Composition of Modern Dust and Holocene Aeolian Sediments in Archaeological Structures of the Southern Levant
Abstract
1. Introduction
- Sediments in various archaeological structures contain a major dust component.
- The comparison of different archaeological structures (hilltop ruins, terraces on slopes, cisterns) allows assessing the role of local processes for sediment deposition.
- Atmospheric dust sources and their potential changes over time can be identified.
- Understanding deposition processes in the archaeological structures in the context of current dust dynamics will improve our knowledge of past landscape changes.
2. Study Areas
2.1. Petra Region
2.2. The Northern Negev
2.3. Sampled Profiles
2.4. Current Dust
3. Methods
4. Results
4.1. General Properties of Archaeological Soils
4.1.1. Petra Region
4.1.2. The Northern Negev
4.1.3. Comparison of Archaeological Soils in Various Structures and Substrates
4.2. Sediment Ages and Sedimentation Rates
4.3. Grain Sizes and CaCO3-Contents
4.3.1. The Petra Region
4.3.2. Northern Negev
4.3.3. Comparison of Grain Sizes of the Archaeological Soils
4.4. Major and Trace Element Concentrations
4.4.1. Petra Region
- Major elements
- Trace elements
4.4.2. Northern Negev
- Major elements
- Trace elements
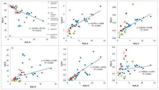
4.4.3. Statistical Comparison of Element Concentrations
4.5. Pedogenesis
4.6. Statistical Modeling of Sample Composition
5. Discussion
5.1. Role of the Types of Archaeological Ruins
5.2. Role of Rocks
5.3. Aeolian and Fluvial Transport Processes
5.4. Pedogenesis
5.5. Land Use Effects
5.6. Effects of Proximity to Local Sediment Sources and Dust Fixation Processes
5.7. Role of Precipitation
5.8. Role of Remote Sources
6. Conclusions
Supplementary Materials
Supplementary File 1Author Contributions
Funding
Acknowledgments
Conflicts of Interest
Appendix A. Detailed Description of Sampled Sites
Appendix A.1. Sampled Profiles in the Petra Region
Appendix A.1.1. Natural Sandstone Plateau Soil (Samples Sandplateau)

Appendix A.1.2. The triclinium on Jabal Farasha
Appendix A.1.3. Umm Saysaban Hilltop Ruin
Appendix A.1.4. Early Holocene Paleosols of Shkarat Msaied and Abu Suwwan
Appendix A.1.5. The Monastery Garden of Jabal Haroun

Appendix A.1.6. The Terrace on Dolomitic Limestone (Jh Site 60)
Appendix A.1.7. A Terrace on Sandstone (Jh Site 33)
Appendix A.1.8. Petra Region Reference Samples
Appendix A.2. Sampled Profiles in the Negev
Appendix A.2.1. Terrace on Chalk in a Tributary of Nahal HaRo’a

Appendix A.2.2. Nahal HaRo’a Paleosol of Loessial Apron
Appendix A.2.3. The Cistern Cleanout in the Western Wadi
Appendix A.2.4. Western Wadi Hilltop Ruin (Samples HH-WW R1)
Appendix A.2.5. Central Wadi Hilltop Ruin (Samples HH-CW Ruin)
Appendix A.2.6. Western Wadi Terrace 3
Appendix A.2.7. Negev Reference Samples
Appendix B. Detailed Methods Description
Appendix B.1. Sample Collection

Appendix B.2. Laboratory Analysis
Appendix B.3. Dating
Appendix B.4. Statistical Evaluation
Appendix C. Full Results of Analyses
| Sample Name | Sample No. | Horizon from … to… (cm) | Sampling Depth (cm) | Calibrated 14C Age (1-Sigma) | Cal. OSL Age | Age from Context | Munsell Dry | pH (H2O) | Conductivity (µS/cm) | TOC % |
|---|---|---|---|---|---|---|---|---|---|---|
| Natural Hilltop Soil on Sandstone Plateau: Protic Arenosol (Ochric) | ||||||||||
| Sandplateau 1 | 47 | A (0–10) | 10 | 10 YR 6/4 light yellowish brown | 8.4 | 66 | 0.28 | |||
| Sandplateau 2 | 48 | C (10–70) | 30 | 10 YR 5/6 yellowish brown | 8.5 | 60 | 0.16 | |||
| Sandplateau 3 | 49 | C (10–70) | 50 | 10 YR 6/6 brownish yellow | 8.2 | 60 | 0.12 | |||
| Sandplateau 4 | 50 | C (10–70) | 70 | 10 YR 5/8 yellowish brown | 8.2 | 40 | 0.14 | |||
| Sandplateau Stein | 39 | R (70+) | sandstone bedrock | 10 YR 8/1 white | 8.5 | 52 | 0.03 | |||
| Jabal Farasha Triclinium Hilltop Ruin: Calcaric Leptosol (Protic) | ||||||||||
| JF site 124/1 5 cm | 67 | V (0–10) | 5 | Nabatean pottery | 7.5YR 5/3 brown | 8.5 | 112 | 0.94 | ||
| JF site 124/1 15 cm | 68 | C (10–25) | 15 | 880–1040 CE | 7.5YR 5/4 brown | 8.6 | 86 | 0.53 | ||
| JF site 124/1 25 cm | 69 | C (10–25) | 25 | ~200 CE | 5YR 5/4 reddish brown | 8.5 | 79 | 0.52 | ||
| JF site 124/1 rock | 38 | R (25+) | sandstone bedrock | 10R 5/4 weak red | 0.13 | |||||
| Umm Saysaban Hilltop Ruin: Calcaric Leptosol (Protic) | ||||||||||
| Umm Saysaban 5 cm | 70 | V (0–5) | 5 | 7.5YR 6/3 light brown | 8.5 | 106 | 0.58 | |||
| Umm Saysaban 10 cm | 71 | C (5–10) | 10 | ~2500 BCE | 10YR 7/3 very pale brown | 8.5 | 83 | 0.38 | ||
| Buried Early Holocene Paleosols: Cambic Calcisol (Hypocalcic) (below Shkarat Msaied Ruins); Cambisol (Protocalcic) (below Abu Suwwan Ruins) | ||||||||||
| Shkarat Msaied 1 (paleosol below ruin) | 59 | 3BCk (45–60) | 55 | >8000 BCE | 7.5 YR 7/3 pink | 8.3 | 1375 | 0.27 | ||
| Abu Suwwan below nw 65 (buried paleosol) | 58 | 3BC (60–70+) | 65 | >8000 BCE | 10 YR 5/2 grayish brown | 8.1 | 142 | 0.60 | ||
| Monastery Garden of Jabal Haroun: Protic Arenosol (Alcalic. Ochric) | ||||||||||
| Jh Site 2 10 cm | 51 | A (0–10) | 10 | Byzantine-Umayyad pottery | 7.5YR 6/4 light brown | 8.5 | 224 | 0.27 | ||
| Jh Site 2 20 cm | 52 | C (10–35) | 20 | 7.5YR 5/3 brown | 8.6 | 187 | 0.22 | |||
| Jh Site 2 30 cm | 53 | C (10–35) | 30 | 7.5YR 5/3 brown | 8.8 | 177 | 0.23 | |||
| Jh Site 2 40 cm | 54 | 2Cu (35–60) | 40 | Byzantine pottery | 7.5YR 5/3 brown | 8.9 | 173 | 0.24 | ||
| Jh Site 2 50 cm | 55 | 2Cu (35–60) | 50 | 239–327 CE | 7.5YR 5/3 brown | 8.8 | 208 | 0.22 | ||
| Jh Site 2 60 cm | 56 | 2Cu (35–60) | 60 | 150 BCE–90 CE | 5YR 5/4 reddish brown | 8.5 | 113 | 0.09 | ||
| Jh Site 2 70 cm | 57 | 3Cu (60–70) | 70 | Late Roman pottery | 5YR 5/3 reddish brown | 8.7 | 200 | 0.16 | ||
| Terrace on Dolomitic Limestone (Jh site 60): Protic Colluvic Calcaric Regosol | ||||||||||
| Jh limestone 0 | 72 | Ap (0–10) | surface | Nabatean pottery | 10YR 7/4 very pale brown | 8.8 | 228 | 0.70 | ||
| Jh limestone 20 | 73 | C (10–60) | 20 | 1800–1850 CE | 10YR 7/4 very pale brown | 8.7 | 153 | 0.62 | ||
| Jh limestone 40 | 74 | C (10–60) | 40 | 10YR 7/4 very pale brown | 8.7 | 207 | 0.56 | |||
| Jh limestone 60 | 75 | C (10–60) | 60 | 150 BCE–90 CE | 10YR 6/4 light yellowish brown | 8.8 | 518 | 0.49 | ||
| Terrace on Sandstone (Jh site 33): Protic Calcaric Arenosol (Colluvic) over Protic Colluvic Calcaric Regosol | ||||||||||
| Jh site 33 10 | 60 | Ap (0–20) | 10 | Nabatean–LateIslamic pottery | 7.5YR 6/4 light brown | 8.8 | 239 | 0.26 | ||
| Jh site 33 30 | 61 | C (20–70) | 30 | 5YR 6/4 light reddish brown | 8.4 | 363 | 0.02 | |||
| Jh site 33 50 | 62 | C (20–70) | 50 | 5YR 6/4 light reddish brown | 8.3 | 374 | 0.01 | |||
| Jh site 33 75 | 63 | 2C (70–140) | 75 | 5YR 4/6 yellowish red | 8.7 | 573 | 0.04 | |||
| Jh site 33 100 | 64 | 2C (70–140) | 100 | 7.5YR 6/4 light brown | 8.8 | 688 | 0.08 | |||
| Jh site 33 130 | 65 | 2C (70–140) | 130 | 5YR 6/4light reddish brown | 8.7 | 688 | 0.13 | |||
| Jh site 33 150 | 66 | 3C (140–150) | 150 | 5YR 6/4light reddish brown | 8.9 | 599 | 0.10 | |||
| Reference Samples from Petra Region: Rocks & Current Fans | ||||||||||
| JH limestone outcrop | 44 | rock outcrop | 7.5YR 8/4 pink | 0.85 | ||||||
| Beidha Fan | 46 | surface | 10YR 6/4 light yellowish brown | 8.44 | 346 | 0.46 | ||||
| Fan Umm Sayhoun | 45 | surface | 10YR 8/4 very pale brown | 8.98 | 136 | 0.07 | ||||
| JH sandstone (Abu Khushayba) | 41 | rock outcrop | 2.5YR 5/3 reddish brown | 8.7 | 97 | 0.02 | ||||
| Disi Sandstone | 42 | rock outcrop | 7.5YR 8/1 white | 0.14 | ||||||
| Um Ishrin Sandstone | 43 | rock outcrop | 5YR 4/6 yellowish red | 0.06 | ||||||
| Ba’ja Sandstein | 40 | surface rock | 10 YR 8/2 white | 8.3 | 81 | 0.02 | ||||
| Current Dust from Sampler on Top of Jabal Haroun | ||||||||||
| JH-19-12-16 | 76 | current dust | Marble sampler | 19.12.2016 | n.a. | |||||
| JH-07-01-17 | 77 | current dust | Marble sampler | 07.01.2017 | 10YR 6/3 pale brown | |||||
| JH-15-02-17 | 84 | current dust | Marble sampler | 15.02.2017 | 10YR 6/3 pale brown | |||||
| JH-01-03-17 | 83 | current dust | Marble sampler | 01.03.2017 | 10YR 5/2 grayish brown | |||||
| JH-05-08-17 | 78 | current dust | Marble sampler | 05.08.2017 | 10YR 5/4 yellowish brown | |||||
| JH-05-08-17 closed box | 79 | current dust | Marble sampler | 05.08.2017 | 10YR 5/4 yellowish brown | |||||
| Current Dust from Sampler at Foot of of Jabal Haroun | ||||||||||
| Saleh 25-11-16 | 80 | current dust | Marble sampler | 25.11.2016 | 5YR 5/3 reddish brown | |||||
| Saleh 20-06-17 | 81 | current dust | Marble sampler | 20.06.2017 | 10YR 5/4 yellowish brown | |||||
| Saleh 05-08-17 | 82 | current dust | Marble sampler | 05.08.2017 | 5YR 6/4 light reddish brown | |||||
| Sample Name | Sample No. | Horizon from … to… (cm) | Sampling Depth (cm) | Calibrated 14C Age (1-Sigma) | Cal. OSL Age | Age from Context | Munsell Dry | pH (H2O) | Conductivity (µS/cm) | TOC % |
|---|---|---|---|---|---|---|---|---|---|---|
| Terrace on Chalk in Nahal HaRo’a: Protic Colluvic Calcaric Regosol (Siltic) over Calcaric Fluvisol (Aric, Siltic) over Cambic Calcisol (Siltic) | ||||||||||
| Haroa Farm 10 C | 7 | A (0–5), C (5–15), 2C (15–28) | 10 | 10 YR 6/4 light yellowish brown | 8.1 | 4520 | 3.02 | |||
| Haroa Farm 28 fAh | 8 | 3Apb (28–30) | 28 | 10 YR 7/4 very pale brown | 7.8 | 4810 | 1.43 | |||
| Haroa Farm 40 C | 9 | 3C (30–55) | 40 | 10 YR 7/4 very pale brown | 8.1 | 4960 | 0.65 | |||
| Haroa Farm 50 C | 10 | 3C (30–55) | 50 | 10 YR 7/4 very pale brown | 8.3 | 4650 | 0.55 | |||
| Haroa Farm 65 C | 11 | 4C (55–70) | 65 | 10 YR 7/4 very pale brown | 8.3 | 3420 | 0.59 | |||
| Haroa Farm 80 B | 12 | 5Bk (70–90+) | 80 | 10 YR 6/4 light yellowish brown | 8.8 | 2680 | 0.28 | |||
| Paleosol in Loessial Apron of tributary of Nahal HaRo’a: Cambic Calcisol (Siltic) | ||||||||||
| NH-LA-10cm | 5 | V (0–25) | 10 | 10YR 8/6 yellow | 8.9 | 111 | 0.43 | |||
| NH-LA-30cm | 6 | 2Bwk (25–55+) | 30 | 10YR 6/6 brownish yellow | 9.3 | 135 | 0.38 | |||
| Cistern Cleanout Spoil: Protic Calcaric Regosol (Siltic, Transportic) over Calcaric Regosol (Siltic, Transportic) over Camic Calcisol (Siltic) | ||||||||||
| HH-WW-Cistern1-Cleanout1-40 | 18 | Cu (0–80) | 40 | Byzantine-Islamic pottery | 10 YR 7/4 very pale brown | 7.7 | 1933 | 0.49 | ||
| HH-WW-Cistern1-Cleanout1-80 | 19 | Cu (0–80) | 80 | Byzantine-Islamic pottery | 10 YR 7/4 very pale brown | 7.7 | 1741 | 0.45 | ||
| HH-WW-Cistern1-Cleanout1-120 | 20 | 2Cu (80–160) | 120 | 940–1060 CE | Byzantine-Islamic pottery | 10 YR 7/4 very pale brown | 8.1 | 1109 | 0.40 | |
| HH-WW-Cistern1-Cleanout1-160 | 21 | 2Cu (80–160) | 160 | 590–730 CE | Byzantine-Islamic pottery | 10 YR 7/4 very pale brown | 8.0 | 1445 | 0.38 | |
| Hilltop Ruin Overlooking the Western Wadi: Calcaric Leptosol (Protic, Siltic) | ||||||||||
| HH-WW R1 10 | 22 | V (0–5), C (5–20) | 10 | 10YR 6/6 brownish yellow | 8.3 | 2300 | 1.10 | |||
| HH-WW-R1 20 | 23 | C (5–20) | 20 | 2000–2500 BCE | 10YR 5/6 yellowish brown | 8.3 | 3890 | 1.30 | ||
| Hilltop Ruin Overlooking the Central Wadi: Protic Calcaric Regosol (Siltic) over Cambic Calcisol (Siltic) | ||||||||||
| HH-CW-Ruin 10 | 24 | V0 (0-5), V1 (5–15) | 10 | ~ 19461 CE (7 cm) 1643–1918 CE (14 cm) | 10YR 7/3 very pale brown | 8.7 | 371 | 0.90 | ||
| HH-CW-Ruin 25 | 25 | V2 (15–35) | 25 | 1694–1918 CE (20 cm) | 870–1020 CE | 10YR 7/3 very pale brown | 8.4 | 2100 | 0.84 | |
| HH-CW-Ruin 50 | 26 | C (35–40), 2C (40–70) | 50 | 2570–1990 BCE | 10YR 7/3 very pale brown | 8.7 | 3450 | 0.76 | ||
| HH-CW-Ruin 60 | 27 | 2C (40–70) | 60 | 10YR 7/6 yellow | 9.0 | 3620 | 1.20 | |||
| HH-CW-Ruin 75 | 28 | 3Bwk (70–100+) | 75 | 10 YR 7/4 very pale brown | 8.8 | 3320 | 0.30 | |||
| HH-CW-Ruin 90 | 29 | 3Bwk (70–100+) | 90 | 23900–20600 BCE | 10YR 7/4 very pale brown | 9.0 | 3120 | 1.10 | ||
| Western Wadi Terrace 3: Protic Colluvic Calcaric Regosol (Siltic) | ||||||||||
| HH-WW-T3-20 | 13 | A (0–5), C (0–60) | 20 | 10YR 7/4 Very pale Brown | 8.8 | 265 | 0.60 | |||
| HH-WW-T3-40 | 14 | C (0–60) | 40 | 10 YR 7/4 very pale brown | 8.1 | 164 | 0.43 | |||
| HH-WW-T3-70 | 15 | 2C (60–120) | 70 | 320–480 CE | 10YR 7/4 Very pale Brown | 8.5 | 107 | 0.32 | ||
| HH-WW-T3-90 | 16 | 2C (60–120) | 90 | 334–94 BCE | 10YR 7/3 very pale brown | 8.1 | 223 | 0.33 | ||
| HH-WW-T3-120 | 17 | 2C (60–120) | 120 | 460–240 BCE | 10YR 7/3 very pale brown | 8.0 | 127 | 0.24 | ||
| Negev reference samples | ||||||||||
| Haroa Farm chalk | 4 | chalk | outcrop | 5YR 8/2 pinkish white | ||||||
| HH-WW-C2-soft limestone | 2 | soft limestone | outcrop | 5YR 8/1 white | ||||||
| HH-WW-C2-hard limestone | 90 | hard limestone | outcrop | 5YR 8/1 white | ||||||
| HH-CW-chalk | 3 | chalk | outcrop | 7.5YR 8/3 pink | ||||||
| HH-CW-Tur-Paleo | 1 | Turonian paleosol | outcrop | 2.5 Y 7/4 pale yellow | 7.6 | 1817 | 0.52 | |||
| Current Dust from Midreshet Ben Gurion, Sede Boker | ||||||||||
| 25-03-03-HH dry spot | - | current dust | 10YR 7/6 yellow | |||||||
| 25-03-03-HH-incl.-washout | 30 | current dust | 10YR 7/6 yellow | |||||||
| 11-12-10-HH | 31 | current dust | 10YR 7/4 very pale brown | |||||||
| 12-12-10-HH | 32 | current dust | 10YR 7/4 very pale brown | |||||||
| 29-02-12-HH | 33 | current dust | 10YR 7/4 very pale brown | |||||||
| 18-04-12-HH | 34 | current dust | 10YR 7/4 very pale brown | |||||||
| 20-12-12-HH | 35 | current dust | - | |||||||
| 22-03-13-HH | 36 | current dust | 10YR 7/4 very pale brown | |||||||
| 11-02-15-HH | 37 | current dust | 10YR 7/4 very pale brown | |||||||
| 01-12-16-HH | - | current dust | - | |||||||
| 05-01-18-HH | - | current dust | 10YR 7/6 yellow | |||||||
| 28-03-18-HH | - | current dust | 10YR 7/6 yellow | |||||||
| Lab Code | Sample | Depth Below Surface [cm] | Water | Th | U | K | Dose Rate | OD | N | De | Age | Year AD/BC | ||
|---|---|---|---|---|---|---|---|---|---|---|---|---|---|---|
| % | ppm | ppm | % | Gy/ka | (%) | Gy | ± | yrs | ± | yrs | ||||
| HLK-2 | HH Cistern1 Cleanout1 110 | 110 | 8 ± 3 | 6.3 | 1.8 | 0.90 | 1.79 ± 0.07 | 30 | 17/19 | 1.84 | 0.08 | 1020 | 60 | 940-1060 CE |
| HLK-1 | HH Cistern1 Cleanout1 150 | 150 | 8 ± 3 | 5.4 | 1.6 | 0.78 | 1.57 ± 0.06 | 13 | 18/18 | 2.13 | 0.07 | 1360 | 70 | 590-730 CE |
| HLK-12 | HH-CW-Ruin 25 | 25 | 5 ± 3 | 4.7 | 1.5 | 1.08 | 1.82 ± 0.07 | 35 | 30/31 | 1.96 | 0.12 | 1070 | 80 | 870-1020 CE |
| HLK-11 | HH-CW-Ruin 50 | 55 | 8 ± 3 | 3.4 | 1.3 | 0.73 | 1.36 ± 0.05 | 34 | 32/33 | 5.9 | 0.4 | 4300 | 290 | 2570-1990 BCE |
| HLK-10 | HH-CW-Ruin 90 | 90 | 8 ± 3 | 6.3 | 2.1 | 1.31 | 2.21 ± 0.09 | 32 | 17/19 | 54 | 3 | 24300 | 1700 | 23900-20600 BCE |
| HKL-4 | HH-WW-T3-70 | 70 | 8 ± 3 | 5.3 | 1.8 | 0.79 | 1.64 ± 0.06 | 11 | 19/19 | 2.67 | 0.08 | 1620 | 80 | 320-480 CE |
| HKL-3 | HH-WW-T3-100 | 100 | 8 ± 3 | 4.3 | 1.4 | 0.57 | 1.28 ± 0.05 | 11 | 19/19 | 3.02 | 0.09 | 2370 | 110 | 460-240 BCE |
| PET-20 | JF site 124/1 15 | 15 | 5 ± 2 | 10.2 | 2.42 | 0.56 | 2.02 ± 0.07 | 27 | 19/19 | 2.15 | 0.14 | 1060 | 80 | 880-1040 CE |
