Interplay Between Ribosomal Gene Deficiency and Calorie Restriction in Shaping Yeast Biosynthetic Capacity
Highlights
- What are the main findings?
- Low biosynthetic activity results in slower growth, smaller cell size, and an extended cell cycle, primarily affecting the G1 phase.
- In the Δrpl20a strain, which exhibits reduced biosynthetic activity, calorie restriction did not lead to any additional significant changes in cell growth rate or biosynthetic activity.
- What are the implications of the main findings?
- These results suggest there is a minimum biosynthetic threshold necessary to maintain cellular physiological fitness.
- The impact of calorie restriction on physiological fitness and proliferative potential depends on the baseline level of cellular biosynthetic activity.
Abstract
1. Introduction
2. Materials and Methods
2.1. Chemicals
2.2. Yeast Strains and Growth Conditions
2.3. Determination of Cell Growth and Generation Time
2.4. Estimation of Cell Size in the Population
2.5. Analysis of the Duration and Changes in Cell Size During the First Cell Cycle
2.6. Analysis of Changes in Cell Size During the Cell Cycle Arrest in the G1 Phase
2.7. Determination of Cell Viability
2.8. Assessment of Cell Metabolic Activity
2.9. Estimation of Relative RNA Level
2.10. Determination of Protein Content in the Yeast Cell
2.11. Assessment of the Cellular ATP Content
2.12. Measurement of Glucose Uptake
2.13. Assessment of Relative Glucose Consumption
2.14. Statistical Analysis
3. Results
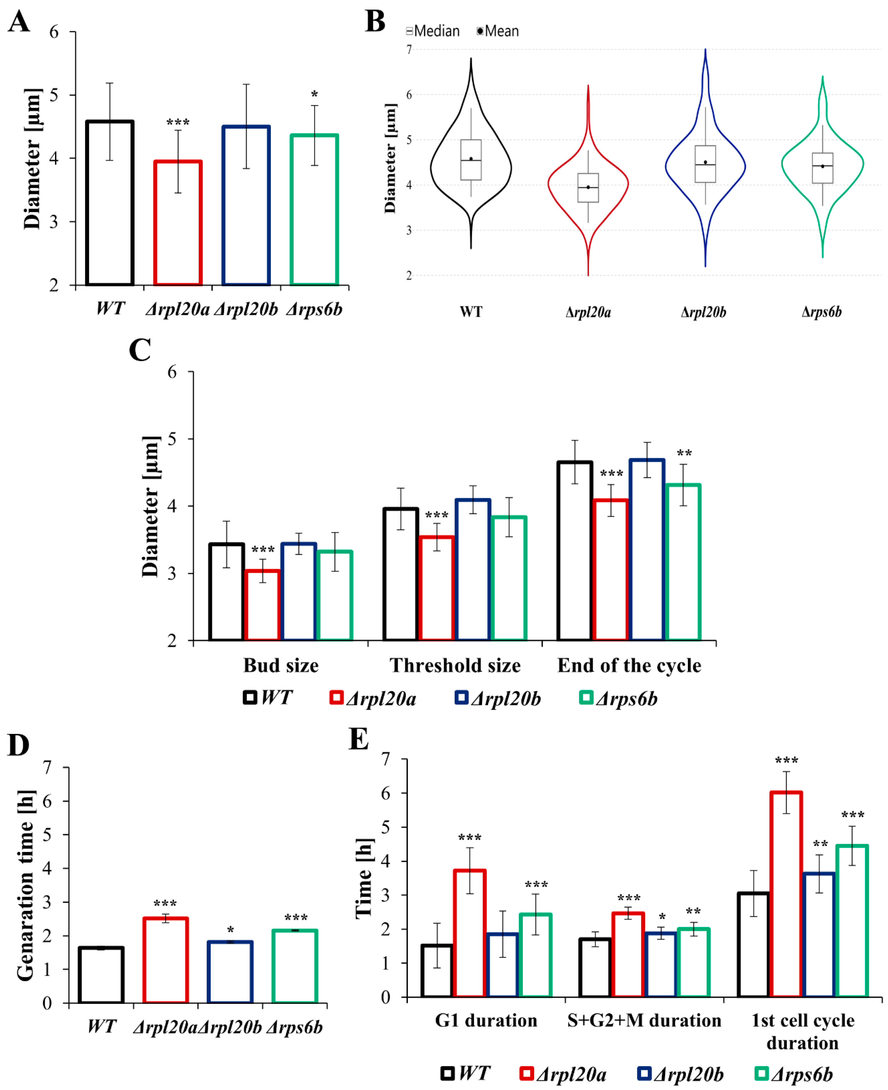
3.1. Deletion of RP Genes Differentially Slows Cell Population Growth
3.2. Deletion of RP Genes Reduces Cell Size and Increases Generation Time to Varying Degrees
3.3. Deletion of RP Genes Reduces Cell Size Growth During the Cell Cycle Arrest in the G1 Phase
3.4. Deletion of RP Genes Reduces the Rate of Individual Cell Size Growth
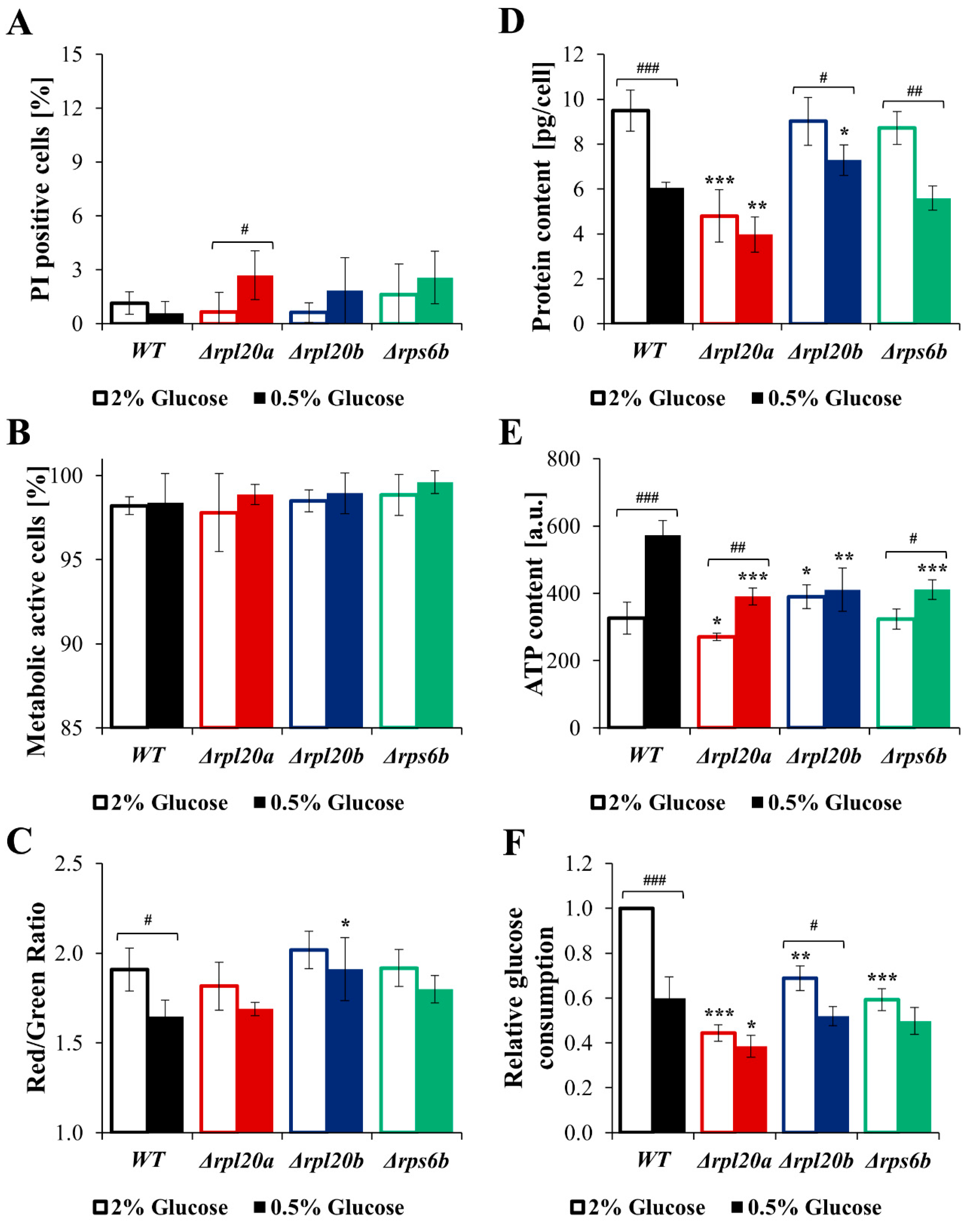
3.5. Deletion of RP Genes Changes the Energetic and Biosynthetic Capacities of the Cells to Varying Degrees but Does Not Induce Higher Mortality or Decreased Overall Vitality
3.6. Deletion of RP Genes Decreases Glucose Consumption and the Rate of Glucose Uptake
3.7. Calorie Restriction Does Not Decrease Biosynthesis in Strains with Initially Low Biosynthetic Efficiency
4. Discussion
4.1. Deletions of Ribosomal Genes and Their Phenotypic Aspects
4.2. The Relationships Between Physiological Efficiency, Cell Size, and Proliferation
4.3. Calorie Restriction and Deletion of Ribosomal Genes in Reducing Cellular Biosynthesis
5. Conclusions
Author Contributions
Funding
Institutional Review Board Statement
