Effects of Irrigation Methods on Root Distribution, Water Uptake Patterns, and Water Use Efficiency in Transplanted vs. Direct-Seeded Cotton
Abstract
1. Introduction
2. Materials and Methods
2.1. Field Experiments
2.1.1. Experimental Site
2.1.2. Experimental Design
2.2. Measurement Methods
2.2.1. Root Morphology Distribution
2.2.2. Dynamic Growth of the Root System
2.2.3. Soil Water Content
2.2.4. Collection, Determination, and Calculation of Isotope Samples
Precipitation Sampling
Soil Sampling
Plant Stem Sampling
Extraction of Plant Stem Water and Soil Water
Determination of δD and δ18O in Water Samples
Calculation of Hydrogen and Oxygen Isotopes
2.2.5. Yield Measurement
2.3. Data Processing and Analysis
3. Results
3.1. Differences in the Two-Dimensional Distribution of Root Length Density (RLD) Between Direct-Seeded Cotton and Transplanted Cotton
3.1.1. Two-Dimensional Distribution of RLD Under Border Irrigation
3.1.2. Two-Dimensional Distribution of RLD Under Micro-Spray Tape Irrigation
3.1.3. Two-Dimensional Distribution of RLD of Direct-Seeded and Transplanted Cotton Under Surface Drip Irrigation
3.2. Analysis of Variance of Root Morphological Properties in Direct-Seeded and Transplanted Cotton
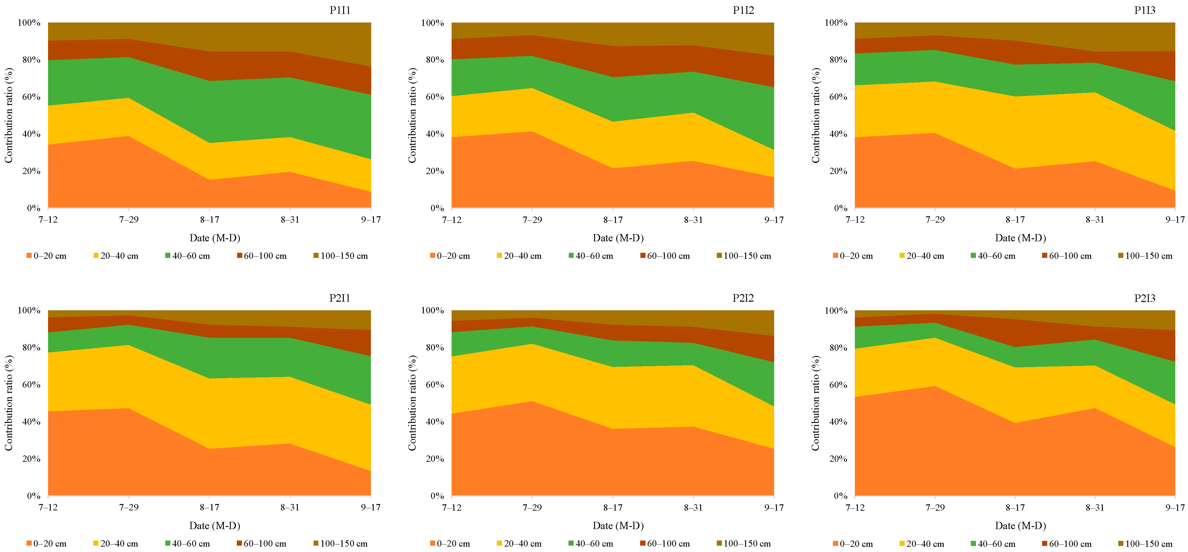
3.3. Analysis of Root Water Uptake Sources Based on the MixSIAR Model
3.4. Differences in Water Consumption, Yield, and WUE Between Direct-Seeded and Transplanted Cotton
3.4.1. Differences in Water Consumption Between Direct-Seeded and Transplanted Cotton
3.4.2. Differences in Yield and WUE Between Direct-Seeded and Transplanted Cotton
4. Discussion
4.1. Root Growth and Water Uptake Sources of Transplanted and Direct-Seeded Cotton Under Different Irrigation Methods
4.2. Water Consumption, Yield, and Water Use Efficiency Characteristics of Transplanted and Direct-Seeded Cotton Under Different Irrigation Methods
5. Conclusions
Supplementary Materials
Author Contributions
Funding
Data Availability Statement
Acknowledgments
Conflicts of Interest
Abbreviations
| WUE | Water Use Efficiency |
| RLD | Root Length Density |
| RSAD | Root Surface Area Density |
| RTND | Root Tip Number Density |
References
- Huang, W.; Wu, F.; Han, W.; Li, Q.; Han, Y.; Wang, G.; Feng, L.; Li, X.; Yang, B.; Lei, Y.; et al. Carbon Footprint of Cotton Production in China: Composition, Spatiotemporal Changes and Driving Factors. Sci. Total Environ. 2022, 821, 153407. [Google Scholar] [CrossRef] [PubMed]
- Han, W.; Liu, S.; Lei, Y.; Zhang, Y.; Han, Y.; Wang, G.; Feng, L.; Li, X.; Li, Y.; Wang, Z. Climate Warming Accelerates Cotton Growth While Cultivar Shifts Extend the Growth Period. Field Crops Res. 2023, 293, 108850. [Google Scholar] [CrossRef]
