Comparative Chloroplast Genomics and Codon Usage Bias Analysis in Hevea Genus
Abstract
1. Introduction
2. Materials and Methods
2.1. Sequence Retrieval and Filtering
2.2. IR/SC Boundary Contraction and Expansion Analysis
2.3. SSR Analysis
2.4. Phylogenetic Study of Hevea Chloroplast DNA
2.5. Analysis of Codon Usage Frequency
2.6. Analysis of RSCU and Its Frequency
2.7. ENc-Plot Analysis
2.8. Photosystem Protein Structure Prediction and Functional Annotation
3. Results
3.1. Structural Attributes of the Hevea Chloroplast Genome
3.2. Comparative Genomic Analysis
3.3. IR Region Contraction and Expansion
3.4. Analysis of Long Repeats and SSRs
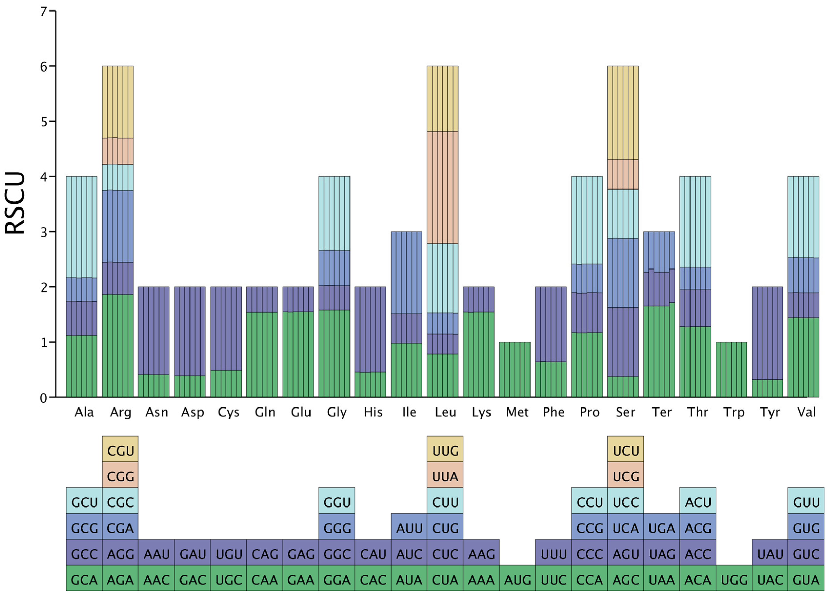
3.5. Codon Usage Bias Analysis
3.6. Analysis of ENc-Plot
3.7. Analysis of PR2-Bias Plot
3.8. Analysis of Neutrality Plot
3.9. Analysis of Correspondence
3.10. Optimal Codons
3.11. Phylogenetic Analysis of Hevea cpDNAs
3.12. Structural and Quantitative Analysis of Photosystem Proteins
4. Discussion
5. Conclusions
Supplementary Materials
Author Contributions
Funding
Institutional Review Board Statement
Informed Consent Statement
Data Availability Statement
Conflicts of Interest
References
- Venkatachalam, P.; Geetha, N.; Sangeetha, P.; Thulaseedharan, A. Natural rubber producing plants: An overview. Afr. J. Biotechnol. 2013, 12, 12. [Google Scholar]
- Priyadarshan, P.M. Molecular markers to devise predictive models for juvenile selection in Hevea rubber. Plant Breed. 2022, 141, 159–183. [Google Scholar] [CrossRef]
- Ali, M.F.; Akber, M.A.; Smith, C.; Aziz, A.A. The dynamics of rubber production in Malaysia: Potential impacts, challenges and proposed interventions. For. Policy Econ. 2021, 127, 102449. [Google Scholar] [CrossRef]
- Abdel-Haleem, H.; Luo, Z.; Ray, D. Genetic improvement of guayule (Parthenium argentatum A. Gray): An alternative rubber crop. Adv. Plant Breed. Strateg. Ind. Food Crops 2019, 6, 151–178. [Google Scholar]
- Chen, H.; Yi, Z.-F.; Schmidt-Vogt, D.; Ahrends, A.; Beckschäfer, P.; Kleinn, C.; Ranjitkar, S.; Xu, J. Pushing the limits: The pattern and dynamics of rubber monoculture expansion in Xishuangbanna, SW China. PLoS ONE 2016, 11, e0150062. [Google Scholar] [CrossRef]
