Mass Spectrometry Strategies for O-Glycoproteomics
Abstract
1. Introduction
2. Glycosylation
2.1. N-Glycosylation
2.2. O-Glycosylation
3. MS Workflows for Protein Analysis
3.1. Bottom-Up MS
3.2. Top-Down MS
3.3. Middle-Down MS
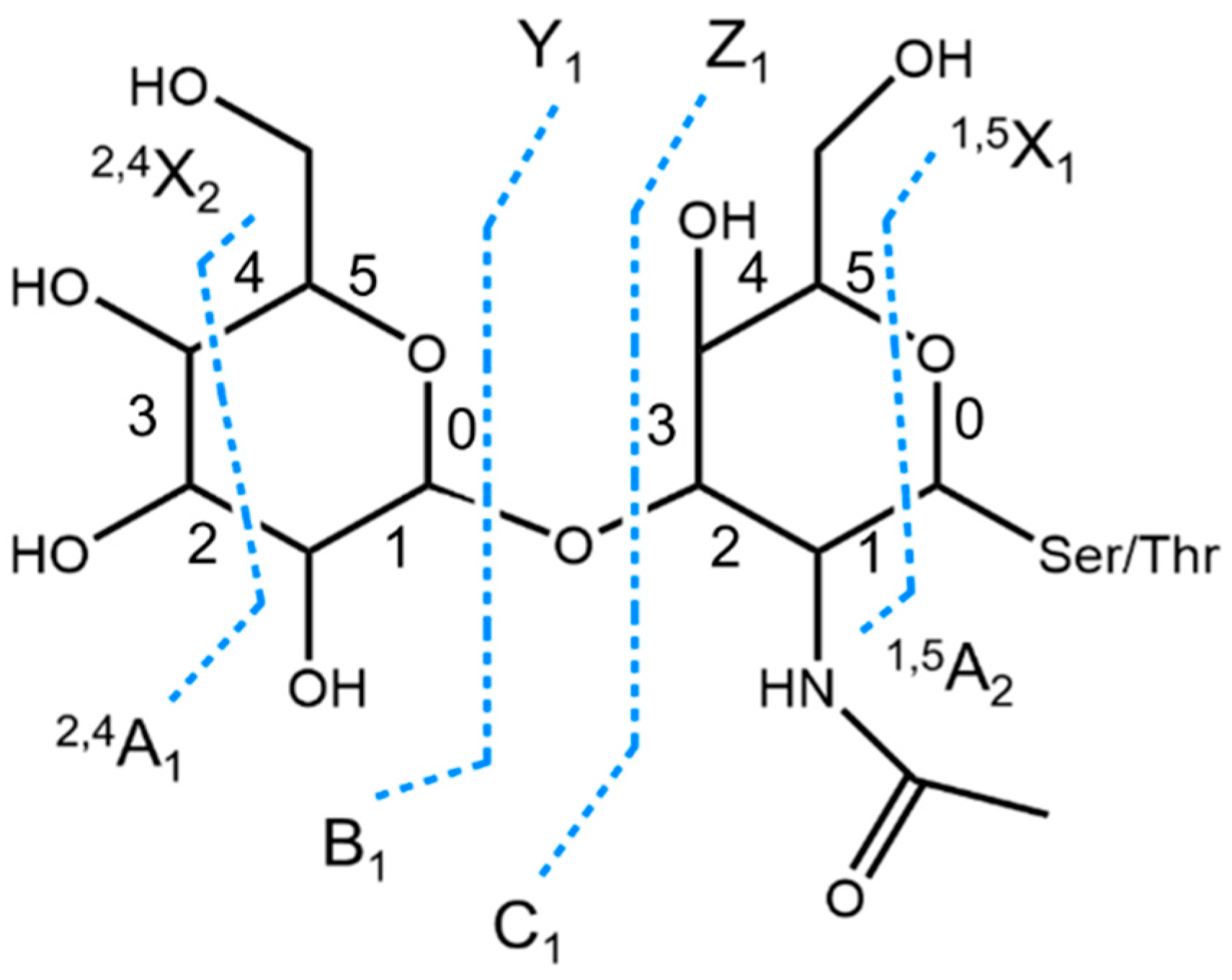
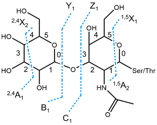
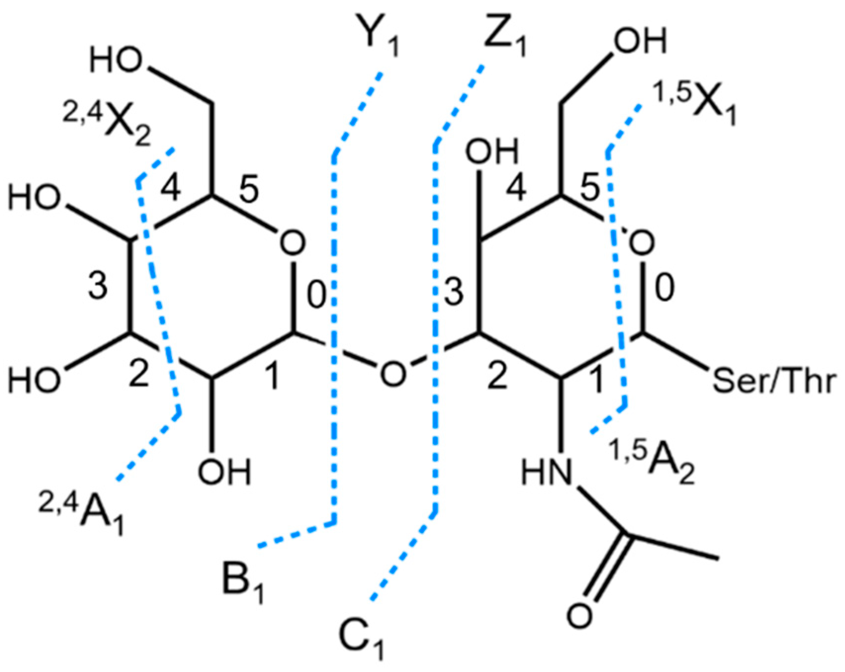
3.4. Tandem Mass Spectrometry for Glycoprotein Analysis
3.5. Collision Induced Dissociation
3.6. Electron-Based Dissociation
3.7. Ultraviolet Photodissociation
3.8. IRMPD
4. Sample Preparation and Enrichment Methods
4.1. Enzymatic Digestion of O-Glycoproteins
4.2. Enrichment Strategies
4.3. Ion Mobility Methods
5. Conclusions
Funding
Institutional Review Board Statement
Informed Consent Statement
Data Availability Statement
Conflicts of Interest
References
- Rolland, A.D.; Prell, J.S. Approaches to Heterogeneity in Native Mass Spectrometry. Chem. Rev. 2022, 122, 7909–7951. [Google Scholar] [CrossRef]
- Liu, X.R.; Zhang, M.M.; Gross, M.L. Mass Spectrometry-Based Protein Footprinting for Higher-Order Structure Analysis: Fundamentals and Applications. Chem. Rev. 2020, 120, 4355–4454. [Google Scholar] [CrossRef]
- Tamara, S.; den Boer, M.A.; Heck, A.J.R. High-Resolution Native Mass Spectrometry. Chem. Rev. 2021, 122, 7269–7326. [Google Scholar] [CrossRef]
- Shuken, S.R. An Introduction to Mass Spectrometry-Based Proteomics. J. Proteome Res. 2023, 22, 2151–2171. [Google Scholar] [CrossRef]
- Hsu, F.-F. Mass Spectrometry-Based Shotgun Lipidomics—A Critical Review from the Technical Point of View. Anal. Bioanal. Chem. 2018, 410, 6387–6409. [Google Scholar] [CrossRef]
- Züllig, T.; Köfeler, H.C. High Resolution Mass Spectrometry in Lipidomics. Mass Spectrom. Rev. 2021, 40, 162–176. [Google Scholar] [CrossRef]
- Züllig, T.; Trötzmüller, M.; Köfeler, H.C. Lipidomics from Sample Preparation to Data Analysis: A Primer. Anal. Bioanal. Chem. 2020, 412, 2191–2209. [Google Scholar] [CrossRef]
- Wu, Z.; Bagarolo, G.I.; Thoröe-Boveleth, S.; Jankowski, J. “Lipidomics”: Mass Spectrometric and Chemometric Analyses of Lipids. Adv. Drug Deliv. Rev. 2020, 159, 294–307. [Google Scholar] [CrossRef] [PubMed]
- Xu, T.; Hu, C.; Xuan, Q.; Xu, G. Recent Advances in Analytical Strategies for Mass Spectrometry-Based Lipidomics. Anal. Chim. Acta 2020, 1137, 156–169. [Google Scholar] [CrossRef] [PubMed]
- Zhang, X.-w.; Li, Q.-h.; Xu, Z.-d.; Dou, J.-j. Mass Spectrometry-Based Metabolomics in Health and Medical Science: A Systematic Review. RSC Adv. 2020, 10, 3092–3104. [Google Scholar] [CrossRef] [PubMed]
- Ren, J.-L.; Zhang, A.-H.; Kong, L.; Wang, X.-J. Advances in Mass Spectrometry-Based Metabolomics for Investigation of Metabolites. RSC Adv. 2018, 8, 22335–22350. [Google Scholar] [CrossRef]
- Bauermeister, A.; Mannochio-Russo, H.; Costa-Lotufo, L.V.; Jarmusch, A.K.; Dorrestein, P.C. Mass Spectrometry-Based Metabolomics in Microbiome Investigations. Nat. Rev. Microbiol. 2022, 20, 143–160. [Google Scholar] [CrossRef]
- Luan, H.; Wang, X.; Cai, Z. Mass Spectrometry-Based Metabolomics: Targeting the Crosstalk between Gut Microbiota and Brain in Neurodegenerative Disorders. Mass Spectrom. Rev. 2017, 38, 22–33. [Google Scholar] [CrossRef]
- Chen, Z.; Huang, J.; Li, L. Recent Advances in Mass Spectrometry (MS)-Based Glycoproteomics in Complex Biological Samples. TrAC Trends Anal. Chem. 2019, 118, 880–892. [Google Scholar] [CrossRef]
- Cipollo, J.F.; Parsons, L.M. Glycomics and Glycoproteomics of Viruses: Mass Spectrometry Applications and Insights toward Structure–Function Relationships. Mass Spectrom. Rev. 2020, 39, 371–409. [Google Scholar] [CrossRef]
- Dong, X.; Huang, Y.; Cho, B.G.; Zhong, J.; Gautam, S.; Peng, W.; Williamson, S.D.; Banazadeh, A.; Torres-Ulloa, K.Y.; Mechref, Y. Advances in Mass Spectrometry-Based Glycomics. Electrophoresis 2018, 39, 3063–3081. [Google Scholar] [CrossRef]
- Donohoo, K.B.; Wang, J.; Goli, M.; Yu, A.; Peng, W.; Hakim, M.A.; Mechref, Y. Advances in Mass Spectrometry-Based Glycomics—An Update Covering the Period 2017–2021. Electrophoresis 2021, 43, 119–142. [Google Scholar] [CrossRef] [PubMed]
- Kailemia, M.J.; Xu, G.; Wong, M.; Li, Q.; Goonatilleke, E.; Leon, F.; Lebrilla, C.B. Recent Advances in the Mass Spectrometry Methods for Glycomics and Cancer. Anal. Chem. 2017, 90, 208–224. [Google Scholar] [CrossRef] [PubMed]
- Riley, N.M.; Bertozzi, C.R.; Pitteri, S.J. A Pragmatic Guide to Enrichment Strategies for Mass Spectrometry–Based Glycoproteomics. Mol. Cell. Proteom. 2021, 20, 100029. [Google Scholar] [CrossRef] [PubMed]
- Ruhaak, L.R.; Xu, G.; Li, Q.; Goonatilleke, E.; Lebrilla, C.B. Mass Spectrometry Approaches to Glycomic and Glycoproteomic Analyses. Chem. Rev. 2018, 118, 7886–7930. [Google Scholar] [CrossRef] [PubMed]
- Yu, A.; Zhao, J.; Peng, W.; Banazadeh, A.; Williamson, S.D.; Goli, M.; Huang, Y.; Mechref, Y. Advances in Mass Spectrometry-Based Glycoproteomics. Electrophoresis 2018, 39, 3104–3122. [Google Scholar] [CrossRef] [PubMed]
- Peng, W.; Gutierrez Reyes, C.D.; Gautam, S.; Yu, A.; Cho, B.G.; Goli, M.; Donohoo, K.B.; Mondello, S.; Kobeissy, F.; Mechref, Y. MS-Based Glycomics and Glycoproteomics Methods Enabling Isomeric Characterization. Mass Spectrom. Rev. 2021, 42, 577–616. [Google Scholar] [CrossRef] [PubMed]
- Yun, B.H.; Guo, J.; Bellamri, M.; Turesky, R.J. DNA Adducts: Formation, Biological Effects, and New Biospecimens for Mass Spectrometric Measurements in Humans. Mass Spectrom. Rev. 2018, 39, 55–82. [Google Scholar] [CrossRef] [PubMed]
- Guo, J.; Turesky, R.J. Emerging Technologies in Mass Spectrometry-Based DNA Adductomics. High-Throughput 2019, 8, 13. [Google Scholar] [CrossRef] [PubMed]
- Hannauer, F.; Black, R.; Ray, A.D.; Stulz, E.; Langley, G.J.; Holman, S.W. Review of Fragmentation of Synthetic Single-Stranded Oligonucleotides by Tandem Mass Spectrometry from 2014 to 2022. Rapid Commun. Mass Spectrom. 2023, 37, e9596. [Google Scholar] [CrossRef]
- Santos, I.C.; Brodbelt, J.S. Recent Developments in the Characterization of Nucleic Acids by Liquid Chromatography, Capillary Electrophoresis, Ion Mobility, and Mass Spectrometry (2010–2020). J. Sep. Sci. 2020, 44, 340–372. [Google Scholar] [CrossRef]
- Pascale, R.; Acquavia, M.A.; Onzo, A.; Cataldi, T.R.I.; Calvano, C.D.; Bianco, G. Analysis of Surfactants by Mass Spectrometry: Coming to Grips with Their Diversity. Mass Spectrom. Rev. 2021, 42, 1557–1588. [Google Scholar] [CrossRef]
- Li, C.; Chu, S.; Tan, S.; Yin, X.; Jiang, Y.; Dai, X.; Gong, X.; Fang, X.; Tian, D. Towards Higher Sensitivity of Mass Spectrometry: A Perspective from the Mass Analyzers. Front. Chem. 2021, 9, 813359. [Google Scholar] [CrossRef]
- Brandi, J.; Noberini, R.; Bonaldi, T.; Cecconi, D. Advances in Enrichment Methods for Mass Spectrometry-Based Proteomics Analysis of Post-Translational Modifications. J. Chromatogr. A 2022, 1678, 463352. [Google Scholar] [CrossRef] [PubMed]