- Mi, Y.; Wang, Y.; Wu, F.; Han, Y.; Yang, B.; Lei, Y.; Xiong, S.; Zhi, X.; Li, Y. Yield Variation in Early-Maturing Cotton in Response to Sowing Dates and Growing Seasons Is Associated with Differential Resource Utilization. Eur. J. Agron. 2025, 168, 127637. [Google Scholar] [CrossRef]
- Su, Y.; Wei, X.; Wang, Z.; Gao, L.; Zhang, Z. Cotton Production in the Yellow River Basin of China: Reforming Cropping Systems for Ecological, Economic Stability and Sustainable Production. Front. Sustain. Food Syst. 2025, 9, 1615566. [Google Scholar] [CrossRef]
- Guo, S.; Han, Y.; Wang, G.; Wu, F.; Jia, Y.; Chen, J.; Li, X.; Du, W.; Li, Y.; Feng, L. Quantifying Physiological Contributions to Yield Loss in Response to Planting Date in Short-Season Cotton under a Cotton Wheat Double-Cropping System. Eur. J. Agron. 2024, 154, 127089. [Google Scholar] [CrossRef]
- Zhang, H.; Liu, H.; Wang, S.; Guo, X.; Ge, L.; Sun, J. Variations in Growth, Water Consumption and Economic Benefit of Transplanted Cotton after Winter Wheat Harvest Subjected to Different Irrigation Methods. Sci. Rep. 2019, 9, 14972. [Google Scholar] [CrossRef]
- Zhi, X.Y.; Han, Y.C.; Li, Y.B.; Wang, G.P.; Feng, L.; Yang, B.F.; Fan, Z.Y.; Lei, Y.P.; Du, W.L.; Mao, S.C. Root Growth and Spatial Distribution Characteristics for Seedlings Raised in Substrate and Transplanted Cotton. PLoS ONE 2017, 12, e0190032. [Google Scholar]
- Shah, M.A.; Hussain, M.; Shahzad, M.; Jabran, K.; Ul-Allah, S.; Farooq, M. Transplanting Improves the Allometry and Fiber Quality of Bt Cotton in Cotton-Wheat Cropping System. Exp. Agric. 2020, 56, 26–36. [Google Scholar]
- Dai, J.L.; Dong, H.Z. Intensive Cotton Farming Technologies in China: Achievements, Challenges and Countermeasures. Field Crops Res. 2014, 155, 99–110. [Google Scholar]
- Ning, S.R.; Shi, J.C.; Zuo, Q.; Wang, S.; Ben-Gal, A. Generalization of the Root Length Density Distribution of Cotton under Film Mulched Drip Irrigation. Field Crops Res. 2015, 177, 125–136. [Google Scholar]
- Guo, C.; Sun, H.; Bao, X.; Zhu, L.; Zhang, Y.; Zhang, K.; Li, A.; Bai, Z.; Liu, L.; Li, C. Increasing Root-Lower Characteristics Improves Drought Tolerance in Cotton Cultivars at the Seedling Stage. J. Integr. Agric. 2024, 23, 2242–2254. [Google Scholar] [CrossRef]
- Wu, F.; Tang, Q.; Cui, J.; Tian, L.; Guo, R.; Wang, L.; Zheng, Z.; Zhang, N.; Zhang, Y.; Lin, T. Deficit Irrigation Combined with a High Planting Density Optimizes Root and Soil Water-Nitrogen Distribution to Enhance Cotton Productivity in Arid Regions. Field Crops Res. 2024, 317, 109524. [Google Scholar]
- Zhang, Y.; Wu, S.; Kang, W.; Tian, Z. Multiple Sources Characteristics of Root Water Uptake of Crop under Oasis Farmlands in Hyper-Arid Regions. Agric. Water Manag. 2022, 271, 107814. [Google Scholar] [CrossRef]