- Tangphatsornruang, S.; Uthaipaisanwong, P.; Sangsrakru, D.; Chanprasert, J.; Yoocha, T.; Jomchai, N.; Tragoonrung, S. Characterization of the complete chloroplast genome of Hevea brasiliensis reveals genome rearrangement, RNA editing sites and phylogenetic relationships. Gene 2011, 475, 104–112. [Google Scholar] [CrossRef] [PubMed]
- Feng, L.-Y.; Liu, J.; Gao, C.-W.; Wu, H.-B.; Li, G.-H.; Gao, L.-Z. Higher genomic variation in wild than cultivated rubber trees, Hevea brasiliensis, revealed by comparative analyses of chloroplast genomes. Front. Ecol. Evol. 2020, 8, 237. [Google Scholar] [CrossRef]
- Hu, Y.-S.; Huang, H.-S.; Liu, J. Characterization of the complete chloroplast genome of Hevea pauciflora (Euphorbiaceae), an important wild relative of the rubber tree. Mitochondrial DNA Part B 2022, 7, 1589–1593. [Google Scholar] [CrossRef] [PubMed]
- Niu, Y.-F.; Hu, Y.-S.; Zheng, C.; Liu, Z.-Y.; Liu, J. The complete chloroplast genome of Hevea camargoana. Mitochondrial DNA Part B 2020, 5, 607–608. [Google Scholar] [CrossRef]
- Fu, Y.; Brookfield, H.; Guo, H.; Chen, J.; Chen, A.; Cui, J. Smallholder rubber plantation expansion and its impact on local livelihoods, land use and agrobiodiversity, a case study from Daka, Xishuangbanna, southwestern China. Int. J. Sustain. Dev. World Ecol. 2009, 16, 22–29. [Google Scholar] [CrossRef]
- Schoch, C.L.; Ciufo, S.; Domrachev, M.; Hotton, C.L.; Kannan, S.; Khovanskaya, R.; Leipe, D.; Mcveigh, R.; O’Neill, K.; Robbertse, B. NCBI Taxonomy: A comprehensive update on curation, resources and tools. Database 2020, 2020, baaa062. [Google Scholar] [CrossRef]
- Kearse, M.; Moir, R.; Wilson, A.; Stones-Havas, S.; Cheung, M.; Sturrock, S.; Buxton, S.; Cooper, A.; Markowitz, S.; Duran, C. Geneious Basic: An integrated and extendable desktop software platform for the organization and analysis of sequence data. Bioinformatics 2012, 28, 1647–1649. [Google Scholar] [CrossRef]
- Deschenes, L.A.; David, A. Vanden BoutUniversity of Texas, A. Origin 6.0: Scientific Data Analysis and Graphing Software Origin Lab Corporation (Formerly Microcal Software, Inc.). Commercial Price: 595. Academicprice: 446. 2000. Available online: www.originlab.com (accessed on 26 June 2024).