| PET-19 | Jh limestone 20 | 20 | 5 ± 2 | 4.4 | 1.6 | 0.58 | 1.45 ± 0.04 | 67 | 28/30 | 0.28 | 0.03 | 200 | 20 | 1800-1850 CE |
| PET-18 | Jh limestone 50 | 50 | 8 ± 3 | 3.3 | 1.3 | 0.36 | 1.04 ± 0.04 | 74 | MAM * | 2.28 | 0.21 | 2180 | 210 | 340 BCE-50 CE |
| PET-9 | JH site 2 60 cm | 60 | 5 ± 2 | 4.9 | 1.8 | 0.16 | 1.14 ± 0.04 | 26 | 17/19 | 2.28 | 0.10 | 2050 | 120 | 150 BCE-90 CE |
| Labcode | Sample | Material | C14 | cal BCE/CE | cal BCE/CE | C (%) | Software/Dataset | |
|---|---|---|---|---|---|---|---|---|
| yrs BP | ± | 1 σ | 2 σ | |||||
| UBA-38659 | HH-CW-R 13-15 | charcoal | 229 | 35 | 1643–1949 * CE | 1527–1949 * CE | 76.8 | CALIB7.04/IntCal13 |
| UBA-38660 | HH-WC-R-20 | charcoal | 106 | 27 | 1694–1918 CE | 1682–1935 CE | 75.7 | CALIB7.04/IntCal13 |
| UBA-38661 | HH-WC-R-5-8 | charcoal | 4 | 24 | age-2 sigma outside calibration age range | 82.8 | ||
| UBA-34166 | HH-WW-3-90 cm | charcoal | 2130 | 36 | 334–94 BCE | 352–49 BCE | 61.6 | CALIB7.04/IntCal13 |
| UBA-38662 | Jh site 2 50 cm | charcoal | 1763 | 27 | 239–327 CE | 173–379 CE | 73.5 | CALIB7.04/IntCal13 |
| Site | mm/year | g/m2 year−1 | Comment |
|---|---|---|---|
| Petra region | |||
| Monastery garden (Jh site 2) | 0.29 | 264 | Steady and continuous sedimentation, apparently ongoing |
| Limestone terrace (Jh site 60) | 0.27 | 246 | Strongly scattering OSL-ages, samples may consist of mixtures of older and younger material |
| Jabal Farasha triclinium | 0.14 | 125 | Apparently constant deposition; consistent ages |
| Umm Saysaban | 0.02 | 20 | Minimum rate: ruin filled completely in the past |
| Jabal Haroun monastery | 0.10 | 90 | Minimum rate: lower boundary unclear |
| Negev | |||
| Cistern Cleanout | 1.47 | 1906 | Lower, compact part of cleanout pile that was dated by OSL |
| Terrace 3 | 0.51 | 453–525 | Possibly inhomogeneous sedimentation rates |
| Ruin near Western Wadi | 0.05 | 42 | Minimum rate: ruin filled completely in the past |
| Ruin near Central Wadi | 0.13–0.2 | 116–180 | Lower boundary unclear; occupation & collapse layers? |
| Sample Name | Sample No. | CaCO3 % | Skeleton > 2 mm (%) | Coarse Sand % | Medium Sand % | Fine Sand % | Coarse Silt % | Medium Silt % | Fine Silt % | Coarse Clay % | Medium Clay % | Fine Clay % | Sand % | Silt % | Clay % | MODE 1 [µm] | MODE 2 [µm] | MODE 3 [µm] | MEAN [µm] | |||||||||||||
|---|---|---|---|---|---|---|---|---|---|---|---|---|---|---|---|---|---|---|---|---|---|---|---|---|---|---|---|---|---|---|---|---|
| Natural Hilltop Soil on Sandstone Plateau: Protic Arenosol (Ochric) | ||||||||||||||||||||||||||||||||
| Sandplateau 1 | 47 | 2 | 0 | 3 | 59 | 18 | 6 | 4 | 3 | 3 | 2 | 2 | 80 | 13 | 8 | 415 | 0 | 0 | 143 | |||||||||||||
| Sandplateau 2 | 48 | 1 | 5 | 2 | 61 | 19 | 4 | 3 | 3 | 3 | 3 | 3 | 82 | 9 | 9 | 415 | 0 | 0 | 169 | |||||||||||||
| Sandplateau 3 | 49 | 0 | 9 | 2 | 61 | 19 | 4 | 3 | 3 | 3 | 3 | 3 | 82 | 9 | 9 | 415 | 0 | 0 | 161 | |||||||||||||
| Sandplateau 4 | 50 | 0 | 0 | 1 | 62 | 18 | 3 | 3 | 3 | 3 | 3 | 4 | 82 | 8 | 10 | 415 | 0 | 0 | 160 | |||||||||||||
| Sandplateau Stein (bedrock) | 39 | 0 | 0 | 1 | 75 | 12 | 2 | 2 | 4 | 3 | 1 | 0 | 89 | 7 | 4 | 415 | 0 | 0 | 248 | |||||||||||||
| Jabal Farasha Triclinium Hilltop Ruin: Calcaric Leptosol (Protic) | ||||||||||||||||||||||||||||||||
| JF site 124/1 5 cm | 67 | 13 | 3 | 3 | 17 | 30 | 18 | 11 | 8 | 6 | 4 | 3 | 51 | 36 | 13 | 132 | 0 | 0 | 38 | |||||||||||||
| JF site 124/1 5 cm S&C | 85 | 22 | 0 | 0 | 0 | 0 | 37 | 22 | 15 | 12 | 8 | 6 | 0 | 74 | 26 | 42 | 0 | 0 | 7 | |||||||||||||
| JF site 124/1 15 cm | 68 | 10 | 5 | 3 | 16 | 34 | 19 | 9 | 7 | 6 | 3 | 3 | 53 | 34 | 12 | 132 | 0 | 0 | 41 | |||||||||||||
| JF site 124/1 25 cm | 69 | 8 | 21 | 4 | 14 | 39 | 15 | 8 | 6 | 6 | 5 | 2 | 57 | 29 | 14 | 132 | 1 | 0 | 38 | |||||||||||||
| JF site 124/1 bedrock | 38 | 2 | n.a. | 48 | 10 | 2 | 3 | 8 | 8 | 10 | 9 | 3 | 60 | 18 | 22 | 1315 | 1 | 13 | 89 | |||||||||||||
| Umm Saysaban Hilltop Ruin: Calcaric Leptosol (Protic) | ||||||||||||||||||||||||||||||||
| Umm Saysaban 5 cm | 70 | 12 | 13 | 3 | 16 | 32 | 15 | 11 | 9 | 8 | 4 | 2 | 51 | 35 | 14 | 132 | 0 | 0 | 35 | |||||||||||||
| Umm Saysaban 10 cm | 71 | 12 | 12 | 5 | 18 | 32 | 13 | 9 | 8 | 8 | 5 | 3 | 54 | 30 | 16 | 132 | 0 | 0 | 36 | |||||||||||||
| Umm Saysaban 10 cm S&C | 86 | 25 | 0 | 0 | 0 | 0 | 29 | 19 | 18 | 18 | 11 | 6 | 0 | 66 | 34 | 42 | 0 | 0 | 5 | |||||||||||||
| Buried Early Holocene Paleosols: Cambic Calcisol (Hypocalcic) (below Shkarat Msaied Ruins); Cambisol (Protocalcic) (below Abu Suwwan Ruins) | ||||||||||||||||||||||||||||||||
| Shakarat Msaid 1 | 59 | 15 | 0 | 0 | 30 | 21 | 11 | 7 | 8 | 8 | 6 | 8 | 52 | 26 | 22 | 415 | 4 | 0 | 27 | |||||||||||||
| Shakarat Msaid 1 S&C | 88 | 30 | 0 | 0 | 0 | 0 | 23 | 15 | 17 | 17 | 13 | 16 | 0 | 54 | 46 | 42 | 4 | 0 | 2 | |||||||||||||
| Abu Suwwan below nw 65 | 58 | 18 | 2 | 1 | 39 | 22 | 7 | 8 | 8 | 7 | 5 | 3 | 62 | 23 | 15 | 415 | 4 | 0 | 48 | |||||||||||||
| Monastery Garden of Jabal Haroun: Protic Arenosol (Alcalic. Ochric) | ||||||||||||||||||||||||||||||||
| Jh Site 2 10cm | 51 | 4 | 2 | 2 | 63 | 19 | 3 | 2 | 2 | 2 | 3 | 4 | 83 | 7 | 9 | 415 | 0 | 0 | 201 | |||||||||||||
| Jh Site 2 20cm | 52 | 3 | 5 | 2 | 63 | 21 | 2 | 1 | 2 | 2 | 3 | 4 | 86 | 5 | 9 | 415 | 0 | 0 | 208 | |||||||||||||
| Jh Site 2 30cm | 53 | 3 | 12 | 2 | 54 | 24 | 3 | 2 | 2 | 3 | 5 | 5 | 80 | 7 | 13 | 415 | 0 | 0 | 106 | |||||||||||||
| Jh Site 2 40cm | 54 | 3 | 13 | 0 | 50 | 25 | 3 | 2 | 3 | 4 | 6 | 7 | 75 | 9 | 17 | 415 | 0 | 0 | 51 | |||||||||||||
| Jh Site 2 50cm | 55 | 3 | 4 | 1 | 54 | 25 | 2 | 2 | 2 | 4 | 5 | 5 | 79 | 7 | 13 | 415 | 0 | 0 | 89 | |||||||||||||
| Jh Site 2 60cm | 56 | 3 | 9 | 2 | 60 | 22 | 1 | 1 | 2 | 3 | 4 | 5 | 83 | 5 | 12 | 415 | 0 | 0 | 167 | |||||||||||||
| Jh Site 2 70cm | 57 | 4 | 22 | 2 | 52 | 20 | 5 | 2 | 2 | 4 | 5 | 8 | 74 | 9 | 17 | 415 | 0 | 0 | 53 | |||||||||||||
| Terrace on Dolomitic Limestone (Jh site 60): Protic Colluvic Calcaric Regosol | ||||||||||||||||||||||||||||||||
| Jh limestone 0 | 72 | 55 | 20 | 6 | 8 | 22 | 19 | 14 | 12 | 11 | 5 | 3 | 36 | 45 | 19 | 132 | 0 | 0 | 19 | |||||||||||||
| Jh limestone 20 | 73 | 55 | 17 | 3 | 4 | 25 | 19 | 15 | 13 | 11 | 6 | 4 | 32 | 47 | 21 | 132 | 0 | 0 | 15 | |||||||||||||
| Jh limestone 40 | 74 | 58 | 30 | 6 | 7 | 21 | 14 | 14 | 13 | 12 | 8 | 5 | 34 | 41 | 25 | 132 | 13 | 0 | 13 | |||||||||||||
| Jh limestone 60 | 75 | 55 | 18 | 4 | 6 | 19 | 17 | 13 | 14 | 12 | 7 | 8 | 30 | 43 | 28 | 132 | 4 | 0 | 11 | |||||||||||||
| Jh limestone 60 S&C | 89 | 51 | 0 | 0 | 0 | 0 | 24 | 19 | 20 | 17 | 10 | 11 | 0 | 61 | 40 | 42 | 4 | 0 | 3 | |||||||||||||
| Terrace on Sandstone (Jh site 33): Protic Calcaric Arenosol (Colluvic) over Protic Colluvic Calcaric Regosol | ||||||||||||||||||||||||||||||||
| Jh site 33 10 | 60 | 39 | 26 | 11 | 20 | 35 | 13 | 8 | 7 | 4 | 1 | 1 | 66 | 27 | 7 | 132 | 0 | 0 | 79 | |||||||||||||
| Jh site 33 30 | 61 | 11 | 6 | 4 | 25 | 45 | 7 | 4 | 4 | 4 | 3 | 5 | 73 | 15 | 12 | 132 | 0 | 0 | 65 | |||||||||||||
| Jh site 33 50 | 62 | 7 | 3 | 3 | 21 | 50 | 7 | 4 | 4 | 4 | 3 | 4 | 74 | 15 | 11 | 132 | 0 | 0 | 66 | |||||||||||||
| Jh site 33 75 | 63 | 15 | 1 | 0 | 2 | 30 | 17 | 12 | 11 | 9 | 8 | 11 | 32 | 41 | 27 | 132 | 0 | 0 | 10 | |||||||||||||
| Jh site 33 100 | 64 | 23 | 0 | 0 | 3 | 13 | 10 | 16 | 19 | 13 | 6 | 20 | 16 | 45 | 39 | 4 | 132 | 0 | 3 | |||||||||||||
| Jh site 33 100 S&C | 87 | 26 | 0 | 0 | 0 | 0 | 12 | 19 | 23 | 15 | 7 | 24 | 0 | 54 | 46 | 4 | 0 | 0 | 1 | |||||||||||||
| Jh site 33 130 | 65 | 28 | 3 | 2 | 10 | 20 | 7 | 12 | 16 | 14 | 8 | 11 | 31 | 36 | 33 | 132 | 4 | 0 | 8 | |||||||||||||
| Jh site 33 150 | 66 | 24 | 8 | 5 | 19 | 35 | 6 | 7 | 10 | 8 | 5 | 5 | 59 | 23 | 18 | 132 | 4 | 0 | 35 | |||||||||||||
| Reference Samples from Petra Region: Rocks & Current Fans | ||||||||||||||||||||||||||||||||
| Jh limestone outcrop | 44 | 98 | n.a. | 29 | 14 | 5 | 12 | 27 | 7 | 2 | 1 | 2 | 48 | 46 | 6 | 1315 | 13 | 0 | 74 | |||||||||||||
| Beidha Fan | 46 | 16 | 9 | 3 | 43 | 22 | 9 | 5 | 6 | 7 | 3 | 1 | 69 | 21 | 11 | 415 | 1 | 0 | 72 | |||||||||||||
| Fan Umm Sayhoun | 45 | 5 | 7 | 16 | 66 | 9 | 0 | 1 | 1 | 2 | 1 | 3 | 91 | 3 | 6 | 415 | 0 | 0 | 338 | |||||||||||||
| JH sandstone (Abu Khushayba) | 41 | 2 | n.a. | 3 | 63 | 13 | 2 | 3 | 5 | 5 | 2 | 2 | 79 | 11 | 10 | 415 | 0 | 0 | 101 | |||||||||||||
| Disi Sandstone | 42 | 4 | n.a. | 11 | 67 | 12 | 1 | 2 | 2 | 2 | 1 | 1 | 91 | 6 | 4 | 415 | 0 | 0 | 281 | |||||||||||||
| Um Ishrin | 43 | 2 | n.a. | 18 | 55 | 9 | 3 | 4 | 4 | 3 | 1 | 2 | 82 | 12 | 7 | 415 | 0 | 0 | 186 | |||||||||||||
| Ba’ja Sandstein | 40 | 1 | n.a. | 14 | 31 | 27 | 3 | 3 | 6 | 17 | 0 | 0 | 72 | 11 | 17 | 415 | 1 | 0 | 56 | |||||||||||||
| Current Dust from Sampler on Summit of Jabal Haroun | ||||||||||||||||||||||||||||||||
| JH-19-12-16 | 76 | 3 | 0 | 0 | 36 | 54 | 4 | n.a. | 4 | 3 | 0 | 0 | 89 | 8 | 3 | 132 | 0 | 0 | 157 | |||||||||||||
| JH-07-01-17 | 77 | 6 | 0 | 10 | 62 | 11 | 7 | n.a. | 6 | 4 | 0 | 0 | 83 | 13 | 4 | 415 | 0 | 0 | 204 | |||||||||||||
| JH-15-02-17 (snow) | 84 | 15 | 0 | 1 | 24 | 19 | 22 | n.a. | 21 | 13 | 0 | 0 | 44 | 43 | 13 | 415 | 42 | 10 | 34 | |||||||||||||
| JH-01-03-17 (rain) | 83 | 11 | 0 | 0 | 11 | 35 | 30 | n.a. | 16 | 7 | 0 | 0 | 46 | 46 | 8 | 132 | 0 | 0 | 40 | |||||||||||||
| JH-05-08-17 | 78 | 5 | 0 | 4 | 63 | 14 | 7 | n.a. | 7 | 5 | 0 | 0 | 80 | 14 | 6 | 415 | 0 | 0 | 170 | |||||||||||||
| JH-05-08-17 (dust devil?) | 79 | 4 | 0 | 3 | 65 | 13 | 6 | n.a. | 6 | 5 | 0 | 0 | 82 | 13 | 5 | 415 | 0 | 0 | 182 | |||||||||||||
| Current Dust from Sampler at Foot of of Jabal Haroun | ||||||||||||||||||||||||||||||||
| Saleh 25-11-16 | 80 | 2 | 0 | 0 | 52 | 34 | 5 | n.a. | 5 | 4 | 0 | 0 | 86 | 10 | 4 | 415 | 0 | 0 | 184 | |||||||||||||
| Saleh 20-06-17 | 81 | 12 | 0 | 0 | 19 | 41 | 23 | n.a. | 10 | 8 | 0 | 0 | 59 | 33 | 8 | 132 | 1 | 0 | 63 | |||||||||||||
| Saleh 05-08-17 | 82 | 11 | 0 | 1 | 23 | 42 | 19 | n.a. | 8 | 6 | 0 | 0 | 65 | 28 | 7 | 132 | 1 | 0 | 85 | |||||||||||||
| Sample Name | Sample No. | CaCO3 % | Skeleton > 2 mm (%) | Coarse Sand % | Medium Sand % | Fine Sand % | Coarse Silt % | Medium Silt % | Fine Silt % | Coarse Clay % | Medium Clay % | Fine Clay % | Sand % | Silt % | Clay % | MODE 1 [µm] | MODE 2 [µm] | MODE 3 [µm] | MEAN [µm] |
|---|---|---|---|---|---|---|---|---|---|---|---|---|---|---|---|---|---|---|---|
| Terrace on Chalk in Nahal HaRo’a: Protic Colluvic Calcaric Regosol (Siltic) over Calcaric Fluvisol (Aric, Siltic) over Cambic Calcisol (Siltic) | |||||||||||||||||||
| Haroa Farm 10 C | 7 | 24 | 3 | 3 | 2 | 22 | 34 | 15 | 12 | 7 | 3 | 3 | 26 | 61 | 12 | 42 | 0 | 0 | 21 |
| Haroa Farm 28 fAh | 8 | 25 | 12 | 3 | 2 | 20 | 33 | 14 | 12 | 9 | 5 | 2 | 25 | 59 | 16 | 42 | 0 | 0 | 18 |
| Haroa Farm 40 C | 9 | 26 | 20 | 3 | 2 | 17 | 32 | 12 | 10 | 9 | 7 | 8 | 22 | 54 | 24 | 42 | 0 | 0 | 12 |
| Haroa Farm 50 C | 10 | 26 | 13 | 2 | 1 | 16 | 28 | 25 | 14 | 9 | 3 | 1 | 19 | 68 | 13 | 42 | 0 | 0 | 15 |
| Haroa Farm 65 C | 11 | 42 | 57 | 16 | 5 | 16 | 23 | 9 | 9 | 8 | 5 | 9 | 37 | 41 | 22 | 42 | 1315 | 0 | 26 |
| Haroa Farm 80 B | 12 | 29 | 3 | 1 | 2 | 15 | 30 | 11 | 14 | 11 | 5 | 10 | 18 | 55 | 27 | 42 | 4 | 0 | 10 |
| Paleosol in Loessial Apron of tributary of Nahal HaRo’a: Cambic Calcisol (Siltic) | |||||||||||||||||||
| NH-LA-10cm | 5 | 28 | 10 | 3 | 3 | 25 | 39 | 10 | 8 | 7 | 4 | 0 | 32 | 57 | 11 | 42 | 0 | 0 | 27 |
| NH-LA-30cm | 6 | 27 | 5 | 2 | 2 | 23 | 35 | 12 | 10 | 8 | 6 | 1 | 27 | 58 | 15 | 42 | 0 | 0 | 20 |
| Cistern Cleanout Spoil: Protic Calcaric Regosol (Siltic, Transportic) over Calcaric Regosol (Siltic, Transportic) over Camic Calcisol (Siltic) | |||||||||||||||||||
| HH-WW-Cistern1-Cleanout1-40 | 18 | 33 | 0 | 0 | 1 | 17 | 23 | 16 | 15 | 11 | 7 | 10 | 18 | 54 | 28 | 42 | 0 | 0 | 8 |
| HH-WW-Cistern1-Cleanout1-80 | 19 | 34 | 0 | 0 | 1 | 12 | 22 | 16 | 16 | 12 | 8 | 13 | 13 | 54 | 33 | 42 | 4 | 0 | 5 |
| HH-WW-Cistern1-Cleanout1-120 | 20 | 37 | 2 | 4 | 4 | 22 | 21 | 14 | 12 | 9 | 6 | 9 | 29 | 46 | 24 | 132 | 0 | 0 | 12 |
| HH-WW-Cistern1-Cleanout1-160 | 21 | 38 | 4 | 3 | 5 | 25 | 25 | 12 | 10 | 8 | 6 | 6 | 33 | 48 | 20 | 42 | 0 | 0 | 16 |
| Hilltop Ruin Overlooking the Western Wadi: Calcaric Leptosol (Protic, Siltic) | |||||||||||||||||||
| HH-WW R1 10 | 22 | 35 | 21 | 4 | 8 | 29 | 18 | 15 | 13 | 9 | 2 | 2 | 42 | 46 | 13 | 132 | 0 | 0 | 25 |
| HH-WW-R1 20 | 23 | 35 | 16 | 5 | 11 | 30 | 12 | 16 | 13 | 8 | 3 | 2 | 45 | 42 | 13 | 132 | 13 | 0 | 28 |
| Hilltop Ruin Overlooking the Central Wadi: Protic Calcaric Regosol (Siltic) over Cambic Calcisol (Siltic) | |||||||||||||||||||
| HH-CW-Ruin 10 | 24 | 40 | 4 | 2 | 3 | 16 | 22 | 14 | 16 | 14 | 6 | 5 | 22 | 53 | 26 | 42 | 4 | 0 | 10 |
| HH-CW-Ruin 25 | 25 | 42 | 19 | 4 | 3 | 17 | 18 | 16 | 19 | 16 | 5 | 3 | 23 | 53 | 24 | 4 | 42 | 1315 | 11 |
| HH-CW-Ruin 50 | 26 | 40 | 9 | 3 | 6 | 32 | 20 | 14 | 13 | 7 | 3 | 2 | 41 | 47 | 12 | 132 | 0 | 0 | 26 |
| HH-CW-Ruin 60 | 27 | 32 | 24 | 5 | 5 | 27 | 19 | 18 | 14 | 9 | 3 | 1 | 37 | 51 | 13 | 132 | 0 | 0 | 22 |
| HH-CW-Ruin 75 | 28 | 36 | 12 | 1 | 4 | 15 | 28 | 9 | 14 | 11 | 7 | 11 | 20 | 51 | 29 | 42 | 4 | 0 | 8 |
| HH-CW-Ruin 90 | 29 | 27 | 10 | 2 | 2 | 23 | 22 | 14 | 14 | 11 | 7 | 5 | 27 | 50 | 22 | 132 | 4 | 0 | 13 |
| Western Wadi Terrace 3: Protic Colluvic Calcaric Regosol (Siltic) | |||||||||||||||||||
| HH-WW-T3-20 | 13 | 36 | 5 | 3 | 4 | 26 | 16 | 14 | 15 | 11 | 6 | 5 | 33 | 44 | 22 | 132 | 4 | 0 | 14 |
| HH-WW-T3-40 | 14 | 43 | 9 | 5 | 6 | 28 | 26 | 12 | 10 | 7 | 4 | 3 | 39 | 48 | 14 | 132 | 0 | 0 | 25 |
| HH-WW-T3-70 | 15 | 48 | 2 | 3 | 4 | 24 | 26 | 16 | 13 | 7 | 4 | 4 | 30 | 55 | 15 | 42 | 0 | 0 | 19 |
| HH-WW-T3-90 | 16 | 43 | 1 | 0 | 1 | 17 | 30 | 21 | 16 | 7 | 3 | 3 | 19 | 68 | 14 | 42 | 0 | 0 | 15 |
| HH-WW-T3-120 | 17 | 41 | 0 | 0 | 1 | 13 | 26 | 19 | 16 | 10 | 7 | 9 | 14 | 61 | 26 | 42 | 0 | 0 | 7 |
| Negev Reference Samples | |||||||||||||||||||
| Haroa Farm - chalk outcrop | 4 | 79 | n.a. | 0 | 1 | 11 | 1 | 7 | 78 | 1 | 0 | 2 | 12 | 86 | 2 | 4 | 0 | 0 | 5 |
| HH-WW-C2-soft limestone | 2 | 93 | n.a. | 4 | 3 | 8 | 7 | 53 | 20 | 2 | 1 | 1 | 16 | 80 | 4 | 13 | 132 | 0 | 14 |
| HH-WW-C2-hard limestone | 90 | 93 | n.a. | n.a. | n.a. | n.a. | n.a. | n.a. | n.a. | n.a. | n.a. | n.a. | n.a. | n.a. | n.a. | n.a. | n.a. | n.a. | n.a. |
| HH-CW-chalk | 3 | 98 | n.a. | 5 | 9 | 11 | 1 | 0 | 38 | 35 | 0 | 2 | 25 | 39 | 36 | 4 | 132 | 0 | 8 |
| HH-CW-Tur-Paleo | 1 | 49 | 14 | 2 | 6 | 11 | 12 | 16 | 14 | 8 | 9 | 22 | 20 | 42 | 38 | 13 | 0 | 0 | 3 |
| Current Dust from Midreshet Ben Gurion, Sede Boker | |||||||||||||||||||
| Dust storm 24./25.03.03 (rain) | 30 | 35 | 0 | 0 | 0 | 2 | 39 | n.a. | 44 | 14 | 0 | 0 | 2 | 84 | 14 | 42 | 0 | 0 | 11 |
| Dust storm 11.12.10 | 31 | 38 | 0 | 0 | 1 | 23 | 38 | n.a. | 18 | 19 | 1 | 0 | 24 | 56 | 20 | 42 | 1 | 0 | 16 |
| Dust storm 12.12.10 | 32 | 38 | 0 | 0 | 0 | 22 | 41 | n.a. | 18 | 19 | 1 | 0 | 22 | 59 | 19 | 42 | 1 | 0 | 16 |
| Dust storm 29.02.12 | 33 | 34 | 0 | 0 | 0 | 30 | 46 | n.a. | 11 | 12 | 0 | 0 | 30 | 58 | 12 | 42 | 1 | 0 | 27 |
| Dust storm 18.04.12 | 34 | 30 | 0 | 0 | 1 | 25 | 48 | n.a. | 13 | 12 | 0 | 0 | 26 | 61 | 13 | 42 | 1 | 0 | 24 |