- Liu, Y.; Yuan, Y.; Zhang, L.; Du, T. Exploring the Differences of Moisture Traceability Methods Based on MixSIAR Model under Different Nitrogen Applications of Wheat in the Arid Region of Northwest China. Agric. Water Manag. 2024, 294, 108716. [Google Scholar] [CrossRef]
- Wang, W.; Guo, W.; Dong, J.; Zhang, H.; Liao, Y.; Wen, X. Ridge-Furrow Planting Patterns with Film Mulching Improve Water Use Efficiency by Enhancing Arbuscular Mycorrhizal Fungi in the Rhizosphere and Endophyte of Summer Maize. Agric. Water Manag. 2024, 296, 108802. [Google Scholar] [CrossRef]
- Wang, J.; Du, G.; Tian, J.; Jiang, C.; Zhang, Y.; Zhang, W. Mulched Drip Irrigation Increases Cotton Yield and Water Use Efficiency via Improving Fine Root Plasticity. Agric. Water Manag. 2021, 255, 106992. [Google Scholar] [CrossRef]
- Kaur, T.; Sharma, P.K.; Brar, A.S.; Vashisht, B.B.; Choudhary, A.K. Optimizing Crop Water Productivity and Delineating Root Architecture and Water Balance in Cotton -Wheat Cropping System through Sub-Surface Drip Irrigation and Foliar Fertilization Strategy in an Alluvial Soil. Field Crops Res. 2024, 309, 109337. [Google Scholar] [CrossRef]
- Nie, W.; Li, Y.; Ma, X. Simplified Method for Estimating the Optimal Cut-off Time of Closed-end Border Irrigation. Irrig. Drain. 2021, 70, 622–633. [Google Scholar] [CrossRef]
- Wang, S.; Ji, P.; Qiu, X.; Yang, H.; Wang, Y.; Zhu, H.; Wang, M.; Li, H. Effect of Border Width and Micro-Sprinkling Hose Irrigation on Soil Moisture Distribution and Irrigation Quality for Wheat Crops. Appl. Sci. 2022, 12, 10954. [Google Scholar] [CrossRef]
- Qi, Z.; Gao, Y.; Sun, C.; Ramos, T.B.; Mu, D.; Xun, Y.; Huang, G.; Xu, X. Assessing Water-Nitrogen Use, Crop Growth and Economic Benefits for Maize in Upper Yellow River Basin: Feasibility Analysis for Border and Drip Irrigation. Agric. Water Manag. 2024, 295, 108771. [Google Scholar] [CrossRef]
- Dong, H.Z.; Li, W.J.; Tang, W.; Li, Z.H.; Zhang, D.M. Increased Yield and Revenue with a Seedling Transplanting System for Hybrid Seed Production in Bt Cotton. J. Agron. Crop Sci. 2005, 191, 116–124. [Google Scholar] [CrossRef]
- Dong, H.Z.; Li, W.J.; Tang, W.; Li, Z.H.; Zhang, D.M. Enhanced Plant Growth, Development and Fiber Yield of Bt Transgenic Cotton by an Integration of Plastic Mulching and Seedling Transplanting. Ind. Crops Prod. 2007, 26, 298–306. [Google Scholar] [CrossRef]
- Ma, Q.X.; Wang, Z.Y.; Cui, X.W.; Hao, J.J.; Du, X.Y. Comparison of Comprehensive Benefit between Cotton Transplanting and Wheat Cotton Interplanting. J. Henan Agric. Sci. 2010, 39, 26–27. [Google Scholar]
