Google Scholar]
- Van der Zee, D. The complex relationship between landscape and recreation. Landsc. Ecol. 1990, 4, 225–236. [Google Scholar] [CrossRef]
- Pietrzak, M. Podstawy i Zastosowania Ekologii Krajobrazu. Teoria i Metodologia; Państwowa Wyższa Szkoła Zawodowa im. JA Komeńskiego: Leszno, Poland, 2010. [Google Scholar]
- Zube, E.H.; Sell, J.L.; Taylor, J.G. Landscape perception: research, application and theory. Landsc. Plan. 1982, 9, 1–33. [Google Scholar] [CrossRef]
- Brown, T.C.; Terry, C.D. Context effects in perceived environmental quality assessment: scene selection and landscape quality ratings. J. Environ. Psychol. 1987, 7, 233–250. [Google Scholar] [CrossRef]
- Ingold, T. Footprints through the weather-world: Walking, breathing, knowing. J. R. Anthropol. Inst. 2010, 16, 121–139. [Google Scholar] [CrossRef]
- Echtner, C.M.; Ritchie, J.R.B. The measurement of destination image: An empirical assessment. J. Travel Res. 1993, 31, 3–13. [Google Scholar] [CrossRef]
- Dann, G.; Jacobsen, J.K.S. Tourism smellscapes. Tour. Geogr. 2003, 5, 3–25. [Google Scholar] [CrossRef]
- Wieber, J.C. Landscape as information source for studies of connections between nature and societies. Probl. Ekol. Kraj. 2006, 16, 69–78. [Google Scholar]
- Li, Q.; Huang, Z.; Christianson, K. Visual attention toward tourism photographs with text: An eye-tracking study. Tour. Manag. 2016, 54, 243–258. [Google Scholar] [CrossRef]
- Gibson, J.J. The Ecological Approach to Visual Perception; Houghton Mifflin: Boston, MA, USA, 1979. [Google Scholar]
- Gibson, J.J. Reasons for Realism. In Selected Essays of James J. Gibson; Reed, E., Jones, R., Eds.; Lawrence Erlbaum Hillsdale: New York, NY, USA, 1982. [Google Scholar]
- Ingold, T. Czasowość krajobrazu. In Krajobrazy. Antologia tekstów; Frydryczak, B., Angutek, D., Eds.; Wyd. PTPN: Poznań, Poland, 2014. [Google Scholar]
- Maruszewski, T. Psychologia Poznania. Umysł i świat; GWP: Gdańsk, Poland, 2017. [Google Scholar]
- Bańka, A. Społeczna Psychologia środowiskowa; Wydawnictwo Naukowe Scholar: Warszawa, Poland, 2002. [Google Scholar]
- Gibson, J.J. The Theory of Affordances. In Perceiving, Acting, and Knowing: Toward an Ecological Psychology; Shaw, R., Bransford, J., Eds.; Hillsdale, Lawrence Erlbaum: New York, NY, USA, 1977; pp. 67–82. [Google Scholar]
- Woodson, W.E.; Conover, D. Human Engineering Guide to Equipment Design; Berkeley: Los Angeles, CA, USA, 1964. [Google Scholar]
- Brossard, T.; Wieber, J.C. Le paysage trois definitions, un mode d’analyse et de cartographie. L’Espace Geogr. 1984, 1, 5–12. [Google Scholar] [CrossRef]
- Brossard, T.; Wieber, J.C.; Joly, D. Analyse visuelle systematique des paysages de cours d’eau par deux approaches complementaires. Rev. Geogr. Lyon 1998, 73, 299–308. [Google Scholar] [CrossRef]
- Jacobsen, T. Beauty and the brain: Culture, history and individual differences in aesthetic appreciation. J. Anat. 2010, 216, 184–191. [Google Scholar] [CrossRef] [PubMed]
- Tomasello, M. The Cultural Origins of Human Cognition; Harvard University Press: Cambridge, MA, USA, 2009. [Google Scholar]