| Dust storm 20.12.12 | 35 | 33 | 0 | 0 | 0 | 23 | 50 | n.a. | 14 | 13 | 0 | 0 | 23 | 64 | 13 | 42 | 1 | 0 | 18 |
| Dust storm 22.03.13 | 36 | 44 | 0 | 0 | 1 | 23 | 44 | n.a. | 16 | 16 | 0 | 0 | 24 | 60 | 16 | 42 | 1 | 0 | 17 |
| Dust storm 10/11.02.15 | 37 | 40 | 0 | 0 | 0 | 22 | 44 | n.a. | 15 | 17 | 1 | 0 | 22 | 60 | 18 | 42 | 1 | 0 | 16 |
| No. | Sample Name | Type | No. | Sample Name | Type | No. | Sample Name | Type |
|---|---|---|---|---|---|---|---|---|
| 1 | HH-CW-Tur-Paleo | Negev Reference | 31 | Dust storm 11.12.10 | Negev Dust | 61 | Jh site 33 30 | Terrace Soil |
| 2 | HH-WW-C2-soft limestone | Negev Reference | 32 | Dust storm 12.12.10 | Negev Dust | 62 | Jh site 33 50 | Terrace Soil |
| 3 | HH-CW-chalk | Negev Reference | 33 | Dust storm 29.02.12 | Negev Dust | 63 | Jh site 33 75 | Terrace Soil |
| 4 | Haroa Farm - chalk | Negev Reference | 34 | Dust storm 18.04.12 | Negev Dust | 64 | Jh site 33 100 | Terrace Soil |
| 5 | NH-LA-10cm | Negev Pleistocene | 35 | Dust storm 20.12.12 | Negev Dust | 65 | Jh site 33 130 | Terrace Soil |
| 6 | NH-LA-30cm | Negev Pleistocene | 36 | Dust storm 22.03.13 | Negev Dust | 66 | Jh site 33 150 | Terrace Soil |
| 7 | Haroa Farm 10 C | Terrace Soil | 37 | Dust storm 10/11.02.15 | Negev Dust | 67 | JF site 124/1 5 cm | Hilltop Ruin |
| 8 | Haroa Farm 28 fAh | Terrace Soil | 38 | JF site 124/1 rock | Petra Reference | 68 | JF site 124/1 15 cm | Hilltop Ruin |
| 9 | Haroa Farm 40 C | Terrace Soil | 39 | Sandplateau Stein | Petra Reference | 69 | JF site 124/1 25 cm | Hilltop Ruin |
| 10 | Haroa Farm 50 C | Terrace Soil | 40 | Baja Sandstein | Petra Reference | 70 | Umm Saysaban 5 cm | Hilltop Ruin |
| 11 | Haroa Farm 65 C | Terrace Soil | 41 | JH Abu Khushayba sandst. | Petra Reference | 71 | Umm Saysaban 10 cm | Hilltop Ruin |
| 12 | Haroa Farm 80 B | Negev Pleistocene | 42 | Disi Sandstone | Petra Reference | 72 | Jh limestone 0 | Terrace Soil |
| 13 | HH-WW-T3-20 | Terrace Soil | 43 | Um Ishrin Sandstone | Petra Reference | 73 | Jh limestone 20 | Terrace Soil |
| 14 | HH-WW-T3-40 | Terrace Soil | 44 | Jh limestone 60 outcrop | Petra Reference | 74 | Jh limestone 40 | Terrace Soil |
| 15 | HH-WW-T3-70 | Terrace Soil | 45 | Fan Umm Sayhoun | Petra Natural Sandstone Soil | 75 | Jh limestone 60 | Terrace Soil |
| 16 | HH-WW-T3-90 | Terrace Soil | 46 | Beidha Fan | Petra Natural Sandstone Soil | 76 | JH-19-12-16 | Petra Dust |
| 17 | HH-WW-T3-120 | Terrace Soil | 47 | Sandplateau 1 | Petra Natural Sandstone Soil | 77 | JH-07-01-17 | Petra Dust |
| 18 | HH-WW-Cistern1-Cleanout1-40 | Cistern Sediment | 48 | Sandplateau 2 | Petra Natural Sandstone Soil | 78 | JH-05-08-17 | Petra Dust |
| 19 | HH-WW-Cistern1-Cleanout1-80 | Cistern Sediment | 49 | Sandplateau 3 | Petra Natural Sandstone Soil | 79 | JH-05-08-17 closed box | Petra Dust |
| 20 | HH-WW-Cistern1-Cleanout1-120 | Cistern Sediment | 50 | Sandplateau 4 | Petra Natural Sandstone Soil | 80 | Saleh 25-11-16 | Petra Dust |
| 21 | HH-WW-Cistern1-Cleanout1-160 | Cistern Sediment | 51 | Jh Site 2 10cm | Petra Natural Sandstone Soil | 81 | Saleh 20-06-17 | Petra Dust |
| 22 | HH-WW R1 10 | Hilltop Ruin | 52 | Jh Site 2 20cm | Petra Natural Sandstone Soil | 82 | Saleh 05-08-17 | Petra Dust |
| 23 | HH-WW-R1 20 | Hilltop Ruin | 53 | Jh Site 2 30cm | Petra Natural Sandstone Soil | 83 | JH-01-03-17 | Petra Dust |
| 24 | HH-CW-Ruin Soil 10 | Hilltop Ruin | 54 | Jh Site 2 40cm | Petra Natural Sandstone Soil | 84 | JH-15-02-17 | Petra Dust |
| 25 | HH-CW-Ruin Soil 25 | Hilltop Ruin | 55 | Jh Site 2 50cm | Petra Natural Sandstone Soil | 85 | JF site 124/1 5 cm S&C | not modeled |
| 26 | HH-CW-Ruin Soil 50 | Hilltop Ruin | 56 | Jh Site 2 60cm | Petra Natural Sandstone Soil | 86 | Umm Saysaban 10 cm S&C | not modeled |
| 27 | HH-CW-Ruin Soil 60 | Hilltop Ruin | 57 | Jh Site 2 70cm | Petra Natural Sandstone Soil | 87 | Jh site 33 100 S&C | not modeled |
| 28 | HH-CW-Ruin Soil 75 | Negev Pleistocene | 58 | Abu Suwwan below nw 65 | Petra Pleistocene | 88 | Shakarat Msaid 1 S&C | not modeled |
| 29 | HH-CW-Ruin Soil 90 | Negev Pleistocene | 59 | Shakarat Msaid 1 | Petra Pleistocene | 89 | Jh limestone 60 S&C | not modeled |
| 30 | Dust storm 24./25.03.03 (rain) | Negev Dust | 60 | Jh site 33 10 | Terrace Soil | 90 | HH-WW-hard-limestone | not modeled |
| Sample Name | Sample No. | SiO2 % | TiO2 % | Al2O3 % | Fe2O3 % | MnO % | MgO % | CaO % | Na2O % | K2O % | P2O5 % | LOI % | Sum % | Ba ppm | Cr ppm | Ga ppm | Nb ppm | Ni ppm | (Pb) ppm | Rb ppm | Sr ppm | Th ppm | V ppm | Y ppm | Zn ppm | Zr ppm | Ti/Zr |
|---|---|---|---|---|---|---|---|---|---|---|---|---|---|---|---|---|---|---|---|---|---|---|---|---|---|---|---|
| Natural Hilltop Soil on Sandstone Plateau: Protic Arenosol (Ochric) | |||||||||||||||||||||||||||
| Sandplateau 1 | 47 | 89.3 | 0.28 | 3.4 | 0.86 | 0.017 | 0.39 | 1.3 | 0.05 | 0.25 | 0.06 | 3.3 | 99.1 | 86 | 17 | 5.0 | 5.0 | 4.0 | 14 | 7.0 | 104 | 5.0 | 23 | 15 | 21 | 193 | 9 |
| Sandplateau 2 | 48 | 91.4 | 0.22 | 2.9 | 0.63 | 0.012 | 0.24 | 0.8 | 0.02 | 0.16 | 0.04 | 2.5 | 98.9 | 53 | 16 | 5.0 | 4.0 | 1.0 | 10 | 5.0 | 88 | 6.0 | 24 | 14 | 16 | 148 | 9 |
| Sandplateau 3 | 49 | 92.9 | 0.23 | 2.9 | 0.62 | 0.011 | 0.20 | 0.3 | 0.02 | 0.15 | 0.04 | 2.0 | 99.4 | 60 | 14 | 4.0 | 4.0 | 1.0 | 15 | 3.0 | 85 | 10.0 | 19 | 15 | 17 | 224 | 6 |
| Sandplateau 4 | 50 | 93.1 | 0.20 | 3.2 | 0.59 | 0.009 | 0.16 | 0.1 | 0.01 | 0.14 | 0.03 | 1.9 | 99.4 | 50 | 14 | 5.0 | 4.0 | 1.0 | 12 | 3.0 | 83 | 11.0 | 22 | 14 | 17 | 149 | 8 |
| Sandplateau Stein (rock) | 39 | 92.9 | 0.09 | 3.7 | 0.10 | 0.003 | 0.02 | 0.1 | 0.01 | 0.03 | 0.07 | 1.6 | 98.6 | 23 | 6 | 5.0 | 3.0 | 1.0 | 11 | 1.0 | 83 | 10.0 | 12 | 12 | 4 | 75 | 7 |
| Jabal Farasha Triclinium Hilltop Ruin: Calcaric Leptosol (Protic) | |||||||||||||||||||||||||||
| JF site 124/1 5 cm | 67 | 69.1 | 0.60 | 7.2 | 2.46 | 0.036 | 1.26 | 7.5 | 0.54 | 0.77 | 0.22 | 10.1 | 99.8 | 249 | 50 | 7.8 | 13.0 | 15.9 | 17 | 24.3 | 271 | 9.2 | 51 | 24 | 40 | 410 | 9 |
| JF site 124/1 5 cm S&C | 85 | 48.4 | 0.92 | 11.4 | 4.37 | 0.066 | 2.12 | 12.5 | 0.74 | 1.19 | 1.24 | 16.8 | 99.7 | 376 | 76 | 11.3 | 28.3 | 39.3 | 22 | 38.0 | 450 | 11.1 | 84 | 33 | 71 | 541 | 10 |
| JF site 124/1 15 cm | 68 | 72.4 | 0.59 | 7.6 | 2.13 | 0.030 | 1.03 | 6.2 | 0.42 | 0.66 | 0.21 | 8.6 | 99.8 | 191 | 41 | 10.7 | 11.5 | 22.3 | 22 | 21.3 | 277 | 11.4 | 41 | 23 | 35 | 394 | 9 |
| JF site 124/1 25 cm | 69 | 72.9 | 0.61 | 9.0 | 2.42 | 0.024 | 0.74 | 5.0 | 0.36 | 0.54 | 0.21 | 8.1 | 99.8 | 202 | 48 | 10.0 | 13.5 | 16.3 | 26 | 17.9 | 335 | 11.8 | 50 | 24 | 27 | 372 | 10 |
| JF site 124/1 bedrock | 38 | 54.1 | 1.00 | 21.5 | 11.84 | 0.007 | 0.13 | 1.5 | 0.24 | 0.40 | 0.29 | 8.8 | 99.7 | 243 | 113 | 27.4 | 17.0 | 27.5 | 107 | 14.0 | 786 | 18.2 | 92 | 58 | 13 | 182 | 33 |
| Umm Saysaban Hilltop Ruin: Calcaric Leptosol (Protic) | |||||||||||||||||||||||||||
| Umm Saysaban 5 cm | 70 | 69.1 | 0.60 | 7.9 | 2.31 | 0.034 | 1.12 | 7.6 | 0.44 | 0.58 | 0.23 | 9.9 | 99.8 | 193 | 50 | 13.6 | 13.3 | 23.6 | 22 | 20.4 | 305 | 10.2 | 50 | 23 | 41 | 411 | 9 |
| Umm Saysaban 10 cm | 71 | 69.5 | 0.61 | 8.2 | 2.11 | 0.028 | 0.96 | 7.5 | 0.58 | 0.50 | 0.22 | 9.6 | 99.8 | 183 | 41 | 9.2 | 13.8 | 12.5 | 24 | 17.3 | 325 | 9.8 | 47 | 24 | 35 | 422 | 9 |
| Umm Saysaban 10 cm S&c | 86 | 44.9 | 0.88 | 13.9 | 3.25 | 0.052 | 1.96 | 13.9 | 0.59 | 0.94 | 1.13 | 18.2 | 99.8 | 304 | 75 | 16.3 | 26.8 | 24.5 | 23 | 32.1 | 493 | 13.3 | 73 | 34 | 65 | 503 | 11 |
| Buried Early Holocene Paleosols: Cambic Calcisol (Hypocalcic) (below Shkarat Msaied Ruins); Cambisol (Protocalcic) (below Abu Suwwan Ruins) | |||||||||||||||||||||||||||
| Shakarat Msaid 1 | 59 | 72.1 | 0.45 | 4.5 | 2.03 | 0.034 | 1.24 | 8.6 | 0.54 | 0.74 | 0.14 | 9.5 | 99.9 | 138 | 44 | 5.5 | 10.3 | 10.3 | 9 | 19.5 | 159 | 6.9 | 47 | 18 | 29 | 312 | 9 |
| Shakarat Msaid 1 S&C | 88 | 45.0 | 0.78 | 9.0 | 3.73 | 0.066 | 2.33 | 16.9 | 0.73 | 1.28 | 1.18 | 18.7 | 99.8 | 306 | 81 | 11.1 | 27.2 | 34.0 | 6 | 32.4 | 300 | 8.1 | 73 | 27 | 63 | 405 | 12 |
| Abu Suwwan below nw 65 | 58 | 71.7 | 0.34 | 3.5 | 1.49 | 0.017 | 1.10 | 10.3 | 0.32 | 0.28 | 0.17 | 10.6 | 99.8 | 127 | 29 | 5.0 | 8.4 | 10.0 | 9 | 7.8 | 483 | 7.0 | 34 | 14 | 29 | 285 | 7 |
| Monastery Garden of Jabal Haroun: Protic Arenosol (Alcalic. Ochric) | |||||||||||||||||||||||||||
| Jh Site 2 10cm | 51 | 88.7 | 0.23 | 1.8 | 1.21 | 0.015 | 0.43 | 2.6 | 0.38 | 0.25 | 0.21 | 4.0 | 99.9 | 76 | 22 | 1.0 | 6.1 | 6.6 | 8 | 7.9 | 121 | 5.1 | 26 | 12 | 26 | 263 | 5 |
| Jh Site 2 20cm | 52 | 89.7 | 0.23 | 1.8 | 1.35 | 0.015 | 0.34 | 2.2 | 0.39 | 0.21 | 0.18 | 3.5 | 99.9 | 90 | 23 | 2.4 | 6.7 | 16.1 | 5 | 7.2 | 135 | 5.0 | 26 | 13 | 22 | 315 | 4 |
| Jh Site 2 30cm | 53 | 87.7 | 0.27 | 2.3 | 1.68 | 0.020 | 0.39 | 2.7 | 0.40 | 0.27 | 0.21 | 3.9 | 99.9 | 101 | 26 | 4.8 | 8.3 | 11.4 | 10 | 9.0 | 172 | 5.5 | 30 | 17 | 35 | 391 | 4 |
| Jh Site 2 40cm | 54 | 87.8 | 0.30 | 2.4 | 1.42 | 0.018 | 0.39 | 2.5 | 0.37 | 0.28 | 0.16 | 4.3 | 99.9 | 92 | 27 | 4.8 | 8.0 | 9.3 | 7 | 9.6 | 146 | 6.6 | 28 | 16 | 26 | 431 | 4 |
| Jh Site 2 50cm | 55 | 87.3 | 0.30 | 2.4 | 1.73 | 0.020 | 0.41 | 2.8 | 0.36 | 0.30 | 0.17 | 4.1 | 99.8 | 124 | 29 | 6.2 | 9.6 | 19.5 | 8 | 10.1 | 160 | 8.9 | 32 | 19 | 26 | 475 | 4 |
| Jh Site 2 60cm | 56 | 88.6 | 0.30 | 2.3 | 1.62 | 0.019 | 0.37 | 2.2 | 0.38 | 0.28 | 0.12 | 3.7 | 99.9 | 102 | 29 | 5.8 | 7.7 | 15.9 | 9 | 9.6 | 135 | 6.3 | 30 | 15 | 25 | 431 | 4 |
| Jh Site 2 70cm | 57 | 84.8 | 0.37 | 3.0 | 2.33 | 0.031 | 0.51 | 3.1 | 0.56 | 0.39 | 0.11 | 4.7 | 99.8 | 150 | 39 | 7.2 | 9.0 | 25.3 | 11 | 12.6 | 182 | 7.4 | 41 | 21 | 33 | 491 | 5 |
| Terrace on Dolomitic Limestone (Jh site 60): Protic Colluvic Calcaric Regosol | |||||||||||||||||||||||||||
| Jh limestone 0 | 72 | 33.8 | 0.37 | 4.1 | 1.94 | 0.033 | 5.18 | 25.3 | 0.34 | 0.66 | 0.28 | 27.9 | 99.9 | 210 | 49 | 5.6 | 8.8 | 8.0 | 5 | 17.4 | 344 | 3.9 | 49 | 14 | 41 | 248 | 9 |
| Jh limestone 20 | 73 | 33.4 | 0.41 | 4.8 | 2.21 | 0.037 | 5.38 | 24.5 | 0.39 | 0.73 | 0.21 | 27.8 | 99.9 | 237 | 53 | 6.5 | 9.1 | 10.2 | 4 | 20.2 | 342 | 4.8 | 53 | 15 | 41 | 241 | 10 |
| Jh limestone 40 | 74 | 31.5 | 0.36 | 4.1 | 2.06 | 0.030 | 5.48 | 26.3 | 0.28 | 0.61 | 0.21 | 28.9 | 99.9 | 214 | 46 | 4.2 | 9.2 | 9.4 | 7 | 16.5 | 340 | 4.1 | 49 | 14 | 33 | 241 | 9 |
| Jh limestone 60 | 75 | 34.0 | 0.40 | 4.4 | 2.14 | 0.032 | 4.97 | 25.2 | 0.39 | 0.53 | 0.19 | 27.6 | 99.9 | 210 | 46 | 2.1 | 8.4 | 6.7 | 5 | 15.5 | 335 | 6.0 | 50 | 14 | 32 | 250 | 10 |
| Jh limestone 60 S&C | 89 | 27.0 | 0.50 | 4.8 | 2.42 | 0.038 | 5.27 | 28.5 | 0.40 | 0.66 | 0.55 | 29.7 | 99.8 | 262 | 54 | 4.2 | 15.4 | 26.7 | 6 | 18.6 | 396 | 6.4 | 51 | 18 | 38 | 279 | 11 |
| Terrace on Sandstone (Jh site 33): Protic Calcaric Arenosol (Colluvic) over Protic Colluvic Calcaric Regosol | |||||||||||||||||||||||||||
| Jh site 33 10 | 60 | 50.4 | 0.37 | 4.1 | 1.67 | 0.027 | 3.84 | 17.6 | 0.36 | 1.01 | 0.21 | 20.2 | 99.9 | 272 | 36 | 4.7 | 9.5 | 9.1 | 7 | 27.4 | 267 | 5.8 | 38 | 16 | 35 | 349 | 6 |
| Jh site 33 30 | 61 | 76.0 | 0.38 | 4.9 | 1.47 | 0.016 | 0.97 | 6.3 | 0.38 | 1.82 | 0.13 | 7.5 | 99.8 | 392 | 28 | 8.1 | 9.9 | 9.1 | 7 | 54.0 | 180 | 8.4 | 30 | 15 | 30 | 381 | 6 |
| Jh site 33 50 | 62 | 79.6 | 0.42 | 5.3 | 1.43 | 0.015 | 0.66 | 4.2 | 0.34 | 2.18 | 0.10 | 5.6 | 99.8 | 495 | 23 | 8.5 | 10.4 | 10.9 | 8 | 64.2 | 165 | 9.3 | 29 | 17 | 32 | 708 | 4 |
| Jh site 33 75 | 63 | 61.0 | 0.66 | 10.5 | 2.91 | 0.031 | 1.67 | 8.2 | 0.54 | 2.77 | 0.18 | 11.3 | 99.8 | 571 | 41 | 14.7 | 14.9 | 19.8 | 14 | 91.1 | 281 | 11.4 | 55 | 21 | 63 | 383 | 10 |
| Jh site 33 100 | 64 | 47.8 | 0.70 | 13.5 | 3.97 | 0.039 | 2.25 | 12.1 | 0.45 | 2.24 | 0.23 | 16.6 | 99.8 | 440 | 52 | 15.7 | 15.3 | 26.1 | 14 | 79.8 | 356 | 11.9 | 66 | 23 | 82 | 284 | 15 |
| Jh site 33 100 S&C | 87 | 40.5 | 0.86 | 15.3 | 4.32 | 0.045 | 2.41 | 14.7 | 0.44 | 2.17 | 0.47 | 18.6 | 99.8 | 433 | 54 | 16.7 | 20.8 | 31.1 | 16 | 81.7 | 419 | 14.7 | 56 | 27 | 94 | 295 | 18 |
| Jh site 33 130 | 65 | 49.1 | 0.56 | 9.9 | 2.98 | 0.030 | 1.88 | 15.4 | 0.43 | 1.60 | 0.19 | 17.8 | 99.8 | 426 | 40 | 12.9 | 12.5 | 16.9 | 7 | 51.8 | 342 | 10.3 | 57 | 20 | 60 | 306 | 11 |
| Jh site 33 150 | 66 | 57.8 | 0.46 | 7.2 | 2.29 | 0.023 | 1.43 | 13.6 | 0.40 | 1.46 | 0.15 | 15.0 | 99.8 | 390 | 39 | 11.5 | 11.1 | 13.2 | 9 | 46.5 | 303 | 10.8 | 44 | 21 | 44 | 403 | 7 |
| Reference Samples from Petra Region: Rocks & Current Fans | |||||||||||||||||||||||||||
| Jh limestone 60 outcrop | 44 | 3.1 | 0.03 | 0.7 | 0.29 | 0.013 | 18.35 | 31.9 | 0.01 | 0.02 | 0.07 | 45.5 | 100.0 | 61 | 16 | 2.3 | 1.2 | 0.5 | 1 | 0.5 | 236 | 2.0 | 21 | 1 | 7 | 11 | 18 |
| Beidha Fan | 46 | 71.3 | 0.33 | 2.9 | 1.61 | 0.032 | 1.06 | 11.4 | 0.52 | 0.57 | 0.32 | 9.8 | 99.9 | 196 | 48 | 8.8 | 9.3 | 28.4 | 8 | 18.5 | 196 | 6.8 | 40 | 19 | 42 | 370 | 5 |
| Fan umm Sayhoun | 45 | 88.8 | 0.14 | 1.7 | 0.57 | 0.007 | 0.34 | 4.3 | 0.63 | 0.08 | 0.23 | 3.0 | 99.9 | 82 | 38 | 5.9 | 4.9 | 36.8 | 8 | 2.8 | 78 | 2.3 | 24 | 8 | 21 | 213 | 4 |
| JH sandstone | 41 | 92.1 | 0.14 | 1.5 | 3.52 | 0.012 | 0.05 | 0.6 | 0.52 | 0.04 | 0.11 | 1.3 | 99.9 | 45 | 29 | 4.2 | 4.4 | 21.1 | 26 | 2.3 | 403 | 1.6 | 46 | 9 | 17 | 108 | 8 |
| Disi Sandstone | 42 | 92.9 | 0.13 | 2.0 | 0.14 | 0.001 | 0.20 | 1.4 | 0.37 | 0.03 | 0.07 | 2.7 | 99.9 | 39 | 13 | 3.4 | 3.3 | 7.9 | 5 | 1.7 | 237 | 5.2 | 21 | 6 | 7 | 88 | 6 |
| Um Ishrin | 43 | 93.9 | 0.10 | 0.9 | 1.15 | 0.004 | 0.18 | 1.3 | 0.33 | 0.04 | 0.10 | 1.9 | 99.9 | 58 | 12 | 1.7 | 3.3 | 9.8 | 13 | 1.7 | 306 | 3.7 | 16 | 7 | 8 | 102 | 9 |
| Ba’ja Sandstin | 40 | 77.4 | 0.67 | 12.8 | 0.21 | 0.013 | 0.05 | 1.1 | 0.01 | 0.16 | 0.12 | 5.5 | 98.1 | 67 | 43 | 16.0 | 13.0 | 1.0 | 23 | 2.0 | 507 | 30.0 | 41 | 32 | 14 | 360 | 11 |
| Mountaintop dust Petra region | |||||||||||||||||||||||||||
| JH-19-12-16 | 76 | 91.4 | 0.39 | 1.3 | 0.61 | 0.004 | 0.24 | 1.5 | 0.52 | 0.09 | 0.10 | 3.8 | 99.9 | 94 | 21 | 2.9 | 6.3 | 16.6 | 7 | 2.8 | 110 | 5.5 | 16 | 9 | 58 | 390 | 6 |
| JH-07-01-17 | 77 | 88.2 | 0.25 | 1.7 | 1.23 | 0.010 | 0.39 | 3.2 | 0.53 | 0.18 | 0.25 | 3.9 | 99.9 | 74 | 25 | 7.8 | 6.4 | 22.3 | 13 | 5.4 | 190 | 7.2 | 26 | 10 | 47 | 264 | 6 |
| JH-15-02-17 (snow) | 84 | 72.4 | 0.48 | 3.8 | 2.14 | 0.029 | 1.16 | 8.5 | 0.40 | 0.46 | 0.46 | 10.0 | 99.8 | 185 | 49 | 5.2 | 10.2 | 13.7 | 12 | 14.6 | 313 | 6.5 | 45 | 19 | 63 | 436 | 7 |
| JH-01-03-17 (rain) | 83 | 73.8 | 0.80 | 3.5 | 1.52 | 0.022 | 0.97 | 6.5 | 0.57 | 0.42 | 0.37 | 11.3 | 99.8 | 190 | 39 | 1.9 | 9.8 | 15.6 | 14 | 14.0 | 244 | 8.5 | 41 | 18 | 269 | 474 | 10 |
| JH-05-08-17 | 78 | 89.8 | 0.25 | 1.3 | 0.92 | 0.014 | 0.36 | 2.7 | 0.46 | 0.21 | 0.17 | 3.7 | 99.9 | 83 | 22 | 3.3 | 4.4 | 10.6 | 6 | 6.0 | 116 | 4.7 | 22 | 13 | 23 | 369 | 4 |
| JH-05-08-17 closed box | 79 | 89.6 | 0.24 | 1.7 | 1.02 | 0.013 | 0.35 | 2.3 | 0.50 | 0.19 | 0.18 | 3.8 | 99.9 | 96 | 22 | 0.5 | 5.1 | 16.0 | 12 | 5.3 | 112 | 5.5 | 26 | 10 | 25 | 276 | 5 |
| Foot of mountain dust Petra region | |||||||||||||||||||||||||||
| Saleh 25-11-16 | 80 | 93.6 | 0.18 | 0.6 | 0.81 | 0.005 | 0.11 | 1.3 | 0.34 | 0.09 | 0.12 | 2.8 | 99.9 | 62 | 15 | 1.0 | 4.2 | 9.0 | 6 | 2.5 | 149 | 6.1 | 16 | 7 | 31 | 234 | 5 |