- Chen, W.; Jin, M.; Ferré, T.P.A.; Liu, Y.; Huang, J.; Xian, Y. Soil Conditions Affect Cotton Root Distribution and Cotton Yield Under Mulched Drip Irrigation. Field Crops Res. 2020, 249, 107743. [Google Scholar] [CrossRef]
- Wang, J.; Du, G.; Tian, J.; Zhang, Y.; Jiang, C.; Zhang, W. Effect of Irrigation Methods on Root Growth, Root-Shoot Ratio and Yield Components of Cotton by Regulating the Growth Redundancy of Root and Shoot. Agric. Water Manag. 2020, 234, 106120. [Google Scholar] [CrossRef]
- Gao, C.; Li, M.; Li, D. Root Architecture and Visualization Model of Cotton Group with Different Planting Spacing under Local Irrigation. Front. Plant Sci. 2023, 14, 1080234. [Google Scholar] [CrossRef]
- Johnson, M.G.; Tingey, D.T.; Phillips, D.L.; Storm, M.J. Advancing Fine Root Research with Minirhizotrons. Environ. Exp. Bot. 2001, 45, 263–289. [Google Scholar] [CrossRef]
- Pierret, A.; Moran, C.J.; Doussan, C. Conventional Detection Methodology Is Limiting Our Ability to Understand the Roles and Functions of Fine Roots. New Phytol. 2005, 166, 967–980. [Google Scholar] [CrossRef]
- Weitz, A.M.; Grauel, W.T.; Keller, M.; Veldkamp, E. Calibration of Time Domain Reflectometry Technique Using Undisturbed Soil Samples from Humid Tropical Soils of Volcanic Origin. Water Resour. Res. 1997, 33, 1241–1249. [Google Scholar] [CrossRef]
- Wegehenkel, M. Using TRIME-TDR for the Determination of Soil Water Dynamics on Sandy Soils. J. Plant Nutr. Soil Sci. 1998, 161, 577–582. [Google Scholar] [CrossRef]
- Liu, J.; Si, Z.; Li, S.; Abubakar, S.A.; Zhang, Y.; Wu, L.; Gao, Y.; Duan, A. Three Bayesian Tracer Models: Which Is Better for Determining Sources of Root Water Uptake Based on Stable Isotopes under Various Soil Water Conditions? Agronomy 2023, 13, 843. [Google Scholar] [CrossRef]
- Wan, Y.; Li, W.; Wang, J.; Wu, B.; Su, F. Effects of Different Drip Irrigation Rates on Root Distribution Characteristics and Yield of Cotton under Mulch-Free Cultivation in Southern Xinjiang. Water 2024, 16, 1148. [Google Scholar] [CrossRef]
- Zhang, H.; Liu, H.; Sun, C.T.; Gao, Y.; Gong, X.W.; Sun, J.S.; Wang, W.N. Root Development of Transplanted Cotton and Simulation of Soil Water Movement under Different Irrigation Methods. Water 2017, 9, 503. [Google Scholar] [CrossRef]
- Qian, L.; Huang, T.; Zeng, W.; Chen, X.; Wang, X. Determining the Dynamic Responses of Cotton Root Morphological Characteristics under Waterlogging Stress Using the Minirhizotron Technique. Irrig. Drain. 2023, 72, 60–74. [Google Scholar] [CrossRef]
- Zhang, G.; Meng, W.; Pan, W.; Han, J.; Liao, Y. Effect of Soil Water Content Changes Caused by Ridge-Furrow Plastic Film Mulching on the Root Distribution and Water Use Pattern of Spring Maize in the Loess Plateau. Agric. Water Manag. 2022, 261, 107338. [Google Scholar] [CrossRef]