- Amiryousefi, A.; Hyvönen, J.; Poczai, P. IRscope: An online program to visualize the junction sites of chloroplast genomes. Bioinformatics 2018, 34, 3030–3031. [Google Scholar] [CrossRef]
- Darling, A.C.; Mau, B.; Blattner, F.R.; Perna, N.T. Mauve: Multiple alignment of conserved genomic sequence with rearrangements. Genome Res. 2004, 14, 1394–1403. [Google Scholar] [CrossRef] [PubMed]
- Rozewicki, J.; Li, S.; Amada, K.M.; Standley, D.M.; Katoh, K. MAFFT-DASH: Integrated protein sequence and structural alignment. Nucleic Acids Res. 2019, 47, W5–W10. [Google Scholar] [CrossRef] [PubMed]
- Frazer, K.A.; Pachter, L.; Poliakov, A.; Rubin, E.M.; Dubchak, I. VISTA: Computational tools for comparative genomics. Nucleic Acids Res. 2004, 32, W273–W279. [Google Scholar] [CrossRef] [PubMed]
- Ahmad, A.; Wang, J.-D.; Pan, Y.-B.; Sharif, R.; Gao, S.-J. Development and use of simple sequence repeats (SSRs) markers for sugarcane breeding and genetic studies. Agronomy 2018, 8, 260. [Google Scholar] [CrossRef]
- Beier, S.; Thiel, T.; Münch, T.; Scholz, U.; Mascher, M. MISA-web: A web server for microsatellite prediction. Bioinformatics 2017, 33, 2583–2585. [Google Scholar] [CrossRef]
- Kurtz, S.; Choudhuri, J.V.; Ohlebusch, E.; Schleiermacher, C.; Stoye, J.; Giegerich, R. REPuter: The manifold applications of repeat analysis on a genomic scale. Nucleic Acids Res. 2001, 29, 4633–4642. [Google Scholar] [CrossRef]
- Peden, J.F. Analysis of Codon Usage. Ph.D. Thesis, University of Nottingham, Nottingham, UK, 2000. [Google Scholar]
- Rice, P.; Longden, I.; Bleasby, A. EMBOSS: The European molecular biology open software suite. Trends Genet. 2000, 16, 276–277. [Google Scholar] [CrossRef] [PubMed]
- Ihaka, R.; Gentleman, R. R: A language for data analysis and graphics. J. Comput. Graph. Stat. 1996, 5, 299–314. [Google Scholar] [CrossRef]
- Sharp, P.M.; Li, W.-H. The codon adaptation index-a measure of directional synonymous codon usage bias, and its potential applications. Nucleic Acids Res. 1987, 15, 1281–1295. [Google Scholar] [CrossRef]
- Wang, L.; Xing, H.; Yuan, Y.; Wang, X.; Saeed, M.; Tao, J.; Feng, W.; Zhang, G.; Song, X.; Sun, X. Genome-wide analysis of codon usage bias in four sequenced cotton species. PLoS ONE 2018, 13, e0194372. [Google Scholar] [CrossRef]
- Li, R.; Zhang, X.; Ma, X.; Guo, R.; Yan, S.; Jin, G.; Zhou, P. Analyses of Codon Usage Patterns and Codon Usage Bias in Peach (Prunus persica). Mol. Plant Breed. 2022, 13, 28. [Google Scholar] [CrossRef]
- Feng, Z.; Jiang, Y.; Zheng, Y.; MIAO, Y.-j.; HUANG, L.-f.; LUO, G.-m. Codon use bias analysis of chloroplast genome of Cistanche. Chin. Tradit. Herb. Drugs 2023, 54, 1540–1550. [Google Scholar]
- Li, Q.; Luo, Y.; Sha, A.; Xiao, W.; Xiong, Z.; Chen, X.; He, J.; Peng, L.; Zou, L. Analysis of synonymous codon usage patterns in mitochondrial genomes of nine Amanita species. Front. Microbiol. 2023, 14, 1134228. [Google Scholar] [CrossRef]
- Paul, P.; Malakar, A.K.; Chakraborty, S. Compositional bias coupled with selection and mutation pressure drives codon usage in Brassica campestris genes. Food Sci. Biotechnol. 2018, 27, 725–733. [Google Scholar] [CrossRef]
- RoyChoudhury, S.; Mukherjee, D. A detailed comparative analysis on the overall codon usage pattern in herpesviruses. Virus Res. 2010, 148, 31–43. [Google Scholar] [CrossRef]