| Saleh 20-06-17 | 81 | 75.8 | 0.54 | 2.9 | 1.54 | 0.020 | 0.79 | 6.6 | 0.58 | 0.43 | 0.33 | 10.3 | 99.8 | 160 | 33 | 5.3 | 10.1 | 15.3 | 12 | 11.7 | 255 | 7.5 | 33 | 15 | 162 | 473 | 7 |
| Saleh 05-08-17 | 82 | 75.4 | 0.53 | 2.9 | 1.55 | 0.019 | 0.76 | 6.4 | 0.52 | 0.43 | 0.42 | 11.0 | 99.8 | 166 | 34 | 1.8 | 9.2 | 8.3 | 12 | 11.9 | 257 | 7.9 | 33 | 17 | 147 | 440 | 7 |
| Sample Name | Sample No. | SiO2 % | TiO2 % | Al2O3 % | Fe2O3 % | MnO % | MgO % | CaO % | Na2O % | K2O % | P2O5 % | LOI % | Sum % | Ba ppm | Cr ppm | Ga ppm | Nb ppm | Ni ppm | (Pb) ppm | Rb ppm | Sr ppm | Th ppm | V ppm | Y ppm | Zn ppm | Zr ppm | Ti/Zr |
|---|---|---|---|---|---|---|---|---|---|---|---|---|---|---|---|---|---|---|---|---|---|---|---|---|---|---|---|
| Terrace on Chalk in Nahal HaRo’a: Protic Colluvic Calcaric Regosol (Siltic) over Calcaric Fluvisol (Aric, Siltic) over Cambic Calcisol (Siltic) | |||||||||||||||||||||||||||
| Haroa Farm 10 C | 7 | 49.2 | 0.73 | 6.6 | 3.2 | 0.067 | 2.6 | 14.9 | 1.16 | 1.15 | 0.27 | 19.9 | 99.8 | 357 | 77 | 10.6 | 14 | 18.1 | 5.7 | 30 | 407 | 5.4 | 70 | 21 | 43 | 473 | 9 |
| Haroa Farm 28 fAh | 8 | 50.1 | 0.73 | 6.8 | 3.4 | 0.066 | 2.5 | 16.0 | 1.21 | 0.91 | 0.23 | 17.9 | 99.8 | 331 | 77 | 14.7 | 15 | 24.6 | 7.0 | 23 | 417 | 6.5 | 75 | 23 | 45 | 465 | 9 |
| Haroa Farm 40 C | 9 | 50.4 | 0.74 | 6.8 | 3.4 | 0.065 | 2.5 | 16.4 | 1.22 | 0.93 | 0.22 | 17.1 | 99.8 | 306 | 76 | 7.6 | 15 | 18.7 | 5.0 | 23 | 447 | 6.2 | 69 | 23 | 42 | 458 | 10 |
| Haroa Farm 50 C | 10 | 48.7 | 0.75 | 7.3 | 3.6 | 0.067 | 2.6 | 16.8 | 1.22 | 0.95 | 0.21 | 17.6 | 99.8 | 324 | 77 | 8.3 | 14 | 22.7 | 3.3 | 24 | 486 | 6.6 | 78 | 22 | 44 | 425 | 11 |
| Haroa Farm 65 C | 11 | 38.9 | 0.53 | 5.3 | 2.6 | 0.051 | 2.0 | 25.7 | 0.79 | 0.63 | 0.24 | 23.1 | 99.8 | 262 | 56 | 3.3 | 12 | 16.4 | 5.6 | 16 | 480 | 4.7 | 58 | 19 | 35 | 297 | 11 |
| Haroa Farm 80 B | 12 | 48.4 | 0.95 | 7.5 | 3.9 | 0.075 | 2.4 | 17.6 | 1.21 | 1.06 | 0.23 | 16.4 | 99.8 | 330 | 110 | 9.5 | 17 | 32.2 | 4.5 | 29 | 419 | 6.5 | 94 | 26 | 45 | 536 | 11 |
| Paleosol in Loessial Apron of tributary of Nahal HaRo’a: Cambic Calcisol (Siltic) | |||||||||||||||||||||||||||
| NH-LA-10cm | 5 | 54.3 | 0.89 | 6.2 | 3.2 | 0.062 | 2.0 | 16.1 | 0.95 | 1.19 | 0.20 | 14.6 | 99.8 | 319 | 87 | 10.1 | 15 | 17.3 | 7.2 | 29 | 352 | 8.7 | 74 | 27 | 43 | 713 | 8 |
| NH-LA-30cm | 6 | 53.8 | 0.89 | 6.6 | 3.3 | 0.064 | 2.3 | 15.9 | 0.96 | 1.23 | 0.18 | 14.6 | 99.8 | 337 | 90 | 11.1 | 16 | 21.1 | 6.4 | 30 | 342 | 8.2 | 76 | 24 | 41 | 657 | 8 |
| Cistern Cleanout Spoil: Protic Calcaric Regosol (Siltic, Transportic) over Calcaric Regosol (Siltic, Transportic) over Camic Calcisol (Siltic) | |||||||||||||||||||||||||||
| HH-WW-C.1-Cl.1-40 | 18 | 43.6 | 0.66 | 7.6 | 3.7 | 0.060 | 2.2 | 20.5 | 0.82 | 0.80 | 0.23 | 19.7 | 99.8 | 345 | 76 | 10.9 | 14 | 26.9 | 4.4 | 21 | 367 | 6.4 | 77 | 24 | 51 | 351 | 11 |
| HH-WW-C.1-Cl.1-80 | 19 | 44.0 | 0.67 | 7.7 | 3.7 | 0.063 | 2.2 | 20.3 | 0.83 | 0.82 | 0.23 | 19.4 | 99.8 | 325 | 77 | 8.7 | 13 | 27.1 | 3.8 | 22 | 354 | 5.5 | 75 | 21 | 52 | 337 | 12 |
| HH-WW-C.1-Cl.1-120 | 20 | 44.9 | 0.61 | 6.3 | 2.9 | 0.051 | 1.9 | 21.6 | 0.81 | 0.77 | 0.20 | 19.7 | 99.8 | 336 | 70 | 5.4 | 12 | 17.5 | 5.5 | 20 | 361 | 5.1 | 67 | 20 | 42 | 395 | 9 |
| HH-WW-C.1-Cl.1-160 | 21 | 44.7 | 0.59 | 6.1 | 2.7 | 0.050 | 1.9 | 22.1 | 0.76 | 0.83 | 0.20 | 19.8 | 99.8 | 300 | 65 | 5.7 | 11 | 21.3 | 6.3 | 24 | 367 | 6.5 | 61 | 20 | 38 | 374 | 10 |
| Hilltop Ruin Overlooking the Western Wadi: Calcaric Leptosol (Protic, Siltic) | |||||||||||||||||||||||||||
| HH-WW R1 10 | 22 | 41.8 | 0.63 | 6.0 | 2.6 | 0.048 | 2.2 | 22.7 | 0.64 | 0.65 | 0.21 | 22.3 | 99.8 | 297 | 63 | 5.9 | 14 | 8.9 | 4.6 | 18 | 395 | 5.3 | 62 | 20 | 41 | 432 | 9 |
| HH-WW-R1 20 | 23 | 39.8 | 0.59 | 5.8 | 2.6 | 0.045 | 2.2 | 23.8 | 0.60 | 0.52 | 0.24 | 23.6 | 99.8 | 282 | 62 | 4.2 | 11 | 7.8 | 4.3 | 13 | 418 | 6.8 | 63 | 17 | 38 | 392 | 9 |
| Hilltop Ruin Overlooking the Central Wadi: Protic Calcaric Regosol (Siltic) over Cambic Calcisol (Siltic) | |||||||||||||||||||||||||||
| HH-CW-Ruin 10 | 24 | 39.8 | 0.62 | 6.3 | 3.0 | 0.061 | 2.8 | 23.0 | 0.67 | 1.23 | 0.60 | 21.7 | 99.8 | 326 | 68 | 6.8 | 13 | 20.5 | 6.5 | 31 | 493 | 4.8 | 69 | 20 | 63 | 372 | 10 |
| HH-CW-Ruin 25 | 25 | 38.3 | 0.59 | 5.8 | 2.8 | 0.058 | 2.9 | 24.2 | 0.79 | 0.97 | 0.63 | 22.9 | 99.8 | 373 | 59 | 5.0 | 11 | 12.4 | 7.1 | 23 | 551 | 4.7 | 63 | 17 | 61 | 376 | 9 |
| HH-CW-Ruin 50 | 26 | 39.5 | 0.57 | 5.5 | 2.5 | 0.053 | 3.1 | 23.6 | 0.82 | 1.09 | 0.67 | 22.3 | 99.8 | 327 | 62 | 4.9 | 12 | 19.3 | 6.0 | 25 | 566 | 5.0 | 55 | 18 | 58 | 368 | 9 |
| HH-CW-Ruin 60 | 27 | 44.3 | 0.68 | 5.6 | 2.5 | 0.048 | 2.5 | 20.9 | 0.77 | 0.91 | 0.40 | 21.2 | 99.8 | 299 | 64 | 4.8 | 12 | 12.4 | 4.7 | 22 | 450 | 5.2 | 69 | 18 | 37 | 507 | 8 |
| HH-CW-Ruin 75 | 28 | 44.7 | 0.74 | 6.1 | 3.0 | 0.054 | 2.5 | 21.0 | 0.94 | 1.24 | 0.19 | 19.4 | 99.8 | 299 | 75 | 5.2 | 12 | 15.0 | 7.5 | 26 | 411 | 6.2 | 80 | 22 | 35 | 496 | 9 |
| HH-CW-Ruin 90 | 29 | 48.9 | 0.75 | 6.1 | 2.5 | 0.050 | 2.3 | 18.1 | 0.95 | 0.94 | 0.20 | 19.0 | 99.8 | 295 | 55 | 4.5 | 12 | 9.0 | 10.3 | 22 | 363 | 6.4 | 80 | 18 | 34 | 477 | 9 |
| Western Wadi Terrace 3: Protic Colluvic Calcaric Regosol (Siltic) | |||||||||||||||||||||||||||
| HH-WW-T3-20 | 13 | 45.1 | 0.66 | 6.7 | 3.1 | 0.056 | 1.9 | 21.4 | 0.69 | 1.01 | 0.23 | 18.9 | 99.8 | 338 | 65 | 9.8 | 13 | 17.4 | 8.0 | 30 | 359 | 8.0 | 70 | 23 | 46 | 399 | 10 |
| HH-WW-T3-40 | 14 | 42.1 | 0.59 | 5.4 | 2.5 | 0.048 | 1.8 | 24.2 | 0.67 | 0.79 | 0.19 | 21.5 | 99.8 | 312 | 66 | 6.6 | 12 | 17.8 | 5.9 | 21 | 367 | 3.9 | 58 | 17 | 38 | 403 | 9 |
| HH-WW-T3-70 | 15 | 43.2 | 0.59 | 5.9 | 2.6 | 0.051 | 2.0 | 23.6 | 0.69 | 0.94 | 0.29 | 19.9 | 99.8 | 338 | 167 | 5.7 | 12 | 98.7 | 0.8 | 24 | 358 | 3.9 | 58 | 19 | 39 | 369 | 10 |
| HH-WW-T3-90 | 16 | 40.8 | 0.56 | 5.9 | 2.7 | 0.050 | 2.2 | 23.9 | 0.65 | 0.88 | 0.23 | 22.0 | 99.8 | 300 | 56 | 6.5 | 12 | 16.1 | 3.7 | 23 | 350 | 5.1 | 61 | 18 | 40 | 314 | 11 |
| HH-WW-T3-120 | 17 | 40.6 | 0.57 | 6.7 | 3.1 | 0.048 | 2.4 | 23.1 | 0.64 | 0.91 | 0.22 | 21.7 | 99.8 | 300 | 66 | 5.8 | 13 | 19.8 | 6.9 | 25 | 349 | 6.1 | 63 | 19 | 44 | 291 | 12 |
| Negev Reference Samples | |||||||||||||||||||||||||||
| Haroa Farm - chalk | 4 | 7.8 | 0.14 | 2.7 | 1.1 | 0.004 | 0.9 | 47.7 | 0.09 | 0.02 | 0.47 | 39.0 | 99.8 | 335 | 112 | 4.9 | 4 | 39.5 | 4.8 | 0 | 560 | 3.5 | 113 | 16 | 93 | 26 | 33 |
| HH-WW-C2-soft limestone | 2 | 0.6 | 0.03 | 0.1 | 0.1 | 0.011 | 0.4 | 55.1 | 0.01 | 0.01 | 0.10 | 43.5 | 100.0 | 35 | 16 | 2.8 | 2 | 0.5 | 0.8 | 1 | 63 | 2.8 | 15 | 1 | 6 | 8 | 22 |
| HH-WW-C2-hard limestone | 90 | 0.4 | 0.03 | 0.0 | 0.1 | 0.004 | 0.5 | 55.2 | 0.01 | 0.01 | 0.06 | 43.6 | 100.0 | 42 | 15 | 4.8 | 1 | 0.5 | 0.8 | 1 | 157 | 2.6 | 21 | 1 | 6 | 13 | 12 |
| HH-CW-chalk | 3 | 1.1 | 0.03 | 0.2 | 0.2 | 0.003 | 0.6 | 54.5 | 0.01 | 0.02 | 0.08 | 43.2 | 99.9 | 135 | 15 | 3.1 | 3 | 0.5 | 1.2 | 1 | 266 | 2.9 | 14 | 1 | 5 | 15 | 14 |
| HH-CW-Tur-Paleo | 1 | 34.3 | 0.56 | 8.8 | 3.7 | 0.020 | 2.1 | 25.1 | 0.51 | 1.09 | 0.17 | 23.6 | 99.8 | 404 | 66 | 9.9 | 10 | 32.6 | 9.7 | 47 | 241 | 8.8 | 115 | 14 | 28 | 212 | 16 |
| Current Dust from Midreshet Ben Gurion, Sede Boker | |||||||||||||||||||||||||||
| dust storm 24./25.03.03 (rain) | 30 | 39.1 | 0.62 | 9.1 | 4.5 | 0.069 | 3.7 | 19.9 | 0.86 | 1.09 | 0.30 | 20.6 | 99.8 | 305 | 66 | 10.2 | 16 | 28.8 | 7.1 | 34 | 430 | 8.3 | 87 | 23 | 78 | 169 | 22 |
| dust storm 11.12.10 | 31 | 41.9 | 0.64 | 6.1 | 2.8 | 0.056 | 2.1 | 21.6 | 0.94 | 0.48 | 0.30 | 22.8 | 99.8 | 438 | 76 | 5.9 | 12 | 26.8 | 7.5 | 10 | 521 | 5.8 | 78 | 21 | 77 | 400 | 10 |
| dust storm 12.12.10 | 32 | 42.8 | 0.67 | 6.1 | 3.0 | 0.055 | 2.3 | 21.3 | 1.00 | 0.54 | 0.28 | 21.8 | 99.8 | 467 | 73 | 6.8 | 12 | 20.1 | 4.1 | 13 | 518 | 6.0 | 71 | 23 | 66 | 410 | 10 |
| dust storm 29.02.12 | 33 | 47.5 | 0.67 | 5.7 | 2.7 | 0.052 | 2.3 | 19.4 | 0.86 | 0.75 | 0.23 | 19.7 | 99.8 | 427 | 66 | 4.3 | 12 | 17.7 | 6.2 | 16 | 432 | 4.9 | 59 | 21 | 68 | 489 | 8 |
| dust storm 18.04.12 | 34 | 49.3 | 0.75 | 6.6 | 3.1 | 0.059 | 2.5 | 17.0 | 1.02 | 1.04 | 0.24 | 18.1 | 99.8 | 391 | 79 | 8.8 | 14 | 14.2 | 7.1 | 22 | 389 | 6.9 | 75 | 26 | 68 | 502 | 9 |
| dust storm 20.12.12 | 35 | 45.3 | 0.76 | 6.7 | 3.1 | 0.056 | 2.5 | 18.5 | 1.10 | 0.80 | 0.28 | 20.6 | 99.8 | 437 | 82 | 8.4 | 13 | 31.0 | 7.7 | 16 | 454 | 6.0 | 80 | 22 | 76 | 475 | 10 |
| dust storm 22.03.13 | 36 | 38.8 | 0.60 | 5.5 | 2.7 | 0.056 | 2.3 | 24.5 | 0.82 | 0.29 | 0.33 | 23.9 | 99.8 | 461 | 80 | 6.7 | 11 | 31.0 | 3.4 | 7 | 577 | 4.7 | 73 | 22 | 68 | 414 | 9 |
| dust storm 10/11.02.15 | 37 | 38.8 | 0.68 | 6.6 | 3.5 | 0.062 | 3.1 | 22.3 | 0.88 | 0.47 | 0.26 | 23.2 | 99.8 | 486 | 76 | 7.2 | 14 | 25.6 | 6.1 | 11 | 528 | 7.4 | 79 | 27 | 74 | 440 | 9 |
| Sample Name | Sample No. | Fe(o) (mg/g) | Fe(d) (mg/g) | Fe (d/t) | PARKER-Index | CaCO3 % | Sand % | Silt % | Clay % | χ (m3/kg) E-8 | χFD % |
|---|---|---|---|---|---|---|---|---|---|---|---|
| Petra region | |||||||||||
| Natural Hilltop Soil on Sandstone Plateau: Protic Arenosol (Ochric) | |||||||||||
| Sandplateau 1 | 47 | 0.1 | 2.5 | 0.41 | 7 | 2 | 80 | 12 | 8 | 20.0 | −4.3 |
| Sandplateau 2 | 48 | 0.0 | 2.0 | 0.46 | 4 | 1 | 82 | 9 | 9 | 15.0 | −6.1 |
| Sandplateau 3 | 49 | 0.0 | 2.0 | 0.46 | 3 | 0 | 82 | 9 | 9 | 10.0 | −2.0 |
| Sandplateau 4 | 50 | 0.0 | 1.7 | 0.42 | 2 | 0 | 82 | 8 | 10 | 11.0 | 3.6 |
| Sandplateau Stein (bedrock) | 39 | 0.0 | 0.1 | 0.20 | 1 | 0 | 89 | 7 | 4 | -0.2 | |
| Baja Sandstein (rock) | 40 | 0.0 | 0.2 | 0.15 | 4 | 1 | 72 | 11 | 17 | 0.0 | |
| Jabal Farasha Triclinium Hilltop Ruin: Calcaric Leptosol (Protic) | |||||||||||
| JF site 124/1 5 cm | 67 | 0.2 | 7.5 | 0.44 | 34 | 13 | 51 | 36 | 13 | 32.0 | 5.3 |
| JF site 124/1 15 cm | 68 | 0.3 | 6.7 | 0.45 | 28 | 10 | 53 | 35 | 12 | 26.0 | 6.2 |
| JF site 124/1 25 cm | 69 | 0.2 | 7.6 | 0.45 | 23 | 8 | 57 | 29 | 14 | 20.0 | 6.5 |
| JF site 124/1 bedrock | 38 | 0.2 | 52.2 | 0.63 | 10 | 2 | 60 | 18 | 22 | 7.0 | 14.4 |
| Umm Saysaban Hilltop Ruin: Calcaric Leptosol (Protic) | |||||||||||
| Umm Saysaban 5 cm | 70 | 0.2 | 5.6 | 0.34 | 31 | 12 | 51 | 35 | 14 | 28.0 | 6.6 |
| Umm Saysaban 10 cm | 71 | 0.2 | 5.2 | 0.36 | 31 | 12 | 54 | 30 | 16 | 23.0 | 7.0 |
| Buried Early Holocene Paleosols: Cambic Calcisol (Hypocalcic) (below Shkarat Msaied Ruins); Cambisol (Protocalcic) (below Abu Suwwan Ruins) | |||||||||||
| Shakarat Msaid 1 | 59 | 0.3 | 4.4 | 0.31 | 36 | 15 | 52 | 26 | 22 | 22.0 | 5.1 |
| Abu Suwwan below nw 65 | 58 | 0.1 | 4.0 | 0.39 | 34 | 18 | 62 | 23 | 15 | 82.0 | 6.3 |
| Monastery Garden of Jabal Haroun: Protic Arenosol (Alcalic, Ochric) | |||||||||||
| Jh Site 2 30cm | 53 | 0.1 | 5.0 | 0.43 | 14 | 3 | 80 | 7 | 13 | 15.4 | 18.7 |
| Terrace on Dolomitic Limestone (Jh site 60): Protic Colluvic Calcaric Regosol | |||||||||||
| Jh limestone 20 | 73 | 0.3 | 5.0 | 0.33 | 87 | 55 | 32 | 47 | 21 | 28.9 | 1.6 |
| Jh limestone 60 | 75 | 0.2 | 4.8 | 0.32 | 85 | 55 | 30 | 43 | 27 | 24.1 | 1.1 |
| Terrace on Sandstone (Jh site 33): Protic Calcaric Arenosol (Colluvic) over Protic Colluvic Calcaric Regosol | |||||||||||
| Jh site 33 10 | 51 | 0.2 | 3.9 | 0.34 | 67 | 39 | 66 | 27 | 7 | 20.6 | 1.4 |
| Jh site 33 30 | 52 | 0.1 | 4.2 | 0.41 | 38 | 11 | 73 | 15 | 12 | 7.7 | −2.6 |
| Jh site 33 50 | 53 | 0.1 | 4.0 | 0.40 | 34 | 7 | 74 | 15 | 11 | 6.3 | −4.8 |
| Jh site 33 75 | 54 | 0.1 | 6.8 | 0.33 | 54 | 15 | 32 | 41 | 27 | 16.2 | −0.1 |
| Jh site 33 100 | 55 | 0.2 | 10.2 | 0.37 | 60 | 23 | 16 | 45 | 39 | 18.4 | −13.6 |
| Jh site 33 130 | 56 | 0.2 | 7.3 | 0.35 | 62 | 28 | 31 | 36 | 33 | 18.9 | 0.9 |
| Jh site 33 150 | 57 | 0.2 | 5.9 | 0.37 | 54 | 24 | 59 | 23 | 18 | 15.5 | 0.6 |
| Negev | |||||||||||
| Paleosol in Loessial Apron of tributary of Nahal HaRo’a: Cambic Calcisol (Siltic) | |||||||||||
| NH-LA-10cm | 5 | 0.4 | 4.6 | 0.20 | 65 | 28 | 32 | 57 | 11 | 58.3 | 2.8 |
| NH-LA-30cm | 6 | 0.4 | 4.6 | 0.20 | 66 | 27 | 27 | 58 | 15 | 61.1 | 2.8 |
| Western Wadi Terrace 3: Protic Colluvic Calcaric Regosol (Siltic) | |||||||||||
| HH-WW-T3-20cm | 13 | 0.5 | 5.0 | 0.23 | 74 | 36 | 33 | 45 | 22 | 44.5 | 4.9 |
| HH-WW-T3-70cm | 15 | 0.4 | 4.6 | 0.25 | 80 | 48 | 30 | 55 | 15 | 40.5 | 5.2 |
| Hilltop Ruin Overlooking the Western Wadi: Calcaric Leptosol (Protic. Siltic) | |||||||||||
| HH-WW R1 10 | 22 | 0.2 | 2.5 | 0.14 | 75 | 35 | 42 | 45 | 13 | 43.6 | 3.7 |
| HH-WW-R1 20 | 23 | 0.2 | 2.4 | 0.13 | 76 | 35 | 45 | 42 | 13 | 43.7 | 4.5 |
| Hilltop Ruin Overlooking the Central Wadi: Protic Calcaric Regosol (Siltic) over Cambic Calcisol (Siltic) | |||||||||||
| HH-CW-Ruin 10 | 24 | 0.5 | 4.3 | 0.20 | 82 | 40 | 22 | 53 | 25 | 64.0 | 6.1 |
| HH-CW-Ruin 25 | 25 | 0.5 | 3.6 | 0.19 | 84 | 42 | 23 | 53 | 24 | 64.0 | 6.9 |
| HH-CW-Ruin 50 | 26 | 0.5 | 3.1 | 0.17 | 85 | 40 | 41 | 47 | 12 | 74.0 | 7.6 |
| HH-CW-Ruin-60 | 27 | 0.2 | 1.8 | 0.11 | 74 | 32 | 37 | 50 | 13 | 60.9 | 4.9 |
| HH-CW-Ruin-75 | 28 | 0.3 | 3.7 | 0.18 | 79 | 36 | 20 | 51 | 29 | 55.0 | 3.0 |
| HH-CW-Ruin-90 | 29 | 0.2 | 2.1 | 0.20 | 69 | 27 | 27 | 51 | 22 | 55.0 | 2.9 |
Appendix D. Detailed Calculation of Sedimentation Rates
Appendix D.1. Sedimentation Rates at the Monastery Garden on Jabal Haroun (Jh site 2)
Appendix D.2. Sedimentation Rates at the Terrace on Limestone (Jh site 60)
Appendix D.3. Sedimentation Rates at the Cistern Cleanout Spoil
Appendix D.4. Sedimentation Rates at Terrace 3
Appendix D.5. Re-Calculation of Average Annual Sedimentation Rates Applying Revised Bulk Densities
References
- Yaalon, D.H.; Dan, J. Accumulation and distribution of loess-derived deposits in the semi-desert and desert fringe areas of Israel. Z. Geomorphol. Suppl. 1974, 20, e105. [Google Scholar]
- Bruins, H.J. The Origin, Nature and Stratigraphy of Paleosols in the Loessial Deposits of the NW-Negev (Netivot, Israel). Master’s Thesis, The Hebrew University, Jerusalem, Israel, 1976. [Google Scholar]
- Bruins, H.J.; Yaalon, D.H. Stratigraphy of the Netivot section in the desert loess of the Negev (Israel). Acta Geol. Acad. Sci. Hung. 1979, 22, 161–169. [Google Scholar]
- Bruins, H.J.; Yaalon, D.H. Parallel advance of slopes in aeolian loess deposits of the northern Negev, Israel. Isr. J. Earth Sci. 1992, 41, 189–199. [Google Scholar]
- Goldberg, P. Late quaternary environmental history of the southern Levant. Geoarchaeology 1986, 1, 225–244. [Google Scholar] [CrossRef]
- Goodfriend, G.A.; Magaritz, M. Palaeosols and late Pleistocene rainfall fluctuations in the Negev Desert. Nature 1988, 332, 144. [Google Scholar] [CrossRef]
- Issar, A.S.; Bruins, H.J. Special climatological conditions in the deserts of Sinai and the Negev during the latest Pleistocene, Palaeogeogr. Palaeoclimatol. Palaeoecol. 1983, 43, 63–72. [Google Scholar] [CrossRef]
- Bowman, D.; Karnieli, A.; Issar, A.; Bruins, H.-J. Residual colluvio-aeolian aprons in the Negev highlands (Israel) as a palaeo-climatic indicator. Palaeogeogr. Palaeoclimatol. Palaeoecol. 1986, 56, 89–101. [Google Scholar] [CrossRef]