- Budd, M. The Aesthetic Appreciation of Nature; Essays on the Aesthetics of Nature; Oxford University Press: Oxford, UK, 2002. [Google Scholar] [CrossRef]
- Levinson, J. The Oxford Handbook of Aesthetics; Oxford University Press: Oxford, UK, 2005. [Google Scholar] [CrossRef]
- Hartig, T.; Staats, H. The need for psychological restoration as a determinant of environmental preferences. J. Environ. Psychol. 2006, 26, 215–226. [Google Scholar] [CrossRef]
- Staats, H.; Van Gemerden, E.; Hartig, T. Preference for restorative situations: Interactive effects of attentional state, activity in-environment, and social context. Leis. Sci. 2010, 32, 401–417. [Google Scholar] [CrossRef]
- Chen, Y.; Sun, B.; Liao, S.; Chen, L.; Luo, S. Landscape perception based on personal attributes in determining the scenic beauty of in-stand natural secondary forests. Ann. Res. 2015, 59, 91–103. [Google Scholar] [CrossRef][Green Version]
- Bartkowski, T. Nowy etap dyskusji nad pojęciem krajobrazu. Czas. Geogr. 1985, 1, 73–79. [Google Scholar]
- Pietrzak, M. Krajobraz multisensoryczny i metody jego oceny. In Uwarunkowania i Plany Rozwoju Turystyki; Młynarczyk, Z., Zajadacz, A., Eds.; Turystyka i Rekreacja, Studia i Prace: Poznań, Poland, 2008; Volume 2, pp. 103–121. [Google Scholar]
- Francuz, P. Imagia. W Kierunku Neurokognitywnej Teorii Obrazu; KUL: Lublin, Poland, 2013. [Google Scholar]
- Kolek, Z. Psychofizyka barwy. Pr. Inst. Elektrotechniki 2010, 244, 1–16. [Google Scholar]
- Krzymowska-Kostrowicka, A. Geoekologia Turystyki i Wypoczynku; PWN: Warszawa, Poland, 1999. [Google Scholar]
- Łukaszewicz, A.; Łukaszewicz, S.Z. Rola i Kształtowanie Zieleni Miejskiej; Wydawnictwo Naukowe UAM: Poznań, Poland, 2011. [Google Scholar]
- Renda, J.; Mackoś-Iwaszko, E. Percepcja wzrokowa krajobrazu miasta w aspekcie sezonowej zmienności barw dendroflory. Acta Sci. Pol. Adm. Locorum 2014, 13, 5–15. [Google Scholar]
- Gołaszewska, M. Poznanie i Doznanie. Eseje z Estetyki Ekologii; TAiWPN UNIVERSITAS: Kraków, Poland, 2000. [Google Scholar]
- Kaplan, R.; Kaplan, S. The Experience of Nature: A Psychological Perspective; Cambridge University Press: Cambridge, UK, 1989. [Google Scholar]
- Bell, P.A.; Greene, T.C.; Fisher, J.D.; Baum, A. Psychologia środowiskowa; Gdańskie Wydawnictwo Psychologiczne: Gdańsk, Poland, 2004. [Google Scholar]
- Mączyński, B. Warunki pogody – czas reakcji prostej i wypadki drogowe w Wielkopolsce. Balneol. Pol. 1972, 17, 107–131, 307–336. [Google Scholar]
- Błażejczyk, K. Bioklimatyczne Uwarunkowania Rekreacji i Turystyki w Polsce; PAN, IGiPZ, Prace Geograficzne nr 192: Warszawa, Poland, 2004. [Google Scholar]
- Kozłowska-Szczęsna, T.; Krawczyk, B.; Kuchcik, M. Wpływ środowiska Atmosferycznego na Zdrowie i Samopoczucie Człowieka; Monografie 4, PAN, IGiPZ: Warszawa, Poland, 2004. [Google Scholar]
- Błażejczyk, K.; Kunert, A. Bioklimatyczne Uwarunkowania Rekreacji i Turystyki w Polsce; Monografie 13, PAN, IGiPZ: Warszawa, Poland, 2011. [Google Scholar]
- Tyczka, S. Znaczenie czynników klimatycznych w profilaktyce zdrowotnej. Probl. Uzdrow. 1980, 4, 49–56. [Google Scholar]