- Powell, W.; Morgante, M.; McDevitt, R.; Vendramin, G.; Rafalski, J. Polymorphic simple sequence repeat regions in chloroplast genomes: Applications to the population genetics of pines. Proc. Natl. Acad. Sci. USA 1995, 92, 7759–7763. [Google Scholar] [CrossRef] [PubMed]
- Wicke, S.; Schneeweiss, G.M.; Depamphilis, C.W.; Müller, K.F.; Quandt, D. The evolution of the plastid chromosome in land plants: Gene content, gene order, gene function. Plant Mol. Biol. 2011, 76, 273–297. [Google Scholar] [CrossRef]
- Provan, J.; Powell, W.; Hollingsworth, P.M. Chloroplast microsatellites: New tools for studies in plant ecology and evolution. Trends Ecol. Evol. 2001, 16, 142–147. [Google Scholar] [CrossRef] [PubMed]
- Shaw, J.; Lickey, E.B.; Schilling, E.E.; Small, R.L. Comparison of whole chloroplast genome sequences to choose noncoding regions for phylogenetic studies in angiosperms: The tortoise and the hare III. Am. J. Bot. 2007, 94, 275–288. [Google Scholar] [CrossRef]
- Jansen, R.K.; Cai, Z.; Raubeson, L.A.; Daniell, H.; Depamphilis, C.W.; Leebens-Mack, J.; Müller, K.F.; Guisinger-Bellian, M.; Haberle, R.C.; Hansen, A.K. Analysis of 81 genes from 64 plastid genomes resolves relationships in angiosperms and identifies genome-scale evolutionary patterns. Proc. Natl. Acad. Sci. USA 2007, 104, 19369–19374. [Google Scholar] [CrossRef] [PubMed]
- Palmer, J.D. Chloroplast DNA evolution and biosystematic uses of chloroplast DNA variation. Am. Nat. 1987, 130, S6–S29. [Google Scholar] [CrossRef]
- Timme, R.E.; Kuehl, J.V.; Boore, J.L.; Jansen, R.K. A comparative analysis of the Lactuca and Helianthus (Asteraceae) plastid genomes: Identification of divergent regions and categorization of shared repeats. Am. J. Bot. 2007, 94, 302–312. [Google Scholar] [CrossRef]
- Daniell, H.; Kumar, S.; Dufourmantel, N. Breakthrough in chloroplast genetic engineering of agronomically important crops. TRENDS Biotechnol. 2005, 23, 238–245. [Google Scholar] [CrossRef] [PubMed]
- Ikeda, Y.; Kato, A.; Kohjiya, S.; Nakajima, Y. Rubber Science; Springer: Singapore, 2018; Volume 10, pp. 978–981. [Google Scholar]
- Liu, H.; Ye, H.; Zhang, N.; Ma, J.; Wang, J.; Hu, G.; Li, M.; Zhao, P. Comparative analyses of chloroplast genomes provide comprehensive insights into the adaptive evolution of Paphiopedilum (Orchidaceae). Horticulturae 2022, 8, 391. [Google Scholar] [CrossRef]
- Guisinger, M.M.; Kuehl, J.V.; Boore, J.L.; Jansen, R.K. Genome-wide analyses of Geraniaceae plastid DNA reveal unprecedented patterns of increased nucleotide substitutions. Proc. Natl. Acad. Sci. USA 2008, 105, 18424–18429. [Google Scholar] [CrossRef] [PubMed]
- Raubeson, L.A.; Jansen, R.K. Chloroplast DNA evidence on the ancient evolutionary split in vascular land plants. Science 1992, 255, 1697–1699. [Google Scholar] [CrossRef]
- Qu, J.; Liu, J. A genome-wide analysis of simple sequence repeats in maize and the development of polymorphism markers from next-generation sequence data. BMC Res. Notes 2013, 6, 403. [Google Scholar] [CrossRef]
- Yin, D.; Wang, Y.; Zhang, X.; Ma, X.; He, X.; Zhang, J. Development of chloroplast genome resources for peanut (Arachis hypogaea L.) and other species of Arachis. Sci. Rep. 2017, 7, 11649. [Google Scholar] [CrossRef]
- Morton, B.R. Selection on the codon bias of Chlamydomonas reinhardtii chloroplast genes and the plant psbA gene. J. Mol. Evol. 1996, 43, 28–31. [Google Scholar] [CrossRef]