- Gerson, R.; Amit, R. Rates and modes of dust accretion and deposition in an arid region: The Negev, Israel. Geol. Soc. Spec. Publ. 1987, 35, 157–169. [Google Scholar] [CrossRef]
- Zilberman, E. The Late Pleistocene sequence of the northwestern Negev flood plains—A key to reconstructing the paleoclimate of southern Israel in the last glacial. Isr. J. Earth Sci. 1992, 41, 155–167. [Google Scholar]
- Crouvi, O.; Amit, R.; Enzel, Y.; Porat, N.; Sandler, A. Sand dunes as a major proximal dust source for late Pleistocene loess in the Negev Desert, Israel. Quat. Res. 2008, 70, 275–282. [Google Scholar] [CrossRef]
- Crouvi, O.; Amit, R.; Enzel, Y.; Gillespie, A.R.; McDonald, E.V. The significance of studying primary hilltop, aeolian loess: An example from the Negev desert, Israel. J. Geophys. Res. 2009, 114, 1–16. [Google Scholar] [CrossRef]
- Evenari, M.; Shanan, L.; Tadmor, N. The Negev. In The Challenge of A Desert; Havard University Press: Cambridge, MA, USA, 1971; ISBN 978-0674419247. [Google Scholar]
- Avni, G. The Byzantine-Islamic Transition in Palestine: An archaeological approach; Oxford University Press: Oxford, UK, 2014. [Google Scholar]
- Al-Qudah, K.; Abdelal, Q.; Hamarneh, C.; Abu-Jaber, N. Taming the torrents: The hydrological impacts of ancient terracing practices in Jordan. J. Hydrol. 2016, 542, 913–922. [Google Scholar] [CrossRef]
- Bender, F. Geology of Jordan; Gebrüder Borntraeger: Berlin, Germany, 1974; ISBN 978-3443117078. [Google Scholar]
- Cordova, C. Millenial Landscape Change in Jordan; University of Arizona Press: Tucson, USA, 2007; ISBN 978-0816525546. [Google Scholar]
- Lucke, B.; Ziadat, F.; Taimeh, A. The Soils of Jordan. In Atlas of Jordan. History, Territories and Society; Ababsa, M., Ed.; Institut Français du Proche-Orient: Beirut, Lebanon, 2013; pp. 72–76. [Google Scholar]
- Lucke, B.; Roskin, J.; Vanselow, K.; Bruins, H.; Abu-Jaber, N.; Deckers, K.; Lindauer, S.; Porat, N.; Reimer, P.; Bäumler, R.; et al. Character, rates, and environmental significance of dust accumulation in archaeological hilltop ruins in the southern Levant. Geosciences 2019, 9, 190. [Google Scholar] [CrossRef]
- Faershtein, G.; Porat, N.; Avni, Y.; Matmon, A. Aggradation–incision transition in arid environments at the end of the Pleistocene: An example from the Negev Highlands, southern Israel. Geomorphology 2016, 253, 289–304. [Google Scholar] [CrossRef]
- Avni, Y.; Porat, N.; Plakht, J.; Avni, G. Geomorphologic changes leading to natural desertification processes versus anthropogenic land conservation in an arid environment, the Negev Highlands, Israel. Geomorphology 2006, 82, 177–200. [Google Scholar] [CrossRef]
- Lucke, B. Landscape Transformations in the Context of Soil Development, Land Use, and Climate: A Comparison of Marginal Areas in Jordan, Mexico, and Germany. In Relief Boden Paläoklima 26; Gebrüder Bornträger: Stuttgart, Germany, 2017; ISBN 978-3443090265. [Google Scholar]
- Enzel, Y.; Amit, R.; Crouvi, O.; Porat, N. Abrasion-derived sediments under intensified winds at the latest Pleistocene leading edge of the advancing Sinai–Negev erg. Quat. Res. 2010, 74, 121–131. [Google Scholar] [CrossRef]
- Swet, N.; Elperin, T.; Kok, J.F.; Martin, R.L.; Yizhaq, H.; Katra, I. Can active sands generate dust particles by wind-induced processes? Earth Planet. Sci. Lett. 2019, 506, 371–380. [Google Scholar] [CrossRef]
- Roskin, J.; Katra, I.; Blumberg, D.G. Particle-size fractionation of eolian sand along the Sinai–Negev erg of Egypt and Israel. Geol. Soc. Am. Bull. 2014, 126, 47–65. [Google Scholar] [CrossRef]
- Avni, Y.; Avni, G.; Porat, N. A review of the rise and fall of ancient desert runoffagriculture in the Negev Highlands-A model for the southern Levant deserts. J. Arid Environ. 2019, 163, 127–137. [Google Scholar] [CrossRef]
- Bruins, H.; Jongmans, A. Micromorphology of ancient agricultural Terraces in the Negev Desert, Horvat Haluqim (Israel). In Proceedings of the 14th International Working Meeting on Soil Micromorphology, Lleida, Spain, 8–14 July 2012; Poch, R.M., Casamitjana, M., Francis, M.L., Eds.; Departament de Medi Ambient i Ciències del Sòl (UdL): Lleida, Spain, 2012; pp. 292–295, ISBN 978-84-615-9132-9. [Google Scholar]
- Porat, N.; Avner, U.; Holzer, A.; Shemtov, R.; Horwitz, L.K. Fourth-millennium-BC ‘leopard traps’ from the Negev Desert (Israel). Antiquity 2013, 87, 714–727. [Google Scholar] [CrossRef]
- Junge, A.; Lomax, J.; Shahack-Gross, R.; Dunseth, Z.C.; Finkelstein, I.; Fuchs, M. OSL Age Determination of archaeological stone structures using trapped aeolian sediments: A Case Study from the Negev Highlands, Israel. Geoarchaeology 2016, 31, 550–563. [Google Scholar] [CrossRef]
- Crouvi, O.; Dayan, U.; Amit, R.; Enzel, Y. An Israeli haboob: Sea breeze activating local anthropogenic dust sources in the Negev loess. Aeolian Res. 2017, 24, 39–52. [Google Scholar] [CrossRef]
- Bodenheimer, S.; Lensky, I.M.; Dayan, U. Characterization of Eastern Mediterranean dust storms by area of origin; North Africa vs. Arabian Peninsula. Atmos. Environ. 2019, 198, 158–165. [Google Scholar] [CrossRef]
- Frösén, J. Petra papyri. In The Encyclopedia of Ancient History; Bagnall, R.S., Brodersen, K., Champion, C.B., Erskine, A., Huebner, S.R., Eds.; Wiley: Hoboken, NJ, USA, 2012. [Google Scholar] [CrossRef]
- Lavento, M.; Huotari, M.; Jansson, H.; Silvonen, S.; Fiema, Z. Ancient Water Management System in the Area of Jabal Harûn, Petra. In Men of Dikes and Canals: The Archaeology of Water in the Middle East; Bienert, H., Häser, J., Eds.; Verlag Marie Leidorf: Rahden, Germany, 2004; pp. 163–172. ISBN 978-3896466433. [Google Scholar]
- Lavento, M.; Kouki, P.; Silvonen, S.; Ynnilä, H.; Huotari, M. Discussions on terrace cultivation and its relationship to the city of Petra, in southern Jordan. In Studies in the History and Archaeology of Jordan 9; Department of Antiquities: Amman, Jordan, 2007; pp. 145–156. [Google Scholar]
- Kouki, P. Archaeological evidence of land tenure in the Petra region, Jordan: Nabataean-Early Roman to Late Byzantine. J. Mediterr. Archaeol. 2009, 22, 29–56. [Google Scholar] [CrossRef]
- Kouki, P. The Hinterland of a City. Rural Settlement and Land Use in the Petra Region from the Nabatean-Roman to the Early Islamic Periods; Helsinki University Print: Helsinki, Finland, 2012; ISBN 978-952-10-8015-9. [Google Scholar]
- Kouki, P. Appendix 1. Sedimentological studies in the FJHP Survey. In Petra–the Mountain of Aaron III. The Archaeological Survey; Kouki, P., Lavento, M., Eds.; Societas Scientiarum Fennica: Helsinki, Finland, 2013; pp. 44–50. ISBN 9789516534001. [Google Scholar]
- Kouki, P.; Lavento, M. The Archaeological Survey. In Petra-the Mountain of Aaron: The Finnish Archaeological Project in Jordan; Societas Scientiarum Fennica: Helsinki, Finland, 2013; Volume 3, ISBN 978-951-653-400-1. [Google Scholar]
- Barjous, M.O. The Geology or Petra and Wadi Lahyana Area, Map Sheets No. 3050-I and 3050-IV. Bulletin 56; Hashemite Kingdom of Jordan, Natural Resources Authority, Geology Directorate, Geological Mapping Division: Amman, Jordan, 2003. [Google Scholar]
- Lucke, B.; Bäumler, R. Soils and Paleosols at Ba’ja. Neo Lithics 2007, 2, 43. [Google Scholar]
- Peel, M.C.; Finlayson, B.L.; McMahon, T.A. Updated world map of the KöppenGeiger climate classification. Hydrol. Earth Syst. Sci. Discuss. 2007, 4, 439–473. [Google Scholar] [CrossRef]
- Rosenan, N. Climate. In Atlas of Israel, 2nd ed.; Amiran, D., Elster, J., Gilead, M., Rosenan, N., Kadmon, N., Paran, U., Eds.; map sheet IV/3; Survey of Israel and Elsevier: Amsterdam, The Netherlands, 1970. [Google Scholar]
- National Atlas of Jordan. Part One: Agriculture and Climatology; Royal Geographic Centre of Jordan: Amman, Jordan, 1984. [Google Scholar]
- Bruins, H.J. Comparative chronology of climatic and human history in the southern Levant from the late Chalcolithic to the Early Arab Period. In Late Quaternary Chronology & Paleoclimates in the Eastern Mediterranean, Proceedings of the 14th International Radiocarbon Conference, Tucson, AZ, USA, 20–21 May 1991; Refereed Special Edition; Radiocarbon & the American School of Prehistoric Research, Peabody Museum, Harvard University: Cambridge, MA, USA, 1994; pp. 301–314. [Google Scholar]
- Bruins, H.J. Runoff terraces in the Negev Highlands during the Iron Age: Nomads settling down or farmers living in the desert? In On the Fringe of Society: Archaeological and Ethnoarchaeological Perspectives on Pastoral and Agricultural Societies; Van der Steen, E.J., Saidel, B.A., Eds.; British Archaeological Reports (BAR) International Series 1657; Archaeopress: Oxford, UK, 2007; pp. 37–43. ISBN 978-1407300931. [Google Scholar]
- Bruins, H.J. Ancient desert agriculture in the Negev and climate-zone boundary changes during average, wet and drought years. J. Arid Environ. 2012, 86, 28–42. [Google Scholar] [CrossRef]
- Bruins, H.J.; Van der Plicht, J. Assorting and synchronising archaeological and geological strata with radiocarbon: The Southern Levant in relation to Egypt and Thera. In The Synchronisation of Civilizations in the Eastern Mediterranean in the 2nd millennium BC–II; Bietak, M., Ed.; Austrian Academy of Sciences: Vienna, Austria, 2003; pp. 35–42. ISBN 978-3700129363. [Google Scholar]
- Bruins, H.J.; Van der Plicht, J. Desert settlement in the central Negev: First 14C indication of rainwater-harvesting agriculture in the Iron Age. In Radiocarbon and Archaeology, Proceedings of the 4th International Symposium, Oxford, UK, 9–14 April 2002; Higham, T.F.G., Bronk Ramsey, C., Owen, D.C., Eds.; Oxford University, School of Archaeology: Oxford, UK, 2004; pp. 83–98. ISBN 978-0947816650. [Google Scholar]
- Bruins, H.J.; Ore, G. Runoff from loess or bedrock? Hillslope geoarchaeology of ancient runoff farming systems at Horvat Haluqim and Har Eldad in the central Negev desert. Isr. J. Earth Sci. 2009, 57, 231–247. [Google Scholar] [CrossRef]
- Bruins, H.J.; Bithan-Guedj, H.; Svoray, T. GIS-based hydrological modelling to assess runoff yields in ancient-agricultural terraced wadi fields (central Negev desert). J. Arid Environ. 2019, 166, 91–107. [Google Scholar] [CrossRef]
- Sandler, A. A Turonian Subaerial Event in Israel: Karst, Sandstone, and Pedogenesis; GSI Bulletin 85; Geological Survey of Israel: Jerusalem, Israel, 1996. [Google Scholar]
- WRB. World Reference Base for Soil Resources 2014. Update 2015; World Soil Resources Reports 106; FAO: Rome, Italy, 2015; ISBN 978-92-5-108369-7. [Google Scholar]
- Soil Survey Staff. Keys to Soil Taxonomy, 12th ed.; United States Department of Agriculture (USDA) & Natural Resources Conservation Service (NRCS): Washington, DC, USA, 2014.
- Blott, S.J.; Pye, K. GRADISTAT: A grain size distribution and statistics package for the analysis of unconsolidated sediments. Earth Surf. Process. Landf. 2001, 26, 1237–1248. [Google Scholar] [CrossRef]
- Dietze, E.; Hartmann, K.; Diekmann, B.; IJmker, J.; Lehmkuhl, F.; Opitz, S.; Stauch, G.; Wünnemann, B.; Borchers, A. An end-member algorithm for deciphering modern detrital processes from lake sediments of Lake Donggi Cona, NE Tibetan Plateau, China. Sediment. Geol. 2012, 243, 169–180. [Google Scholar] [CrossRef]
- R Core Team, R. A Language and Environment for Statistical Computing; R Foundation for Statistical Computing: Vienna, Austria, 2013; Available online: Ftp://ftp.uvigo.es/CRAN/web/packages/dplR/vignettes/intro-dplR.pdf (accessed on 15 March 2019).
- Liaw, A.; Wiener, M. Classification and Regression by randomForest. R News 2002, 2, 18–22. [Google Scholar]
- Abu-Safat, M. Verwitterung und Hangabtragung im "Nubischen Sandstein" Südjordanien, Erlanger Geographische Arbeiten 49; Fränkische Geographische Gesellschaft: Erlangen, Germany, 1988; ISBN 3920405-65-X. [Google Scholar]
- Junge, A.; Lomax, J.; Shahack-Gross, R.; Finkelstein, I.; Fuchs, M. Chronology of an ancient water reservoir and the history of human activity in the Negev Highlands, Israel. Geoarchaeology 2018, 33, 695–707. [Google Scholar] [CrossRef]
- Lucke, B.; Birk, J.; Hunt, C.; Laparidou, S.; Keilholz, P.; Kouki, P.; Abu-Jaber, N.; Bäumler, R.; Fiedler, S.; Deckers, K.; et al. The terraces of Petra, Jordan: Environmental archives of a lost agricultural hinterland. Geoarchaeology, submitted.
- Lucke, B. Demise of the Decapolis. Past and Present Desertification in the Context of Soil Development, Land Use, and Climate; Verlag Dr. Müller: Saarbrücken, Germany, 2008; ISBN 978-3639006131. [Google Scholar]
- Haliva-Cohen, A.; Stein, M.; Goldstein, S.L.; Sandler, A.; Starinsky, A. Sources and routes of transport of fine detritus material to the late Quaternary Dead Sea basin. Quat. Sci. Rev. 2012, 50, 55–70. [Google Scholar] [CrossRef]
- Sandler, A. Clay distribution over the landscape of Israel: From the hyper-arid to the Mediterranean climate regimes. Catena 2013, 110, 119–132. [Google Scholar] [CrossRef]
- Lucke, B.; Kemnitz, H.; Bäumler, R.; Schmidt, M. Red Mediterranean Soils in Jordan: New insights in their origin, genesis, and role as environmental archives. Catena 2014, 112, 4–24. [Google Scholar] [CrossRef]
- Erel, Y.; Dayan, U.; Rabi, R.; Rudich, Y.; Stein, M. Trans boundary transport of pollutants by atmospheric mineral dust. Environ. Sci. Technol. 2006, 40, 2996–3005. [Google Scholar] [CrossRef]
- Parker, A. An index of weathering for silicate rocks. Geol. Mag. 1970, 107, 501–504. [Google Scholar] [CrossRef]
- Cornell, R.; Schwertmann, U. The Iron Oxides, 2nd ed.; Wiley VCH: Weinheim, Germany, 2003; ISBN 978-3527302741. [Google Scholar]
- Kronberg, B.I.; Nesbitt, H.W. Quantification of weathering soil chemistry and soil fertility. J. Soil Sci. 1981, 32, 453–459. [Google Scholar] [CrossRef]
- Kidron, G.J.; Zohar, M.; Starinsky, A. Spatial distribution of dust deposition within a small drainage basin: Implications for loess deposits in the Negev Desert. Sedimentology 2014, 61, 1908–1922. [Google Scholar] [CrossRef]
- Kidron, G.J. Biocrust research: A critical view on eight common hydrological-related paradigms and dubious theses. Ecohydrology 2019, 12, e2061. [Google Scholar] [CrossRef]
- Kidron, G.J.; Ying, W.; Starinsky, A.; Herzberg, M. Drought effect on biocrust resilience: High-speed winds result in crust burial and crust rupture and flaking. Sci. Total Environ. 2017, 579, 848–859. [Google Scholar] [CrossRef] [PubMed]
- Danin, A.; Ganor, E. Trapping of airborne dust by mosses in the Negev Desert, Israel. Earth Surf. Process. Landf. 1991, 16, 153–162. [Google Scholar] [CrossRef]
- McFadden, L.D.; McDonald, E.V.; Wells, S.G.; Anderson, K.; Quade, J.; Forman, S.L. The vesicular layer and carbonate collars of desert soils and pavements: Formation, age and relation to climate change. Geomorphology 1998, 24, 101–145. [Google Scholar] [CrossRef]
- Turk, J.K. Vesicular Horizon Distribution, Properties, and Pedogenic Processes in Deserts of the Western United States. Ph.D. Thesis, UC Riverside, Riverside, CA, USA, 2012. Available online: https://escholarship.org/uc/item/325854wj (accessed on 13 March 2019).