Informed Consent Statement
Data Availability Statement
Conflicts of Interest
References
- Chen, M.; Xie, T.; Li, H.; Zhuang, Y.; Xia, J.; Nielsen, J. Yeast increases glycolytic flux to support higher growth rates accompanied by decreased metabolite regulation and lower protein phosphorylation. Proc. Natl. Acad. Sci. USA 2023, 120, e2302779120. [Google Scholar] [CrossRef]
- Ewald, J.C.; Kuehne, A.; Zamboni, N.; Skotheim, J.M. The Yeast Cyclin-Dependent Kinase Routes Carbon Fluxes to Fuel Cell Cycle Progression. Mol. Cell 2016, 62, 532–545. [Google Scholar] [CrossRef]
- Mittal, N.; Guimaraes, J.C.; Gross, T.; Schmidt, A.; Vina-Vilaseca, A.; Nedialkova, D.D.; Aeschimann, F.; Leidel, S.A.; Spang, A.; Zavolan, M. The Gcn4 transcription factor reduces protein synthesis capacity and extends yeast lifespan. Nat. Commun. 2017, 8, 457. [Google Scholar] [CrossRef] [PubMed]
- Polymenis, M. Ribosomal proteins: Mutant phenotypes by the numbers and associated gene expression changes. Open Biol. 2020, 10, 200114. [Google Scholar] [CrossRef] [PubMed]
- Shenton, D.; Smirnova, J.B.; Selley, J.N.; Carroll, K.; Hubbard, S.J.; Pavitt, G.D.; Ashe, M.P.; Grant, C.M. Global Translational Responses to Oxidative Stress Impact upon Multiple Levels of Protein Synthesis. J. Biol. Chem. 2006, 281, 29011–29021. [Google Scholar] [CrossRef]
- Thomson, E.; Ferreira-Cerca, S.; Hurt, E. Eukaryotic ribosome biogenesis at a glance. J. Cell Sci. 2013, 126 Pt 21, 4815–4821. [Google Scholar] [CrossRef] [PubMed]
- Woolford, J.L., Jr.; Baserga, S.J. Ribosome biogenesis in the yeast Saccharomyces cerevisiae. Genetics 2013, 195, 643–681. [Google Scholar] [CrossRef]
- Garcia-Marcos, A.; Sanchez, S.A.; Parada, P.; Eid, J.; Jameson, D.M.; Remacha, M.; Gratton, E.; Ballesta, J.P. Yeast ribosomal stalk heterogeneity in vivo shown by two-photon FCS and molecular brightness analysis. Biophys. J. 2008, 94, 2884–2890. [Google Scholar] [CrossRef]
- Hebras, J.; Krogh, N.; Marty, V.; Nielsen, H.; Cavaille, J. Developmental changes of rRNA ribose methylations in the mouse. RNA Biol. 2020, 17, 150–164. [Google Scholar] [CrossRef]
- Krogh, N.; Jansson, M.D.; Häfner, S.J.; Tehler, D.; Birkedal, U.; Christensen-Dalsgaard, M.; Lund, A.H.; Nielsen, H. Profiling of 2′-O-Me in human rRNA reveals a subset of fractionally modified positions and provides evidence for ribosome heterogeneity. Nucleic Acids Res. 2016, 44, 7884–7895. [Google Scholar] [CrossRef]
- Mageeney, C.M.; Kearse, M.G.; Gershman, B.W.; Pritchard, C.E.; Colquhoun, J.M.; Ware, V.C. Functional interplay between ribosomal protein paralogues in the eRpL22 family in Drosophila melanogaster. Fly 2018, 12, 143–163. [Google Scholar] [CrossRef]