- Macias, L.A.; Santos, I.C.; Brodbelt, J.S. Ion Activation Methods for Peptides and Proteins. Anal. Chem. 2020, 92, 227–251. [Google Scholar] [CrossRef] [PubMed]
- Chen, C.; Hou, J.; Tanner, J.J.; Cheng, J. Bioinformatics Methods for Mass Spectrometry-Based Proteomics Data Analysis. Int. J. Mol. Sci. 2020, 21, 28873. [Google Scholar] [CrossRef]
- Noor, Z.; Ahn, S.B.; Baker, M.S.; Ranganathan, S.; Mohamedali, A. Mass Spectrometry–Based Protein Identification in Proteomics—A Review. Brief. Bioinform. 2021, 22, 1620–1638. [Google Scholar] [CrossRef]
- Meissner, F.; Geddes-McAlister, J.; Mann, M.; Bantscheff, M. The Emerging Role of Mass Spectrometry-Based Proteomics in Drug Discovery. Nat. Rev. Drug Discov. 2022, 21, 637–654. [Google Scholar] [CrossRef]
- Donnelly, D.P.; Rawlins, C.M.; DeHart, C.J.; Fornelli, L.; Schachner, L.F.; Lin, Z.; Lippens, J.L.; Aluri, K.C.; Sarin, R.; Chen, B.; et al. Best Practices and Benchmarks for Intact Protein Analysis for Top-down Mass Spectrometry. Nat. Methods 2019, 16, 587–594. [Google Scholar] [CrossRef] [PubMed]
- Zhou, M.; Lantz, C.; Brown, K.A.; Ge, Y.; Paša-Tolić, L.; Loo, J.A.; Lermyte, F. Higher-Order Structural Characterisation of Native Proteins and Complexes by Top-down Mass Spectrometry. Chem. Sci. 2020, 11, 12918–12936. [Google Scholar] [CrossRef] [PubMed]
- Brodbelt, J.S.; Morrison, L.J.; Santos, I. Ultraviolet Photodissociation Mass Spectrometry for Analysis of Biological Molecules. Chem. Rev. 2020, 120, 3328–3380. [Google Scholar] [CrossRef] [PubMed]
- Zhang, Y.; Fang, C.; Bao, H.; Yuan, W.; Lu, H. Discover the Post-Translational Modification Proteome Using Mass Spectrometry. Chin. J. Chem. 2021, 39, 550–558. [Google Scholar] [CrossRef]
- Schaffer, L.V.; Millikin, R.J.; Miller, R.M.; Anderson, L.C.; Fellers, R.T.; Ge, Y.; Kelleher, N.L.; LeDuc, R.D.; Liu, X.; Payne, S.H.; et al. Identification and Quantification of Proteoforms by Mass Spectrometry. Proteomics 2019, 19, 1800361. [Google Scholar] [CrossRef] [PubMed]
- Bashyal, A.; Brodbelt, J.S. Uncommon Posttranslational Modifications in Proteomics: ADP-Ribosylation, Tyrosine Nitration, and Tyrosine Sulfation. Mass Spectrom. Rev. 2022, 43, e21811. [Google Scholar] [CrossRef] [PubMed]
- Aslebagh, R.; Wormwood, K.L.; Channaveerappa, D.; Wetie, A.G.N.; Woods, A.G.; Darie, C.C. Identification of Posttranslational Modifications (PTMs) of Proteins by Mass Spectrometry. In Advancements of Mass Spectrometry in Biomedical Research; Advances in Experimental Medicine and Biology; Springer: Berlin/Heidelberg, Germany, 2019; Volume 1140. [Google Scholar]
- Yakubu, R.R.; Nieves, E.; Weiss, L.M. The Methods Employed in Mass Spectrometric Analysis of Posttranslational Modifications (PTMs) and Protein–Protein Interactions (PPIs). In Advancements of Mass Spectrometry in Biomedical Research; Advances in Experimental Medicine and Biology; Springer: Berlin/Heidelberg, Germany, 2019; Volume 1140, pp. 169–198. [Google Scholar]
- Brodbelt, J.S. Deciphering Combinatorial Post-Translational Modifications by Top-down Mass Spectrometry. Curr. Opin. Chem. Biol. 2022, 70, 102180. [Google Scholar] [CrossRef] [PubMed]
- Rebak, A.S.; Hendriks, I.A.; Nielsen, M.L. Characterizing Citrullination by Mass Spectrometry-Based Proteomics. Philos. Trans. R. Soc. B 2023, 378, 20220237. [Google Scholar] [CrossRef] [PubMed]
- Fu, S.; Fu, C.; Zhou, Q.; Lin, R.; Ouyang, H.; Wang, M.; Sun, Y.; Liu, Y.; Zhao, Y. Widespread Arginine Phosphorylation in Human Cells—A Novel Protein PTM Revealed by Mass Spectrometry. Sci. China Chem. 2020, 63, 341–346. [Google Scholar] [CrossRef]
- Olzscha, H. Posttranslational Modifications and Proteinopathies: How Guardians of the Proteome Are Defeated. Biol. Chem. 2019, 400, 895–915. [Google Scholar] [CrossRef] [PubMed]
- Kang, J.; Seshadri, M.; Cupp-Sutton, K.A.; Wu, S. Toward the Analysis of Functional Proteoforms Using Mass Spectrometry-Based Stability Proteomics. Front. Anal. Sci. 2023, 3, 1186623. [Google Scholar] [CrossRef]
- Lee, J.-M.; Hammarén, H.M.; Savitski, M.M.; Baek, S.-H. Control of Protein Stability by Post-Translational Modifications. Nat. Commun. 2023, 14, 201. [Google Scholar] [CrossRef] [PubMed]
- Tikhonov, D.; Kulikova, L.; Kopylov, A.; Malsagova, K.; Stepanov, A.; Rudnev, V.; Kaysheva, A. Super Secondary Structures of Proteins with Post-Translational Modifications in Colon Cancer. Molecules 2020, 25, 3144. [Google Scholar] [CrossRef] [PubMed]
- Sun, F.; Suttapitugsakul, S.; Xiao, H.; Wu, R. Comprehensive Analysis of Protein Glycation Reveals Its Potential Impacts on Protein Degradation and Gene Expression in Human Cells. J. Am. Soc. Mass Spectrom. 2019, 30, 2480–2490. [Google Scholar] [CrossRef]
- Pan, S.; Chen, R. Pathological Implication of Protein Post-Translational Modifications in Cancer. Mol. Asp. Med. 2022, 86, 101097. [Google Scholar] [CrossRef]
- Thomas, S.P.; Haws, S.A.; Borth, L.E.; Denu, J.M. A Practical Guide for Analysis of Histone Post-Translational Modifications by Mass Spectrometry: Best Practices and Pitfalls. Methods 2020, 184, 53–60. [Google Scholar] [CrossRef]
- Li, Y.; Zhang, R.; Hei, H. Advances in Post-Translational Modifications of Proteins and Cancer Immunotherapy. Front. Immunol. 2023, 14, 1229397. [Google Scholar] [CrossRef] [PubMed]
- Thomas, D.; Rathinavel, A.K.; Radhakrishnan, P. Altered Glycosylation in Cancer: A Promising Target for Biomarkers and Therapeutics. Biochim. Biophys. Acta (BBA) Rev. Cancer 2021, 1875, 188464. [Google Scholar] [CrossRef]
- Costa, A.F.; Campos, D.; Reis, C.A.; Gomes, C. Targeting Glycosylation: A New Road for Cancer Drug Discovery. Trends Cancer 2020, 6, 757–766. [Google Scholar] [CrossRef]
- Varki, A. Biological Roles of Glycans. Glycobiology 2017, 27, 3–49. [Google Scholar] [CrossRef] [PubMed]
- Pereira, M.S.; Alves, I.; Vicente, M.; Campar, A.; Silva, M.C.; Padrão, N.A.; Pinto, V.; Fernandes, Â.; Dias, A.M.; Pinho, S.S. Glycans as Key Checkpoints of T Cell Activity and Function. Front. Immunol. 2018, 9, 2754. [Google Scholar] [CrossRef] [PubMed]
- Tang, F.; Zhou, M.; Qin, K.; Shi, W.; Yashinov, A.; Yang, Y.; Yang, L.; Guan, D.; Zhao, L.; Tang, Y.; et al. Selective N-Glycan Editing on Living Cell Surfaces to Probe Glycoconjugate Function. Nat. Chem. Biol. 2020, 16, 766–775. [Google Scholar] [CrossRef] [PubMed]
- Gao, Y.; Luan, X.; Melamed, J.; Brockhausen, I. Role of Glycans on Key Cell Surface Receptors That Regulate Cell Proliferation and Cell Death. Cells 2021, 10, 1252. [Google Scholar] [CrossRef] [PubMed]
- Schjoldager, K.T.; Narimatsu, Y.; Joshi, H.J.; Clausen, H. Global View of Human Protein Glycosylation Pathways and Functions. Nat. Rev. Mol. Cell Biol. 2020, 21, 729–749. [Google Scholar] [CrossRef] [PubMed]
- Thompson, A.J.; de Vries, R.P.; Paulson, J.C. Virus Recognition of Glycan Receptors. Curr. Opin. Virol. 2019, 34, 117–129. [Google Scholar] [CrossRef] [PubMed]