- Wang, P.; Song, X.; Han, D.; Zhang, Y.; Liu, X. A Study of Root Water Uptake of Crops Indicated by Hydrogen and Oxygen Stable Isotopes: A Case in Shanxi Province, China. Agric. Water Manag. 2010, 97, 475–482. [Google Scholar] [CrossRef]
- Luo, H.H.; Tao, X.P.; Hu, Y.Y.; Zhang, Y.L.; Zhang, W.F. Response of Cotton Root Growth and Yield to Root Restriction under Various Water and Nitrogen Regimes. J. Plant Nutr. Soil Sci. 2015, 178, 384–392. [Google Scholar] [CrossRef]
- Zhao, Y.; Chen, Y.; Hu, S.; Shen, Y.; Liu, F.; Zhang, Y. Water Consumption Structure and Root Water Absorption Source of an Oasis Cotton Field in an Arid Area of China. Water 2023, 15, 4140. [Google Scholar] [CrossRef]
- Li, D.; Li, M.; Shen, X.; Zhou, X.; Sun, H.; Zhao, Y.; Chen, W. Response of Spatial Structure of Cotton Root to Soil-Wetting Patterns under Mulched Drip Irrigation. Int. J. Agric. Biol. Eng. 2020, 13, 153–162. [Google Scholar] [CrossRef]
- Tao, Z.; Wang, X.; Siddique, K.H.M. Evaluating the Bias Effects of Rooting Depth and Cryogenic Vacuum Extraction to Quantify Root Water Uptake Patterns in Deep-Rooted Apple Trees. Agric. Water Manag. 2023, 289, 108505. [Google Scholar] [CrossRef]
- Min, W.; Guo, H.J.; Zhou, G.W.; Zhang, W.; Ma, L.J.; Ye, J.; Hou, Z.N. Root Distribution and Growth of Cotton as Affected by Drip Irrigation with Saline Water. Field Crops Res. 2014, 169, 1–10. [Google Scholar] [CrossRef]
- Chen, Z.; Wang, G.; Yang, X.; Li, Z.; Shen, Y. Water Competition among the Coexisting Platycladus orientalis, Prunus davidiana and Medicago sativa in a Semi-Arid Agroforestry System. Agric. Water Manag. 2023, 279, 108206. [Google Scholar] [CrossRef]
- Liu, J.; Si, Z.; Li, S.; Kader Mounkaila Hamani, A.; Zhang, Y.; Wu, L.; Gao, Y.; Duan, A. Variations in Water Sources Used by Winter Wheat across Distinct Rainfall Years in the North China Plain. J. Hydrol. 2023, 618, 129186. [Google Scholar] [CrossRef]
- Lee, H.; Hwang, W.; Jeong, J.; Yang, S.; Jeong, N.; Lee, C.; Choi, M. Physiological Causes of Transplantation Shock on Rice Growth Inhibition and Delayed Heading. Sci. Rep. 2021, 11, 16818. [Google Scholar] [CrossRef] [PubMed]
- Conaty, W.C.; Mahan, J.R.; Neilsen, J.E.; Tan, D.K.Y.; Yeates, S.J.; Sutton, B.G. The Relationship between Cotton Canopy Temperature and Yield, Fibre Quality and Water-Use Efficiency. Field Crops Res. 2015, 183, 329–341. [Google Scholar] [CrossRef]
- Shah, M.A.; Farooq, M.; Hussain, M. Evaluation of Transplanting Bt Cotton in a Cotton-Wheat Cropping System. Exp. Agric. 2017, 53, 227–241. [Google Scholar] [CrossRef]