- Kearse, M.G.; Chen, A.S.; Ware, V.C. Expression of ribosomal protein L22e family members in Drosophila melanogaster: rpL22-like is differentially expressed and alternatively spliced. Nucleic Acids Res. 2011, 39, 2701–2716. [Google Scholar] [CrossRef]
- Shi, Z.; Barna, M. Translating the genome in time and space: Specialized ribosomes, RNA regulons, and RNA-binding proteins. Annu. Rev. Cell Dev. Biol. 2015, 31, 31–54. [Google Scholar] [CrossRef] [PubMed]
- Malik Ghulam, M.; Catala, M.; Reulet, G.; Scott, M.S.; Abou Elela, S. Duplicated ribosomal protein paralogs promote alternative translation and drug resistance. Nat. Commun. 2022, 13, 4938. [Google Scholar] [CrossRef] [PubMed]
- Natchiar, S.K.; Myasnikov, A.G.; Kratzat, H.; Hazemann, I.; Klaholz, B.P. Visualization of chemical modifications in the human 80S ribosome structure. Nature 2017, 551, 472–477. [Google Scholar] [CrossRef] [PubMed]
- Norris, K.; Hopes, T.; Aspden, J.L. Ribosome heterogeneity and specialization in development. Wiley Interdiscip. Rev. RNA 2021, 12, e1644. [Google Scholar] [CrossRef]
- Palumbo, R.J.; Fuchs, G.; Lutz, S.; Curcio, M.J. Paralog-Specific Functions of RPL7A and RPL7B Mediated by Ribosomal Protein or snoRNA Dosage in Saccharomyces cerevisiae. G3 Genes Genomes Genet. 2017, 7, 591–606. [Google Scholar] [CrossRef]
- Sun, L.; Yang, X.; Chen, F.; Li, R.; Li, X.; Liu, Z.; Gu, Y.; Gong, X.; Liu, Z.; Wei, H.; et al. Paralogous ribosomal protein l32-1 and l32-2 in fission yeast may function distinctively in cellular proliferation and quiescence by changing the ratio of rpl32 paralogs. PLoS ONE 2013, 8, e60689. [Google Scholar] [CrossRef]
- Mageeney, C.M.; Ware, V.C. Specialized eRpL22 paralogue-specific ribosomes regulate specific mRNA translation in spermatogenesis in Drosophila melanogaster. Mol. Biol. Cell 2019, 30, 2240–2253. [Google Scholar] [CrossRef]
- Guimaraes, J.C.; Zavolan, M. Patterns of ribosomal protein expression specify normal and malignant human cells. Genome Biol. 2016, 17, 236. [Google Scholar] [CrossRef]
- Wapinski, I.; Pfiffner, J.; French, C.; Socha, A.; Thompson, D.A.; Regev, A. Gene duplication and the evolution of ribosomal protein gene regulation in yeast. Proc. Natl. Acad. Sci. USA 2010, 107, 5505–5510. [Google Scholar] [CrossRef]
- Samir, P.; Browne, C.M.; Rahul; Sun, M.; Shen, B.; Li, W.; Frank, J.; Link, A.J. Identification of Changing Ribosome Protein Compositions using Mass Spectrometry. Proteomics 2018, 18, e1800217. [Google Scholar] [CrossRef] [PubMed]
- Lane, N.; Martin, W. The energetics of genome complexity. Nature 2010, 467, 929–934. [Google Scholar] [CrossRef] [PubMed]