- Li, Y.; Liu, D.; Wang, Y.; Su, W.; Liu, G.; Dong, W. The Importance of Glycans of Viral and Host Proteins in Enveloped Virus Infection. Front. Immunol. 2021, 12, 638573. [Google Scholar] [CrossRef]
- Kuribara, T.; Totani, K. Structural Insights into N-Linked Glycan-Mediated Protein Folding from Chemical and Biological Perspectives. Curr. Opin. Struct. Biol. 2021, 68, 41–47. [Google Scholar] [CrossRef]
- Suzuki, T.; Cummings, R.D.; Aebi, M.; Parodi, A. Glycans in Glycoprotein Quality Control. In Essentials of Glycobiology; Cold Spring Harbor Laboratory Press: Cold Spring Harbor, NY, USA, 2022. [Google Scholar]
- Valverde, P.; Ardá, A.; Reichardt, N.-C.; Jiménez-Barbero, J.; Gimeno, A. Glycans in Drug Discovery. Med. Chem. Commun. 2019, 10, 1678–1691. [Google Scholar] [CrossRef]
- Johannes, L.; Shafaq-Zadah, M.; Dransart, E.; Wunder, C.; Leffler, H. Endocytic Roles of Glycans on Proteins and Lipids. Cold Spring Harb. Perspect. Biol. 2023, 16, a041398. [Google Scholar] [CrossRef] [PubMed]
- Reily, C.; Stewart, T.J.; Renfrow, M.B.; Novak, J. Glycosylation in Health and Disease. Nat. Rev. Nephrol. 2019, 15, 346–366. [Google Scholar] [CrossRef] [PubMed]
- Li, J.; Guo, B.; Zhang, W.; Yue, S.; Huang, S.; Gao, S.; Ma, J.; Cipollo, J.F.; Yang, S. Recent Advances in Demystifying O-Glycosylation in Health and Disease. Proteomics 2022, 22, 2200156. [Google Scholar] [CrossRef]
- Chernykh, A.; Kawahara, R.; Thaysen-Andersen, M. Towards Structure-Focused Glycoproteomics. Biochem. Soc. Trans. 2021, 49, 161–186. [Google Scholar] [CrossRef] [PubMed]
- Doud, E.H.; Yeh, E.S. Mass Spectrometry-Based Glycoproteomic Workflows for Cancer Biomarker Discovery. Technol. Cancer Res. Treat. 2023, 22, 15330338221148811. [Google Scholar] [CrossRef]
- Struwe, W.B.; Robinson, C.V. Relating Glycoprotein Structural Heterogeneity to Function—Insights from Native Mass Spectrometry. Curr. Opin. Struct. Biol. 2019, 58, 241–248. [Google Scholar] [CrossRef]
- Wu, D.; Robinson, C.V. Understanding Glycoprotein Structural Heterogeneity and Interactions: Insights from Native Mass Spectrometry. Curr. Opin. Struct. Biol. 2022, 74, 102351. [Google Scholar] [CrossRef]
- Stanley, P.; Moremen, K.W.; Lewis, N.E.; Taniguchi, N.; Aebi, M. N-Glycans. In Essentials of Glycobiology; Cold Spring Harbor Laboratory Press: Cold Spring Harbor, NY, USA, 2022. [Google Scholar]
- Brockhausen, I.; Wandall, H.H.; Ten Hagen, K.G.; Stanley, P. O-GalNAc Glycans. In Essentials of Glycobiology; Cold Spring Harbor Laboratory Press: Cold Spring Harbor, NY, USA, 2022. [Google Scholar]
- Ghosh, T.; Nokami, T. Recent Development of Stereoselective C-Glycosylation via Generation of Glycosyl Radical. Carbohydr. Res. 2022, 522, 108677. [Google Scholar] [CrossRef]
- Stepper, J.; Shastri, S.; Loo, T.S.; Preston, J.C.; Novak, P.; Man, P.; Moore, C.H.; Havlíček, V.; Patchett, M.L.; Norris, G.E. Cysteine S-Glycosylation, a New Post-Translational Modification Found in Glycopeptide Bacteriocins. FEBS Lett. 2011, 585, 645–650. [Google Scholar] [CrossRef]
- Wan, L.-Q.; Zhang, X.; Zou, Y.; Shi, R.; Cao, J.-G.; Xu, S.-Y.; Deng, L.-F.; Zhou, L.; Gong, Y.; Shu, X.; et al. Nonenzymatic Stereoselective S-Glycosylation of Polypeptides and Proteins. J. Am. Chem. Soc. 2021, 143, 11919–11926. [Google Scholar] [CrossRef]
- Esmail, S.; Manolson, M.F. Advances in Understanding N-Glycosylation Structure, Function, and Regulation in Health and Disease. Eur. J. Cell Biol. 2021, 100, 151186. [Google Scholar] [CrossRef]
- Wandall, H.H.; Nielsen, M.A.I.; King-Smith, S.; de Haan, N.; Bagdonaite, I. Global Functions of O-Glycosylation: Promises and Challenges in O-Glycobiology. FEBS J. 2021, 288, 7183–7212. [Google Scholar] [CrossRef]
- Ma, J.; Wu, C.; Hart, G.W. Analytical and Biochemical Perspectives of Protein O-GlcNAcylation. Chem. Rev. 2021, 121, 1513–1581. [Google Scholar] [CrossRef] [PubMed]
- Oliveira, T.; Thaysen-Andersen, M.; Packer, N.H.; Kolarich, D. The Hitchhiker’s Guide to Glycoproteomics. Biochem. Soc. Trans. 2021, 49, 1643–1662. [Google Scholar] [CrossRef]
- Koff, M.; Monagas-Valentin, P.; Novikov, B.; Chandel, I.; Panin, V. Protein O-Mannosylation: One Sugar, Several Pathways, Many Functions. Glycobiology 2023, 33, 911–926. [Google Scholar] [CrossRef]
- Li, Z.; Chai, W. Mucin O-Glycan Microarrays. Curr. Opin. Struct. Biol. 2019, 56, 187–197. [Google Scholar] [CrossRef] [PubMed]
- Cervoni, G.E.; Cheng, J.J.; Stackhouse, K.A.; Heimburg-Molinaro, J.; Cummings, R.D. O-Glycan Recognition and Function in Mice and Human Cancers. Biochem. J. 2020, 477, 1541–1564. [Google Scholar] [CrossRef] [PubMed]
- Wilkinson, H.; Saldova, R. Current Methods for the Characterization of O-Glycans. J. Proteome Res. 2020, 19, 3890–3905. [Google Scholar] [CrossRef]
- Bagdonaite, I.; Pallesen, E.M.H.; Nielsen, M.I.; Bennett, E.P.; Wandall, H.H. Mucin-Type O-GalNAc Glycosylation in Health and Disease. In The Role of Glycosylation in Health and Disease; Advances in Experimental Medicine and Biology; Springer: Berlin/Heidelberg, Germany, 2021; Volume 1325, pp. 25–60. [Google Scholar]
- de Haan, N.; Yang, S.; Cipollo, J.; Wuhrer, M. Glycomics Studies Using Sialic Acid Derivatization and Mass Spectrometry. Nat. Rev. Chem. 2020, 4, 229–242. [Google Scholar] [CrossRef]
- Hansen, J.E.; Lund, O.; Tolstrup, N.; Gooley, A.A.; Williams, K.L.; Brunak, S. NetOglyc: Prediction of Mucin Type O-Glycosylation Sites Based on Sequence Context and Surface Accessibility. Glycoconj. J. 1998, 15, 115–130. [Google Scholar] [CrossRef] [PubMed]
- Rangel-Angarita, V.; Malaker, S.A. Mucinomics as the Next Frontier of Mass Spectrometry. ACS Chem. Biol. 2021, 16, 1866–1883. [Google Scholar] [CrossRef] [PubMed]
- Polasky, D.A.; Nesvizhskii, A.I. Recent Advances in Computational Algorithms and Software for Large-Scale Glycoproteomics. Curr. Opin. Chem. Biol. 2023, 72, 102238. [Google Scholar] [CrossRef] [PubMed]
- Lu, L.; Riley, N.M.; Shortreed, M.R.; Bertozzi, C.R.; Smith, L.M. O-Pair Search with MetaMorpheus for O-Glycopeptide Characterization. Nat. Meth. 2020, 17, 1133–1138. [Google Scholar] [CrossRef]
- Berger, R.P.; Dookwah, M.; Steet, R.; Dalton, S. Glycosylation and Stem Cells: Regulatory Roles and Application of iPSCs in the Study of Glycosylation-Related Disorders. BioEssays 2016, 38, 1255–1265. [Google Scholar] [CrossRef] [PubMed]
- van Kooyk, Y.; Rabinovich, G.A. Protein-Glycan Interactions in the Control of Innate and Adaptive Immune Responses. Nat. Immunol. 2008, 9, 593–601. [Google Scholar] [CrossRef]
- Magalhães, A.; Duarte, H.O.; Reis, C.A. The Role of O-Glycosylation in Human Disease. Mol. Asp. Med. 2021, 79, 100964. [Google Scholar] [CrossRef]
- Li, X.; Iv, P.; Du, Y.; Chen, X.; Liu, C. Emerging Roles of O-Glycosylation in Regulating Protein Aggregation, Phase Separation, and Functions. Curr. Opin. Chem. Biol. 2023, 75, 102314. [Google Scholar] [CrossRef]
- Delobel, A. Glycosylation of Therapeutic Proteins: A Critical Quality Attribute. In Mass Spectrometry of Glycoproteins; Methods in Molecular Biology; Humana: New York, NY, USA, 2021; Volume 2271, pp. 1–21. [Google Scholar]