- Dai, J.; Cui, Z.; Zhang, Y.; Zhan, L.; Nie, J.; Cui, J.; Zhang, D.; Xu, S.; Sun, L.; Chen, B.; et al. Enhancing Stand Establishment and Yield Formation of Cotton with Multiple Drip Irrigation during Emergence in Saline Fields of Southern Xinjiang. Field Crops Res. 2024, 315, 109482. [Google Scholar] [CrossRef]







| Soil Depth/cm | PH | Alkaline Hydrolysis Nitrogen (mg·kg−1) | Available Phosphorus (µg·kg−1) | Available Potassium (mg·kg−1) | Organic Carbon Content (g·100 g−1) |
|---|---|---|---|---|---|
| 0–20 | 8.5 | 54.5 | 15.3 | 151.8 | 0.9 |
| 20–40 | 8.6 | 31.1 | 5.6 | 92.4 | 0.8 |
| 40–60 | 8.6 | 20.1 | 4.1 | 81.3 | 0.8 |
| 60–80 | 8.7 | 18.8 | 3.3 | 62.3 | 0.6 |
| 80–100 | 8.9 | 9.5 | 2.9 | 31.5 | 0.5 |
| Irrigation Method | Design Specifications | Field Slope | Irrigation Flow | Equipment Specifications |
|---|---|---|---|---|
| Border irrigation | Width: 2.1 m; Length: 20 m; 3 rows of cotton per border | 0.002 | Single-width inlet flow rate: 4.0 L·s−1·m−1 | — |
| Micro-spray tape irrigation | Laying length: 20 m; Strip spacing: 1.4 m | — | Micro-spray tape flow rate: 0.165 m3·h−1·m−1 | hole belt-type sprinkler tape with a 40 mm outer diameter; each group has 7 inclined water holes spaced 0.3 m apart; working pressure: 0.3 MPa; spray width: 4 m |
| Surface drip irrigation | Laying length: 20 m; Pipe spacing: 0.7 m | — | Drip head flow: 2.0 L·h−1 | hole drip irrigation tape with a 16 mm outer diameter; dripper spacing: 0.2 m; working pressure: 0.1 MPa |
| Year | Treatment | Total Root Length (mm) | Total Root Surface Area (mm2) | Total Root Volume (mm3) | Average Root Diameter (mm) | |
|---|---|---|---|---|---|---|
| 2021 | P1 | I1 | 71 ± 4.92 d | 7.44 ± 0.94 d | 0.27 ± 0.05 d | 0.44 ± 0.02 e |
| I2 | 83.89 ± 5.04 bcd | 10.66 ± 0.68 abcd | 0.48 ± 0.17 bcd | 0.51 ± 0.03 bcd | ||
| I3 | 100.96 ± 8.92 abcd | 11.55 ± 2.17 abc | 0.65 ± 0.11 abc | 0.57 ± 0.02 abc | ||
| P2 | I1 | 88.29 ± 8.67 bcd | 8.74 ± 0.51 bcd | 0.38 ± 0.05 cd | 0.46 ± 0.02 de | |
| I2 | 110.95 ± 9.02 ab | 11.07 ± 0.96 abc | 0.69 ± 0.06 ab | 0.55 ± 0.02 abc | ||
| I3 | 125.97 ± 6.29 a | 12.92 ± 0.28 ab | 0.78 ± 0.04 a | 0.56 ± 0.07 abc | ||
| 2022 | P1 | I1 | 79.14 ± 3.3 cd | 8.13 ± 0.37 cd | 0.37 ± 0.04 cd | 0.46 ± 0.04 de |
| I2 | 96.77 ± 11.66 abcd | 11.14 ± 0.36 bcd | 0.58 ± 0.08 abcd | 0.51 ± 0.04 bcd | ||
| I3 | 106.18 ± 17.58 abc | 11.21 ± 1.23 abc | 0.7 ± 0.05 ab | 0.58 ± 0.06 ab | ||
| P2 | I1 | 81.4 ± 3.83 cd | 8.67 ± 1.22 bcd | 0.48 ± 0.05 bcd | 0.48 ± 0.04 cd | |
| I2 | 100.17 ± 9.69 abcd | 10.55 ± 0.79 abcd | 0.59 ± 0.05 abcd | 0.55 ± 0.02 abc | ||
| I3 | 124.21 ± 7.62 a | 14.18 ± 1.55 a | 0.78 ± 0.03 a | 0.6 ± 0.03 a | ||
| F-Values | ||||||
| Y | NS | NS | NS | NS | ||
| P | 27.413 ** | 7.889 ** | 19.430 ** | NS | ||
| I | 44.915 ** | 47.980 ** | 68.548 ** | 32.512 ** | ||