- Tavernarakis, N. Protein synthesis and aging: eIF4E and the soma vs. germline distinction. Cell Cycle 2007, 6, 1168–1171. [Google Scholar] [CrossRef] [PubMed]
- Tavernarakis, N. Ageing and the regulation of protein synthesis: A balancing act? Trends Cell Biol. 2008, 18, 228–235. [Google Scholar] [CrossRef]
- Takauji, Y.; Wada, T.; Takeda, A.; Kudo, I.; Miki, K.; Fujii, M.; Ayusawa, D. Restriction of protein synthesis abolishes senescence features at cellular and organismal levels. Sci. Rep. 2016, 6, 18722. [Google Scholar] [CrossRef]
- Steffen, K.K.; MacKay, V.L.; Kerr, E.O.; Tsuchiya, M.; Hu, D.; Fox, L.A.; Dang, N.; Johnston, E.D.; Oakes, J.A.; Tchao, B.N.; et al. Yeast life span extension by depletion of 60s ribosomal subunits is mediated by Gcn4. Cell 2008, 133, 292–302. [Google Scholar] [CrossRef]
- Lopez-Otin, C.; Blasco, M.A.; Partridge, L.; Serrano, M.; Kroemer, G. The hallmarks of aging. Cell 2013, 153, 1194–1217. [Google Scholar] [CrossRef]
- Hipkiss, A.R. On why decreasing protein synthesis can increase lifespan. Mech. Ageing Dev. 2007, 128, 412–414. [Google Scholar] [CrossRef]
- Kim, H.S.; Pickering, A.M. Protein translation paradox: Implications in translational regulation of aging. Front. Cell Dev. Biol. 2023, 11, 1129281. [Google Scholar] [CrossRef]
- Blagosklonny, M.V. Paradoxes of aging. Cell Cycle 2007, 6, 2997–3003. [Google Scholar] [CrossRef] [PubMed]
- Widdel, F. Theory and measurement of bacterial growth. Di Dalam Grund. Mikrobiol. 2007, 4, 1–11. [Google Scholar]
- Kwolek-Mirek, M.; Zadrag-Tecza, R. Comparison of methods used for assessing the viability and vitality of yeast cells. FEMS Yeast Res. 2014, 14, 1068–1079. [Google Scholar] [CrossRef]
- Darzynkiewicz, Z.; Juan, G.; Srour, E.F. Differential staining of DNA and RNA. Curr. Protoc. Cytom. 2004, 30. [Google Scholar] [CrossRef]
- Zadrag-Tecza, R.; Kwolek-Mirek, M.; Alabrudzinska, M.; Skoneczna, A. Cell Size Influences the Reproductive Potential and Total Lifespan of the Saccharomyces cerevisiae Yeast as Revealed by the Analysis of Polyploid Strains. Oxid. Med. Cell Longev. 2018, 2018, 1898421. [Google Scholar] [CrossRef]
- Maslanka, R.; Kwolek-Mirek, M.; Zadrag-Tecza, R. Consequences of calorie restriction and calorie excess for the physiological parameters of the yeast Saccharomyces cerevisiae cells. FEMS Yeast Res. 2017, 17. [Google Scholar] [CrossRef]
- Parenteau, J.; Durand, M.; Morin, G.; Gagnon, J.; Lucier, J.F.; Wellinger, R.J.; Chabot, B.; Elela, S.A. Introns within ribosomal protein genes regulate the production and function of yeast ribosomes. Cell 2011, 147, 320–331. [Google Scholar] [CrossRef]