- Thompson, N.; Wakarchuk, W. O-Glycosylation and Its Role in Therapeutic Proteins. Biosci. Rep. 2022, 42, BSR20220094. [Google Scholar] [CrossRef]
- Oh, M.-J.; Kim, U.; Kim, S.; Cho, D.-S.; Seo, J.-A.; Seo, N.; An, H.-J. Equivalence Assessment of Biotherapeutics with N- and O-Glycosylation Sites by Sequential Intact Glycoform Mass Spectrometry (IGMS). J. Pharm. Biomed. Anal. 2023, 234, 115558. [Google Scholar] [CrossRef]
- Bagdonaite, I.; Malaker, S.A.; Polasky, D.A.; Riley, N.M.; Schjoldager, K.T.; Vakhrushev, S.Y.; Halim, A.; Aoki-Kinoshita, K.F.; Nesvizhskii, A.I.; Bertozzi, C.R.; et al. Glycoproteomics. Nat. Rev. Methods Prim. 2022, 2, 48. [Google Scholar] [CrossRef]
- Bagdonaite, I.; Wandall, H.H. Global Aspects of Viral Glycosylation. Glycobiology 2018, 28, 443–467. [Google Scholar] [CrossRef] [PubMed]
- Xiao, H.; Sun, F.; Suttapitugsakul, S.; Wu, R. Global and Site-Specific Analysis of Protein Glycosylation in Complex Biological Systems with Mass Spectrometry. Mass Spectrom. Rev. 2019, 38, 356–379. [Google Scholar] [CrossRef] [PubMed]
- Khoo, K.-H. Advances toward Mapping the Full Extent of Protein Site-Specific O-GalNAc Glycosylation That Better Reflects Underlying Glycomic Complexity. Curr. Opin. in Struc. Biol. 2019, 56, 146–154. [Google Scholar] [CrossRef] [PubMed]
- Xu, Y.; Zhang, H. Putting the Pieces Together: Mapping the O-Glycoproteome. Curr. Opin. Biotechnol. 2021, 71, 130–136. [Google Scholar] [CrossRef] [PubMed]
- Ye, Z.; Vakhrushev, S.Y. The Role of Data-Independent Acquisition for Glycoproteomics. Mol. Cell Proteo. 2021, 20, 100042. [Google Scholar] [CrossRef] [PubMed]
- Dupree, E.J.; Jayathirtha, M.; Yorkey, H.; Mihasan, M.; Petre, B.A.; Darie, C.C. A Critical Review of Bottom-Up Proteomics: The Good, the Bad, and the Future of This Field. Proteomes 2020, 8, 14. [Google Scholar] [CrossRef]
- Miller, R.M.; Smith, L.M. Overview and Considerations in Bottom-up Proteomics. Analyst 2023, 148, 475–486. [Google Scholar] [CrossRef]
- Duong, V.-A.; Lee, H. Bottom-Up Proteomics: Advancements in Sample Preparation. Int. J. Mol. Sci. 2023, 24, 5350. [Google Scholar] [CrossRef]
- Chang, D.; Zaia, J. Methods to Improve Quantitative Glycoprotein Coverage from Bottom-up LC-MS Data. Mass Spectrom. Rev. 2021, 41, 922–937. [Google Scholar] [CrossRef]
- Suttapitugsakul, S.; Sun, F.; Wu, R. Recent Advances in Glycoproteomic Analysis by Mass Spectrometry. Anal. Chem. 2020, 92, 267–291. [Google Scholar] [CrossRef] [PubMed]
- Gutierrez Reyes, C.D.; Jiang, P.; Atashi, M.; Bennett, A.; Yu, A.; Peng, W.; Zhong, J.; Mechref, Y. Advances in Mass Spectrometry-Based Glycoproteomics: An Update Covering the Period 2017–2021. Electrophoresis 2021, 43, 370–387. [Google Scholar] [CrossRef]
- Madsen, J.A.; Farutin, V.; Lin, Y.-Y.; Smith, S.; Capila, I. Data-Independent Oxonium Ion Profiling of Multi-Glycosylated Biotherapeutics. mAbs 2018, 10, 968–978. [Google Scholar] [CrossRef] [PubMed]
- Park, S.; Kuo, J.C.-H.; Reesink, H.L.; Paszek, M.J. Recombinant Mucin Biotechnology and Engineering. Adv. Drug Deliv. Rev. 2023, 193, 114618. [Google Scholar] [CrossRef] [PubMed]
- Yang, Y.; Franc, V.; Heck, A.J.R. Glycoproteomics: A Balance between High-Throughput and In-Depth Analysis. Trends Biotechnol. 2017, 35, 598–609. [Google Scholar] [CrossRef] [PubMed]
- Pallister, E.G.; Choo, M.S.F.; Walsh, I.; Tai, J.-N.; Tay, S.-J.; Yang, Y.-S.; Ng, S.-K.; Rudd, P.M.; Flitsch, S.L.; Nguyen-Khuong, T. Utility of Ion-Mobility Spectrometry for Deducing Branching of Multiply Charged Glycans and Glycopeptides in a High-Throughput Positive Ion LC-FLR-IMS-MS Workflow. Anal. Chem. 2020, 92, 15323–15335. [Google Scholar] [CrossRef]
- Struwe, W.B.; Harvey, D.J. Ion Mobility-Mass Spectrometry of Glycoconjugates. Ion Mobil.-Mass Spectrom. 2020, 2084, 203–219. [Google Scholar] [CrossRef]
- Pathak, P.; Baird, M.A.; Shvartsburg, A.A. High-Resolution Ion Mobility Separations of Isomeric Glycoforms with Variations on the Peptide and Glycan Levels. J. Am. Soc. Mass Spectrom. 2020, 31, 1603–1609. [Google Scholar] [CrossRef]
- Nalehua, M.R.; Zaia, J. Measuring Change in Glycoprotein Structure. Curr. Opin. Struct. Biol. 2022, 74, 102371. [Google Scholar] [CrossRef]
- Yang, W.; Shah, P.; Hu, Y.; Eshghi, S.T.; Sun, S.; Liu, Y.; Zhang, H. Comparison of Enrichment Methods for Intact N- and O-Linked Glycopeptides Using Strong Anion Exchange and Hydrophilic Interaction Liquid Chromatography. Anal. Chem. 2017, 89, 11193–11197. [Google Scholar] [CrossRef] [PubMed]
- Ashwood, C.; Lin, C.-H.; Thaysen-Andersen, M.; Packer, N.H. Discrimination of Isomers of Released N- and O-Glycans Using Diagnostic Product Ions in Negative Ion PGC-LC-ESI-MS/MS. J. Am. Soc. Mass Spectrom. 2018, 29, 1194–1209. [Google Scholar] [CrossRef]
- Domínguez-Vega, E.; Tengattini, S.; Peintner, C.; van Angeren, J.; Temporini, C.; Haselberg, R.; Massolini, G.; Somsen, G.W. High-Resolution Glycoform Profiling of Intact Therapeutic Proteins by Hydrophilic Interaction Chromatography-Mass Spectrometry. Talanta 2018, 184, 375–381. [Google Scholar] [CrossRef]
- Molnarova, K.; Cokrtova, K.; Tomnikova, A.; Krizek, T.; Kozlik, P. Liquid Chromatography and Capillary Electrophoresis in Glycomic and Glycoproteomic Analysis. Monatshefte Chem. 2022, 153, 659–686. [Google Scholar] [CrossRef]
- Cioce, A.; Malaker, S.A.; Schumann, B. Generating Orthogonal Glycosyltransferase and Nucleotide Sugar Pairs as Next-Generation Glycobiology Tools. Curr. Opin. Chem. Biol. 2021, 60, 66–78. [Google Scholar] [CrossRef]
- Dodds, J.N.; Baker, E.S. Ion Mobility Spectrometry: Fundamental Concepts, Instrumentation, Applications, and the Road Ahead. J. Am. Soc. Mass Spectrom. 2019, 30, 2185–2195. [Google Scholar] [CrossRef]
- Gabelica, V.; Marklund, E. Fundamentals of Ion Mobility Spectrometry. Curr. Opin. Chem. Biol. 2018, 42, 51–59. [Google Scholar] [CrossRef] [PubMed]
- Habeck, T.; Lermyte, F. Seeing the Complete Picture: Proteins in Top-down Mass Spectrometry. Essays Biochem. 2023, 67, 283–300. [Google Scholar] [CrossRef] [PubMed]
- Brown, K.A.; Melby, J.A.; Roberts, D.S.; Ge, Y. Top-down Proteomics: Challenges, Innovations, and Applications in Basic and Clinical Research. Expert Rev. Proteom. 2020, 17, 719–733. [Google Scholar] [CrossRef] [PubMed]
- Cupp-Sutton, K.A.; Wu, S. High-Throughput Quantitative Top-down Proteomics. Mol. Omics 2020, 16, 91–99. [Google Scholar] [CrossRef] [PubMed]
- Cai, W.; Zhang, J.; de Lange, W.J.; Gregorich, Z.R.; Karp, H.; Farrell, E.T.; Mitchell, S.D.; Tucholski, T.; Lin, Z.; Biermann, M.; et al. An Unbiased Proteomics Method to Assess the Maturation of Human Pluripotent Stem Cell–Derived Cardiomyocytes. Circ. Res. 2019, 125, 936–953. [Google Scholar] [CrossRef] [PubMed]