- Yaalon, D.H.; Ginzbourg, D. Sedimentary characteristics and climatic analysis of easterly dust storms in the Negev (Israel). Sedimentology 1966, 6, 315–332. [Google Scholar] [CrossRef]
- Offer, Z.Y.; Azmon, E. Chemistry and mineralogy of four dust storms in the northern Negev Desert, Israel (1988–1992). Sci. Total Environ. 1994, 143, 235–243. [Google Scholar] [CrossRef]
- Offer, Z.Y.; Goossens, D. Ten years of aeolian dust dynamics in a desert region (Negev desert, Israel): Analysis of airborne dust concentration, dust accumulation and the high-magnitude dust events. J. Arid Environ. 2001, 47, 211–249. [Google Scholar] [CrossRef]
- Ganor, E.; Foner, H.A. Mineral dust concentrations, deposition fluxes and deposition velocities in dust episodes over Israel. J. Geophys. Res. Atmos. 2001, 106, 18431–18437. [Google Scholar] [CrossRef]
- Kemnitz, H.; Lucke, B. Quartz grain surfaces—A potential microarchive for sedimentation processes and parent material identification in soils of Jordan. Catena 2019, 176, 209–226. [Google Scholar] [CrossRef]
- Kalderon-Asael, B.; Erel, Y.; Sandler, A.; Dayan, U. Mineralogical and chemical characterization of suspended atmospheric particles over the east Mediterranean based on synoptic-scale circulation patterns. Atmos. Environ. 2009, 39, 521–533. [Google Scholar] [CrossRef]
- Palchan, D.; Erel, Y.; Stein, M. Geochemical characterization of contemporary fine detritus in the Dead Sea watershed. Chem. Geol. 2018, 494, 30–42. [Google Scholar] [CrossRef]
- Singer, A.; Ganor, E.; Dultz, S.; Fischer, W. Dust deposition over the Dead Sea. J. Arid Environ. 2003, 53, 41–59. [Google Scholar] [CrossRef]
- Singer, A.; Dultz, S.; Argaman, E. Properties of the non-soluble fractions of suspended dust over the Dead Sea. Atmos. Environ. 2004, 38, 1745–1753. [Google Scholar] [CrossRef]
- Yaalon, D.; Ganor, E. East Mediterranean Trajectories of Dust-carrying Storms from the Sahara and Sinai. In Saharan Dust: Mobilization, Transport, Deposition; Morales, C., Ed.; Wiley: Chichester, UK, 1979; pp. 187–193. [Google Scholar]
- Ganor, E.; Foner, H.A. The mineralogical and chemical properties and the behaviour of aaeolian Saharan dust over Israel. In The Impact of Desert Dust Across the Mediterranean; Guerzoni, S., Chester, R., Eds.; Kluwer Academic Publishers: Dordrecht, The Netherlands, 1996; pp. 163–172. ISBN 978-0792342946. [Google Scholar]
- Kubilay, N.; Nickovic, S.; Moulin, C.; Dulac, F. An illustration of the transport and deposition of mineral dust onto the eastern Mediterranean. Atmos. Environ. 2000, 34, 1293–1303. [Google Scholar] [CrossRef]
- Kushelevsky, A.; Shani, G.; Haccoun, A. Effect of meteorologic conditions on total suspended particulate (TSP) levels and elemental concentration of aerosols in a semi-arid zone (Beer-Sheva, Israel). Tellus B Chem. Phys. Meteorol. 1983, 35, 55–64. [Google Scholar] [CrossRef]
- Ganor, E.; Foner, H.A.; Brenner, S.; Neeman, E.; Lavi, N. The chemical composition of aerosols settling in Israel following dust storms. Atmos. Environ. Part A Gen. Top. 1991, 25, 2665–2670. [Google Scholar] [CrossRef]
- Falkovich, A.H.; Ganor, E.; Levin, Z.; Formenti, P.; Rudich, Y. Chemical and mineralogical analysis of individual mineral dust particles. J. Geophys. Res. Atmos. 2001, 106, 18029–18036. [Google Scholar] [CrossRef]
- Mahowald, N.; Albani, S.; Kok, J.F.; Engelstaeder, S.; Scanza, R.; Ward, D.S.; Flanner, M.G. The size distribution of desert dust aerosols and its impact on the Earth system. Aeolian Res. 2014, 15, 53–71. [Google Scholar] [CrossRef]
- Jeong, G.Y.; Kim, J.Y.; Seo, J.; Kim, G.M.; Jin, H.C.; Chun, Y. Long-range transport of giant particles in Asian dust identified by physical, mineralogical, and meteorological analysis. Atmos. Chem. Phys. 2014, 14, 505–521. [Google Scholar] [CrossRef]
- Kok, J.F.; Ridley, D.A.; Zhou, Q.; Miller, R.L.; Zhao, C.; Heald, C.L.; Ward, D.S.; Albani, S.; Haustein, K. Smaller desert dust cooling effect estimated from analysis of dust size and abundance. Nat. Geosci. 2017, 10, 274–278. [Google Scholar] [CrossRef]
- Abed, A.M.; Al Kuisi, M.; Khair, H.A. Characterization of the Khamaseen (spring) dust in Jordan. Atmos. Environ. 2009, 43, 2868–2876. [Google Scholar] [CrossRef]
- Bonjour, J.L.; Dabard, M.P. Ti/Nb ratios of clastic terrigenous sediments used as an indicator of provenance. Chem Geol. 1991, 91, 257–267. [Google Scholar] [CrossRef]
- Fiema, Z.T.; Frösén, J. (Eds.) The Church and the Chapel. In Petra-The Mountain of Aaron: The Finnish Archaeological Project in Jordan; Societas Scientiarum Fennica: Helsinki, Finland, 2008; Volume 1, ISBN 978-951-653-364-6. [Google Scholar]
- Fiema, Z.; Frösén, J.; Holappa, M. Petra-The mountain of Aaron: The Finnish archaeological project in Jordan. The Nabataean Sanctuary and the Byzantine Monastery; Societas Scientiarum Fennica: Helsinki, Finland, 2016; Volume 2, ISBN 978-951-653-410-0. [Google Scholar]
- Shkarat Msaied Neolithic Project. Available online: https://shkaratmsaied.tors.ku.dk/radiocarbondates/ (accessed on 15 October 2019).
- Silvonen, S.; Kouki, P.; Eklund, A.; Hertell, E.; Lavento, M.; Ynnilä, H. The FJHP Survey Site Catalog. In Petra-The Mountain of Aaron: The Finnish Archaeological Project in Jordan. The Archaeological Survey; Kouki, P., Lavento, M., Eds.; Societas Scientiarum Fennica: Helsinki, Finland, 2013; Volume 3, pp. 347–409. [Google Scholar]
- Silvonen, S. Nabatean-Roman, Byzantine, and Early Islamic Pottery from the FJHP Survey. In Petra-the Mountain of Aaron: The Finnish Archaeological Project in Jordan. The Archaeological Survey; Kouki, P., Lavento, M., Eds.; Societas Scientiarum Fennica: Helsinki, Finland, 2013; Volume 3, pp. 120–148. [Google Scholar]
- Lavento, M.; Silvonen, S.; Kouki, P. Runoff Cultivation and Hydraulic Structures. In Petra-The mountain of Aaron: The Finnish Archaeological Project in Jordan. The Archaeological Survey; Kouki, P., Lavento, M., Eds.; Societas Scientiarum Fennica: Helsinki, Finland, 2013; Volume 3, pp. 213–230. [Google Scholar]
- Cohen, R. The Iron Age fortresses in the central Negev. Bull. Am. Sch. Orient. Res. 1979, 236, 61–79. [Google Scholar] [CrossRef]
- Turk, J.; Houdeshell, C.-A.; Graham, R. A Proposed Master V Horizon for the Designation of Near-Surface Horizons with Vesicular Porosity. 2016. Available online: https://www.nrcs.usda.gov/Internet/FSE_DOCUMENTS/nrcs142p2_050966.pdf (accessed on 13 March 2019).
- Müller, G.; Gastner, M. The “Karbonat-Bombe”, a simple device for the determination of the carbonate content in sediments, soils and other materials. Neues Jahrbuch für Mineralogie 1971, 10, 466–469. [Google Scholar]
- Deutsches Institut für Normung. Blatt 1–3, Physikalische Laboruntersuchungen, Bestimmung der Korngrößenzusammensetzung nach Vorbehandlung mit Natriumpyrophosphat; DIN 19683; Beuth Verlag: Berlin, Germany, 1973. [Google Scholar]
- Gerzabek, M.H. Die Bestimmung Der Bodentextur Mittels Sedigraph 5100; OEFZS Report No. 4592; Österreichisches Forschungszentrum Seibersdorf: Seibersdorf, Austria, 1991. [Google Scholar]
- Schlichting, E.; Blume, H.-P.; Stahr, K. Bodenkundliches Praktikum, 2nd ed.; Blackwell Wissenschafts-Verlag: Berlin, Germany, 1995; ISBN 978-3826330421. [Google Scholar]
- Schwertmann, U. Use of oxalate for Fe extraction from soils. Can. J. Soil Sci. 1973, 53, 244–246. [Google Scholar] [CrossRef]
- Slota, P.J.; Jull, A.T.; Linick, T.W.; Toolin, L. Preparation of small samples for 14 C accelerator targets by catalytic reduction of CO. Radiocarbon 1987, 29, 303–306. [Google Scholar] [CrossRef]
- Stuiver, M.; Polach, H.A. Discussion reporting of 14 C data. Radiocarbon 1977, 19, 355–363. [Google Scholar] [CrossRef]
- Murray, A.S.; Wintle, A.G. Luminescence dating of quartz using an improved single-aliquot regenerative-dose protocol. Radiat. Meas. 2000, 32, 57–73. [Google Scholar] [CrossRef]
- Duller, G.A.T. (Aberystwyth University, Aberystwyth, UK). Personal communication, 2008.
- Folk, R.L.; Ward, W.C. Brazos River bar [Texas]; a study in the significance of grain size parameters. J. Sediment. Res. 1957, 27, 3–26. [Google Scholar] [CrossRef]
- Reyment, R.A.; Jöreskog, K.G. Applied Factor Analysis in the Natural Sciences, 2nd ed.; Cambridge University Press: Cambridge, UK, 1997; ISBN 978-0521575560. [Google Scholar]
- EMMAgeo. End-Member Modelling of Grain-Size Data v0.9.4. Available online: https://www.rdocumentation.org/packages/EMMAgeo/versions/0.9.4 (accessed on 19 February 2019).
- Dietze, E.; Maussion, F.; Ahlborn, M.; Diekmann, B.; Hartmann, K.; Henkel, K.; Kasper, T.; Lockot, G.; Opitz, S.; Haberzettl, T. Sediment transport processes across the Tibetan Plateau inferred from robust grain-size end members in lake sediments. Clim. Past 2014, 10, 91–106. [Google Scholar] [CrossRef]
- Hartmann, K.; Wünnemann, B. Hydrological changes and Holocene climate variations in NW China, inferred from lake sediments of Juyanze palaeolake by factor analyses. Quat. Int. 2009, 194, 28–44. [Google Scholar] [CrossRef]
- Manson, V.; Imbrie, J. Kansas Geological Survey Special Distribution Publications. FORTRAN Program for Factor and Vector Analysis of Geological Data Using an IBM 7090 or 7094/1401 Computer System; Kansas Geological Survey: Lawrence, KS, USA, 1964; Volume 13. [Google Scholar]
- Klovan, J.E.; Imbrie, J. An algorithm and FORTRAN-IV program for large-scale Q-mode factor analysis and calculation of factor scores. Math. Geol. 1971, 3, 61–77. [Google Scholar] [CrossRef]
- Renner, R.M.; Glasby, G.P.; Szefer, P. Endmember analysis of heavy-metal pollution in surficial sediments from the Gulf of Gdansk and the southern Baltic Sea off Poland. Appl. Geochem. 1998, 13, 313–318. [Google Scholar] [CrossRef]
- Kaiser, H.F. The VARIMAX criterion for analytic rotation in factor analysis. Psychometrika 1958, 23, 187–200. [Google Scholar] [CrossRef]
- Sachs, L.; Hedderich, J. Angewandte Statistik. Methodensammlung mit R; Springer: Berlin/Heidelberg, Germany, 2006. [Google Scholar] [CrossRef]
- Breiman, L. Random forests. Mach. Learn. 2001, 45, 5–32. [Google Scholar] [CrossRef]
- Stuiver, M.; Reimer, P.J. Extended C-14 Data-Base and Revised Calib 3.0 C-14 Age Calibration Program. Radiocarbon 1993, 35, 215–230. [Google Scholar] [CrossRef]
- Reimer, P.J.; Bard, E.; Bayliss, A.; Beck, J.W.; Blackwell, P.G.; Ramsey, C.B.; Buck, C.E.; Cheng, H.; Edwards, R.L.; Friedrich, M.; et al. IntCal13 and Marine13 radiocarbon age calibration curves 0–50,000 years cal BP. Radiocarbon 2013, 55, 1869–1887. [Google Scholar] [CrossRef]














| Site Name | Coordinates | Sample Numbers | Description |
|---|---|---|---|
| Petra Region: Jabal Haroun | |||
| Sandplateau | N 30.41564 E 35.46117 | 5 samples (no. 47–50, 39) | Natural, currently forming hilltop soil on sandstone plateau NW of Jabal Haroun |
| Jabal Farasha triclinium (Jf site 124) | N 30.30445 E 35.40141 | 4 samples (no. 67–69, 38) | Soil covering the ruins of a triclinium on a hilltop southwest of Jabal Haroun |
| Umm Saysaban | N 30.34595 E 35.43178 | 2 samples (no. 70–71) | Soil covering the ruins of the hilltop site of Umm Saysaban north of Jabal Haroun |
| Shkarat Msaied paleosol | N 30.44372 E 35.43917 | 1 sample (no. 59) | Paleosol preserved below ruin of Neolithic hilltop site NW of Jabal Haroun |
| Abu Suwwan paleosol | N 30.33064 E 35.42297 | 1 sample (no. 58) | Paleosol preserved below ruin of Neolithic hilltop site NW of Jabal Haroun |
| Monastery garden (Jh site 2) | N 30.31665 E 35.40518 | 7 samples (no. 51–57) | Soil in remains of a walled monastery garden on sandstone plateau at Jabal Haroun |
| Terrace on limestone (Jh site 60) | N 30.31244 E 35.39476 | 4 samples (no. 72–75) | Runoff-irrigated terrace on the central part of a slope on dolomitic limestone |
| Terrace on sandstone (Jh site 33) | N 30.31665 E 35.40518 | 7 samples (no. 60–66) | Runoff-irrigated terrace on the lower part of a steep slope on sandstone |
| Reference samples | See Appendix A for coordinates | 7 samples (no. 40–46) | Various bedrock samples and geological outcrops from the Petra region |
| Current dust mountain summit | N 30.31520 E 35.40406 | 6 samples (no. 76–79, 83–84) | Samples collected on top of Jabal Haroun during dust storms from 11/2016-08/2017 |
| Current dust foot of mountain | N 30.319891 E 35.435040 | 3 samples (no. 80–82) | Samples collected at foot of Jabal Haroun during dust storms from 11/2016-08/2017 |
| Northern Negev: Horvat Haluqim | |||
| Terrace Haroa Farm | N 30.90111 E 34.84350 | 6 samples (no. 7–12) | Runoff-irrigated terrace in a tributary of Nahal HaRo’a on chalk bedrock |
| NH-LA | N 30.30140 E 34.84296 | 2 samples (no. 5–6) | Pleistocene loessial paleosol of a colluvial-aeolian apron near Nahal HaRo’a |
| HH-WW-Cistern Cleanout1 | N 30.89114 E 34.79768 | 4 samples (no. 18–21) | Ancient cleanout sediment pile next to open cistern in western wadi of Horvat Haluqim |
| HH-WW-R1 | N 30.89151 E 34.79909 | 2 samples (no. 22–23) | Soil covering a hilltop tumulus ruin near the western wadi of Horvat Haluqim |
| HH-CW-Ruin | N 30.88948 E 34.80015 | 6 samples (no. 24–29) | Soil covering a circular hilltop ruin near the central wadi of Horvat Haluqim |
| Terrace HH-WW-T3 | N 30.89069 E 34.79769 | 5 samples (no. 13–17) | Runoff-irrigated terrace in western wadi of Horvat Haluqim on hard limestone |
| Reference samples | See Appendix A for coordinates | 5 samples (no. 1–4, 90) | Turonian paleosol, and various rock outcrops at Horvat Haluqim |
| Current dust Sede Boker | N 30.85135 E 34.78099 | 8 samples (no. 30–37) | Dust samples collected at Midreshet Ben Gurion in Sede Boker from 2003–2015 |
| Sample Name | Sample No. | Horizon from … to… (cm) | Sampling Depth (cm) | Calibrated 14C Age (1-Sigma) | Cal. OSL Age | Age from Context | Munsell Dry | pH (H2O) | EC (µS/cm) | TOC % |
|---|---|---|---|---|---|---|---|---|---|---|
| Natural Hilltop Soil on Sandstone Plateau: Protic Arenosol (Ochric) | ||||||||||
| Sandplateau 1 | 47 | A (0–10) | 10 | 10 YR 6/4 l. y. brown | 8.4 | 66 | 0.28 | |||
| Sandplateau 2 | 48 | C (10–70) | 30 | 10 YR 5/6 y. brown | 8.5 | 60 | 0.16 | |||
| Sandplateau Stein | 39 | R (70+) | bedrock | 10 YR 8/1 white | 8.5 | 52 | 0.03 | |||
| Jabal Farasha Triclinium Hilltop Ruin: Calcaric Leptosol (Protic) | ||||||||||
| JF site 124/1 5 cm | 67 | V (0–10) | 5 | Nabatean pottery | 7.5YR 5/3 brown | 8.5 | 112 | 0.94 | ||
| JF site 124/1 15 cm | 68 | C (10–25) | 15 | 880–1040 CE | 7.5YR 5/4 brown | 8.6 | 86 | 0.53 | ||
| JF site 124/1 25 cm | 69 | C (10–25) | 25 | ~200 CE | 5YR 5/4 r. brown | 8.5 | 79 | 0.52 | ||
| JF site 124/1 rock | 38 | R (25+) | bedrock | 10R 5/4 weak red | 0.13 | |||||
| Umm Saysaban Hilltop Ruin: Calcaric Leptosol (Protic) | ||||||||||
| Umm Saysaban 5 cm | 70 | V (0–5) | 5 | 7.5YR 6/3 light brown | 8.5 | 106 | 0.58 | |||
| Umm Saysaban 10 cm | 71 | C (5–10) | 10 | ~2500 BCE | 10YR 7/3 v. p. brown | 8.5 | 83 | 0.38 | ||
| Buried Early Holocene Paleosols: Cambic Calcisol (Hypocalcic) (below Shkarat Msaied Ruins); Cambisol (Protocalcic) (below Abu Suwwan Ruins) | ||||||||||
| Shkarat Msaied 1(paleosol below ruin) | 59 | 3BCk (45–60+) | 55 | >8000 BCE | 7.5 YR 7/3 pink | 8.3 | 1375 | 0.27 | ||
| Abu Suwwan below nw 65 (buried paleosol) | 58 | 3BC (60–70+) | 65 | >8000 BCE | 10 YR 5/2 g. brown | 8.1 | 142 | 0.60 | ||
| Monastery Garden of Jabal Haroun: Protic Arenosol (Alcalic. Ochric) | ||||||||||
| Jh Site 2 10cm | 51 | A (0-10) | 10 | Byz-Um. pottery | 7.5YR 6/4 light brown | 8.5 | 224 | 0.27 | ||
| Jh Site 2 50cm | 55 | 2Cu (35-60) | 50 | 239-327 CE | 7.5YR 5/3 brown | 8.8 | 208 | 0.22 | ||
| Jh Site 2 60cm | 56 | 2Cu (35-60) | 60 | 150 BCE –90 CE | 5YR 5/4 r. brown | 8.5 | 113 | 0.09 | ||
| Jh Site 2 70cm | 57 | 3Cu (60-70) | 70 | Late Roman pottery | 5YR 5/3 r. brown | 8.7 | 200 | 0.16 | ||
| Terrace on Dolomitic Limestone (Jh site 60): Protic Colluvic Calcaric Regosol | ||||||||||
| Jh limestone 0 | 72 | Ap (0-10) | surface | Nabatean pottery | 10YR 7/4 v. p. brown | 8.8 | 228 | 0.70 | ||