- Ginzberg, M.B.; Kafri, R.; Kirschner, M. Cell biology. On being the right (cell) size. Science 2015, 348, 1245075. [Google Scholar] [CrossRef]
- Johnston, G.C.; Pringle, J.R.; Hartwell, L.H. Coordination of growth with cell division in the yeast Saccharomyces cerevisiae. Exp. Cell Res. 1977, 105, 79–98. [Google Scholar] [CrossRef]
- Turner, J.J.; Ewald, J.C.; Skotheim, J.M. Cell size control in yeast. Curr. Biol. 2012, 22, R350–R359. [Google Scholar] [CrossRef]
- Zadrag, R.; Bartosz, G.; Bilinski, T. Replicative aging of the yeast does not require DNA replication. Biochem. Biophys. Res. Commun. 2005, 333, 138–141. [Google Scholar] [CrossRef]
- Lin, S.J.; Kaeberlein, M.; Andalis, A.A.; Sturtz, L.A.; Defossez, P.A.; Culotta, V.C.; Fink, G.R.; Guarente, L. Calorie restriction extends Saccharomyces cerevisiae lifespan by increasing respiration. Nature 2002, 418, 344–348. [Google Scholar] [CrossRef]
- Maslanka, R.; Zadrag-Tecza, R. Less is more or more is less: Implications of glucose metabolism in the regulation of the reproductive potential and total lifespan of the Saccharomyces cerevisiae yeast. J. Cell Physiol. 2019, 234, 17622–17638. [Google Scholar] [CrossRef]
- Uvdal, P.; Shashkova, S. The Effect of Calorie Restriction on Protein Quality Control in Yeast. Biomolecules 2023, 13, 841. [Google Scholar] [CrossRef] [PubMed]
- Steffen, K.K.; McCormick, M.A.; Pham, K.M.; MacKay, V.L.; Delaney, J.R.; Murakami, C.J.; Kaeberlein, M.; Kennedy, B.K. Ribosome deficiency protects against ER stress in Saccharomyces cerevisiae. Genetics 2012, 191, 107–118. [Google Scholar] [CrossRef] [PubMed]
- Komili, S.; Farny, N.G.; Roth, F.P.; Silver, P.A. Functional specificity among ribosomal proteins regulates gene expression. Cell 2007, 131, 557–571. [Google Scholar] [CrossRef]
- McIntosh, K.B.; Warner, J.R. Yeast ribosomes: Variety is the spice of life. Cell 2007, 131, 450–451. [Google Scholar] [CrossRef]
- Simoff, I.; Moradi, H.; Nygard, O. Functional characterization of ribosomal protein L15 from Saccharomyces cerevisiae. Curr. Genet. 2009, 55, 111–125. [Google Scholar] [CrossRef]
- Lu, H.; Zhu, Y.F.; Xiong, J.; Wang, R.; Jia, Z. Potential extra-ribosomal functions of ribosomal proteins in Saccharomyces cerevisiae. Microbiol. Res. 2015, 177, 28–33. [Google Scholar] [CrossRef]
- Ohmayer, U.; Gamalinda, M.; Sauert, M.; Ossowski, J.; Pöll, G.; Linnemann, J.; Hierlmeier, T.; Perez-Fernandez, J.; Kumcuoglu, B.; Leger-Silvestre, I.; et al. Studies on the Assembly Characteristics of Large Subunit Ribosomal Proteins in S. cerevisae. PLoS ONE 2013, 8, e68412. [Google Scholar] [CrossRef]