- Sharp, P.M.; Emery, L.R.; Zeng, K. Forces that influence the evolution of codon bias. Philos. Trans. R. Soc. B Biol. Sci. 2010, 365, 1203–1212. [Google Scholar] [CrossRef] [PubMed]
- Hershberg, R.; Petrov, D.A. Selection on codon bias. Annu. Rev. Genet. 2008, 42, 287–299. [Google Scholar] [CrossRef] [PubMed]
- Cui, J.; Yang, Y.; Luo, S.; Wang, L.; Huang, R.; Wen, Q.; Han, X.; Miao, N.; Cheng, J.; Liu, Z. Whole-genome sequencing provides insights into the genetic diversity and domestication of bitter gourd (Momordica spp.). Hortic. Res. 2020, 7, 85. [Google Scholar] [CrossRef]
- Priyadarshan, P. Genetic diversity and erosion in Hevea rubber. Genet. Divers. Eros. Plants Case Hist. 2016, 8, 233–267. [Google Scholar]
- Daniell, H.; Lin, C.-S.; Yu, M.; Chang, W.-J. Chloroplast genomes: Diversity, evolution, and applications in genetic engineering. Genome Biol. 2016, 17, 134. [Google Scholar] [CrossRef] [PubMed]
- Ruf, S.; Hermann, M.; Berger, I.J.; Carrer, H.; Bock, R. Stable genetic transformation of tomato plastids and expression of a foreign protein in fruit. Nat. Biotechnol. 2001, 19, 870–875. [Google Scholar] [CrossRef] [PubMed]












| Species | GenBank Number | Genome Size (bp) | Genes | rRNA | tRNA | GC% |
|---|---|---|---|---|---|---|
| H. benthamiana | MT333859 | 161,124 | 91 | 8 | 36 | 35.72 |
| H. brasiliensis | NC015308 | 161,191 | 92 | 8 | 37 | 35.73 |
| H. camargoana | MN781109 | 161,291 | 91 | 8 | 36 | 35.72 |
| H. nitida | MT413435 | 161,124 | 91 | 8 | 36 | 35.73 |
| H. pauciflora | NC059798 | 161,123 | 91 | 8 | 36 | 35.75 |
| H. spruceana | NC059799 | 161,093 | 91 | 8 | 36 | 35.72 |
Disclaimer/Publisher’s Note: The statements, opinions and data contained in all publications are solely those of the individual author(s) and contributor(s) and not of MDPI and/or the editor(s). MDPI and/or the editor(s) disclaim responsibility for any injury to people or property resulting from any ideas, methods, instructions or products referred to in the content. |
© 2025 by the authors. Licensee MDPI, Basel, Switzerland. This article is an open access article distributed under the terms and conditions of the Creative Commons Attribution (CC BY) license (https://creativecommons.org/licenses/by/4.0/).
Share and Cite
Yang, Y.; Liu, X.; He, L.; Li, Z.; Yuan, B.; Fang, F.; Wang, M.; Li, A.; Liu, C.; He, M.; et al. Comparative Chloroplast Genomics and Codon Usage Bias Analysis in Hevea Genus. Genes 2025, 16, 201. https://doi.org/10.3390/genes16020201
Yang Y, Liu X, He L, Li Z, Yuan B, Fang F, Wang M, Li A, Liu C, He M, et al. Comparative Chloroplast Genomics and Codon Usage Bias Analysis in Hevea Genus. Genes. 2025; 16(2):201. https://doi.org/10.3390/genes16020201
Chicago/Turabian StyleYang, Yang, Xueyang Liu, Lixia He, Zhenhua Li, Boxuan Yuan, Fengyan Fang, Mei Wang, Aifang Li, Cheng Liu, Minmin He, and et al. 2025. "Comparative Chloroplast Genomics and Codon Usage Bias Analysis in Hevea Genus" Genes 16, no. 2: 201. https://doi.org/10.3390/genes16020201
APA StyleYang, Y., Liu, X., He, L., Li, Z., Yuan, B., Fang, F., Wang, M., Li, A., Liu, C., He, M., Hui, S., Wang, W., & Wang, X. (2025). Comparative Chloroplast Genomics and Codon Usage Bias Analysis in Hevea Genus. Genes, 16(2), 201. https://doi.org/10.3390/genes16020201