- Tucholski, T.; Cai, W.; Gregorich, Z.R.; Bayne, E.F.; Mitchell, S.D.; McIlwain, S.J.; de Lange, W.J.; Wrobbel, M.; Karp, H.; Hite, Z.; et al. Distinct Hypertrophic Cardiomyopathy Genotypes Resultin Convergent Sarcomeric Proteoform Profiles Revealed by Top-down Proteomics. Proc. Natl. Acad. Sci. USA 2020, 117, 24691–24700. [Google Scholar] [CrossRef] [PubMed]
- Melby, J.A.; Roberts, D.S.; Larson, E.J.; Brown, K.A.; Bayne, E.F.; Jin, S.; Ge, Y. Novel Strategies to Address the Challenges in Top-Down Proteomics. J. Am. Soc. Mass Spectrom. 2021, 32, 1278–1294. [Google Scholar] [CrossRef] [PubMed]
- Toby, T.K.; Fornelli, L.; Kelleher, N.L. Progress in Top-Down Proteomics and the Analysis of Proteoforms. Annu. Rev. Anal. Chem. 2016, 9, 499–519. [Google Scholar] [CrossRef] [PubMed]
- Roberts, D.S.; Mann, M.; Melby, J.A.; Larson, E.J.; Zhu, Y.; Brasier, A.R.; Jin, S.; Ge, Y. Structural O-Glycoform Heterogeneity of the SARS-CoV-2 Spike Protein Receptor-Binding Domain Revealed by Top-Down Mass Spectrometry. J. Am. Chem. Soc. 2021, 143, 12014–12024. [Google Scholar] [CrossRef] [PubMed]
- Roberts, D.S.; Mann, M.; Li, B.H.; Kim, D.; Braiser, A.R.; Jin, S.; Ge, Y. Distinct Core Glycan and O-Glycoform Utilization of SARS-CoV-2 Omicron Variant Spike Protein RBD Revealed by Top-down Mass Spectrometry. Chem. Sci. 2022, 13, 10944–10949. [Google Scholar] [CrossRef]
- Lin, Y.-H.; Franc, V.; Heck, A.J.R. Similar Albeit Not the Same: In-Depth Analysis of Proteoforms of Human Serum, Bovine Serum, and Recombinant Human Fetuin. J. Proteome Res. 2018, 17, 2861–2869. [Google Scholar] [CrossRef]
- Wohlschlager, T.; Scheffler, K.; Forstenlehner, I.C.; Skala, W.; Senn, S.; Damoc, E.; Holzmann, J.; Huber, C.G. Native Mass Spectrometry Combined with Enzymatic Dissection Unravels Glycoform Heterogeneity of Biopharmaceuticals. Nat. Commun. 2018, 9, 1713. [Google Scholar] [CrossRef]
- Shajahan, A.; Pepi, L.E.; Kumar, B.; Murray, N.B.; Azadi, P. Site specific N- and O-glycosylation mapping of the spike proteins of SARS-CoV-2 variants of concern. Sci. Rep. 2023, 13, 10053. [Google Scholar] [CrossRef]
- Urakami, S.; Hinou, H. Direct MALDI Glycotyping of Glycoproteins toward Practical Subtyping of Biological Samples. ACS Omega 2022, 7, 39280–39286. [Google Scholar] [CrossRef]
- Nicolardi, S.; Danuser, R.; Dotz, V.; Domínguez-Vega, E.; Kaabi, A.A.; Beurret, M.; Anish, C. Glycan and Protein Analysis of Glycoengineered Bacterial E. coli Vaccines by MALDI-in-Source Decay FT-ICR Mass Spectrometry. Anal. Chem. 2022, 94, 4979–4987. [Google Scholar] [CrossRef]
- Pandeswari, P.B.; Sabareesh, V. Middle-down Approach: A Choice to Sequence and Characterize Proteins/Proteomes by Mass Spectrometry. RSC Adv. 2019, 9, 313–344. [Google Scholar] [CrossRef]
- Yang, Y.; Liu, F.; Franc, V.; Halim, L.A.; Schellekens, H.; Heck, A.J.R. Hybrid Mass Spectrometry Approaches in Glycoprotein Analysis and Their Usage in Scoring Biosimilarity. Nat. Commun. 2016, 7, 13397. [Google Scholar] [CrossRef]
- Resemann, A.; Jabs, W.; Wiechmann, A.; Wagner, E.; Colas, O.; Evers, W.; Belau, E.; Vorwerg, L.; Evans, C.; Beck, A.; et al. Full Validation of Therapeutic Antibody Sequences by Middle-up Mass Measurements and Middle-down Protein Sequencing. mAbs 2016, 8, 318–330. [Google Scholar] [CrossRef] [PubMed]
- Fornelli, L.; Srzentić, K.; Huguet, R.; Mullen, C.; Sharma, S.; Zabrouskov, V.; Fellers, R.T.; Durbin, K.R.; Compton, P.D.; Kelleher, N.L. Accurate Sequence Analysis of a Monoclonal Antibody by Top-Down and Middle-Down Orbitrap Mass Spectrometry Applying Multiple Ion Activation Techniques. Anal. Chem. 2018, 90, 8421–8429. [Google Scholar] [CrossRef] [PubMed]
- van der Burgt, Y.E.M.; Kilgour, D.P.A.; Tsybin, Y.O.; Srzentić, K.; Fornelli, L.; Beck, A.; Wuhrer, M.; Nicolardi, S. Structural Analysis of Monoclonal Antibodies by Ultrahigh Resolution MALDI In-Source Decay FT-ICR Mass Spectrometry. Anal. Chem. 2019, 91, 2079–2085. [Google Scholar] [CrossRef] [PubMed]
- Wells, J.M.; McLuckey, S.A. Collision-Induced Dissociation (CID) of Peptides and Proteins. Methods Enzymol. 2005, 402, 148–185. [Google Scholar] [CrossRef] [PubMed]
- Révész, Á.; Hevér, H.; Steckel, A.; Schlosser, G.; Szabó, D.; Vékey, K.; Drahos, L. Collision Energies: Optimization Strategies for Bottom-up Proteomics. Mass Spectrom. Rev. 2021, 42, 1261–1299. [Google Scholar] [CrossRef] [PubMed]
- Fouque, K.J.D.; Miller, S.A.; Pham, K.; Bhanu, N.V.; Cintron-Diaz, Y.L.; Leyva, D.; Kaplan, D.; Voinov, V.G.; Ridgeway, M.E.; Park, M.A.; et al. Top-“Double-Down” Mass Spectrometry of Histone H4 Proteoforms: Tandem Ultraviolet-Photon and Mobility/Mass-Selected Electron Capture Dissociations. Anal. Chem. 2022, 94, 15377–15385. [Google Scholar] [CrossRef] [PubMed]
- Kelly, M.I.; Dodds, E.D. Parallel Determination of Polypeptide and Oligosaccharide Connectivities by Energy-Resolved Collison-Induced Dissociation of Protonated O-Glycopeptides Derived from Nonspecific Proteolysis. J. Am. Soc. Mass Spectrom. 2020, 31, 624–632. [Google Scholar] [CrossRef] [PubMed]
- de Haan, N.; Pučić-Baković, M.; Novokmet, M.; Falck, D.; Lageveen-Kammeijer, G.S.M.; Razdorov, G.; Vučković, F.; Trbojević-Akmačić, I.; Gornik, O.; Hanić, M.; et al. Developments and Perspectives in High-Throughput Protein Glycomics: Enabling the Analysis of Thousands of Samples. Glycobiology 2022, 32, 651–663. [Google Scholar] [CrossRef]
- Rudd, P.M.; Karlsson, N.G.; Khoo, K.-H.; Thaysen-Andersen, M.; Wells, L. Chapter 51 Glycomics and Glycoproteomics. In Essentials of Glycobiology; Cold Spring Harbor Laboratory Press: Cold Spring Harbor, NY, USA, 2022. [Google Scholar]
- Liew, C.Y.; Luo, H.-S.; Yang, T.-Y.; Hung, A.-T.; Magoling, B.J.A.; Lai, C.P.-K.; Ni, C.-K. Identification of the High Mannose N-Glycan Isomers Undescribed by Conventional Multicellular Eukaryotic Biosynthetic Pathways. Anal. Chem. 2023, 95, 8789–8797. [Google Scholar] [CrossRef]
- Fang, P.; Ji, Y.; Oellerich, T.; Urlaub, H.; Pan, K.-T. Strategies for Proteome-Wide Quantification of Glycosylation Macro- and Micro-Heterogeneity. Int. J. Mol. Sci. 2022, 23, 1609. [Google Scholar] [CrossRef]
- Darula, Z.; Medzihradszky, K.F. Analysis of Mammalian O-Glycopeptides—We Have Made a Good Start, but There Is a Long Way to Go. Mol. Cell. Proteom. 2018, 17, 2–17. [Google Scholar] [CrossRef]
- White, M.E.H.; Sinn, L.R.; Jones, D.M.; de Folter, J.; Aulakh, S.K.; Wang, Z.; Flynn, H.R.; Krüger, L.; Tober-Lau, P.; Demichev, V.; et al. Oxonium Ion Scanning Mass Spectrometry for Large-Scale Plasma Glycoproteomics. Nat. Biomed. Eng. 2023. [Google Scholar] [CrossRef]
- Cao, Q.; Yu, Q.; Liu, Y.; Chen, Z.; Li, L. Signature-Ion Triggered Mass Spectrometry Approach Enabled Discovery of N- and O-Linked Glycosylated Neuropeptides in the Crustacean Nervous System. J. Proteome Res. 2020, 19, 634–643. [Google Scholar] [CrossRef]
- Yang, W.; Tian, E.; Chernish, A.; Tabak, L.A. Quantitative Mapping of the in Vivo O-GalNAc Glycoproteome in Mouse Tissues Identifies GalNAc-T2 O-Glycosites in Metabolic Disorder. Proc. Natl. Acad. Sci. USA 2023, 120, e2303703120. [Google Scholar] [CrossRef] [PubMed]