- Pöll, G.; Braun, T.; Jakovljevic, J.; Neueder, A.; Jakob, S.; Woolford, J.L., Jr.; Tschochner, H.; Milkereit, P. rRNA maturation in yeast cells depleted of large ribosomal subunit proteins. PLoS ONE 2009, 4, e8249. [Google Scholar] [CrossRef]
- Sahasranaman, A.; Dembowski, J.; Strahler, J.; Andrews, P.; Maddock, J.; Woolford, J.L., Jr. Assembly of Saccharomyces cerevisiae 60S ribosomal subunits: Role of factors required for 27S pre-rRNA processing. EMBO J. 2011, 30, 4020–4032. [Google Scholar] [CrossRef]
- Talkish, J.; Biedka, S.; Jakovljevic, J.; Zhang, J.; Tang, L.; Strahler, J.R.; Andrews, P.C.; Maddock, J.R.; Woolford, J.L., Jr. Disruption of ribosome assembly in yeast blocks cotranscriptional pre-rRNA processing and affects the global hierarchy of ribosome biogenesis. RNA 2016, 22, 852–866. [Google Scholar] [CrossRef] [PubMed]
- Yeh, L.C.; Lee, J.C. Yeast ribosomal proteins L4, L17, L20, and L25 exhibit different binding characteristics for the yeast 35S precursor rRNA. Biochim. Biophys. Acta 1998, 1443, 139–148. [Google Scholar] [CrossRef] [PubMed]
- Koszul, R.; Caburet, S.; Dujon, B.; Fischer, G. Eucaryotic genome evolution through the spontaneous duplication of large chromosomal segments. EMBO J. 2004, 23, 234–243. [Google Scholar] [CrossRef] [PubMed]
- Payen, C.; Koszul, R.; Dujon, B.; Fischer, G. Segmental duplications arise from Pol32-dependent repair of broken forks through two alternative replication-based mechanisms. PLoS Genet. 2008, 4, e1000175. [Google Scholar] [CrossRef]
- Adler, S.O.; Spiesser, T.W.; Uschner, F.; Münzner, U.; Hahn, J.; Krantz, M.; Klipp, E. A yeast cell cycle model integrating stress, signaling, and physiology. FEMS Yeast Res. 2022, 22, foac026. [Google Scholar] [CrossRef]
- Maslanka, R.; Zadrag-Tecza, R. Reproductive Potential of Yeast Cells Depends on Overall Action of Interconnected Changes in Central Carbon Metabolism, Cellular Biosynthetic Capacity, and Proteostasis. Int. J. Mol. Sci. 2020, 21, 7313. [Google Scholar] [CrossRef]
- Wheals, A.E. Size control models of Saccharomyces cerevisiae cell proliferation. Mol. Cell Biol. 1982, 2, 361–368. [Google Scholar] [CrossRef]
- Alberghina, L.; Mavelli, G.; Drovandi, G.; Palumbo, P.; Pessina, S.; Tripodi, F.; Coccetti, P.; Vanoni, M. Cell growth and cell cycle in Saccharomyces cerevisiae: Basic regulatory design and protein-protein interaction network. Biotechnol. Adv. 2012, 30, 52–72. [Google Scholar] [CrossRef]
- Cipollina, C.; van den Brink, J.; Daran-Lapujade, P.; Pronk, J.T.; Vai, M.; de Winde, J.H. Revisiting the role of yeast Sfp1 in ribosome biogenesis and cell size control: A chemostat study. Microbiology 2008, 154 Pt 1, 337–346. [Google Scholar] [CrossRef]