- Tyczka, S. Problematyka, zadania i osiągnięcia współczesnej biometeorologii. Probl. Uzdrow. 1981, 1–4, 45–51. [Google Scholar]
- Tromp, S.W. Biometeorology; Heyden & Sohn: London, UK, 1980. [Google Scholar]
- Jethon, Z.; Grzybowski, A. Medycyna Zapobiegawcza i środowiskowa; Wyd. Lekarskie PZWL: Warszawa, Poland, 2000. [Google Scholar]
- Kaida, K.; Takahashi, M.; Otsuka, Y. A short nap and bright light exposure improve positive mood status. Ind. Health 2007, 45, 301–308. [Google Scholar] [CrossRef]
- Klimstra, T.A.; Frijs, T.; Keijsers, L.; Denissen, J.J.; Raaijmakers, Q.A.; van Aken, M.A.; Koot, H.M.; Meeus, W.H. Come rain or come shine: Individual differences in how weather affects mood. Emotion 2011, 11, 1495–1499. [Google Scholar] [CrossRef] [PubMed]
- Ungeheuer, H. Das menschliche Befinden bei verschieden Wetter-typen. Therapiewoche 1957, 7, 11–17. [Google Scholar]
- Poole, A.; Ball, L.J. Eye tracking in HCI and usability research. In Encyclopedia of Human Computer Interaction; Idea Group Reference: Hershey, PA, USA, 2006; pp. 211–219. [Google Scholar] [CrossRef]
- Duchowski, A.T. Eye Tracking Methodology. In Theory and Practice; Spinger-Verlag: London, UK, 2007. [Google Scholar]
- Dupont, L.; Antrop, M.; Van Eetvelde, V. Does landscape related expertise influence the visual perception of landscape photographs? Implications for participatory landscape planning and management. Landsc. Urban Plan. 2015, 141, 68–77. [Google Scholar] [CrossRef]
- Antrop, M.; Van Eetvelde, V. Landscape Perspectives. The Holistic Nature of Landscape; Landscapes Series 23; Springer: Dordrecht, The Nederlands, 2017. [Google Scholar]
- Sheppard, S.R.J.; Meitner, M. Using multi-criteria analysis and visualisation for sustainable forest management planning with stakeholder groups. Ecol. Manag. 2005, 207, 171–187. [Google Scholar] [CrossRef]
- del Carmen Torres Sibille, A.; Cloquell-Ballester, V.; Cloquell-Ballester, V.; Darton, R. Development and validation of a multicriteria indicator for the assessment of objective aesthetic impact of wind farms. Renew. Sustain. Energy Rev. 2009, 13, 40–66. [Google Scholar] [CrossRef]
- de Vries, S.; de Groot, M.; Boers, J. Eyesores in sight: Quantifying the impact of man-made elements on the scenic beauty of Dutch landscapes. Landsc. Urban Plan. 2012, 105, 118–127. [Google Scholar] [CrossRef]
- Lothian, A. Scenic perceptions of the visual effects of wind farms on SouthAustralian landscapes. Geogr. Res. 2008, 46, 196–207. [Google Scholar] [CrossRef]
- Thayer, R.L.; Freeman, C.M. Altamont: Public perceptions of a wind energy landscape. Landsc. Urban Plan. 1987, 14, 379–398. [Google Scholar] [CrossRef]
- Tsousos, T.; Tsouchlaraki, A.; Tsiropoulos, M.; Serpetsidakis, M. Visual impact evaluation of a wind park in a Greek island. Appl. Energy 2009, 86, 546–553. [Google Scholar] [CrossRef]
- Drost, R.; Trobec, J.; Steffke, C.; Libarkin, J. Eye tracking: Evaluating the impact of gesturing during televised weather forecasts. Bull. Am. Meteorol. Soc. 2015, 96, 387–392. [Google Scholar] [CrossRef]