| Jh limestone 60 | 75 | C (10-60) | 60 | 340 BCE-50 CE | 10YR 6/4 l. y. brown | 8.8 | 518 | 0.49 | ||
| Terrace on Sandstone (Jh site 33): Protic Calcaric Arenosol (Colluvic) over Protic Colluvic Calcaric Regosol | ||||||||||
| Jh site 33 10 | 60 | Ap (0-20) | 10 | Nababatean – Late Islamic pottery | 7.5YR 6/4 light brown | 8.8 | 239 | 0.26 | ||
| Jh site 33 30 | 61 | C (20-70) | 30 | 5YR 6/4 l. r. brown | 8.4 | 363 | 0.02 | |||
| Jh site 33 100 | 64 | 2C (70-140) | 100 | 7.5YR 6/4 l. brown | 8.8 | 688 | 0.08 | |||
| Jh site 33 150 | 66 | 3C (140-150) | 150 | 5YR 6/4 l. r. brown | 8.9 | 599 | 0.10 | |||
| Reference Samples from Petra Region: Rocks & Current Fans | ||||||||||
| JH limestone outcrop | 44 | rock outcrop | 7.5YR 8/4 pink | 0.85 | ||||||
| Beidha Fan | 46 | surface | 10YR 6/4 l. y. brown | 8.44 | 346 | 0.46 | ||||
| Fan Umm Sayhoun | 45 | surface | 10YR 8/4 v. p. brown | 8.98 | 136 | 0.07 | ||||
| JH sandstone (Abu Khushayba) | 41 | rock outcrop | 2.5YR 5/3 r. brown | 8.7 | 97 | 0.02 | ||||
| Sample Name | Sample No. | Horizon from … to… (cm) | Sampling Depth (cm) | Calibrated 14C Age (1-Sigma) | Cal. OSL Age | Age from Context | Munsell Dry | pH (H2O) | Conductivity (µS/cm) | TOC% |
|---|---|---|---|---|---|---|---|---|---|---|
| Terrace on Chalk in Nahal HaRo’a: Protic Colluvic Calcaric Regosol (Siltic) over Calcaric Fluvisol (Aric, Siltic) over Cambic Calcisol (Siltic) | ||||||||||
| Haroa Farm 10 C | 7 | A (0–5), C (5–15), 2C (15–28) | 10 | 10 YR 6/4 light yellowish brown | 8.1 | 4520 | 3.02 | |||
| Haroa Farm 28 fAh | 8 | 3Apb (28–30) | 28 | 10 YR 7/4 very pale brown | 7.8 | 4810 | 1.43 | |||
| Haroa Farm 40 C | 9 | 3C (30–55) | 40 | 10 YR 7/4 very pale brown | 8.1 | 4960 | 0.65 | |||
| Paleosol in Loessial Apron of tributary of Nahal HaRo’a: Cambic Calcisol (Siltic) | ||||||||||
| NH-LA-10 cm | 5 | V (0–25) | 10 | 10YR 8/6 yellow | 8.9 | 111 | 0.43 | |||
| NH-LA-30 cm | 6 | 2Bwk (25–55+) | 30 | 10YR 6/6 brownish yellow | 9.3 | 135 | 0.38 | |||
| Cistern Cleanout Spoil: Protic Calcaric Regosol (Siltic, Transportic) over Calcaric Regosol (Siltic, Transportic) over Camic Calcisol (Siltic) | ||||||||||
| HH-WW-Cistern1-Cleanout1-120 | 20 | 2Cu (80–160) | 120 | 940–1060 CE | Byzantine-Islamic pottery | 10 YR 7/4 very pale brown | 8.1 | 1109 | 0.40 | |
| HH-WW-Cistern1-Cleanout1-160 | 21 | 2Cu (80–160) | 160 | 590–730 CE | Byzantine-Islamic pottery | 10 YR 7/4 very pale brown | 8.0 | 1445 | 0.38 | |
| Hilltop Ruin Overlooking the Western Wadi: Calcaric Leptosol (Protic, Siltic) | ||||||||||
| HH-WW-R1 20 | 23 | C (5–20) | 20 | 2000–2500 BCE | 10YR 5/6 yellowish brown | 8.3 | 3890 | 1.30 | ||
| Hilltop Ruin Overlooking the Central Wadi: Protic Calcaric Regosol (Siltic) over Cambic Calcisol (Siltic) | ||||||||||
| HH-CW-Ruin 25 | 25 | V2 (15–35) | 25 | 1694–1918 CE (20 cm) | 870–1020 CE | 10YR 7/3 very pale brown | 8.4 | 2100 | 0.84 | |
| HH-CW-Ruin 50 | 26 | C (40–70) | 50 | 2570–1990 BCE | 10YR 7/3 very pale brown | 8.7 | 3450 | 0.76 | ||
| HH-CW-Ruin 90 | 29 | 2Bwk (70–100+) | 90 | 23900–20600 BCE | 10YR 7/4 very pale brown | 9.0 | 3120 | 1.10 | ||
| Western Wadi Terrace 3: Protic Colluvic Calcaric Regosol (Siltic) | ||||||||||
| HH-WW-T3-20 cm | 13 | A (0–5), C (0–60) | 20 | 10YR 7/4 Very pale Brown | 8.8 | 265 | 0.60 | |||
| HH-WW-T3-70 cm | 15 | 2C (60–120) | 70 | 320–480 CE | 10YR 7/4 Very pale Brown | 8.5 | 107 | 0.32 | ||
| HH-WW-T3-120 | 17 | 2C (60–120) | 120 | 460–240 BCE | 10YR 7/3 very pale brown | 8.0 | 127 | 0.24 | ||
| Negev reference samples | ||||||||||
| Haroa Farm chalk | 4 | chalk | outcrop | 5YR 8/2 pinkish white | ||||||
| HH-WW-C2-soft limestone | 2 | soft limestone | outcrop | 5YR 8/1 white | ||||||
| HH-CW-chalk | 3 | chalk | outcrop | 7.5YR 8/3 pink | ||||||
| Petra Region | Negev | |||
|---|---|---|---|---|
| Soil Type | Structure | Substrate | Structure | Substrate |
| Hilltop ruins | Crust and clast cover, V-C profile | Calcareous loam, occasional stones | Crust and clast cover, V-C profile | Calcareous silt loam, occasional stones |
| Runoff terraces | Compact and homogeneous, or sandy layers | Calcareous (silt) loam, or loamy sand, occasional stones | Compact and homogeneous, or banded layers | Calcareous silt loam, occasional stones |
| Cistern cleanout | n.a. | n.a. | Excavated aggregates of silt loam | Calcareous silt loam, free of stones |
| Natural reference soils | A-C profile (sandstone hilltop) | Loamy sand | V-2Bwk profile (colluvial apron) | Calcareous silt loam |
| Current dust | - | Loamy sand (dry deposition) Calcareous silt loam (wet deposition) | - | Calcareous silt loam (dry deposition) Calcareous silt (wet deposition) |
| Site | mm/year | g/m2 year−1 | Comment |
|---|---|---|---|
| Petra Region | |||
| Monastery garden (Jh site 2) | 0.29 | 264 | Steady and continuous sedimentation, apparently ongoing |
| Limestone terrace (Jh site 60) | 0.27 | 246 | Strongly scattering OSL-ages, samples may consist of mixtures of older and younger material |
| Negev | |||
| Cistern Cleanout | 1.47 | 1906 | Lower, compact part of cleanout pile that was dated by OSL |
| Terrace 3 | 0.51 | 453–525 | Possibly inhomogeneous sedimentation rates |
| Sample Name | Sample No. | CaCO3 % | Skeleton > 2 mm (%) | Coarse Sand % | Medium Sand % | Fine Sand % | Coarse Silt % | Medium Silt % | Fine Silt % | Coarse Clay % | Medium Clay % | Fine Clay % | Sand % | Silt % | Clay % | MODE 1 [µm] | MODE 2 [µm] | MODE 3 [µm] | MEAN [µm] |
|---|---|---|---|---|---|---|---|---|---|---|---|---|---|---|---|---|---|---|---|
| Natural Hilltop Soil on Sandstone Plateau: Protic Arenosol (Ochric) | |||||||||||||||||||
| Sandplateau 1 | 47 | 2 | 0 | 3 | 59 | 18 | 6 | 4 | 3 | 3 | 2 | 2 | 80 | 13 | 8 | 415 | 0 | 0 | 143 |
| Sandplateau Stein (bedrock) | 39 | 0 | 0 | 1 | 75 | 12 | 2 | 2 | 4 | 3 | 1 | 0 | 89 | 7 | 4 | 415 | 0 | 0 | 248 |
| Jabal Farasha Triclinium Hilltop Ruin: Calcaric Leptosol (Protic) | |||||||||||||||||||
| JF site 124/1 15 cm | 68 | 10 | 5 | 3 | 16 | 34 | 19 | 9 | 7 | 6 | 3 | 3 | 53 | 34 | 12 | 132 | 0 | 0 | 41 |
| JF site 124/1 bedrock | 38 | 2 | n.a. | 48 | 10 | 2 | 3 | 8 | 8 | 10 | 9 | 3 | 60 | 18 | 22 | 1315 | 1 | 13 | 89 |
| Umm Saysaban Hilltop Ruin: Calcaric Leptosol (Protic) | |||||||||||||||||||
| Umm Saysaban 10 cm | 71 | 12 | 12 | 5 | 18 | 32 | 13 | 9 | 8 | 8 | 5 | 3 | 54 | 30 | 16 | 132 | 0 | 0 | 36 |
| Buried Early Holocene Paleosols: Cambic Calcisol (Hypocalcic) (below Shkarat Msaied Ruins); Cambisol (Protocalcic) (below Abu Suwwan Ruins) | |||||||||||||||||||
| Shakarat Msaid 1 | 59 | 15 | 0 | 0 | 30 | 21 | 11 | 7 | 8 | 8 | 6 | 8 | 52 | 26 | 22 | 415 | 4 | 0 | 27 |
| Abu Suwwan below nw 65 | 58 | 18 | 2 | 1 | 39 | 22 | 7 | 8 | 8 | 7 | 5 | 3 | 62 | 23 | 15 | 415 | 4 | 0 | 48 |
| Monastery Garden of Jabal Haroun: Protic Arenosol (Alcalic. Ochric) | |||||||||||||||||||
| Jh Site 2 10cm | 51 | 4 | 2 | 2 | 63 | 19 | 3 | 2 | 2 | 2 | 3 | 4 | 83 | 7 | 9 | 415 | 0 | 0 | 201 |
| Jh Site 2 40cm | 54 | 3 | 13 | 0 | 50 | 25 | 3 | 2 | 3 | 4 | 6 | 7 | 75 | 9 | 17 | 415 | 0 | 0 | 51 |
| Jh Site 2 70cm | 57 | 4 | 22 | 2 | 52 | 20 | 5 | 2 | 2 | 4 | 5 | 8 | 74 | 9 | 17 | 415 | 0 | 0 | 53 |
| Terrace on Dolomitic Limestone (Jh site 60): Protic Colluvic Calcaric Regosol | |||||||||||||||||||
| Jh limestone 40 | 74 | 58 | 30 | 6 | 7 | 21 | 14 | 14 | 13 | 12 | 8 | 5 | 34 | 41 | 25 | 132 | 13 | 0 | 13 |
| Terrace on Sandstone (Jh site 33): Protic Calcaric Arenosol (Colluvic) over Protic Colluvic Calcaric Regosol | |||||||||||||||||||
| Jh site 33 10 | 6 | 39 | 26 | 11 | 20 | 35 | 13 | 8 | 7 | 4 | 1 | 1 | 66 | 27 | 7 | 132 | 0 | 0 | 79 |
| Jh site 33 50 | 62 | 7 | 3 | 3 | 21 | 50 | 7 | 4 | 4 | 4 | 3 | 4 | 74 | 15 | 11 | 132 | 0 | 0 | 66 |
| Jh site 33 75 | 63 | 15 | 1 | 0 | 2 | 30 | 17 | 12 | 11 | 9 | 8 | 11 | 32 | 41 | 27 | 132 | 0 | 0 | 10 |
| Jh site 33 100 | 64 | 23 | 0 | 0 | 3 | 13 | 10 | 16 | 19 | 13 | 6 | 20 | 16 | 45 | 39 | 4 | 132 | 0 | 3 |
| Jh site 33 150 | 66 | 24 | 8 | 5 | 19 | 35 | 6 | 7 | 10 | 8 | 5 | 5 | 59 | 23 | 18 | 132 | 4 | 0 | 35 |
| Reference Samples from Petra Region: Rocks & Current Fans | |||||||||||||||||||
| Jh limestone outcrop | 44 | 98 | n.a. | 29 | 14 | 5 | 12 | 27 | 7 | 2 | 1 | 2 | 48 | 46 | 6 | 1315 | 13 | 0 | 74 |
| Beidha Fan | 46 | 16 | 9 | 3 | 43 | 22 | 9 | 5 | 6 | 7 | 3 | 1 | 69 | 21 | 11 | 415 | 1 | 0 | 72 |
| Fan Umm Sayhoun | 45 | 5 | 7 | 16 | 66 | 9 | 0 | 1 | 1 | 2 | 1 | 3 | 91 | 3 | 6 | 415 | 0 | 0 | 338 |
| Disi Sandstone | 42 | 4 | n.a. | 11 | 67 | 12 | 1 | 2 | 2 | 2 | 1 | 1 | 91 | 6 | 4 | 415 | 0 | 0 | 281 |
| Current Dust from Sampler on Summit of Jabal Haroun | |||||||||||||||||||
| JH-07-01-17 | 77 | 6 | 0 | 10 | 62 | 11 | 7 | n.a. | 6 | 4 | 0 | 0 | 83 | 13 | 4 | 415 | 0 | 0 | 204 |
| JH-15-02-17 (snow) | 84 | 15 | 0 | 1 | 24 | 19 | 22 | n.a. | 21 | 13 | 0 | 0 | 44 | 43 | 13 | 415 | 42 | 10 | 34 |
| JH-01-03-17 (rain) | 83 | 11 | 0 | 0 | 11 | 35 | 30 | n.a. | 16 | 8 | 0 | 0 | 46 | 46 | 8 | 132 | 0 | 0 | 40 |
| Current Dust from Sampler at Foot of of Jabal Haroun | |||||||||||||||||||
| Saleh 05-08-17 | 82 | 11 | 0 | 1 | 23 | 42 | 19 | n.a. | 8 | 6 | 0 | 0 | 65 | 28 | 7 | 132 | 1 | 0 | 85 |
| No. | Explained Variance % | Composition | Present in | Possible Processes |
|---|---|---|---|---|
| 1 | 8 | Clay, fine-medium sand | Soils in both regions, reference samples, absent from dust samples | In-situ weathering, local redistribution |
| 2 | 9 | Fine silt, coarse silt | Most Negev samples; archaeological soils and dust with precipitation at Petra | Long-range dust transport |
| 3 | 25 | Medium-coarse silt | All Negev samples; archaeological soils and dust storms with precipitation near Petra | Intermediate dust transport |
| 4 | 14 | Fine sand, fine silt | Negev soils and dust storms; Petra soils and dust storms | Intermediate dust transport |
| 5 | 35 | Medium sand | Natural sandstone soils, alluvial fans, rock outcrops, and dry dust storms near Petra | Short-range transport from sandstones |
| 6 | 9 | Medium-coarse sand, medium silt | Rock outcrops, some soils, alluvial fans, and dry dust storms near Petra; paleosols and some archaeological soils in the Negev | Rock weathering, fluvial processes, and strong wind (e.g., dust devils) |
| Sample Name | Sample No. | CaCO3 % | Skeleton > 2 mm (%) | Coarse Sand % | Medium Sand % | Fine Sand % | Coarse Silt % | Medium Silt % | Fine Silt % | Coarse Clay % | Medium Clay % | Fine Clay % | Sand % | Silt % | Clay % | MODE 1 [µm] | MODE 2 [µm] | MODE 3 [µm] | MEAN [µm] |
|---|---|---|---|---|---|---|---|---|---|---|---|---|---|---|---|---|---|---|---|
| Terrace on Chalk in Nahal HaRo’a: Protic Colluvic Calcaric Regosol (Siltic) over Calcaric Fluvisol (Aric, Siltic) over Cambic Calcisol (Siltic) | |||||||||||||||||||
| Haroa Farm 10 C | 7 | 24 | 3 | 3 | 2 | 22 | 34 | 15 | 12 | 7 | 3 | 3 | 26 | 61 | 12 | 42 | 0 | 0 | 21 |
| Haroa Farm 28 fAh | 8 | 25 | 12 | 3 | 2 | 20 | 33 | 14 | 12 | 9 | 5 | 2 | 25 | 59 | 16 | 42 | 0 | 0 | 18 |
| Haroa Farm 50 C | 10 | 26 | 13 | 2 | 1 | 16 | 28 | 25 | 14 | 9 | 3 | 1 | 19 | 68 | 13 | 42 | 0 | 0 | 15 |
| Haroa Farm 65 C | 11 | 42 | 57 | 16 | 5 | 16 | 23 | 9 | 9 | 8 | 5 | 9 | 37 | 41 | 22 | 42 | 1315 | 0 | 26 |
| Haroa Farm 80 B | 12 | 29 | 3 | 1 | 2 | 15 | 30 | 11 | 14 | 11 | 5 | 10 | 18 | 55 | 27 | 42 | 4 | 0 | 10 |
| Paleosol in Loessial Apron of tributary of Nahal HaRo’a: Cambic Calcisol (Siltic) | |||||||||||||||||||
| NH-LA-30cm | 6 | 27 | 5 | 2 | 2 | 23 | 35 | 12 | 10 | 8 | 6 | 1 | 27 | 58 | 15 | 42 | 0 | 0 | 20 |
| Cistern Cleanout Spoil: Protic Calcaric Regosol (Siltic, Transportic) over Calcaric Regosol (Siltic, Transportic) over Camic Calcisol (Siltic) | |||||||||||||||||||
| HH-WW-Cistern1-Cleanout1-80 | 19 | 34 | 0 | 0 | 1 | 12 | 22 | 16 | 16 | 12 | 8 | 13 | 13 | 54 | 33 | 42 | 4 | 0 | 5 |
| HH-WW-Cistern1-Cleanout1-160 | 21 | 38 | 4 | 3 | 5 | 25 | 25 | 12 | 10 | 8 | 6 | 6 | 33 | 48 | 20 | 42 | 0 | 0 | 16 |
| Hilltop Ruin Overlooking the Western Wadi: Calcaric Leptosol (Protic, Siltic) | |||||||||||||||||||
| HH-WW-R1 20 | 23 | 35 | 16 | 5 | 11 | 30 | 12 | 16 | 13 | 8 | 3 | 2 | 45 | 42 | 13 | 132 | 13 | 0 | 28 |
| Hilltop Ruin Overlooking the Central Wadi: Protic Calcaric Regosol (Siltic) over Cambic Calcisol (Siltic) | |||||||||||||||||||
| HH-CW-Ruin 10 | 24 | 40 | 4 | 2 | 3 | 16 | 22 | 14 | 16 | 14 | 6 | 5 | 22 | 53 | 26 | 42 | 4 | 0 | 10 |
| HH-CW-Ruin 50 | 26 | 40 | 9 | 3 | 6 | 32 | 20 | 14 | 13 | 7 | 3 | 2 | 41 | 47 | 12 | 132 | 0 | 0 | 26 |
| HH-CW-Ruin 90 | 29 | 27 | 10 | 2 | 2 | 23 | 22 | 14 | 14 | 11 | 7 | 5 | 27 | 50 | 22 | 132 | 4 | 0 | 13 |
| Western Wadi Terrace 3: Protic Colluvic Calcaric Regosol (Siltic) | |||||||||||||||||||
| HH-WW-T3-20 | 13 | 36 | 5 | 3 | 4 | 26 | 16 | 14 | 15 | 11 | 6 | 5 | 33 | 44 | 22 | 132 | 4 | 0 | 14 |
| HH-WW-T3-70 | 15 | 48 | 2 | 3 | 4 | 24 | 26 | 16 | 13 | 7 | 4 | 4 | 30 | 55 | 15 | 42 | 0 | 0 | 19 |
| HH-WW-T3-90 | 16 | 43 | 1 | 0 | 1 | 17 | 30 | 21 | 16 | 7 | 3 | 3 | 19 | 68 | 14 | 42 | 0 | 0 | 15 |
| HH-WW-T3-120 | 17 | 41 | 0 | 0 | 1 | 13 | 26 | 19 | 16 | 10 | 7 | 9 | 14 | 61 | 26 | 42 | 0 | 0 | 7 |
| Negev Reference Samples | |||||||||||||||||||
| Haroa Farm - chalk outcrop | 4 | 79 | n.a. | 0 | 1 | 11 | 1 | 7 | 78 | 1 | 0 | 2 | 12 | 86 | 2 | 4 | 0 | 0 | 5 |
| HH-WW-C2-soft limestone | 2 | 93 | n.a. | 4 | 3 | 8 | 7 | 53 | 20 | 2 | 1 | 1 | 16 | 80 | 4 | 13 | 132 | 0 | 14 |
| HH-CW-chalk | 3 | 98 | n.a. | 5 | 9 | 11 | 1 | 0 | 38 | 35 | 0 | 2 | 25 | 39 | 36 | 4 | 132 | 0 | 8 |
| Current Dust from Midreshet Ben Gurion, Sede Boker | |||||||||||||||||||
| Dust storm 24./25.03.03 (rain) | 30 | 35 | 0 | 0 | 0 | 2 | 39 | n.a. | 44 | 14 | 0 | 0 | 2 | 84 | 14 | 42 | 0 | 0 | 11 |
| Dust storm 11.12.10 | 31 | 38 | 0 | 0 | 1 | 23 | 38 | n.a. | 18 | 19 | 1 | 0 | 24 | 56 | 20 | 42 | 1 | 0 | 16 |
| Dust storm 29.02.12 | 33 | 34 | 0 | 0 | 0 | 30 | 46 | n.a. | 11 | 12 | 0 | 0 | 30 | 58 | 12 | 42 | 1 | 0 | 27 |
| Dust storm 22.03.13 | 36 | 44 | 0 | 0 | 1 | 23 | 44 | n.a. | 16 | 16 | 0 | 0 | 24 | 60 | 16 | 42 | 1 | 0 | 17 |
| Dust storm 10/11.02.15 | 37 | 40 | 0 | 0 | 0 | 22 | 44 | n.a. | 15 | 17 | 1 | 0 | 22 | 60 | 18 | 42 | 1 | 0 | 16 |
| Sample Name | Sample No. | SiO2 % | TiO2 % | Al2O3 % | Fe2O3 % | MnO % | MgO % | CaO % | Na2O % | K2O % | P2O5 % | LOI % | Sum % | Ba ppm | Cr ppm | Ga ppm | Nb ppm | Ni ppm | (Pb) ppm | Rb ppm | Sr ppm | Th ppm | V ppm | Y ppm | Zn ppm | Zr ppm | Ti/Zr |
|---|---|---|---|---|---|---|---|---|---|---|---|---|---|---|---|---|---|---|---|---|---|---|---|---|---|---|---|
| Natural Hilltop Soil on Sandstone Plateau: Protic Arenosol (Ochric) | |||||||||||||||||||||||||||
| Sandplateau 1 | 47 | 89.3 | 0.28 | 3.4 | 0.86 | 0.017 | 0.39 | 1.3 | 0.05 | 0.25 | 0.06 | 3.3 | 99.1 | 86 | 17 | 5.0 | 5.0 | 4.0 | 14 | 7.0 | 104 | 5.0 | 23 | 15 | 21 | 193 | 9 |
| Sandplateau Stein (rock) | 39 | 92.9 | 0.09 | 3.7 | 0.10 | 0.003 | 0.02 | 0.1 | 0.01 | 0.03 | 0.07 | 1.6 | 98.6 | 23 | 6 | 5.0 | 3.0 | 1.0 | 11 | 1.0 | 83 | 10.0 | 12 | 12 | 4 | 75 | 7 |
| Jabal Farasha Triclinium Hilltop Ruin: Calcaric Leptosol (Protic) | |||||||||||||||||||||||||||
| JF site 124/1 5 cm | 67 | 69.1 | 0.60 | 7.2 | 2.46 | 0.036 | 1.26 | 7.5 | 0.54 | 0.77 | 0.22 | 10.1 | 99.8 | 249 | 50 | 7.8 | 13.0 | 15.9 | 17 | 24.3 | 271 | 9.2 | 51 | 24 | 40 | 410 | 9 |
| JF site 124/1 5 cm S&C | 85 | 48.4 | 0.92 | 11.4 | 4.37 | 0.066 | 2.12 | 12.5 | 0.74 | 1.19 | 1.24 | 16.8 | 99.7 | 376 | 76 | 11.3 | 28.3 | 39.3 | 22 | 38.0 | 450 | 11.1 | 84 | 33 | 71 | 541 | 10 |
| JF site 124/1 bedrock | 38 | 54.1 | 1.00 | 21.5 | 11.84 | 0.007 | 0.13 | 1.5 | 0.24 | 0.40 | 0.29 | 8.8 | 99.7 | 243 | 113 | 27.4 | 17.0 | 27.5 | 107 | 14.0 | 786 | 18.2 | 92 | 58 | 13 | 182 | 33 |
| Umm Saysaban Hilltop Ruin: Calcaric Leptosol (Protic) | |||||||||||||||||||||||||||
| Umm Saysaban 10 cm | 71 | 69.5 | 0.61 | 8.2 | 2.11 | 0.028 | 0.96 | 7.5 | 0.58 | 0.50 | 0.22 | 9.6 | 99.8 | 183 | 41 | 9.2 | 13.8 | 12.5 | 24 | 17.3 | 325 | 9.8 | 47 | 24 | 35 | 422 | 9 |