| Y × P | 6.608 ** | NS | NS | NS | ||
| Y × I | NS | NS | NS | NS | ||
| P × I | NS | NS | NS | NS | ||
| Y × P × I | NS | NS | NS | NS | ||
| Year | Treatment | Seedling Stage (mm) | Bud Stage (mm) | Flowering-Boll Stage (mm) | Boll-Opening Stage (mm) | Whole Growth Period (mm) | |
|---|---|---|---|---|---|---|---|
| 2021 | P1 | I1 | 113.18 ± 1.21 b | 101.3 ± 0.57 c | 204.92 ± 1.04 e | 113.23 ± 0.41 c | 532.64 ± 1.15 c |
| I2 | 114.96 ± 1.08 a | 96.7 ± 0.55 e | 207.6 ± 1.07 d | 115.72 ± 0.2 b | 534.99 ± 1.8 c | ||
| I3 | 103.69 ± 1.82 e | 87.03 ± 0.05 g | 206.12 ± 1.09 d | 101.04 ± 1.21 e | 497.88 ± 4.07 e | ||
| P2 | I1 | 102.73 ± 2.07 e | 78.28 ± 0.52 j | 187.84 ± 0.09 g | 102.3 ± 1.09 e | 471.14 ± 2.55 h | |
| I2 | 96.27 ± 2.24 g | 81.51 ± 0.31 i | 181.34 ± 0.31 i | 95.8 ± 1.43 f | 454.92 ± 3.06 i | ||
| I3 | 81.26 ± 3.11 i | 85.29 ± 0.16 h | 184.68 ± 0.12 g | 91.07 ± 2.06 h | 442.3 ± 5.12 k | ||
| 2022 | P1 | I1 | 115.21 ± 1.9 a | 111.79 ± 2.39 a | 228.38 ± 0.4 a | 116.99 ± 1.93 a | 572.37 ± 6.61 a |
| I2 | 107.01 ± 2.49 c | 107.12 ± 2 b | 218.47 ± 0.23 b | 108.03 ± 1.28 d | 540.64 ± 2 b | ||
| I3 | 105.19 ± 2.38 d | 99.94 ± 2.01 c | 215.57 ± 0.42 c | 93.22 ± 0.24 g | 513.92 ± 0.22 d | ||
| P2 | I1 | 102.37 ± 2.74 e | 100.49 ± 1.61 c | 206.59 ± 0.97 d | 82.35 ± 0.42 j | 491.79 ± 1.69 f | |
| I2 | 99.24 ± 2.91 f | 98.66 ± 1.26 d | 198.44 ± 1.51 f | 88.13 ± 0.1 i | 484.47 ± 0.16 g | ||
| I3 | 94.3 ± 3.2 h | 89.49 ± 1.17 f | 185.44 ± 2.47 h | 78.38 ± 0.77 k | 447.61 ± 7.61 j | ||
| F-Values | |||||||
| Y | 5.701 * | 886.305 ** | 1466.549 ** | 530.110 ** | 238.988 ** | ||
| P | 311.301 ** | 728.640 ** | 4244.305 ** | 2375.121 ** | 2799.218 ** | ||
| I | 84.603 ** | 108.298 ** | 223.210 ** | 449.783 ** | 378.13 ** | ||
| Y × P | 18.178 ** | 14.098 ** | 11.692 ** | 159.518 ** | NS | ||
| Y × I | 13.332 ** | 28.073 ** | 174.968 ** | 4.473 * | 20.530 ** | ||
| P × I | 3.556 * | 54.399 ** | 27.723 ** | 67.465 ** | 5.653 * | ||
| Y × P × I | 8.377 ** | 50.376 ** | 40.61 ** | 92.088 ** | 27.227 ** | ||
| Year | Treatment | Number of Bolls Per Plant | Boll Mass (g) | Seed Cotton Yield (kg ha−1) | Lint Percentage (%) | WUE (kg m−3) | |
|---|---|---|---|---|---|---|---|
| 2021 | P1 | I1 | 9 ± 1 bcd | 5.11 ± 0.62 cd | 3164.37 ± 304.55 de | 36.48 ± 1 cd | 0.59 ± 0.06 fg |
| I2 | 9 ± 2 bcd | 5.11 ± 0.23 cd | 3500.89 ± 166.8 cd | 36.31 ± 0.17 cd | 0.65 ± 0.03 ef | ||
| I3 | 11 ± 1 a | 6.03 ± 0.35 ab | 3851.96 ± 108.4 ab | 36.88 ± 1.49 bcd | 0.77 ± 0.03 bc | ||
| P2 | I1 | 7.67 ± 0.58 d | 4.95 ± 0.35 d | 3202.77 ± 157.24 de | 36.1 ± 0.68 d | 0.68 ± 0.03 de | |
| I2 | 9 ± 1 bcd | 5.81 ± 0.39 abc | 3536.88 ± 349.9 bcd | 37.51 ± 1.05 ab | 0.78 ± 0.08 bc | ||