- Sherman-Morris, K.; Antonelli, K.B.; Williams, C.C. Measuring the effectiveness of the graphical communication of hurricane storm surge threat. Weather Clim. Soc. 2015, 7, 69–82. [Google Scholar] [CrossRef]
- Duchowski, A. A breadth-first survey of eye-tracking applications. Behav. Res. Methods, Instrum. Comput. 2002, 34, 455–470. [Google Scholar]
- Potocka, I. The lakescape in the eyes of a tourist. Quaest. Geogr. 2013, 32, 85–97. [Google Scholar] [CrossRef]
- Li, S.; Scott, N.; Walters, G. Current and potential methods for measuring emotion in tourism experiences: A review. Curr. Issues Tour. 2015, 18, 805–827. [Google Scholar] [CrossRef]
- Dupont, L.; Antrop, M.; Van Eetvelde, V. Eye-tracking analysis in landscape perception research: Influence of photograph properties and landscape characteristics. Landsc. Res. 2014, 39, 417–432. [Google Scholar] [CrossRef]
- Leder, H.; Mitrovic, A.; Goller, J. How beauty determines gaze! Facial attractiveness and gaze duration in images of real world scenes. i-Perception 2016, 7, 1–12. [Google Scholar] [CrossRef]
- Kiefer, P.; Giannopoulos, I.; Kremer, D.; Schlieder, C.; Raubal, M. Starting to get bored: An outdoor eye tracking study of tourists exploring a city panorama. In Proceedings of the Symposium on Eye Tracking Research and Applications, Safety Harbor, FL, USA, 26 March 2014. [Google Scholar]
- Kistowski, M. Metoda delimitacji i oceny wartości wizualno-estetycznej jednostek krajobrazowych i jej zastosowanie dla obszaru województwa pomorskiego. In Znaczenie Badań Krajobrazowych dla Zrównoważonego Rozwoju; Kistowski, M., Ed.; Wyd. UW: Warszawa, Poland, 2007; pp. 681–699. [Google Scholar]
- Bykowski, A.; Kupiński, S. Automatic mapping of gaze position coordinates of eye-tracking glasses video on a common static reference image. In Proceedings of the 2018 ACM Symposium on Eye Tracking Research & Applications (ETRA ’18). ACM, New York, NY, USA, 14–17 June 2018. [Google Scholar] [CrossRef]
- Rayner, K. Eye movements in reading and information processing: 20 years of research. Psychol. Bull. 1998, 124, 372–422. [Google Scholar] [CrossRef]
- Bylinski, Z.; Borkin, M.A.; Kim, N.W.; Pfister, H.; Oliva, A. Eye Fixation Metrics for Large Scale Evaluation and Comparison of Information Visualizations. In Eye Tracking and Visualization; Burch, M., Chuang, L., Fisher, B., Schmidt, A., Weiskopf, D., Eds.; ETVIS 2015. Mathematics and Visualization; Springer: Cham, Switzerland, 2017. [Google Scholar]
- Goldberg, J.; Wichansky, A. Eye tracking in usability evaluation: A practitioner’s guide. In The Mind’s Eye: Cognitive and Applied Aspects of Our Eye Movement Research; Hyona, J., Radach, R., Deubel, H., Eds.; Elsevier: Amsterdam, the Netherlands, 2002; pp. 493–516. [Google Scholar]
- Eraslan, S.; Yesilada, Y.; Harper, S. Eye tracking scanpath analysis on web pages: howmany users? In Proceedings of the Ninth Biennial ACM Symposium on Eye Tracking Research & Applications, Charleston, SC, USA, 14–17 March 2016. [Google Scholar] [CrossRef]