- Yang, J.; Dungrawala, H.; Hua, H.; Manukyan, A.; Abraham, L.; Lane, W.; Mead, H.; Wright, J.; Schneider, B.L. Cell size and growth rate are major determinants of replicative lifespan. Cell Cycle 2011, 10, 144–155. [Google Scholar] [CrossRef]
- Dungrawala, H.; Hua, H.; Wright, J.; Abraham, L.; Kasemsri, T.; McDowell, A.; Stilwell, J.; Schneider, B.L. Identification of new cell size control genes in S. cerevisiae. Cell Div. 2012, 7, 24. [Google Scholar] [CrossRef]
- Soifer, I.; Robert, L.; Amir, A. Single-Cell Analysis of Growth in Budding Yeast and Bacteria Reveals a Common Size Regulation Strategy. Curr. Biol. 2016, 26, 356–361. [Google Scholar] [CrossRef]
- Di Talia, S.; Skotheim, J.M.; Bean, J.M.; Siggia, E.D.; Cross, F.R. The effects of molecular noise and size control on variability in the budding yeast cell cycle. Nature 2007, 448, 947–951. [Google Scholar] [CrossRef] [PubMed]
- Litsios, A.; Huberts, D.; Terpstra, H.M.; Guerra, P.; Schmidt, A.; Buczak, K.; Papagiannakis, A.; Rovetta, M.; Hekelaar, J.; Hubmann, G.; et al. Differential scaling between G1 protein production and cell size dynamics promotes commitment to the cell division cycle in budding yeast. Nat. Cell Biol. 2019, 21, 1382–1392. [Google Scholar] [CrossRef] [PubMed]
- Schmoller, K.M.; Skotheim, J.M. The Biosynthetic Basis of Cell Size Control. Trends Cell Biol. 2015, 25, 793–802. [Google Scholar] [CrossRef] [PubMed]
- Bilinski, T.; Bartosz, G. Hypothesis: Cell volume limits cell divisions. Acta Biochim. Pol. 2006, 53, 833–835. [Google Scholar] [CrossRef]
- Bilinski, T.; Zadrag-Tecza, R.; Bartosz, G. Hypertrophy hypothesis as an alternative explanation of the phenomenon of replicative aging of yeast. FEMS Yeast Res. 2012, 12, 97–101. [Google Scholar] [CrossRef]
- Neurohr, G.E.; Terry, R.L.; Lengefeld, J.; Bonney, M.; Brittingham, G.P.; Moretto, F.; Miettinen, T.P.; Vaites, L.P.; Soares, L.M.; Paulo, J.A.; et al. Excessive Cell Growth Causes Cytoplasm Dilution And Contributes to Senescence. Cell 2019, 176, 1083–1097.e1018. [Google Scholar] [CrossRef]
- Cadart, C.; Heald, R. Scaling of biosynthesis and metabolism with cell size. Mol. Biol. Cell 2022, 33, pe5. [Google Scholar] [CrossRef] [PubMed]
- Lengefeld, J.; Cheng, C.W.; Maretich, P.; Blair, M.; Hagen, H.; McReynolds, M.R.; Sullivan, E.; Majors, K.; Roberts, C.; Kang, J.H.; et al. Cell size is a determinant of stem cell potential during aging. Sci. Adv. 2021, 7, eabk0271. [Google Scholar] [CrossRef] [PubMed]