| I3 | 10 ± 1 abc | 6.07 ± 0.35 a | 3828.87 ± 59.37 ab | 37.61 ± 0.88 a | 0.87 ± 0.01 ab | ||
| 2022 | P1 | I1 | 10 ± 1 abc | 5.44 ± 0.68 bcd | 3000.55 ± 196.18 ef | 37.51 ± 0.63 ab | 0.52 ± 0.03 g |
| I2 | 9 ± 1 bcd | 5.27 ± 0.5 cd | 3564.42 ± 111.82 bcd | 36.59 ± 0.25 bcd | 0.66 ± 0.02 ef | ||
| I3 | 10.33 ± 0.58 ab | 6.08 ± 0.55 a | 3831.3 ± 89.79 ab | 37.25 ± 0.76 abc | 0.75 ± 0.02 cd | ||
| P2 | I1 | 7.33 ± 1.53 d | 5.22 ± 0.51 cd | 2855.16 ± 162.45 f | 37.26 ± 0.46 abc | 0.58 ± 0.03 fg | |
| I2 | 9 ± 1 bcd | 5.95 ± 0.51 ab | 3745.02 ± 134 abc | 36.74 ± 0.51 bcd | 0.77 ± 0.03 bc | ||
| I3 | 10 ± 1 abc | 5.78 ± 0.34 abc | 3947.3 ± 53.21 a | 37.39 ± 0.12 ab | 0.88 ± 0.02 a | ||
| F-Values | |||||||
| Y | NS | NS | NS | NS | NS | ||
| P | NS | NS | NS | NS | 69.112 ** | ||
| I | 8.622 ** | 9.108 ** | 62.529 ** | NS | 111.283 ** | ||
| Y × P | NS | NS | NS | NS | NS | ||
| Y × I | NS | NS | 3.91 * | NS | 5.031 * | ||
| P × I | NS | NS | NS | NS | NS | ||
| Y × P × I | NS | NS | NS | NS | NS | ||
Disclaimer/Publisher’s Note: The statements, opinions and data contained in all publications are solely those of the individual author(s) and contributor(s) and not of MDPI and/or the editor(s). MDPI and/or the editor(s) disclaim responsibility for any injury to people or property resulting from any ideas, methods, instructions or products referred to in the content. |
© 2026 by the authors. Licensee MDPI, Basel, Switzerland. This article is an open access article distributed under the terms and conditions of the Creative Commons Attribution (CC BY) license.
Share and Cite
Guo, X.; Wang, S.; Zhang, H.; You, X.; Zhao, B.; Zheng, Y.; Wang, Z. Effects of Irrigation Methods on Root Distribution, Water Uptake Patterns, and Water Use Efficiency in Transplanted vs. Direct-Seeded Cotton. Agronomy 2026, 16, 273. https://doi.org/10.3390/agronomy16020273
Guo X, Wang S, Zhang H, You X, Zhao B, Zheng Y, Wang Z. Effects of Irrigation Methods on Root Distribution, Water Uptake Patterns, and Water Use Efficiency in Transplanted vs. Direct-Seeded Cotton. Agronomy. 2026; 16(2):273. https://doi.org/10.3390/agronomy16020273
Chicago/Turabian StyleGuo, Xuan, Shunsheng Wang, Hao Zhang, Xinhao You, Bo Zhao, Yurong Zheng, and Zuji Wang. 2026. "Effects of Irrigation Methods on Root Distribution, Water Uptake Patterns, and Water Use Efficiency in Transplanted vs. Direct-Seeded Cotton" Agronomy 16, no. 2: 273. https://doi.org/10.3390/agronomy16020273
APA StyleGuo, X., Wang, S., Zhang, H., You, X., Zhao, B., Zheng, Y., & Wang, Z. (2026). Effects of Irrigation Methods on Root Distribution, Water Uptake Patterns, and Water Use Efficiency in Transplanted vs. Direct-Seeded Cotton. Agronomy, 16(2), 273. https://doi.org/10.3390/agronomy16020273