- Riley, N.M.; Malaker, S.A.; Bertozzi, C.R. Electron-Based Dissociation Is Needed for O-Glycopeptides Derived from OpeRATOR Proteolysis. Anal. Chem. 2020, 92, 14878–14884. [Google Scholar] [CrossRef] [PubMed]
- Yang, H.; Yang, C.; Sun, T. Characterization of Glycopeptides Using a Stepped Higher-Energy C-Trap Dissociation Approach on a Hybrid Quadrupole Orbitrap. Rapid Commun. Mass Spectrom. 2018, 32, 1353–1362. [Google Scholar] [CrossRef] [PubMed]
- Sanda, M.; Morrison, L.; Goldman, R. N- and O-Glycosylation of the SARS-CoV-2 Spike Protein. Anal. Chem. 2021, 93, 2003–2009. [Google Scholar] [CrossRef] [PubMed]
- Tian, W.; Li, D.; Zhang, N.; Bai, G.; Yuan, K.; Xiao, H.; Gao, F.; Chen, Y.; Wong, C.C.L.; Gao, G.F. O-Glycosylation Pattern of the SARS-CoV-2 Spike Protein Reveals an “O-Follow-N” Rule. Cell Res. 2021, 31, 1123–1125. [Google Scholar] [CrossRef] [PubMed]
- Kim, J.; Ryu, C.; Ha, J.; Lee, J.; Kim, D.; Ji, M.; Park, C.-S.; Lee, J.; Kim, D.-K.; Kim, H.-H. Structural and Quantitative Characterization of Mucin-Type O-Glycans and the Identification of O-Glycosylation Sites in Bovine Submaxillary Mucin. Biomolecules 2020, 10, 636. [Google Scholar] [CrossRef] [PubMed]
- Liu, D.; Wang, S.; Zhang, J.; Xiao, W.; Miao, C.H.; Konkle, B.A.; Wan, X.-F.; Li, L. Site-Specific N- and O-Glycosylation Analysis of Human Plasma Fibronectin. Front. Chem. 2021, 9, 691217. [Google Scholar] [CrossRef] [PubMed]
- Shajahan, A.; Supekar, N.T.; Gleinich, A.S.; Azadi, P. Deducing the N- and O-glycosylation profile of the spike protein of novel coronavirus SARS-CoV-2. Glycobiology 2020, 30, 981–988. [Google Scholar] [CrossRef] [PubMed]
- Melani, R.D.; Skinner, O.S.; Fornelli, L.; Domont, G.B.; Compton, P.D. Mapping Proteoforms and Protein Complexes from King Cobra Venom Using Both Denaturing and Native Top-down Proteomics. Mol. Cell. Proteom. 2016, 15, 2423–2434. [Google Scholar] [CrossRef] [PubMed]
- Zhu, W.; Li, M.; Zhang, J. Integrating Intact Mass Analysis and Middle-Down Mass Spectrometry Approaches to Effectively Characterize Trastuzumab and Adalimumab Structural Heterogeneity. J. Proteome Res. 2021, 20, 70–278. [Google Scholar] [CrossRef] [PubMed]
- Srzentić, K.; Fornelli, L.; Tsybin, Y.O.; Loo, J.A.; Seckler, H.; Agar, J.N.; Anderson, L.C.; Bai, D.L.; Beck, A.; Brodbelt, J.S.; et al. Interlaboratory Study for Characterizing Monoclonal Antibodies by Top-Down and Middle-Down Mass Spectrometry. J. Am. Soc. Mass Spectrom. 2020, 31, 1783–1802. [Google Scholar] [CrossRef] [PubMed]
- Riley, N.M.; Coon, J.J. The Role of Electron Transfer Dissociation in Modern Proteomics. Anal. Chem. 2018, 90, 40–64. [Google Scholar] [CrossRef]
- Zhurov, K.O.; Fornelli, L.; Wodrich, M.D.; Laskay, Ü.A.; Tsybin, Y.O. Principles of Electron Capture and Transfer Dissociation Mass Spectrometry Applied to Peptide and Protein Structure Analysis. Chem. Soc. Rev. 2013, 42, 5014–5030. [Google Scholar] [CrossRef]
- Shen, X.; Xu, T.; Hakkila, B.; Hare, M.; Wang, Q.; Wang, Q.; Beckman, J.S.; Sun, L. Capillary Zone Electrophoresis-Electron-Capture Collision-Induced Dissociation on a Quadrupole Time-of-Flight Mass Spectrometer for Top-Down Characterization of Intact Proteins. J. Am. Soc. Mass Spectrom. 2021, 32, 1361–1369. [Google Scholar] [CrossRef]
- Wang, D.; Baudys, J.; Bundy, J.L.; Solano, M.; Keppel, T.; Barr, J.R. Comprehensive Analysis of the Glycan Complement of SARS-CoV-2 Spike Proteins Using Signature Ions-Triggered Electron-Transfer/Higher-Energy Collisional Dissociation (EThcD) Mass Spectrometry. Anal. Chem. 2020, 92, 14730–14739. [Google Scholar] [CrossRef]
- Zeng, W.; Zheng, S.; Su, T.; Cheng, J.; Mao, Y.; Zhong, Y.; Liu, Y.; Chen, J.; Zhao, W.; Lin, T.; et al. Comparative N-Glycoproteomics Analysis of Clinical Samples Via Different Mass Spectrometry Dissociation Methods. Front. Chem. 2022, 10, 839470. [Google Scholar] [CrossRef] [PubMed]
- Gomes, F.P.; Diedrich, J.K.; Saviola, A.J.; Memili, E.; Moura, A.A.; Yates III, J.R. EThcD and 213 Nm UVPD for Top-Down Analysis of Bovine Seminal Plasma Proteoforms on Electrophoretic and Chromatographic Time Frames. Anal. Chem. 2020, 92, 2979–2987. [Google Scholar] [CrossRef] [PubMed]
- Zhang, R.; Zhu, J.; Lubman, D.M.; Mechref, Y.; Tang, H. GlycoHybridSeq: Automated Identification of N-Linked Glycopeptides Using Electron Transfer/High-Energy Collision Dissociation (EThcD). J. Proteome Res. 2021, 20, 3345–3352. [Google Scholar] [CrossRef] [PubMed]
- Reiding, K.R.; Bondt, A.; Franc, V.; Heck, A.J.R. The Benefits of Hybrid Fragmentation Methods for Glycoproteomics. TrAC Trends Anal. Chem. 2018, 108, 260–268. [Google Scholar] [CrossRef]
- Yu, Q.; Wang, B.; Chen, Z.; Urabe, G.; Glover, M.S.; Shi, X.; Guo, L.-W.; Kent, C.; Li, L. Electron-Transfer/Higher-Energy Collision Dissociation (EThcD)-Enabled Intact Glycopeptide/Glycoproteome Characterization. J. Am. Soc. Mass Spectrom. 2017, 28, 1751–1764. [Google Scholar] [CrossRef] [PubMed]
- Riley, N.M.; Malaker, S.A.; Driessen, M.D.; Bertozzi, C.R. Optimal Dissociation Methods Differ for N- and O-Glycopeptides. J. Proteome Res. 2020, 19, 3286–3301. [Google Scholar] [CrossRef] [PubMed]
- Hashii, N.; Suzuki, J.; Hanamatsu, H.; Furukawa, J.-I.; Ishii-Watabe, A. In-Depth Site-Specific O-Glycosylation Analysis of Therapeutic Fc-Fusion Protein by Electron-Transfer/Higher-Energy Collisional Dissociation Mass Spectrometry. Biologicals 2019, 58, 35–43. [Google Scholar] [CrossRef] [PubMed]
- Li, X.; Wilmanowski, R.; Gao, X.; VanAernum, Z.L.; Donnelly, D.P.; Kochert, B.; Schuessler, H.A.; Richardson, D. Precise O-Glycosylation Site Localization of CD24Fc by LC-MS Workflows. Anal. Chem. 2022, 94, 8416–8425. [Google Scholar] [CrossRef]
- Yang, S.; Wang, Y.; Mann, M.; Wang, Q.; Tian, E.; Zhang, L.; Cipollo, J.F.; Ten Hagen, K.G.; Tabak, L.A. Improved Online LC-MS/MS Identification of O-Glycosites by EThcD Fragmentation, Chemoenzymatic Reaction, and SPE Enrichment. Glycoconj. J. 2021, 38, 145–156. [Google Scholar] [CrossRef]
- Zhang, Y.; Xie, X.; Zhao, X.; Tian, F.; Lv, J.; Ying, W.; Qian, X. Systems Analysis of Singly and Multiply O-Glycosylated Peptides in the Human Serum Glycoproteome via EThcD and HCD Mass Spectrometry. J. Proteom. 2018, 170, 14–27. [Google Scholar] [CrossRef]
- Shi, J.; Ku, X.; Zou, X.; Hou, J.; Yan, W.; Zhang, Y. Comprehensive Analysis of O-Glycosylation of Amyloid Precursor Protein (APP) Using Targeted and Multi-Fragmentation MS Strategy. Biochmica Biophys. Acta (BBA) Gen. Subj. 2021, 1865, 129954. [Google Scholar] [CrossRef]
- Chen, Z.; Wang, D.; Yu, Q.; Johnson, J.; Shipman, R.; Zhong, X.; Huang, J.; Yu, Q.; Zetterberg, H.; Asthana, S.; et al. In-Depth Site-Specific O-Glycosylation Analysis of Glycoproteins and Endogenous Peptides in Cerebrospinal Fluid (CSF) from Healthy Individuals, Mild Cognitive Impairment (MCI), and Alzheimer’s Disease (AD) Patients. ACS Chem. Biol. 2022, 17, 3059–3068. [Google Scholar] [CrossRef]