- Wojciszke, B.; Baryła, W. Skale do pomiaru nastroju i sześciu emocji. Czas. Psychol. 2005, 11, 31–47. [Google Scholar]
- Matthews, G.; Jones, D.M.; Chamberlain, A.G. Refining the measurement of mood: The UWIST Mood Adjective Checklist. Br. J. Psychol. 1990, 81, 17–42. [Google Scholar] [CrossRef]
- Russell, J.A.; Lanius, U.F. Adaptation level and the affective appraisal of environments. J. Environ. Psychol. 1984, 4, 119–135. [Google Scholar] [CrossRef]
- McGill, R.; Tukey, J.W.; Larsen, W.A. Variations of box plots. Am. Stat. 1978, 32, 12–16. [Google Scholar]
- Wilson, K.A.; Pamela, L.; Heinselman, P.L.; Kang, Z. Exploring applications of eye tracking in operational meteorology research. Bull. Am. Meteorol. Soc. 2016, 97, 2019–2025. [Google Scholar] [CrossRef]
- Landsdale, M.; Underwood, G.; Davies, C. Something overlooked? How experts in change detection use visual saliency. Appl. Cogn. Psychol. 2010, 24, 213–225. [Google Scholar] [CrossRef]
- Hermans, O.; Laarni, J. Information from screen maps. In Proceedings of the ScanGIS 9th Scandinavian Research Conference on Geographical Information Science, Espoo, Finland, 4–6 June 2003. [Google Scholar]
- De Lucio, J.V.; Mohamadian, M.; Ruiz, J.P.; Banayas, J.; Bernaldez, F.G. Visual landscape exploration as revealed by eye movement tracking. Landsc. Urban Plan. 1996, 34, 135–142. [Google Scholar] [CrossRef]
- Strzemiński, W. Teoria Widzenia; Wydawnictwo Literackie: Kraków, Poland, 1974. [Google Scholar]
- Kowalczyk, A. Krajobraz otwarty jako przedmiot rekreacji człowieka. Zeszyty Naukowe Wyższej Szkoły Pedagogicznej w Bydgoszczy. Studia Przyr. 1990, 8, 13–16. [Google Scholar]
- Merleau-Ponty, M. Fenomenologia Percepcji; Aletheia: Warszawa, Poland, 2001. [Google Scholar]
- Harris, M.G.; Humphreys, G.W. Obliczeniowe Teorie Widzenia. In Czucie i Percepcja; Gregory, R.L., Colman, A.M., Eds.; Zysk i S-ka: Poznań, Poland, 2002. [Google Scholar]
- Bernat, S. Terapeutyczne właściwości krajobrazu. In Krajobraz a Zdrowie; Bernat, S., Ed.; UMCS: Lublin, Poland, 2017. [Google Scholar]
- Trojanowska, M. Estetyka ogrodów terapeutycznych. In Krajobraz a Zdrowie; Bernat, S., Ed.; UMCS: Lublin, Poland, 2017. [Google Scholar]
- Ziółek, M.; Czubla, P.; Kozieł, M. Porównanie warunków bioklimatycznych lasów na szlakach turystycznych Białowieskiego i Roztoczańskiego Parku Narodowego. In Krajobraz a Zdrowie; Bernat, S., Ed.; UMCS: Lublin, Poland, 2017. [Google Scholar]
- Berry, R.; Higgs, G. Gauging levels of public acceptance of the use of visualisation tools in promoting public participation; a case study of wind farm planning in South Wales, UK. J. Environ. Plan. Manag. 2012, 55, 229–251. [Google Scholar] [CrossRef]
- Macnaghten, P.; Urry, J. Alternatywne Przyrody. Nowe Myślenie o Przyrodzie i Społeczeństwie; Scholar: Warszawa, Poland, 2005. [Google Scholar]
© 2019 by the authors. Licensee MDPI, Basel, Switzerland. This article is an open access article distributed under the terms and conditions of the Creative Commons Attribution (CC BY) license (http://creativecommons.org/licenses/by/4.0/).