- Chiocchetti, A.; Zhou, J.; Zhu, H.; Karl, T.; Haubenreisser, O.; Rinnerthaler, M.; Heeren, G.; Oender, K.; Bauer, J.; Hintner, H.; et al. Ribosomal proteins Rpl10 and Rps6 are potent regulators of yeast replicative life span. Exp. Gerontol. 2007, 42, 275–286. [Google Scholar] [CrossRef] [PubMed]
- Kaeberlein, M.; Kirkland, K.T.; Fields, S.; Kennedy, B.K. Genes determining yeast replicative life span in a long-lived genetic background. Mech. Ageing Dev. 2005, 126, 491–504. [Google Scholar] [CrossRef]
- Tavernarakis, N.; Driscoll, M. Caloric restriction and lifespan: A role for protein turnover? Mech. Ageing Dev. 2002, 123, 215–229. [Google Scholar] [CrossRef]
- Kaeberlein, M.; Kennedy, B.K. Protein translation, 2007. Aging Cell 2007, 6, 731–734. [Google Scholar] [CrossRef]
- Kapahi, P.; Chen, D.; Rogers, A.N.; Katewa, S.D.; Li, P.W.; Thomas, E.L.; Kockel, L. With TOR, less is more: A key role for the conserved nutrient-sensing TOR pathway in aging. Cell Metab. 2010, 11, 453–465. [Google Scholar] [CrossRef]
- Shah, A.N.; Cadinu, D.; Henke, R.M.; Xin, X.; Dastidar, R.G.; Zhang, L. Deletion of a subgroup of ribosome-related genes minimizes hypoxia-induced changes and confers hypoxia tolerance. Physiol. Genom. 2011, 43, 855–872. [Google Scholar] [CrossRef]









Disclaimer/Publisher’s Note: The statements, opinions and data contained in all publications are solely those of the individual author(s) and contributor(s) and not of MDPI and/or the editor(s). MDPI and/or the editor(s) disclaim responsibility for any injury to people or property resulting from any ideas, methods, instructions or products referred to in the content. |
© 2025 by the authors. Licensee MDPI, Basel, Switzerland. This article is an open access article distributed under the terms and conditions of the Creative Commons Attribution (CC BY) license (https://creativecommons.org/licenses/by/4.0/).
Share and Cite
Maslanka, R.; Zadrag-Tecza, R. Interplay Between Ribosomal Gene Deficiency and Calorie Restriction in Shaping Yeast Biosynthetic Capacity. Cells 2025, 14, 1901. https://doi.org/10.3390/cells14231901
Maslanka R, Zadrag-Tecza R. Interplay Between Ribosomal Gene Deficiency and Calorie Restriction in Shaping Yeast Biosynthetic Capacity. Cells. 2025; 14(23):1901. https://doi.org/10.3390/cells14231901
Chicago/Turabian StyleMaslanka, Roman, and Renata Zadrag-Tecza. 2025. "Interplay Between Ribosomal Gene Deficiency and Calorie Restriction in Shaping Yeast Biosynthetic Capacity" Cells 14, no. 23: 1901. https://doi.org/10.3390/cells14231901
APA StyleMaslanka, R., & Zadrag-Tecza, R. (2025). Interplay Between Ribosomal Gene Deficiency and Calorie Restriction in Shaping Yeast Biosynthetic Capacity. Cells, 14(23), 1901. https://doi.org/10.3390/cells14231901