| Umm Saysaban 10 cm S&c | 86 | 44.9 | 0.88 | 13.9 | 3.25 | 0.052 | 1.96 | 13.9 | 0.59 | 0.94 | 1.13 | 18.2 | 99.8 | 304 | 75 | 16.3 | 26.8 | 24.5 | 23 | 32.1 | 493 | 13.3 | 73 | 34 | 65 | 503 | 11 |
| Buried Early Holocene Paleosols: Cambic Calcisol (Hypocalcic) (below Shkarat Msaied Ruins) | |||||||||||||||||||||||||||
| Shakarat Msaid 1 | 59 | 72.1 | 0.45 | 4.5 | 2.03 | 0.034 | 1.24 | 8.6 | 0.54 | 0.74 | 0.14 | 9.5 | 99.9 | 138 | 44 | 5.5 | 10.3 | 10.3 | 9 | 19.5 | 159 | 6.9 | 47 | 18 | 29 | 312 | 9 |
| Shakarat Msaid 1 S & C | 88 | 45.0 | 0.78 | 9.0 | 3.73 | 0.066 | 2.33 | 16.9 | 0.73 | 1.28 | 1.18 | 18.7 | 99.8 | 306 | 81 | 11.1 | 27.2 | 34.0 | 6 | 32.4 | 300 | 8.1 | 73 | 27 | 63 | 405 | 12 |
| Monastery Garden of Jabal Haroun: Protic Arenosol (Alcalic. Ochric) | |||||||||||||||||||||||||||
| Jh Site 2 10cm | 51 | 88.7 | 0.23 | 1.8 | 1.21 | 0.015 | 0.43 | 2.6 | 0.38 | 0.25 | 0.21 | 4.0 | 99.9 | 76 | 22 | 1.0 | 6.1 | 6.6 | 8 | 7.9 | 121 | 5.1 | 26 | 12 | 26 | 263 | 5 |
| Jh Site 2 40cm | 54 | 87.8 | 0.30 | 2.4 | 1.42 | 0.018 | 0.39 | 2.5 | 0.37 | 0.28 | 0.16 | 4.3 | 99.9 | 92 | 27 | 4.8 | 8.0 | 9.3 | 7 | 9.6 | 146 | 6.6 | 28 | 16 | 26 | 431 | 4 |
| Jh Site 2 70cm | 57 | 84.8 | 0.37 | 3.0 | 2.33 | 0.031 | 0.51 | 3.1 | 0.56 | 0.39 | 0.11 | 4.7 | 99.8 | 150 | 39 | 7.2 | 9.0 | 25.3 | 11 | 12.6 | 182 | 7.4 | 41 | 21 | 33 | 491 | 5 |
| Terrace on Dolomitic Limestone (Jh site 60): Protic Colluvic Calcaric Regosol | |||||||||||||||||||||||||||
| Jh limestone 60 | 75 | 34.0 | 0.40 | 4.4 | 2.14 | 0.032 | 4.97 | 25.2 | 0.39 | 0.53 | 0.19 | 27.6 | 99.9 | 210 | 46 | 2.1 | 8.4 | 6.7 | 5 | 15.5 | 335 | 6.0 | 50 | 14 | 32 | 250 | 10 |
| Jh limestone 60 S & C | 89 | 27.0 | 0.50 | 4.8 | 2.42 | 0.038 | 5.27 | 28.5 | 0.40 | 0.66 | 0.55 | 29.7 | 99.8 | 262 | 54 | 4.2 | 15.4 | 26.7 | 6 | 18.6 | 396 | 6.4 | 51 | 18 | 38 | 279 | 11 |
| Terrace on Sandstone (Jh site 33): Protic Calcaric Arenosol (Colluvic) over Protic Colluvic Calcaric Regosol | |||||||||||||||||||||||||||
| Jh site 33 10 | 60 | 50.4 | 0.37 | 4.1 | 1.67 | 0.027 | 3.84 | 17.6 | 0.36 | 1.01 | 0.21 | 20.2 | 99.9 | 272 | 36 | 4.7 | 9.5 | 9.1 | 7 | 27.4 | 267 | 5.8 | 38 | 16 | 35 | 349 | 6 |
| Jh site 33 100 | 64 | 47.8 | 0.70 | 13.5 | 3.97 | 0.039 | 2.25 | 12.1 | 0.45 | 2.24 | 0.23 | 16.6 | 99.8 | 440 | 52 | 15.7 | 15.3 | 26.1 | 14 | 79.8 | 356 | 11.9 | 66 | 23 | 82 | 284 | 15 |
| Jh site 33 100 S & C | 87 | 40.5 | 0.86 | 15.3 | 4.32 | 0.045 | 2.41 | 14.7 | 0.44 | 2.17 | 0.47 | 18.6 | 99.8 | 433 | 54 | 16.7 | 20.8 | 31.1 | 16 | 81.7 | 419 | 14.7 | 56 | 27 | 94 | 295 | 18 |
| Reference Samples from Petra Region: Rocks & Current Fans | |||||||||||||||||||||||||||
| Jh limestone 60 outcrop | 44 | 3.1 | 0.03 | 0.7 | 0.29 | 0.013 | 18.35 | 31.9 | 0.01 | 0.02 | 0.07 | 45.5 | 100.0 | 61 | 16 | 2.3 | 1.2 | 0.5 | 1 | 0.5 | 236 | 2.0 | 21 | 1 | 7 | 11 | 18 |
| Beidha Fan | 46 | 71.3 | 0.33 | 2.9 | 1.61 | 0.032 | 1.06 | 11.4 | 0.52 | 0.57 | 0.32 | 9.8 | 99.9 | 196 | 48 | 8.8 | 9.3 | 28.4 | 8 | 18.5 | 196 | 6.8 | 40 | 19 | 42 | 370 | 5 |
| Disi Sandstone | 42 | 92.9 | 0.13 | 2.0 | 0.14 | 0.001 | 0.20 | 1.4 | 0.37 | 0.03 | 0.07 | 2.7 | 99.9 | 39 | 13 | 3.4 | 3.3 | 7.9 | 5 | 1.7 | 237 | 5.2 | 21 | 6 | 7 | 88 | 6 |
| Mountaintop dust Petra region | |||||||||||||||||||||||||||
| JH-07-01-17 | 77 | 88.2 | 0.25 | 1.7 | 1.23 | 0.010 | 0.39 | 3.2 | 0.53 | 0.18 | 0.25 | 3.9 | 99.9 | 74 | 25 | 7.8 | 6.4 | 22.3 | 13 | 5.4 | 190 | 7.2 | 26 | 10 | 47 | 264 | 6 |
| JH-15-02-17 (snow) | 84 | 72.4 | 0.48 | 3.8 | 2.14 | 0.029 | 1.16 | 8.5 | 0.40 | 0.46 | 0.46 | 10.0 | 99.8 | 185 | 49 | 5.2 | 10.2 | 13.7 | 12 | 14.6 | 313 | 6.5 | 45 | 19 | 63 | 436 | 7 |
| JH-01-03-17 (rain) | 83 | 73.8 | 0.80 | 3.5 | 1.52 | 0.022 | 0.97 | 6.5 | 0.57 | 0.42 | 0.37 | 11.3 | 99.8 | 190 | 39 | 1.9 | 9.8 | 15.6 | 14 | 14.0 | 244 | 8.5 | 41 | 18 | 269 | 474 | 10 |
| Foot of mountain dust Petra region | |||||||||||||||||||||||||||
| Saleh 25-11-16 | 80 | 93.6 | 0.18 | 0.6 | 0.81 | 0.005 | 0.11 | 1.3 | 0.34 | 0.09 | 0.12 | 2.8 | 99.9 | 62 | 15 | 1.0 | 4.2 | 9.0 | 6 | 2.5 | 149 | 6.1 | 16 | 7 | 31 | 234 | 5 |
| Sample Name | Sample No. | SiO2 % | TiO2 % | Al2O3 % | Fe2O3 % | MnO % | MgO % | CaO % | Na2O % | K2O % | P2O5 % | LOI % | Sum % | Ba ppm | Cr ppm | Ga ppm | Nb ppm | Ni ppm | (Pb) ppm | Rb ppm | Sr ppm | Th ppm | V ppm | Y ppm | Zn ppm | Zr ppm | Ti/Zr |
|---|---|---|---|---|---|---|---|---|---|---|---|---|---|---|---|---|---|---|---|---|---|---|---|---|---|---|---|
| Terrace on Chalk in Nahal HaRo’a: Protic Colluvic Calcaric Regosol (Siltic) over Calcaric Fluvisol (Aric, Siltic) over Cambic Calcisol (Siltic) | |||||||||||||||||||||||||||
| Haroa Farm 10 C | 7 | 49.2 | 0.73 | 6.6 | 3.2 | 0.067 | 2.6 | 14.9 | 1.16 | 1.15 | 0.27 | 19.9 | 99.8 | 357 | 77 | 10.6 | 14 | 18.1 | 5.7 | 30 | 407 | 5.4 | 70 | 21 | 43 | 473 | 9 |
| Haroa Farm 28 fAh | 8 | 50.1 | 0.73 | 6.8 | 3.4 | 0.066 | 2.5 | 16.0 | 1.21 | 0.91 | 0.23 | 17.9 | 99.8 | 331 | 77 | 14.7 | 15 | 24.6 | 7.0 | 23 | 417 | 6.5 | 75 | 23 | 45 | 465 | 9 |
| Haroa Farm 50 C | 10 | 48.7 | 0.75 | 7.3 | 3.6 | 0.067 | 2.6 | 16.8 | 1.22 | 0.95 | 0.21 | 17.6 | 99.8 | 324 | 77 | 8.3 | 14 | 22.7 | 3.3 | 24 | 486 | 6.6 | 78 | 22 | 44 | 425 | 11 |
| Haroa Farm 65 C | 11 | 38.9 | 0.53 | 5.3 | 2.6 | 0.051 | 2.0 | 25.7 | 0.79 | 0.63 | 0.24 | 23.1 | 99.8 | 262 | 56 | 3.3 | 12 | 16.4 | 5.6 | 16 | 480 | 4.7 | 58 | 19 | 35 | 297 | 11 |
| Haroa Farm 80 B | 12 | 48.4 | 0.95 | 7.5 | 3.9 | 0.075 | 2.4 | 17.6 | 1.21 | 1.06 | 0.23 | 16.4 | 99.8 | 330 | 110 | 9.5 | 17 | 32.2 | 4.5 | 29 | 419 | 6.5 | 94 | 26 | 45 | 536 | 11 |
| Paleosol in Loessial Apron of tributary of Nahal HaRo’a: Cambic Calcisol (Siltic) | |||||||||||||||||||||||||||
| NH-LA-30cm | 6 | 53.8 | 0.89 | 6.6 | 3.3 | 0.064 | 2.3 | 15.9 | 0.96 | 1.23 | 0.18 | 14.6 | 99.8 | 337 | 90 | 11.1 | 16 | 21.1 | 6.4 | 30 | 342 | 8.2 | 76 | 24 | 41 | 657 | 8 |
| Cistern Cleanout Spoil: Protic Calcaric Regosol (Siltic, Transportic) over Calcaric Regosol (Siltic, Transportic) over Camic Calcisol (Siltic) | |||||||||||||||||||||||||||
| HH-WW-C.1-Cl.80 | 19 | 44.0 | 0.67 | 7.7 | 3.7 | 0.063 | 2.2 | 20.3 | 0.83 | 0.82 | 0.23 | 19.4 | 99.8 | 325 | 77 | 8.7 | 13 | 27.1 | 3.8 | 22 | 354 | 5.5 | 75 | 21 | 52 | 337 | 12 |
| HH-WW-C1-Cl.-160 | 21 | 44.7 | 0.59 | 6.1 | 2.7 | 0.050 | 1.9 | 22.1 | 0.76 | 0.83 | 0.20 | 19.8 | 99.8 | 300 | 65 | 5.7 | 11 | 21.3 | 6.3 | 24 | 367 | 6.5 | 61 | 20 | 38 | 374 | 10 |
| Hilltop Ruin Overlooking the Western Wadi: Calcaric Leptosol (Protic, Siltic) | |||||||||||||||||||||||||||
| HH-WW-R1 20 | 23 | 39.8 | 0.59 | 5.8 | 2.6 | 0.045 | 2.2 | 23.8 | 0.60 | 0.52 | 0.24 | 23.6 | 99.8 | 282 | 62 | 4.2 | 11 | 7.8 | 4.3 | 13 | 418 | 6.8 | 63 | 17 | 38 | 392 | 9 |
| Hilltop Ruin Overlooking the Central Wadi: Protic Calcaric Regosol (Siltic) over Cambic Calcisol (Siltic) | |||||||||||||||||||||||||||
| HH-CW-Ruin 10 | 24 | 39.8 | 0.62 | 6.3 | 3.0 | 0.061 | 2.8 | 23.0 | 0.67 | 1.23 | 0.60 | 21.7 | 99.8 | 326 | 68 | 6.8 | 13 | 20.5 | 6.5 | 31 | 493 | 4.8 | 69 | 20 | 63 | 372 | 10 |
| HH-CW-Ruin 50 | 26 | 39.5 | 0.57 | 5.5 | 2.5 | 0.053 | 3.1 | 23.6 | 0.82 | 1.09 | 0.67 | 22.3 | 99.8 | 327 | 62 | 4.9 | 12 | 19.3 | 6.0 | 25 | 566 | 5.0 | 55 | 18 | 58 | 368 | 9 |
| HH-CW-Ruin 90 | 29 | 48.9 | 0.75 | 6.1 | 2.5 | 0.050 | 2.3 | 18.1 | 0.95 | 0.94 | 0.20 | 19.0 | 99.8 | 295 | 55 | 4.5 | 12 | 9.0 | 10.3 | 22 | 363 | 6.4 | 80 | 18 | 34 | 477 | 9 |
| Western Wadi Terrace 3: Protic Colluvic Calcaric Regosol (Siltic) | |||||||||||||||||||||||||||
| HH-WW-T3-20 | 13 | 45.1 | 0.66 | 6.7 | 3.1 | 0.056 | 1.9 | 21.4 | 0.69 | 1.01 | 0.23 | 18.9 | 99.8 | 338 | 65 | 9.8 | 13 | 17.4 | 8.0 | 30 | 359 | 8.0 | 70 | 23 | 46 | 399 | 10 |
| HH-WW-T3-70 | 15 | 43.2 | 0.59 | 5.9 | 2.6 | 0.051 | 2.0 | 23.6 | 0.69 | 0.94 | 0.29 | 19.9 | 99.8 | 338 | 167 | 5.7 | 12 | 98.7 | 0.8 | 24 | 358 | 3.9 | 58 | 19 | 39 | 369 | 10 |
| HH-WW-T3-90 | 16 | 40.8 | 0.56 | 5.9 | 2.7 | 0.050 | 2.2 | 23.9 | 0.65 | 0.88 | 0.23 | 22.0 | 99.8 | 300 | 56 | 6.5 | 12 | 16.1 | 3.7 | 23 | 350 | 5.1 | 61 | 18 | 40 | 314 | 11 |
| HH-WW-T3-120 | 17 | 40.6 | 0.57 | 6.7 | 3.1 | 0.048 | 2.4 | 23.1 | 0.64 | 0.91 | 0.22 | 21.7 | 99.8 | 300 | 66 | 5.8 | 13 | 19.8 | 6.9 | 25 | 349 | 6.1 | 63 | 19 | 44 | 291 | 12 |
| Negev Reference Samples | |||||||||||||||||||||||||||
| Haroa Farm - chalk | 4 | 7.8 | 0.14 | 2.7 | 1.1 | 0.004 | 0.9 | 47.7 | 0.09 | 0.02 | 0.47 | 39.0 | 99.8 | 335 | 112 | 4.9 | 4 | 39.5 | 4.8 | 0 | 560 | 3.5 | 113 | 16 | 93 | 26 | 33 |
| HH-WW-C2-s. limest. | 2 | 0.6 | 0.03 | 0.1 | 0.1 | 0.011 | 0.4 | 55.1 | 0.01 | 0.01 | 0.10 | 43.5 | 100.0 | 35 | 16 | 2.8 | 2 | 0.5 | 0.8 | 1 | 63 | 2.8 | 15 | 1 | 6 | 8 | 22 |
| HH-CW-chalk | 3 | 1.1 | 0.03 | 0.2 | 0.2 | 0.003 | 0.6 | 54.5 | 0.01 | 0.02 | 0.08 | 43.2 | 99.9 | 135 | 15 | 3.1 | 3 | 0.5 | 1.2 | 1 | 266 | 2.9 | 14 | 1 | 5 | 15 | 14 |
| Current Dust from Midreshet Ben Gurion, Sede Boker | |||||||||||||||||||||||||||
| dust st. 24./25.03.03 (rain) | 30 | 39.1 | 0.62 | 9.1 | 4.5 | 0.069 | 3.7 | 19.9 | 0.86 | 1.09 | 0.30 | 20.6 | 99.8 | 305 | 66 | 10.2 | 16 | 28.8 | 7.1 | 34 | 430 | 8.3 | 87 | 23 | 78 | 169 | 22 |
| dust storm 11.12.10 | 31 | 41.9 | 0.64 | 6.1 | 2.8 | 0.056 | 2.1 | 21.6 | 0.94 | 0.48 | 0.30 | 22.8 | 99.8 | 438 | 76 | 5.9 | 12 | 26.8 | 7.5 | 10 | 521 | 5.8 | 78 | 21 | 77 | 400 | 10 |
| dust storm 29.02.12 | 33 | 47.5 | 0.67 | 5.7 | 2.7 | 0.052 | 2.3 | 19.4 | 0.86 | 0.75 | 0.23 | 19.7 | 99.8 | 427 | 66 | 4.3 | 12 | 17.7 | 6.2 | 16 | 432 | 4.9 | 59 | 21 | 68 | 489 | 8 |
| dust storm 22.03.13 | 36 | 38.8 | 0.60 | 5.5 | 2.7 | 0.056 | 2.3 | 24.5 | 0.82 | 0.29 | 0.33 | 23.9 | 99.8 | 461 | 80 | 6.7 | 11 | 31.0 | 3.4 | 7 | 577 | 4.7 | 73 | 22 | 68 | 414 | 9 |
| dust storm 10/11.02.15 | 37 | 38.8 | 0.68 | 6.6 | 3.5 | 0.062 | 3.1 | 22.3 | 0.88 | 0.47 | 0.26 | 23.2 | 99.8 | 486 | 76 | 7.2 | 14 | 25.6 | 6.1 | 11 | 528 | 7.4 | 79 | 27 | 74 | 440 | 9 |
| Sample Name | Sample No. | Fe(o) (mg/g) | Fe(d) (mg/g) | Fe (d/t) | PARKER-index | CaCO3 % | Sand % | Silt % | Clay % | χ (m3/kg) E-8 | χFD % |
|---|---|---|---|---|---|---|---|---|---|---|---|
| Petra Region | |||||||||||
| Natural Hilltop Soil on Sandstone Plateau: Protic Arenosol (Ochric) | |||||||||||
| Sandplateau 1 | 47 | 0.1 | 2.5 | 0.41 | 7 | 2 | 80 | 12 | 8 | 20.0 | −4.3 |
| Sandplateau 4 | 50 | 0.0 | 1.7 | 0.42 | 2 | 0 | 82 | 8 | 10 | 11.0 | 3.6 |
| Sandplateau Stein (bedrock) | 39 | 0.0 | 0.1 | 0.20 | 1 | 0 | 89 | 7 | 4 | −0.2 | |
| Jabal Farasha Triclinium Hilltop Ruin: Calcaric Leptosol (Protic) | |||||||||||
| JF site 124/1 5 cm | 67 | 0.2 | 7.5 | 0.44 | 34 | 13 | 51 | 36 | 13 | 32.0 | 5.3 |
| JF site 124/1 bedrock | 38 | 0.2 | 52.2 | 0.63 | 10 | 2 | 60 | 18 | 22 | 7.0 | 14.4 |
| Umm Saysaban Hilltop Ruin: Calcaric Leptosol (Protic) | |||||||||||
| Umm Saysaban 5 cm | 70 | 0.2 | 5.6 | 0.34 | 31 | 12 | 51 | 35 | 14 | 28.0 | 6.6 |
| Buried Early Holocene Paleosols: Cambic Calcisol (Hypocalcic) (below Shkarat Msaied Ruins); Cambisol (Protocalcic) (below Abu Suwwan Ruins) | |||||||||||
| Shakarat Msaid 1 | 59 | 0.3 | 4.4 | 0.31 | 36 | 15 | 52 | 26 | 22 | 22.0 | 5.1 |
| Abu Suwwan below nw 65 | 58 | 0.1 | 4.0 | 0.39 | 34 | 18 | 62 | 23 | 15 | 82.0 | 6.3 |
| Monastery Garden of Jabal Haroun: Protic Arenosol (Alcalic, Ochric) | |||||||||||
| Jh Site 2 30cm | 53 | 0.1 | 5.0 | 0.43 | 14 | 3 | 80 | 7 | 13 | 15.4 | 18.7 |
| Terrace on Dolomitic Limestone (Jh site 60): Protic Colluvic Calcaric Regosol | |||||||||||
| Jh limestone 20 | 73 | 0.3 | 5.0 | 0.33 | 87 | 55 | 32 | 47 | 21 | 28.9 | 1.6 |
| Jh limestone 60 | 75 | 0.2 | 4.8 | 0.32 | 85 | 55 | 30 | 43 | 27 | 24.1 | 1.1 |
| Terrace on Sandstone (Jh site 33): Protic Calcaric Arenosol (Colluvic) over Protic Colluvic Calcaric Regosol | |||||||||||
| Jh site 33 10 | 60 | 0.2 | 3.9 | 0.34 | 67 | 39 | 66 | 27 | 7 | 20.6 | 1.4 |
| Jh site 33 30 | 61 | 0.1 | 4.2 | 0.41 | 38 | 11 | 73 | 15 | 12 | 7.7 | −2.6 |
| Jh site 33 50 | 62 | 0.1 | 4.0 | 0.40 | 34 | 7 | 74 | 15 | 11 | 6.3 | −4.8 |
| Jh site 33 75 | 63 | 0.1 | 6.8 | 0.33 | 54 | 15 | 32 | 41 | 27 | 16.2 | −0.1 |
| Jh site 33 100 | 64 | 0.2 | 10.2 | 0.37 | 60 | 23 | 16 | 45 | 39 | 18.4 | −13.6 |
| Jh site 33 130 | 65 | 0.2 | 7.3 | 0.35 | 62 | 28 | 31 | 36 | 33 | 18.9 | 0.9 |
| Jh site 33 150 | 66 | 0.2 | 5.9 | 0.37 | 54 | 24 | 59 | 23 | 18 | 15.5 | 0.6 |
| Negev | |||||||||||
| Paleosol in Loessial Apron of tributary of Nahal HaRo’a: Cambic Calcisol (Siltic) | |||||||||||
| NH-LA-30cm | 6 | 0.4 | 4.6 | 0.20 | 66 | 27 | 27 | 58 | 15 | 61.1 | 2.8 |
| Western Wadi Terrace 3: Protic Colluvic Calcaric Regosol (Siltic) | |||||||||||
| HH-WW-T3-20cm | 13 | 0.5 | 5.0 | 0.23 | 74 | 36 | 33 | 45 | 22 | 44.5 | 4.9 |
| HH-WW-T3-70cm | 15 | 0.4 | 4.6 | 0.25 | 80 | 48 | 30 | 55 | 15 | 40.5 | 5.2 |
| Hilltop Ruin Overlooking the Western Wadi: Calcaric Leptosol (Protic. Siltic) | |||||||||||
| HH-WW R1 10 | 22 | 0.2 | 2.5 | 0.14 | 75 | 35 | 42 | 45 | 13 | 43.6 | 3.7 |
| Hilltop Ruin Overlooking the Central Wadi: Protic Calcaric Regosol (Siltic) over Cambic Calcisol (Siltic) | |||||||||||
| HH-CW-Ruin 10 | 24 | 0.5 | 4.3 | 0.20 | 82 | 40 | 22 | 53 | 25 | 64.0 | 6.1 |
| HH-CW-Ruin 50 | 26 | 0.5 | 3.1 | 0.17 | 85 | 40 | 41 | 47 | 12 | 74.0 | 7.6 |
| HH-CW-Ruin-90 | 29 | 0.2 | 2.1 | 0.20 | 69 | 27 | 27 | 51 | 22 | 55.0 | 2.9 |
| Sample | Original Classification | Predicted Classification | Comment |
|---|---|---|---|
| Jh limestone 60 outcrop | Petra Rock Reference | Negev Rock Reference | Turonian dolomitic limestone |
| Beidha Fan | Petra Nat. Sandst. Soil | Petra Pleistocene | High concentrations of CaO, K2O, Rb |
| Abu Suwwan below nw 65 | Petra Pleistocene | Petra Nat. Sandst. Soil | Paleosols show intermediate properties among natural and archaeological soils |
| Shakarat Msaid 1 | Petra Pleistocene | Terrace Soil | |
| HH-CW-Tur-Paleo | Negev Rock | Terrace Soil | Turonian paleosol |
| HH-WW-Cistern1-Cleanout1-120 | Cistern Sediment | Terrace Soil | Role of settling tank for correctly modeled cistern samples? (→ no particles > fine sand) |
| HH-WW-Cistern1-Cleanout1-160 | Cistern Sediment | Terrace Soil | |
| HH-CW-Ruin 10 | Hilltop Ruin | Terrace Soil | Recycled terrace material in hilltop? |
| HH-CW-Ruin 90 | Negev Pleistocene | Terrace Soil | Diffuse boundary to paleosol below ruin |
| Sample Name | Ti/Nb | Rb/K | Ga/Al |
|---|---|---|---|
| Petra Region: Jabal Haroun | |||
| Current dust | 324 | 36 | 3.3 |
| Archaeological soils (excluding monastery garden) | 262 | 37 | 2.4 |
| Silt&clay fractions archaeological soils | 202 | 38 | 2.0 |
| Sandstones | 219 | 49 | 3.8 |
| Khamaseen dust in Jordan reported by Abed et al. [93] | 303 | 36 | 2.6 |
| Negev: Horvat Haluqim | |||
| Archaeological soils | 298 | 31 | 2.1 |
| Current dust | 318 | 28 | 2.1 |
© 2019 by the authors. Licensee MDPI, Basel, Switzerland. This article is an open access article distributed under the terms and conditions of the Creative Commons Attribution (CC BY) license (http://creativecommons.org/licenses/by/4.0/).
Share and Cite
Lucke, B.; Sandler, A.; Vanselow, K.A.; Bruins, H.J.; Abu-Jaber, N.; Bäumler, R.; Porat, N.; Kouki, P. Composition of Modern Dust and Holocene Aeolian Sediments in Archaeological Structures of the Southern Levant. Atmosphere 2019, 10, 762. https://doi.org/10.3390/atmos10120762
Lucke B, Sandler A, Vanselow KA, Bruins HJ, Abu-Jaber N, Bäumler R, Porat N, Kouki P. Composition of Modern Dust and Holocene Aeolian Sediments in Archaeological Structures of the Southern Levant. Atmosphere. 2019; 10(12):762. https://doi.org/10.3390/atmos10120762
Chicago/Turabian StyleLucke, Bernhard, Amir Sandler, Kim André Vanselow, Hendrik J. Bruins, Nizar Abu-Jaber, Rupert Bäumler, Naomi Porat, and Paula Kouki. 2019. "Composition of Modern Dust and Holocene Aeolian Sediments in Archaeological Structures of the Southern Levant" Atmosphere 10, no. 12: 762. https://doi.org/10.3390/atmos10120762
APA StyleLucke, B., Sandler, A., Vanselow, K. A., Bruins, H. J., Abu-Jaber, N., Bäumler, R., Porat, N., & Kouki, P. (2019). Composition of Modern Dust and Holocene Aeolian Sediments in Archaeological Structures of the Southern Levant. Atmosphere, 10(12), 762. https://doi.org/10.3390/atmos10120762