- Escobar, E.E.; Wang, S.; Goswami, R.; Lanzillotti, M.B.; Li, L.; McLellan, J.S.; Brodbelt, J.S. Analysis of Viral Spike Protein N-Glycosylation Using Ultraviolet Photodissociation Mass Spectrometry. Anal. Chem. 2022, 94, 5776–5784. [Google Scholar] [CrossRef]
- Zhang, L.; Reilly, J.P. Extracting Both Peptide Sequence and Glycan Structural Information by 157 Nm Photodissociation of N-Linked Glycopeptides. J. Proteome Res. 2009, 8, 734–742. [Google Scholar] [CrossRef]
- Ko, B.J.; Brodbelt, J.S. Comparison of Glycopeptide Fragmentation by Collision Induced Dissociation and Ultraviolet Photodissociation. Int. J. Mass. Spectrom. 2015, 377, 385–392. [Google Scholar] [CrossRef]
- Zhou, M.; Lee, J.-Y.; Park, G.-W.; Malhan, N.; Liu, T.; Shaw, J.B. Evaluating the Performance of 193 Nm Ultraviolet Photodissociation for Tandem Mass Tag Labeled Peptides. Analytica 2021, 2, 140–155. [Google Scholar] [CrossRef]
- Madsen, J.A.; Ko, B.J.; Xu, H.; Iwashkiw, J.A.; Robotham, S.A.; Shaw, J.B.; Feldman, M.F.; Brodbelt, J.S. Concurrent Automated Sequencing of the Glycan and Peptide Portions of O-Linked Glycopeptide Anions by Ultraviolet Photodissociation Mass Spectrometry. Anal. Chem. 2013, 85, 9253–9261. [Google Scholar] [CrossRef] [PubMed]
- Cotham, V.C.; Brodbelt, J.S. Characterization of Therapeutic Monoclonal Antibodies at the Subunit-Level Using Middle-Down 193 Nm Ultraviolet Photodissociation. Anal. Chem. 2016, 88, 4004–4013. [Google Scholar] [CrossRef] [PubMed]
- Cheeseman, J.; Kuhnle, G.; Spencer, D.I.R.; Osborn, H.M.I. Assays for the Identification and Quantification of Sialic Acids: Challenges, Opportunities and Future Perspectives. Bioorganic Med. Chem. 2021, 30, 115882. [Google Scholar] [CrossRef] [PubMed]
- Helms, A.; Escobar, E.E.; Vainauskas, S.; Taron, C.H.; Brodbelt, J.S. Ultraviolet Photodissociation Permits Comprehensive Characterization of O-Glycopeptides Cleaved with O-Glycoprotease IMPa. Anal. Chem. 2023, 95, 9280–9287. [Google Scholar] [CrossRef] [PubMed]
- Abrahams, J.L.; Taherzadeh, G.; Jarvas, G.; Guttman, A.; Zhou, Y.; Campbell, M.P. Recent Advances in Glycoinformatic Platforms for Glycomics and Glycoproteomics. Curr. Opin. Struct. Biol. 2020, 62, 56–69. [Google Scholar] [CrossRef]
- Cao, W.; Liu, M.; Kong, S.; Wu, M.; Zhang, Y.; Yang, P. Recent Advances in Software Tools for More Generic and Precise Intact Glycopeptide Analysis. Mol. Cell. Proteom. 2021, 20, 100060. [Google Scholar] [CrossRef] [PubMed]
- Grabarics, M.; Lettow, M.; Kirschbaum, C.; Greis, K.; Manz, C.; Pagel, K. Mass Spectrometry-Based Techniques to Elucidate the Sugar Code. Chem. Rev. 2022, 122, 7840–7908. [Google Scholar] [CrossRef] [PubMed]
- Fukui, K.; Takahashi, K. Infrared Multiple Photon Dissociation Spectroscopy and Computational Studies of O-Glycosylated Peptides. Anal. Chem. 2012, 84, 2188–2194. [Google Scholar] [CrossRef] [PubMed]
- Maitre, P.; Scuderi, D.; Corinti, D.; Chiavarino, B.; Crestoni, M.E.; Fornarini, S. Applications of Infrared Multiple Photon Dissociation (IRMPD) to the Detection of Posttranslational Modifications. Chem. Rev. 2019, 120, 3261–3295. [Google Scholar] [CrossRef] [PubMed]
- D’Atri, V.; Nováková, L.; Fekete, S.; Stoll, D.; Lauber, M.; Beck, A.; Guillarme, D. Orthogonal Middle-up Approaches for Characterization of the Glycan Heterogeneity of Etanercept by Hydrophilic Interaction Chromatography Coupled to High-Resolution Mass Spectrometry. Anal. Chem. 2019, 91, 873–880. [Google Scholar] [CrossRef] [PubMed]
- Vilaj, M.; Lauc, G.; Trbojević-Akmačić, I. Evaluation of Different PNGase F Enzymes in Immunoglobulin G and Total Plasma N-Glycans Analysis. Glycobiology 2021, 31, 2–7. [Google Scholar] [CrossRef] [PubMed]
- Shon, D.J.; Kuo, A.; Ferracane, M.J.; Malaker, S.A. Classification, Structural Biology, and Applications of Mucin Domain-Targeting Proteases. Biochem. J. 2021, 478, 1585–1603. [Google Scholar] [CrossRef]
- Yang, W.; Ao, M.; Hu, Y.; Li, Q.-K.; Zhang, H. Mapping the O-Glycoproteome Using Site-Specific Extraction of O-Linked Glycopeptides (EXoO). Mol. Syst. Biol. 2018, 14, e8486. [Google Scholar] [CrossRef]
- Kotsias, M.; Kozak, R.P.; Gardner, R.A.; Wuhrer, M.; Spencer, D.I.R. Improved and Semi-Automated Reductive β-Elimination Workflow for Higher Throughput Protein O-Glycosylation Analysis. PLoS ONE 2019, 14, e0210759. [Google Scholar] [CrossRef]
- Yang, S.; Wu, W.W.; Shen, R.; Parsons, L.; Cipollo, J.F. Optimization of O-GIG for O-Glycopeptide Characterization with Sialic Acid Linkage Determination. Anal. Chem. 2020, 92, 10946–10951. [Google Scholar] [CrossRef]
- Kozak, R.P.; Royle, L.; Gardner, R.A.; Fernandes, D.L.; Wuhrer, M. Suppression of Peeling during the Release of O-Glycans by Hydrazinolysis. Anal. Biochem. 2012, 423, 119–128. [Google Scholar] [CrossRef]
- Malaker, S.A.; Pedram, K.; Ferracane, M.J.; Bertozzi, C.R. The Mucin-Selective Protease StcE Enables Molecular and Functional Analysis of Human Cancer-Associated Mucins. Proc. Natl. Acad. Sci. USA 2019, 116, 7278–7287. [Google Scholar] [CrossRef]
- Shon, D.J.; Malaker, S.A.; Pedram, K.; Yang, E.; Krishnan, V.; Dorigo, O.; Bertozzi, C.R. An Enzymatic Toolkit for Selective Proteolysis, Detection, and Visualization of Mucin-Domain Glycoproteins. Proc. Natl. Acad. Sci. USA 2020, 117, 21299–21307. [Google Scholar] [CrossRef] [PubMed]
- Haurat, M.F.; Scott, N.E.; Venanzio, G.D.; Lopez, J.; Pluvinage, B.; Boraston, A.B.; Ferracane, M.J.; Feldman, M.F. The Glycoprotease CpaA Secreted by Medically Relevant Acinetobacter Species Targets Multiple O-Linked Host Glycoproteins. mBio 2020, 11. [Google Scholar] [CrossRef] [PubMed]
- Riley, N.M.; Bertozzi, C.R. Deciphering O-Glycoprotease Substrate Preferences with O-Pair Search. Mol. Omics 2022, 18, 908–922. [Google Scholar] [CrossRef] [PubMed]
- Konstantinidi, A.; Nason, R.; Čaval, T.; Sun, L.; Sørensen, D.M.; Furukawa, S.; Ye, Z.; Vincentelli, R.; Narimatsu, Y.; Vakhrushev, S.Y.; et al. Exploring the Glycosylation of Mucins by Use of O-Glycodomain Reporters Recombinantly Expressed in Glycoengineered HEK293 Cells. J. Biol. Chem. 2022, 298, 101784. [Google Scholar] [CrossRef] [PubMed]
- Vainauskas, S.; Guntz, H.; McLeod, E.; McClung, C.; Ruse, C.; Shi, X.; Taron, C.H. A Broad-Specificity O-Glycoprotease That Enables Improved Analysis of Glycoproteins and Glycopeptides Containing Intact Complex O-Glycans. Anal. Chem. 2022, 94, 1060–1069. [Google Scholar] [CrossRef] [PubMed]
- Suttapitugsakul, S.; Matsumoto, Y.; Aryal, R.P.; Cummings, R.D. Large-Scale and Site-Specific Mapping of the Murine Brain O-Glycoproteome with IMPa. Anal. Chem. 2023, 95, 13423–13430. [Google Scholar] [CrossRef] [PubMed]
- Chongsaritsinsuk, J.; Steigmeyer, A.D.; Mahoney, K.E.; Rosenfeld, M.A.; Lucas, T.M.; Ince, D.; Kearns, F.L.; Battison, A.S.; Hollenhorst, M.A.; Shon, D.J.; et al. Glycoproteomic Landscape and Structural Dynamics of TIM Family Immune Checkpoints Enabled by Mucinase SmE. Nat. Commun. 2023, 14, 6169. [Google Scholar] [CrossRef] [PubMed]
- Ahmad, S.; Singh, S.; Wasim, S.; Rai, S.; Farheen, Z.; Naziya, S. Role of Glycan-Lectin Interaction in Diseases: A Review. Saudi J. Biomed. Res. 2021, 6, 85–94. [Google Scholar] [CrossRef]
- Takakura, D.; Ohashi, S.; Kobayashi, N.; Tokuhisa, M.; Ichikawa, Y.; Kawasaki, N. Targeted O-Glycoproteomics for the Development of Diagnostic Markers for Advanced Colorectal Cancer. Front. Oncol. 2023, 13, 1104936. [Google Scholar] [CrossRef]
- Napoletano, C.; Steentoff, C.; Battisti, F.; Ye, Z.; Rahimi, H.; Zizzari, I.G.; Dionisi, M.; Cerbelli, B.; Tomao, F.; French, D.; et al. Investigating Patterns of Immune Interaction in Ovarian Cancer: Probing the O-Glycoproteome by the Macrophage Galactose-Like C-Type Lectin (MGL). Cancers 2020, 12, 2841. [Google Scholar] [CrossRef] [PubMed]
- Li, J.; Zhang, J.; Xu, M.; Yang, Z.; Yue, S.; Zhou, W.; Gui, C.; Zhang, H.; Li, S.; Wang, P.G.; et al. Advances in Glycopeptide Enrichment Methods for the Analysis of Protein Glycosylation over the Past Decade. J. Sep. Sci. 2022, 45, 3169–3186. [Google Scholar] [CrossRef] [PubMed]
- You, X.; Qin, H.; Ye, M. Recent Advances in Methods for the Analysis of Protein O-Glycosylation at Proteome Level. J. Sep. Sci. 2017, 41, 248–261. [Google Scholar] [CrossRef]
- Zheng, J.; Xiao, H.; Wu, R. Specific Identification of Glycoproteins Bearing the Tn Antigen in Human Cells. Angew. Chem. Int. Ed. 2017, 56, 7107–7111. [Google Scholar] [CrossRef]
- Matsumoto, Y.; Kudelka, M.R.; Hanes, M.S.; Lehoux, S.; Dutta, S.; Jones, M.B.; Stackhouse, K.A.; Cervoni, G.E.; Heimburg-Molinaro, J.; Smith, D.F.; et al. Identification of Tn Antigen O-GalNAc-Expressing Glycoproteins in Human Carcinomas Using Novel Anti-Tn Recombinant Antibodies. Glycobiology 2020, 30, 282–300. [Google Scholar] [CrossRef] [PubMed]
- Burt, R.A.; Dejanovic, B.; Peckham, H.J.; Lee, K.A.; Li, X.; Ounadjela, J.R.; Rao, A.; Malaker, S.A.; Carr, S.A.; Myers, S.A. Novel Antibodies for the Simple and Efficient Enrichment of Native O-GlcNAc Modified Peptides. Mol. Cell. Proteom. 2021, 20, 100167. [Google Scholar] [CrossRef] [PubMed]
- Behren, S.; Schorlemer, M.; Schmidt, G.; Aktories, K.; Westerlind, U. Antibodies Directed Against GalNAc- and GlcNAc-O-Tyrosine Posttranslational Modifications—A New Tool for Glycoproteomic Detection. Chem. A Eur. J. 2023, 29, e202300392. [Google Scholar] [CrossRef] [PubMed]
- Cavallero, G.J.; Wang, Y.; Nwosu, C.; Gu, S.; Meiyappan, M.; Zaia, J. O-Glycoproteomic Analysis of Engineered Heavily Glycosylated Fusion Proteins Using nanoHILIC-MS. Anal. Bioanal. Chem. 2022, 414, 7855–7863. [Google Scholar] [CrossRef]
- Kobeissy, F.; Kobaisi, A.; Peng, W.; Barsa, C.; Goli, M.; Sibahi, A.; Hayek, S.E.; Abdelhady, S.; Haidar, M.A.; Sabra, M.; et al. Glycomic and Glycoproteomic Techniques in Neurodegenerative Disorders and Neurotrauma: Towards Personalized Markers. Cells 2022, 11, 581. [Google Scholar] [CrossRef]
- Yang, S.; Li, J.; Zhang, J.; Xu, M.; Yang, Z.; Yue, S.; Zhou, W.; Gui, C.; Zhang, H.; Li, S.; et al. Recent Advances in the Analysis of Protein Glycosylation by Hydrophilic Interaction Liquid Chromatography-Mass Spectrometry. SSRN 2022. [Google Scholar] [CrossRef]
- Qing, G.; Yan, J.; He, X.; Li, X.; Liang, X. Recent Advances in Hydrophilic Interaction Liquid Interaction Chromatography Materials for Glycopeptide Enrichment and Glycan Separation. TrAC Trends Anal. Chem. 2020, 124, 115570. [Google Scholar] [CrossRef]
- Pujić, I.; Perreault, H. Recent Advancements in Glycoproteomic Studies: Glycopeptide Enrichment and Derivatization, Characterization of Glycosylation in SARS CoV2, and Interacting Glycoproteins. Mass Spectrom. Rev. 2021, 41, 488–507. [Google Scholar] [CrossRef]
- Yin, H.; Zhu, J. Methods for Quantification of Glycopeptides by Liquid Separation and Mass Spectrometry. Mass Spectrom. Rev. 2022, 42, 887–917. [Google Scholar] [CrossRef]
- Ikegami, T. Hydrophilic Interaction Chromatography for the Analysis of Biopharmaceutical Drugs and Therapeutic Peptides: A Review Based on the Separation Characteristics of the Hydrophilic Interaction Chromatography Phases. J. Sep. Sci. 2018, 42, 130–213. [Google Scholar] [CrossRef]
- Cui, Y.; Tabang, D.N.; Zhang, Z.; Ma, M.; Alpert, A.J.; Li, L. Counterion Optimization Dramatically Improves Selectivity for Phosphopeptides and Glycopeptides in Electrostatic Repulsion-Hydrophilic Interaction Chromatography. Anal. Chem. 2021, 93, 7908–7916. [Google Scholar] [CrossRef] [PubMed]
- Zhang, T.; Madunić, K.; Holst, S.; Zhang, J.; Jin, C.; ten Dijke, P.; Karlsson, N.G.; Stavenhagen, K.; Wuhrer, M. Development of a 96-Well Plate Sample Preparation Method for Integrated N- and O-Glycomics Using Porous Graphitized Carbon Liquid Chromatography-Mass Spectrometry. Mol. Omics 2020, 16, 355–363. [Google Scholar] [CrossRef] [PubMed]
- Benktander, J.D.; Gizaw, S.T.; Gaunitz, S.; Novotny, M.V. Analytical Scheme Leading to Integrated High-Sensitivity Profiling of Glycosphingolipids Together with N- and O-Glycans from One Sample. J. Am. Soc. Mass Spectrom. 2018, 29, 1125–1137. [Google Scholar] [CrossRef] [PubMed]
- Alagesan, K.; Ahmed-Begrich, R.; Charpentier, E. Improved N- and O-Glycopeptide Identification Using High-Field Asymmetric Waveform Ion Mobility Spectrometry (FAIMS). bioRxiv 2022. [Google Scholar] [CrossRef]
- Jacquet, C.; Hopfgartner, G. Microflow Liquid Chromatography Coupled to Mass Spectrometry (μLC–MS) Workflow for O-Glycopeptides Isomers Analysis Combining Differential Mobility Spectrometry and Collision Induced and Electron Capture Dissociation. J. Am. Soc. Mass Spectrom. 2022, 33, 688–694. [Google Scholar] [CrossRef] [PubMed]













Disclaimer/Publisher’s Note: The statements, opinions and data contained in all publications are solely those of the individual author(s) and contributor(s) and not of MDPI and/or the editor(s). MDPI and/or the editor(s) disclaim responsibility for any injury to people or property resulting from any ideas, methods, instructions or products referred to in the content. |
© 2024 by the authors. Licensee MDPI, Basel, Switzerland. This article is an open access article distributed under the terms and conditions of the Creative Commons Attribution (CC BY) license (https://creativecommons.org/licenses/by/4.0/).
Share and Cite
Helms, A.; Brodbelt, J.S. Mass Spectrometry Strategies for O-Glycoproteomics. Cells 2024, 13, 394. https://doi.org/10.3390/cells13050394
Helms A, Brodbelt JS. Mass Spectrometry Strategies for O-Glycoproteomics. Cells. 2024; 13(5):394. https://doi.org/10.3390/cells13050394
Chicago/Turabian StyleHelms, Amanda, and Jennifer S. Brodbelt. 2024. "Mass Spectrometry Strategies for O-Glycoproteomics" Cells 13, no. 5: 394. https://doi.org/10.3390/cells13050394
APA StyleHelms, A., & Brodbelt, J. S. (2024). Mass Spectrometry Strategies for O-Glycoproteomics. Cells, 13(5), 394. https://doi.org/10.3390/cells13050394

